Next Article in Journal
Is a Rural Entrepreneurial Ecosystem Conducive to the Improvement of Entrepreneurial Performance? Evidence from Typical Counties of Rural Entrepreneurship and Innovation in China
Next Article in Special Issue
Are Medium-Sized Cities in China Shrinking from 2010 to 2020? An Empirical Analysis with a Multi-Dimensional Model
Previous Article in Journal
Treating Tropical Soils with Composted Sewage Sludge Reduces the Mineral Fertilizer Requirements in Sugarcane Production
Previous Article in Special Issue
An Improved Framework of Major Function-Oriented Zoning Based on Carrying Capacity: A Case Study of the Yangtze River Delta Region
 
 
Font Type:
Arial Georgia Verdana
Font Size:
Aa Aa Aa
Line Spacing:
Column Width:
Background:
Article

Construction and Empirical Research of an Evaluation System for High-Quality Development of Small Towns in Guangxi Under the New Development Concept

1
School of Geography and Planning, Nanning Normal University, Nanning 530001, China
2
Beihai Geographic Information and Surveying Center, Beihai 536006, China
3
Key Laboratory of Environment Change and Resources Use in Beibu Gulf, Ministry of Education, Nanning Normal University, Nanning 530001, China
4
School of Architecture, South China University of Technology, Guangzhou 510641, China
*
Authors to whom correspondence should be addressed.
These authors contributed equally to this work and should be considered as co-first authors.
Land 2024, 13(11), 1821; https://doi.org/10.3390/land13111821
Submission received: 15 September 2024 / Revised: 17 October 2024 / Accepted: 30 October 2024 / Published: 2 November 2024

Abstract

The high-quality development of small towns in Guangxi is crucial for regional economic balance and sustainable development. This research conducts an in-depth exploration and systematic construction and validation analysis of the high-quality development of small towns in Guangxi. Guided by the new development concepts of innovation, coordination, green, openness, and sharing, a comprehensive evaluation system is established to assess the development levels of 70 small towns from 2005 to 2022. The research findings are as follows: 1. The analysis revealed significant growth in these dimensions over the study period, highlighting the unique characteristics of different types of small towns. 2. It was observed that small towns in southeastern Guangxi generally demonstrated higher development levels, while those in the northwestern regions exhibited considerable disparities, indicating regional imbalances. 3. The overall gap in the high-quality development level of small towns is gradually narrowing, but the difference is still relatively significant. 4. The findings underscore the advantages of the evaluation system developed, which effectively captures the multidimensional nature of high-quality development and serves as a robust framework for future research.

