Climate Change May Increase the Impact of Coastal Flooding on Carbon Storage in China’s Coastal Terrestrial Ecosystems
Abstract
1. Introduction
2. Data and Methods
2.1. Research Framework
2.2. Study Area
2.3. Data and Preprocessing
2.4. Methods
2.4.1. GIS-Based Bathtub Method
2.4.2. Calculation of CS
2.4.3. Estimation Method of Inundation Loss of CS
2.4.4. Calculation of the Value of CS
3. Results
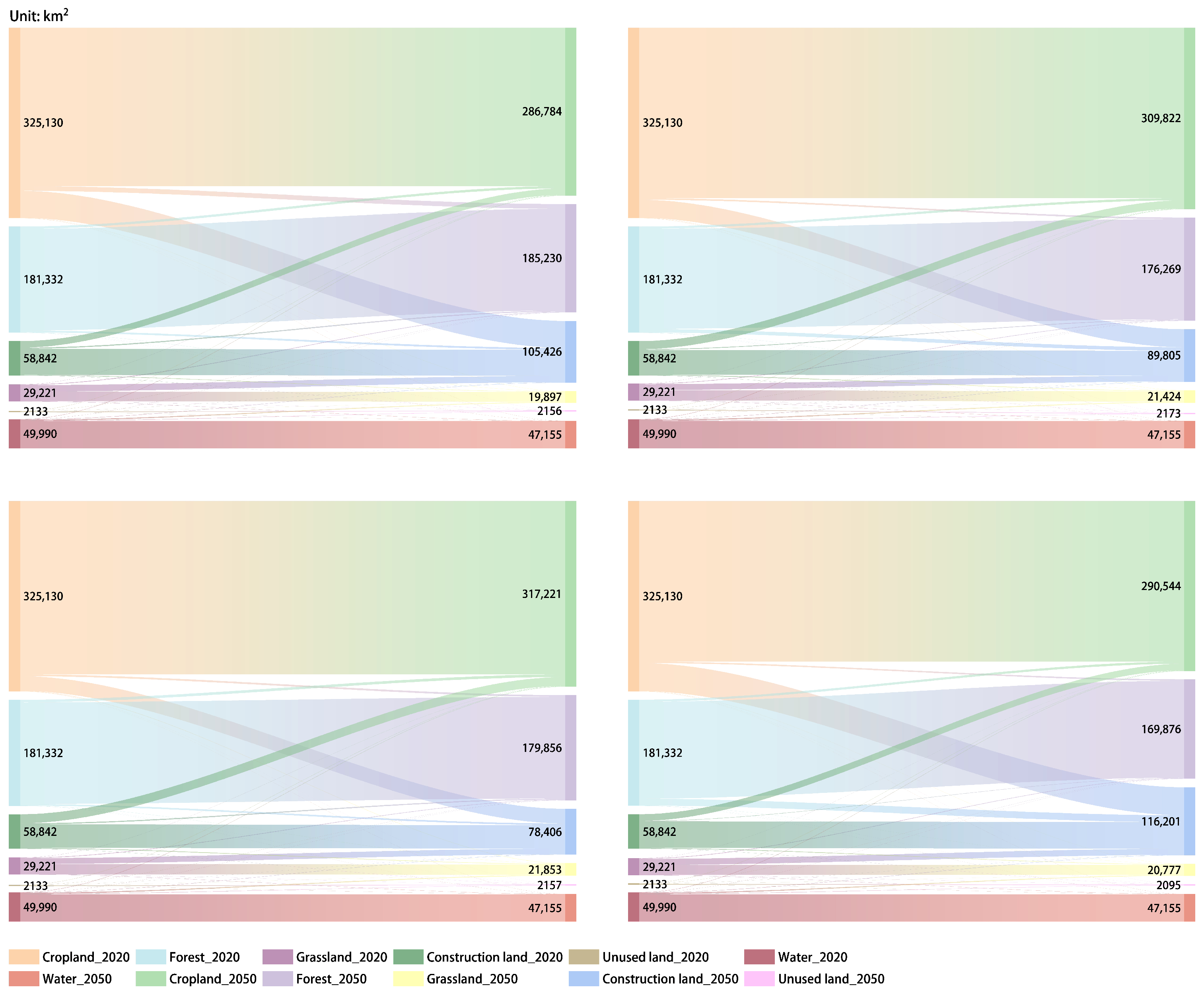
3.1. LULC Change and CS Distribution
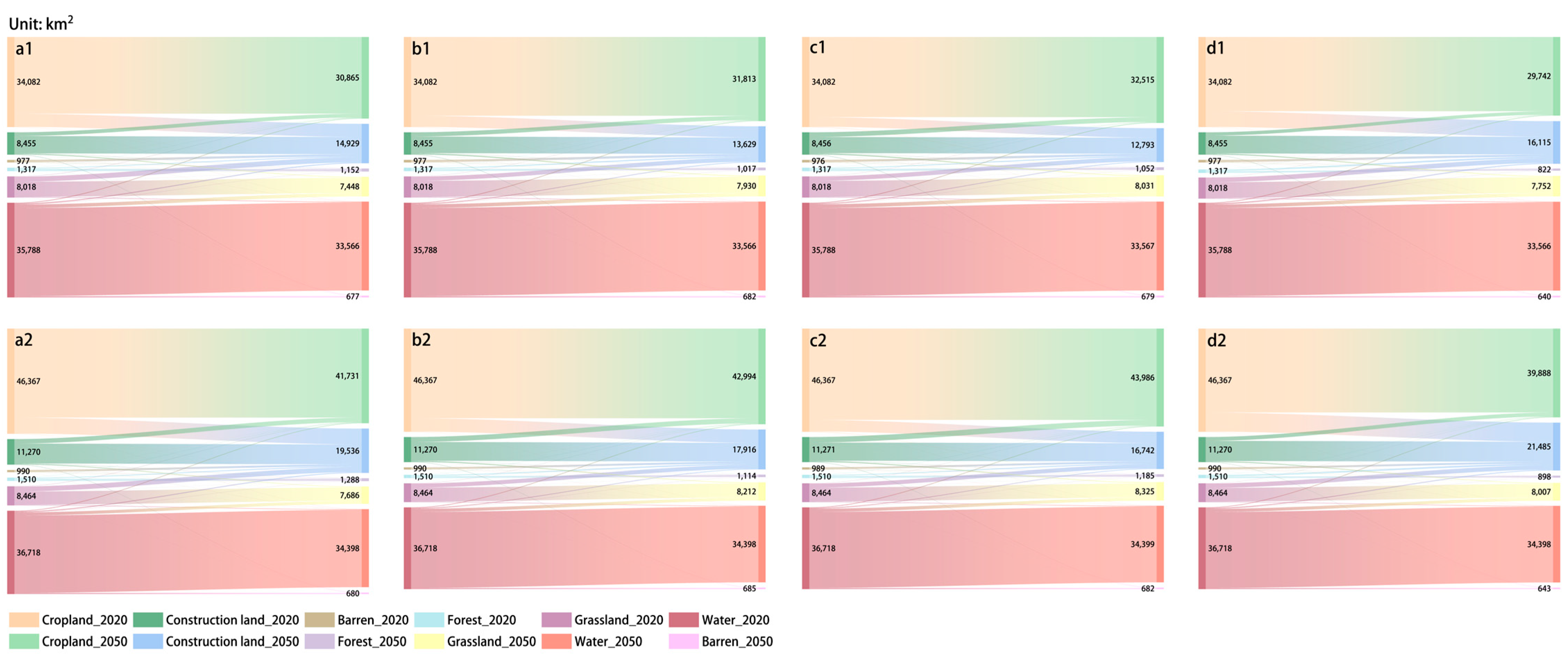
3.2. LULC Inundation
3.3. CSL
3.4. Value of CSL
4. Discussion
4.1. Implications of CSL Value for Coastal Carbon-Emission Management and Coastal Zone Climate-Risk Evaluation
4.2. Mitigating the Threat of Coastal Flooding to CS Requires Globally Coordinated Climate Action
4.3. Regional Differences in Impact of Coastal Floods on Ecosystem CS
4.4. Limitations and Uncertainties
5. Conclusions
Supplementary Materials
Author Contributions
Funding
Data Availability Statement
Acknowledgments
Conflicts of Interest
References
- Intergovernmental Panel On Climate Change (IPCC) Climate Change 2021—The Physical Science Basis: Working Group I. Contribution to the Sixth Assessment Report of the Intergovernmental Panel on Climate Change, 1st ed.; Cambridge University Press: Cambridge, UK, 2023; ISBN 978-1-00-915789-6. [Google Scholar]
- Dangendorf, S.; Hay, C.; Calafat, F.M.; Marcos, M.; Piecuch, C.G.; Berk, K.; Jensen, J. Persistent Acceleration in Global Sea-Level Rise since the 1960s. Nat. Clim. Change 2019, 9, 705–710. [Google Scholar] [CrossRef]
- Shu, Y.; Mimura, N. Prediction of Storm Surge in Ise Bay under Global Warming Condition. Proc. Symp. Glob. Environ. 2006, 14, 253–258. [Google Scholar] [CrossRef][Green Version]
- Bevacqua, E.; Maraun, D.; Vousdoukas, M.I.; Voukouvalas, E.; Vrac, M.; Mentaschi, L.; Widmann, M. Higher Probability of Compound Flooding from Precipitation and Storm Surge in Europe under Anthropogenic Climate Change. Sci. Adv. 2019, 5, eaaw5531. [Google Scholar] [CrossRef] [PubMed]
- Gregory, J.M.; Griffies, S.M.; Hughes, C.W.; Lowe, J.A.; Church, J.A.; Fukimori, I.; Gomez, N.; Kopp, R.E.; Landerer, F.; Cozannet, G.L.; et al. Concepts and Terminology for Sea Level: Mean, Variability and Change, Both Local and Global. Surv. Geophys. 2019, 40, 1251–1289. [Google Scholar] [CrossRef]
- Tebaldi, C.; Ranasinghe, R.; Vousdoukas, M.; Rasmussen, D.J.; Vega-Westhoff, B.; Kirezci, E.; Kopp, R.E.; Sriver, R.; Mentaschi, L. Extreme Sea Levels at Different Global Warming Levels. Nat. Clim. Change 2021, 11, 746–751. [Google Scholar] [CrossRef]
- Kirezci, E.; Young, I.R.; Ranasinghe, R.; Muis, S.; Nicholls, R.J.; Lincke, D.; Hinkel, J. Projections of Global-Scale Extreme Sea Levels and Resulting Episodic Coastal Flooding over the 21st Century. Sci. Rep. 2020, 10, 11629. [Google Scholar] [CrossRef]
- Vousdoukas, M.I.; Mentaschi, L.; Voukouvalas, E.; Verlaan, M.; Jevrejeva, S.; Jackson, L.P.; Feyen, L. Global Probabilistic Projections of Extreme Sea Levels Show Intensification of Coastal Flood Hazard. Nat. Commun. 2018, 9, 2360. [Google Scholar] [CrossRef]
- Du, S.; Wen, J. Challenges and Recommendations for Flood Risk Management in China Based on the 2020 Flood Season. Disaster Reduct. China 2020, 17, 12–15. [Google Scholar]
- Fang, J.; Liu, W.; Yang, S.; Brown, S.; Nicholls, R.J.; Hinkel, J.; Shi, X.; Shi, P. Spatial-Temporal Changes of Coastal and Marine Disasters Risks and Impacts in Mainland China. Ocean Coast. Manag. 2017, 139, 125–140. [Google Scholar] [CrossRef]
- Seto, K.C. Exploring the Dynamics of Migration to Mega-Delta Cities in Asia and Africa: Contemporary Drivers and Future Scenarios. Glob. Environ. Change 2011, 21, S94–S107. [Google Scholar] [CrossRef]
- Liu, J.; Wen, J.; Huang, Y.; Shi, M.; Meng, Q.; Ding, J.; Xu, H. Human Settlement and Regional Development in the Context of Climate Change: A Spatial Analysis of Low Elevation Coastal Zones in China. Mitig. Adapt. Strat. Glob. Change 2015, 20, 527–546. [Google Scholar] [CrossRef]
- Zhang, M.; Huang, X.; Chuai, X.; Yang, H.; Lai, L.; Tan, J. Impact of Land Use Type Conversion on Carbon Storage in Terrestrial Ecosystems of China: A Spatial-Temporal Perspective. Sci. Rep. 2015, 5, 10233. [Google Scholar] [CrossRef] [PubMed]
- Gong, W.; Duan, X.; Mao, M.; Hu, J.; Sun, Y.; Wu, G.; Zhang, Y.; Xie, Y.; Qiu, X.; Rao, X.; et al. Assessing the Impact of Land Use and Changes in Land Cover Related to Carbon Storage by Linking Trajectory Analysis and InVEST Models in the Nandu River Basin on Hainan Island in China. Front. Environ. Sci. 2022, 10, 1038752. [Google Scholar] [CrossRef]
- Liu, J.; Yan, Q.; Zhang, M. Ecosystem Carbon Storage Considering Combined Environmental and Land-Use Changes in the Future and Pathways to Carbon Neutrality in Developed Regions. Sci. Total Environ. 2023, 903, 166204. [Google Scholar] [CrossRef]
- Cao, M.; Tian, Y.; Wu, K.; Chen, M.; Chen, Y.; Hu, X.; Sun, Z.; Zuo, L.; Lin, J.; Luo, L.; et al. Future Land-Use Change and Its Impact on Terrestrial Ecosystem Carbon Pool Evolution along the Silk Road under SDG Scenarios. Sci. Bull. 2023, 68, 740–749. [Google Scholar] [CrossRef]
- Intergovernmental Panel on Climate Change. Land Use, Land-Use Change, and Forestry: A Special Report of the IPCC, 1st ed.; Cambridge University Press: Cambridge, UK, 2000; ISBN 978-0-521-80495-0. [Google Scholar]