1. Introduction

In recent years, with the accelerating processes of globalization and urbanization, the development of small towns has attracted widespread attention across various countries. In China, small towns occupy a crucial position within the national urbanization strategy; however, the pathways and driving mechanisms for their high-quality development remain underexplored. Numerous studies have investigated the various issues surrounding small-town development from different perspectives, providing a rich body of theoretical and empirical evidence that enhances our understanding of the complexities involved in achieving high-quality development in these areas.
In the context of globalization, rural development has shown significant regional disparities, and small towns have experienced notable shifts in their development models. Globalization has reallocated resources, pushing traditionally agricultural small towns towards service and light industry economies [1]. Economic impacts include industrial restructuring and stronger linkages, with small towns near transport hubs integrating faster into global networks, while remote towns struggle with limited market access and resources, leading to economic imbalances [2,3,4]. Socially, globalization has changed small-town demographics, with youth migrating to cities, leading to aging populations and weakening social cohesion [5,6]. Environmentally, it has introduced both sustainable practices and environmental degradation from unregulated industrialization [7,8]. Governance is also challenged, with traditional models proving inadequate in the face of complex socioeconomic demands, requiring more diverse approaches [9,10]. Finally, globalization’s benefits are uneven, marginalizing remote towns and exacerbating disparities across economic, social, and environmental dimensions, hindering sustainable development [11]. In addition, global value chains (GVCs) play a key role in local development. Research shows that the degree of regional participation and functional specialization in GVCs are crucial to their economic growth. For example, regions with scarce natural resources or high-skilled labor tend to obtain higher added value through favorable trade conditions [12,13]. When these regions are integrated into the global network, they are able to use limited resources and skills to gain market advantages, thereby achieving higher growth rates at both ends of the global value chain. This dynamic “smile curve” effect reveals how globalization exacerbates regional inequality through GVCs. In addition, the spatial dependence between neighboring regions strengthens this effect. Small towns not only rely on their own characteristics, but are also affected by the economic conditions of neighboring regions, further widening the development gap between regions.
The spatial characteristics of small towns are key to understanding their developmental dynamics. Small towns often show spatial agglomeration, where economic activities, population, and infrastructure cluster along transportation corridors and near cities. This agglomeration, driven by globalization and urbanization, enhances regional economic development by concentrating industries and populations. Transportation accessibility plays a crucial role in this effect, with well-connected towns attracting more investment and talent [2,14]. However, this agglomeration can also create regional imbalances, as towns in remote areas face greater economic challenges [15,16]. Balanced spatial strategies are essential to prevent these disparities. Geographic location, transportation, and policy support are all critical factors. Small towns near major cities or transport hubs typically access more resources and play a larger regional role [4,17]. Strong transportation networks allow towns to better engage in regional economies, while policy support can spur development and reduce disparities [3,18]. Yet, some towns lack policy backing, limiting their economic roles. Optimizing spatial configurations is, thus, vital for promoting high-quality development and regional coordination [2,3,14,16,17,18].
High-quality development is a comprehensive development concept covering multiple economic, social, and ecological dimensions. In the economic aspect, it emphasizes the stability, innovation, and sustainability of economic growth, the optimization and upgrading of industrial structure, and the improvement of economic efficiency; in the social aspect, it focuses on social fairness and harmony, including the balanced development of public services such as education, medical care, employment, and the effectiveness of social governance; in the ecological aspect, it highlights the protection of ecological environment and sustainable utilization, and pursues the benign interaction between economic development and ecological environment. The high-quality development of small towns requires a robust evaluation system due to its multidimensional nature, involving economic, ecological, and social factors. Various methods have been developed to address these complexities, each with strengths and limitations. TOPSIS is widely used for multicriteria decision making, as it ranks alternatives based on their closeness to an ideal solution, offering a balanced assessment of both positive and negative indicators [19]. The entropy weight method (EWM) complements TOPSIS by assigning objective weights to indicators based on data variation, reducing bias [20]. In contrast, the analytic hierarchy process (AHP) is a decision-making method that decomposes elements related to decision making into levels such as goals, criteria, and plans, and conducts qualitative and quantitative analysis on this basis. It conducts a comprehensive evaluation of complex decision-making problems by establishing a hierarchical model, constructing a judgment matrix, calculating weight vectors, and performing consistency tests [21]. Notably, compared to AHP, which relies on expert judgment and can introduce subjectivity, EWM is more data-driven and objective.
For evaluating ecological dimensions, the fuzzy comprehensive evaluation (FCE) method is preferred for handling uncertainty, though its effectiveness depends on accurate membership functions [22,23]. Combining methods like entropy weight–TOPSIS allows us to leverage the strengths of both, offering a balanced evaluation of economic, social, and ecological factors [24]. AHP and FCE provide valuable insights but can be complex, whereas TOPSIS and EWM are more accessible and broadly applicable in various contexts [25]. Despite the extensive research on small-town development, several gaps remain. First, existing studies have predominantly focused on the urbanization processes of large cities, with comparatively less attention paid to small towns, especially those in remote areas [26]. Moreover, while some studies have considered the role of small towns in regional economic and social systems, there has been insufficient emphasis on the evaluation methods for accurately assessing their high-quality development. Most existing studies have not comprehensively compared evaluation frameworks such as TOPSIS, the entropy weight method (EWM), and analytic hierarchy process (AHP), which are critical for measuring the multidimensional nature of small-town development. Additionally, although some attention has been paid to the spatial characteristics of small towns, existing research has often lacked detailed discussion on how spatial agglomeration effects and transportation accessibility influence development trajectories at a more granular level, particularly in relation to how these factors vary between regions. Furthermore, analyses of the driving factors behind small-town development have largely remained at the macro level, lacking in-depth exploration of the micro-level mechanisms. Lastly, many of the current studies employ static analysis methods, which fail to adequately capture the dynamic and evolving spatial patterns that characterize small-town development in the context of globalization and urbanization. Future research should focus on incorporating dynamic spatial models and more sophisticated evaluation frameworks to better understand the developmental mechanisms of small towns and address the growing regional disparities.
With the acceleration of globalization and urbanization, the role of small towns in regional economic balance and sustainable development has become increasingly prominent. However, the high-quality development path and driving mechanism of small towns in Guangxi have not been fully explored. Therefore, in response to the existing research gaps, we conducted an in-depth exploration of the construction and empirical analysis of the evaluation index system for high-quality development of small towns in Guangxi. Our goal is to build a comprehensive evaluation system to evaluate the high-quality development level of small towns in Guangxi under the concept of innovation, coordination, green, openness, and sharing. By analyzing the data of 70 small towns from 2005 to 2022, the spatiotemporal characteristics and regional differences of their development are revealed, and the key driving factors are found. This provides a scientific framework for evaluating the development level of small towns, and also provides important theoretical support and empirical evidence for the government to formulate regional policies. The main contents of this study are the following: 1. Based on the new development concept, we constructed a comprehensive evaluation index system that can evaluate the high-quality development level of small towns in Guangxi from five dimensions: innovation, coordination, green, openness, and sharing. 2. We systematically analyzed the growth of indicators in the five subsystems of innovation, coordination, green, openness, and sharing in small towns in Guangxi from 2005 to 2022 and summarize the development characteristics of five different types of small towns. 3. We conducted an in-depth analysis of the time series characteristics, spatial differentiation characteristics, overall differences, and evolution trends of the high-quality development level of small towns in Guangxi from 2005 to 2022, revealing the spatial pattern and regional imbalance of the development of small towns in Guangxi. 4. We discuss the advantages of the evaluation system and methods, and proposed relevant development strategies.