- Pendleton, L.; Donato, D.C.; Murray, B.C.; Crooks, S.; Jenkins, W.A.; Sifleet, S.; Craft, C.; Fourqurean, J.W.; Kauffman, J.B.; Marbà, N.; et al. Estimating Global “Blue Carbon” Emissions from Conversion and Degradation of Vegetated Coastal Ecosystems. PLoS ONE 2012, 7, e43542. [Google Scholar] [CrossRef]
- Gong, W.; Duan, X.; Sun, Y.; Zhang, Y.; Ji, P.; Tong, X.; Qiu, Z.; Liu, T. Multi-Scenario Simulation of Land Use/Cover Change and Carbon Storage Assessment in Hainan Coastal Zone from Perspective of Free Trade Port Construction. J. Clean. Prod. 2023, 385, 135630. [Google Scholar] [CrossRef]
- Ren, D.; Cao, A.; Wang, F. Response and Multi-Scenario Prediction of Carbon Storage and Habitat Quality to Land Use in Liaoning Province, China. Sustainability 2023, 15, 4500. [Google Scholar] [CrossRef]
- Wei, P.; Zan, M. Changes of Land Coverage and the Impact on Vegetation Carbon Storage in Yili Region. J. Northwest For. Univ. 2020, 4, 158–166. [Google Scholar]
- Aslam, A.; Mahmood, A.; Ur-Rehman, H.; Li, C.; Liang, X.; Shao, J.; Negm, S.; Moustafa, M.; Aamer, M.; Hassan, M.U. Plant Adaptation to Flooding Stress under Changing Climate Conditions: Ongoing Breakthroughs and Future Challenges. Plants 2023, 12, 3824. [Google Scholar] [CrossRef]
- Xu, C.; Wong, V.N.L.; Reef, R.E. Effect of Inundation on Greenhouse Gas Emissions from Temperate Coastal Wetland Soils with Different Vegetation Types in Southern Australia. Sci. Total Environ. 2021, 763, 142949. [Google Scholar] [CrossRef] [PubMed]
- Craft, C. Freshwater Input Structures Soil Properties, Vertical Accretion, and Nutrient Accumulation of Georgia and U.S Tidal Marshes. Limnol. Oceanogr. 2007, 52, 1220–1230. [Google Scholar] [CrossRef]
- Lal, R.; Ahmadi, M.; Bajracharya, R.M. Erosional Impacts on Soil Properties and Corn Yield on Alfisols in Central Ohio. Land Degrad. Dev. 2000, 11, 575–585. [Google Scholar] [CrossRef]
- Mayora, G.; Devercelli, M.; Frau, D. Spatial Variability of Chromophoric Dissolved Organic Matter in a Large Floodplain River: Control Factors and Relations with Phytoplankton during a Low Water Period. Ecohydrology 2016, 9, 487–497. [Google Scholar] [CrossRef]
- Stagg, C.L.; Schoolmaster, D.R.; Krauss, K.W.; Cormier, N.; Conner, W.H. Causal Mechanisms of Soil Organic Matter Decomposition: Deconstructing Salinity and Flooding Impacts in Coastal Wetlands. Ecology 2017, 98, 2003–2018. [Google Scholar] [CrossRef]
- Manzoni, S.; Vico, G.; Katul, G.; Palmroth, S.; Jackson, R.B.; Porporato, A. Hydraulic Limits on Maximum Plant Transpiration and the Emergence of the Safety–Efficiency Trade-off. New Phytol. 2013, 198, 169–178. [Google Scholar] [CrossRef]
- Huxham, M.; Whitlock, D.; Githaiga, M.; Dencer-Brown, A. Carbon in the Coastal Seascape: How Interactions Between Mangrove Forests, Seagrass Meadows and Tidal Marshes Influence Carbon Storage. Curr. For. Rep. 2018, 4, 101–110. [Google Scholar] [CrossRef]
- Ouyang, X.; Lee, S.Y. Updated Estimates of Carbon Accumulation Rates in Coastal Marsh Sediments. Biogeosciences 2014, 11, 5057–5071. [Google Scholar] [CrossRef]
- Hinkel, J.; Lincke, D.; Vafeidis, A.T.; Perrette, M.; Nicholls, R.J.; Tol, R.S.J.; Marzeion, B.; Fettweis, X.; Ionescu, C.; Levermann, A. Coastal Flood Damage and Adaptation Costs under 21st Century Sea-Level Rise. Proc. Natl. Acad. Sci. USA 2014, 111, 3292–3297. [Google Scholar] [CrossRef]
- Jevrejeva, S.; Jackson, L.P.; Grinsted, A.; Lincke, D.; Marzeion, B. Flood Damage Costs under the Sea Level Rise with Warming of 1.5 °C and 2 °C. Environ. Res. Lett. 2018, 13, 074014. [Google Scholar] [CrossRef]
- Hallegatte, S.; Green, C.; Nicholls, R.J.; Corfee-Morlot, J. Future Flood Losses in Major Coastal Cities. Nat. Clim. Change 2013, 3, 802–806. [Google Scholar] [CrossRef]
- Kundzewicz, Z.W.; Kanae, S.; Seneviratne, S.I.; Handmer, J.; Nicholls, N.; Peduzzi, P.; Mechler, R.; Bouwer, L.M.; Arnell, N.; Mach, K.; et al. Flood Risk and Climate Change: Global and Regional Perspectives. Hydrol. Sci. J. 2014, 59, 1–28. [Google Scholar] [CrossRef]
- Narayan, S.; Beck, M.W.; Wilson, P.; Thomas, C.J.; Guerrero, A.; Shepard, C.C.; Reguero, B.G.; Franco, G.; Ingram, J.C.; Trespalacios, D. The Value of Coastal Wetlands for Flood Damage Reduction in the Northeastern USA. Sci. Rep. 2017, 7, 9463. [Google Scholar] [CrossRef] [PubMed]
- Costanza, R.; d’Arge, R.; De Groot, R.; Farber, S.; Grasso, M.; Hannon, B.; Limburg, K.; Naeem, S.; O’Neill, R.V.; Paruelo, J.; et al. The Value of the World’s Ecosystem Services and Natural Capital. Nature 1997, 387, 253–260. [Google Scholar] [CrossRef]
- Daily, G.C.; Söderqvist, T.; Aniyar, S.; Arrow, K.; Dasgupta, P.; Ehrlich, P.R.; Folke, C.; Jansson, A.; Jansson, B.-O.; Kautsky, N.; et al. The Value of Nature and the Nature of Value. Science 2000, 289, 395–396. [Google Scholar] [CrossRef]
- Jones, S.F.; Stagg, C.L.; Krauss, K.W.; Hester, M.W. Flooding Alters Plant-Mediated Carbon Cycling Independently of Elevated Atmospheric CO2 Concentrations. JGR Biogeosci. 2018, 123, 1976–1987. [Google Scholar] [CrossRef]
- Hill, T.D.; Anisfeld, S.C. Coastal Wetland Response to Sea Level Rise in Connecticut and New York. Estuar. Coast. Shelf Sci. 2015, 163, 185–193. [Google Scholar] [CrossRef]