2. Materials and Methods

2.1. Study Area

Guangxi is located in southern China, bordered by Guangdong Province to the east, the Beibu Gulf and Hainan Province across the sea to the south, Vietnam to the southwest, Yunnan Province to the west, Guizhou Province to the northwest, and Hunan Province to the northeast. The region is largely surrounded by mountains and plateaus, with central and southern parts characterized by hilly plains forming a basin-like area, commonly referred to as the “Guangxi Basin”. During the 13th Five-Year Plan period, Guangxi saw steady improvement in both the level and quality of urbanization, with continual optimization of urban layouts and significant development in small towns. The high-quality development of small towns has also received increasing attention from the government. On 31 December 2023, the Guangxi Zhuang Autonomous Region People’s Government Office issued the “Guiding Opinions on Accelerating the Construction of Small Towns Along the Border”, aiming to accelerate the development of border towns and promote high-quality growth in these areas, thus establishing a pattern of prosperity along the border regions. To measure the high-quality development levels of small towns in Guangxi, conduct a quantitative analysis of regional differences, and identify the driving factors, we selected 70 county (county-level city) seat towns (Figure 1) as representatives of Guangxi’s small towns for this study. It should be noted that the blank areas in the figure are the urban districts of all prefecture-level cities in Guangxi. These areas belong to urban built-up areas rather than small towns, so they are not within the scope of this study. According to the regional economic development strategic plan of Guangxi in the new century, Guangxi can be divided into five major economic zones, namely, the Nanbei Qinfang Coastal Economic Zone (Southern Guangxi Economic Zone), the Eastern Guangxi Economic Zone, the Northern Guangxi Economic Zone, the Central Guangxi Economic Zone, and the Western Guangxi Economic Zone.

2.2. Data Sources

Our study focuses on panel data from 70 small towns in Guangxi for the years 2005, 2010, 2015, and 2022. The socioeconomic data we utilized were primarily sourced from the Guangxi Statistical Yearbook, the Guangxi Construction Yearbook, and publicly available National Economic and Social Development Statistical Bulletins. The evaluation index system we developed includes 25 indicators spanning multiple domains. However, these indicators differ significantly in terms of units and magnitudes, which could lead to substantial errors if used directly. To enhance the accuracy of our results and ensure comparability among the indicators, we employed normalization techniques to address the issue of differing dimensions across these indicators. Additionally, we applied specific normalization methods tailored to the attributes of each indicator to achieve the homogenization of heterogeneous data. For indicators with optimal values, we applied a piecewise function transformation, subtracting the optimal value from the data and then taking the absolute value before normalizing it. For positive and negative indicators, we used an extreme value method for normalization. This approach ensures that all indicators are brought onto a comparable scale, thereby improving the accuracy and reliability of our analysis of high-quality development in Guangxi’s small towns.