- Middleton, B.A.; Boudell, J. Salinification of Coastal Wetlands and Freshwater Management to Support Resilience. Ecosyst. Health Sustain. 2023, 9, 0083. [Google Scholar] [CrossRef]
- Zhang, M.; Zhu, X.; Wang, Y.; Jiang, H.; Cui, L. A Numerical Study of Hydrodynamic Characteristics and Hydrological Processes in the Coastal Wetlands during Extreme Events. J. Hydrodyn. 2023, 35, 963–979. [Google Scholar] [CrossRef]
- Fant, C.; Gentile, L.E.; Herold, N.; Kunkle, H.; Kerrich, Z.; Neumann, J.; Martinich, J. Valuation of Long-Term Coastal Wetland Changes in the U.S. Ocean Coast. Manag. 2022, 226, 106248. [Google Scholar] [CrossRef]
- Villoslada, M.; Sipelgas, L.; Bergamo, T.F.; Ward, R.D.; Reintam, E.; Astover, A.; Kumpula, T.; Sepp, K. Multi-Source Remote Sensing Data Reveals Complex Topsoil Organic Carbon Dynamics in Coastal Wetlands. Ecol. Indic. 2022, 143, 109329. [Google Scholar] [CrossRef]
- Wang, G.; Guan, D.; Peart, M.R.; Chen, Y.; Peng, Y. Ecosystem Carbon Stocks of Mangrove Forest in Yingluo Bay, Guangdong Province of South China. For. Ecol. Manag. 2013, 310, 539–546. [Google Scholar] [CrossRef]
- Ren, W.; Tian, H.; Tao, B.; Chappelka, A.; Sun, G.; Lu, C.; Liu, M.; Chen, G.; Xu, X. Impacts of Tropospheric Ozone and Climate Change on Net Primary Productivity and Net Carbon Exchange of China’s Forest Ecosystems: Climate and O3 Impacts on Forest Carbon. Glob. Ecol. Biogeogr. 2011, 20, 391–406. [Google Scholar] [CrossRef]
- Li, Y.; Liu, Z.; Li, S.; Li, X. Multi-Scenario Simulation Analysis of Land Use and Carbon Storage Changes in Changchun City Based on FLUS and InVEST Model. Land 2022, 11, 647. [Google Scholar] [CrossRef]
- Deng, Z.; Ding, W.; Pu, X.; Lyu, Y.; Wang, Y. Spatial-temporal Distribution of Carbon Storage in Qilian Mountain National Park Based on InVEST Model. Bull. Soil Water Conserv. 2022, 42, 324–334+396. [Google Scholar] [CrossRef]
- Sui, Y.; Sun, D.; Li, S.; Xu, Y.; Wu, J. Study of coastal zone ecosystem restoration in the context of carbon storage change: A case of Dongying City. Acta Ecol. Sin. 2021, 41, 8112–8123. [Google Scholar]
- Zhu, G.; Qiu, D.; Zhang, Z.; Sang, L.; Liu, Y.; Wang, L.; Zhao, K.; Ma, H.; Xu, Y.; Wan, Q. Land-Use Changes Lead to a Decrease in Carbon Storage in Arid Region, China. Ecol. Indic. 2021, 127, 107770. [Google Scholar] [CrossRef]
- Beillouin, D.; Demenois, J.; Cardinael, R.; Berre, D.; Corbeels, M.; Fallot, A.; Boyer, A.; Feder, F. A Global Database of Land Management, Land-Use Change and Climate Change Effects on Soil Organic Carbon. Sci. Data 2022, 9, 228. [Google Scholar] [CrossRef]
- Ersoy Mirici, M.; Berberoglu, S. Terrestrial Carbon Dynamics and Economic Valuation of Ecosystem Service for Land Use Management in the Mediterranean Region. Ecol. Inform. 2024, 81, 102570. [Google Scholar] [CrossRef]
- Chun, J.; Kim, C.-K.; Kang, W.; Park, H.; Kim, G.; Lee, W.-K. Sustainable Management of Carbon Sequestration Service in Areas with High Development Pressure: Considering Land Use Changes and Carbon Costs. Sustainability 2019, 11, 5116. [Google Scholar] [CrossRef]
- Maanan, M.; Maanan, M.; Karim, M.; Ait Kacem, H.; Ajrhough, S.; Rueff, H. Snoussi Rhinane Modelling the Potential Impacts of Land Use/Cover Change on Terrestrial Carbon Stocks in North-West Morocco. Int. J. Sustain. Dev. World Ecol. 2019, 26, 560–570. [Google Scholar] [CrossRef]
- Melaku Canu, D.; Ghermandi, A.; Nunes, P.A.L.D.; Lazzari, P.; Cossarini, G.; Solidoro, C. Estimating the Value of Carbon Sequestration Ecosystem Services in the Mediterranean Sea: An Ecological Economics Approach. Glob. Environ. Change 2015, 32, 87–95. [Google Scholar] [CrossRef]
- NASA EOSDIS Land Processes Distributed Active Archive Center. Available online: https://lpdaac.usgs.gov/products/nasadem_hgtv001/ (accessed on 18 December 2023).
- Muis, S.; Aerts, J.C.J.H.; Antolínez, J.A.Á.; Dullaart, J.C.; Duong, T.M.; Erikson, L.; Haarsma, R.J.; Apecechea, M.I.; Mengel, M.; Le Bars, D.; et al. Global Projections of Storm Surges Using High-Resolution CMIP6 Climate Models. Earth’s Future 2023, 11, e2023EF003479. [Google Scholar] [CrossRef]
- Muis, S.; Verlaan, M.; Winsemius, H.C.; Aerts, J.C.J.H.; Ward, P.J. A Global Reanalysis of Storm Surges and Extreme Sea Levels. Nat. Commun. 2016, 7, 11969. [Google Scholar] [CrossRef]
- Muis, S.; Apecechea, M.I.; Dullaart, J.; De Lima Rego, J.; Madsen, K.S.; Su, J.; Yan, K.; Verlaan, M. A High-Resolution Global Dataset of Extreme Sea Levels, Tides, and Storm Surges, Including Future Projections. Front. Mar. Sci. 2020, 7, 263. [Google Scholar] [CrossRef]
- Zhang, T.; Cheng, C.; Wu, X. Mapping the Spatial Heterogeneity of Global Land Use and Land Cover from 2020 to 2100 at a 1 km Resolution. Sci. Data 2023, 10, 748. [Google Scholar] [CrossRef]
- Kopp, R.E.; Garner, G.G.; Hermans, T.H.J.; Jha, S.; Kumar, P.; Reedy, A.; Slangen, A.B.A.; Turilli, M.; Edwards, T.L.; Gregory, J.M.; et al. The Framework for Assessing Changes To Sea-Level (FACTS) v1.0: A Platform for Characterizing Parametric and Structural Uncertainty in Future Global, Relative, and Extreme Sea-Level Change. Geosci. Model Dev. 2023, 16, 7461–7489. [Google Scholar] [CrossRef]
- Zenodo. Available online: https://zenodo.org/records/6382554 (accessed on 9 August 2021).
- Hengl, T.; Mendes De Jesus, J.; Heuvelink, G.B.M.; Ruiperez Gonzalez, M.; Kilibarda, M.; Blagotić, A.; Wei, S.; Wright, M.N.; Geng, X.; Bauer-Marschallinger, B.; et al. SoilGrids250m: Global Gridded Soil Information Based on Machine Learning. PLoS ONE 2017, 12, e0169748. [Google Scholar] [CrossRef]
- Spawn, S.A.; Sullivan, C.C.; Lark, T.J.; Gibbs, H.K. Harmonized global maps of above and belowground biomass carbon density in the year 2010. Sci. Data 2020, 7, 112. [Google Scholar] [CrossRef]
- Yang, P.; Yao, Y.-F.; Mi, Z.; Cao, Y.-F.; Liao, H.; Yu, B.-Y.; Liang, Q.-M.; Coffman, D.; Wei, Y.-M. Social Cost of Carbon under Shared Socioeconomic Pathways. Glob. Environ. Chang. 2018, 53, 225–232. [Google Scholar] [CrossRef]
- Schmid, K. Mapping and Portraying Inundation Uncertainty of Bathtub-Type Models. J. Coast. Res. 2013, 30, 548. [Google Scholar] [CrossRef]
- Gallien, T.W.; Schubert, J.E.; Sanders, B.F. Predicting Tidal Flooding of Urbanized Embayments: A Modeling Framework and Data Requirements. Coast. Eng. 2011, 58, 567–577. [Google Scholar] [CrossRef]
- Didier, D.; Baudry, J.; Bernatchez, P.; Dumont, D.; Sadegh, M.; Bismuth, E.; Bandet, M.; Dugas, S.; Sévigny, C. Multihazard Simulation for Coastal Flood Mapping: Bathtub versus Numerical Modelling in an Open Estuary, Eastern Canada. J. Flood Risk Manag. 2019, 12, e12505. [Google Scholar] [CrossRef]
- Seenath, A.; Wilson, M.; Miller, K. Hydrodynamic versus GIS Modelling for Coastal Flood Vulnerability Assessment: Which Is Better for Guiding Coastal Management? Ocean Coast. Manag. 2016, 120, 99–109. [Google Scholar] [CrossRef]
- Tobler, W. On the First Law of Geography: A Reply. Ann. Assoc. Am. Geogr. 2004, 94, 304–310. [Google Scholar] [CrossRef]
- Angelats, E.; Soriano-González, J.; Fernández-Tejedor, M.; Alcaraz, C. Combined Flooding and Water Quality Monitoring During Short Extreme Events Using Sentinel 2: The Case Study of Gloria Storm in Ebro Delta. ISPRS Ann. Photogramm. Remote Sens. Spat. Inf. Sci. 2022, V-3–2022, 361–368. [Google Scholar] [CrossRef]
- Santhanam, H.; Natarajan, T. Short-Term Desalination of Pulicat Lagoon (Southeast India) Due to the 2015 Extreme Flood Event: Insights from Land-Ocean Interactions in Coastal Zone (LOICZ) Models. Ecol. Process. 2018, 7, 10. [Google Scholar] [CrossRef]
- Anthoff, D.; Tol, R.S.J. The Uncertainty about the Social Cost of Carbon: A Decomposition Analysis Using Fund. Clim. Chang. 2013, 117, 515–530. [Google Scholar] [CrossRef]
- Guivarch, C.; Pottier, A. Climate Damage on Production or on Growth: What Impact on the Social Cost of Carbon? Environ. Model. Assess. 2018, 23, 117–130. [Google Scholar] [CrossRef]
- Tian, L.; Ye, Q.; Zhen, Z. A New Assessment Model of Social Cost of Carbon and Its Situation Analysis in China. J. Clean. Prod. 2019, 211, 1434–1443. [Google Scholar] [CrossRef]
- Boumis, G.; Moftakhari, H.R.; Moradkhani, H. Coevolution of Extreme Sea Levels and Sea-Level Rise Under Global Warming. Earth’s Future 2023, 11, e2023EF003649. [Google Scholar] [CrossRef]
- Keith, H.; Lindenmayer, D.B.; Mackey, B.G.; Blair, D.; Carter, L.; McBurney, L.; Okada, S.; Konishi-Nagano, T. Accounting for Biomass Carbon Stock Change Due to Wildfire in Temperate Forest Landscapes in Australia. PLoS ONE 2014, 9, e107126. [Google Scholar] [CrossRef] [PubMed]
- Ambinakudige, S.; Khanal, S. Assessment of Impacts of Hurricane Katrina on Net Primary Productivity in Mississippi. Earth Interact. 2010, 14, 1–12. [Google Scholar] [CrossRef]
- Sangha, K.K.; Russell-Smith, J.; Evans, J.; Edwards, A. Methodological Approaches and Challenges to Assess the Environmental Losses from Natural Disasters. Int. J. Disaster Risk Reduct. 2020, 49, 101619. [Google Scholar] [CrossRef]
- Tang, X.; Zhao, X.; Bai, Y.; Tang, Z.; Wang, W.; Zhao, Y.; Wan, H.; Xie, Z.; Shi, X.; Wu, B.; et al. Carbon Pools in China’s Terrestrial Ecosystems: New Estimates Based on an Intensive Field Survey. Proc. Natl. Acad. Sci. USA 2018, 115, 4021–4026. [Google Scholar] [CrossRef]
- Yunus, A.; Avtar, R.; Kraines, S.; Yamamuro, M.; Lindberg, F.; Grimmond, C. Uncertainties in Tidally Adjusted Estimates of Sea Level Rise Flooding (Bathtub Model) for the Greater London. Remote Sens. 2016, 8, 366. [Google Scholar] [CrossRef]
- Williams, L.L.; Lück-Vogel, M. Comparative Assessment of the GIS Based Bathtub Model and an Enhanced Bathtub Model for Coastal Inundation. J. Coast. Conserv. 2020, 24, 23. [Google Scholar] [CrossRef]
- Makris, C.; Mallios, Z.; Androulidakis, Y.; Krestenitis, Y. CoastFLOOD: A High-Resolution Model for the Simulation of Coastal Inundation Due to Storm Surges. Hydrology 2023, 10, 103. [Google Scholar] [CrossRef]











| SSP1 | SSP2 | SSP3 | SSP5 |
|---|---|---|---|
| 0.18 | 0.19 | 0.20 | 0.23 |
| 2020 | 2050 | |||
|---|---|---|---|---|
| SSP1 | SSP2 | SSP3 | SSP5 | |
| 18.46 | 36.92 | 64.62 | 109.92 | 54.96 |
| ESL Return Periods | Min | Max | Mean | Std |
|---|---|---|---|---|
| 10 | 1.05 | 3.67 | 1.95 | 0.56 |
| 100 | 1.32 | 4.18 | 2.33 | 0.63 |
| LULC_Name | Lucode | Middle Temperate Zone | South Temperate Zone | North Subtropical Zone | Middle Subtropical Zone | South Subtropical Zone | North Tropical Zone | Middle Tropical Zone |
|---|---|---|---|---|---|---|---|---|
| Cropland | 1 | 92.48 | 64.48 | 100.61 | 293.63 | 178.62 | 192.23 | 148.90 |
| Forest | 2 | 331.27 | 176.24 | 426.95 | 453.57 | 381.32 | 458.42 | 481.21 |
| Grassland | 3 | 101.52 | 113.55 | 189.41 | 353.86 | 251.61 | 217.72 | 198.20 |
| Construction land | 4 | 53.27 | 43.68 | 48.57 | 102.72 | 71.54 | 129.85 | 99.44 |
| Barren | 5 | 46.87 | 61.69 | 41.00 | 149.74 | 155.44 | 71.76 | 137.00 |
| Water | 6 | 36.67 | 26.15 | 42.05 | 115.70 | 80.00 | 109.46 | 108.84 |
Disclaimer/Publisher’s Note: The statements, opinions and data contained in all publications are solely those of the individual author(s) and contributor(s) and not of MDPI and/or the editor(s). MDPI and/or the editor(s) disclaim responsibility for any injury to people or property resulting from any ideas, methods, instructions or products referred to in the content. |
© 2024 by the authors. Licensee MDPI, Basel, Switzerland. This article is an open access article distributed under the terms and conditions of the Creative Commons Attribution (CC BY) license (https://creativecommons.org/licenses/by/4.0/).
Share and Cite
Yang, S.; Lin, J.; Xue, X. Climate Change May Increase the Impact of Coastal Flooding on Carbon Storage in China’s Coastal Terrestrial Ecosystems. Land 2024, 13, 1871. https://doi.org/10.3390/land13111871
Yang S, Lin J, Xue X. Climate Change May Increase the Impact of Coastal Flooding on Carbon Storage in China’s Coastal Terrestrial Ecosystems. Land. 2024; 13(11):1871. https://doi.org/10.3390/land13111871
Chicago/Turabian StyleYang, Shuyu, Jiaju Lin, and Xiongzhi Xue. 2024. "Climate Change May Increase the Impact of Coastal Flooding on Carbon Storage in China’s Coastal Terrestrial Ecosystems" Land 13, no. 11: 1871. https://doi.org/10.3390/land13111871
APA StyleYang, S., Lin, J., & Xue, X. (2024). Climate Change May Increase the Impact of Coastal Flooding on Carbon Storage in China’s Coastal Terrestrial Ecosystems. Land, 13(11), 1871. https://doi.org/10.3390/land13111871