2.3. Construction of Evaluation Index System for High-Quality Development in Small Towns

When choosing the evaluation method, the characteristics of the data and the specific requirements of the study were fully considered, and, combined with the reality of the study area, it was determined that the entropy weight–TOPSIS method was chosen for the following reasons. (1) Complexity of the index attributes and the uncertainty of the data: The entropy weight method can handle the uncertainty of the attribute indexes very well, making the evaluation results more reliable and accurate, and the TOPSIS method can consider the scores of each indicator comprehensively, making the evaluation results more comprehensive and objective. (2) Comparison with other methods: Compared with other evaluation methods (e.g., principal component analysis (PCA), hierarchical analysis (AHP), and fuzzy comprehensive evaluation), the entropy weight–TOPSIS method can not only solve the multiattribute decision-making problem well and avoid the bias caused by the subjective factors, but also has no strict limitations on the indicators, the number of samples, and the distribution of the data, and it can avoid the loss of the original data information to the greatest extent. The loss of original data information is minimized, making it more suitable for the uncertain and complex data environment involved in the study. The evaluation process is described in detail as follows (as shown in Figure 2): Step 1: Construct the framework of the evaluation index system for the high-quality development of small towns through the literature analysis method. Step 2: Determine the initial evaluation indicators through the frequency statistics method. Step 3: Through the Delphi method and field research, combined with the geographical characteristics, modify the initial indicators further objectively and subjectively to improve the indicator system. Step 4: Use the entropy weight–TOPSIS method to determine the assessment results of high-quality development of small towns.

2.3.1. Design Principles of Evaluation Index System

High-quality development is a complex whole involving multiple aspects. The constructed index system should center on its connotation under the new development concept, reflecting the development status and potential of small towns and the characteristics of the study area. This ensures that the evaluation results are close to the real level and can guide Guangxi’s small towns’ high-quality development.
(1) Scientificity Principle
The evaluation index system should be comprehensive for higher credibility and to reflect the actual level. Each index must be comprehensive, scientific, and accurate in content and method, without subjective judgment or bias, considering Guangxi’s small towns’ actual situation.
(2) Systematic Principle
Measuring from innovation, coordination, green, openness, and sharing aspects, the indicator system must cover all high-quality development aspects. Independent and interrelated indicators should be set under each dimension.
(3) Comparability Principle
To compare small towns’ high-quality development levels accurately, selected indicators should be comparable in time and space. Use average and relative indicators, and ensure data consistency.
(4) Operability Principle
The indicator system aims to measure Guangxi’s small towns’ high-quality development level. Consider the quantitative nature of indicators and data availability, using reliable statistics.
In the study, evaluation indicators for Guangxi’s small towns should integrate with local realities and goals, be scientific, systematic, and reasonable, reflect the development status and potential, and keep up with the times.

2.3.2. Construction of Evaluation Index System

The “new development concept” refers to a set of guiding principles for development that emphasizes innovation, coordination, green development, openness, and sharing. These concepts are proposed by China to respond to new challenges and opportunities in the process of economic and social development and to take a more sustainable and higher-quality development path [27]. The evaluation system for high-quality development indicators in small towns is designed to reflect the fundamental elements of economic, social, and ecological development, serving as a benchmark for measuring high-quality development. This system forms the foundation for a comprehensive assessment of the high-quality development of small towns. The development of small towns is an organic system encompassing various aspects, including the economy, society, and ecology. High-quality development in small towns is characterized by stable economic growth, balanced urban–rural development within regions, innovation-driven progress, and green development. It is a comprehensive development approach that ensures that the benefits of economic growth are more widely and equitably shared among all people. Firstly, innovation-driven development is the driving force behind high-quality development in small towns. Secondly, coordinated development is a key characteristic of high-quality development, reflecting the balanced growth between urban and rural areas as well as among different regions. Thirdly, green development is a fundamental requirement for high-quality development in small towns. The concept of green development enriches the connotation of high-quality development, making sustainability a prevalent form. Moreover, open development is a necessary condition for the high-quality development of small towns, as it paves the way for broader engagement in global and regional dynamics. Finally, shared development represents the ultimate goal of high-quality development in small towns. It emphasizes social equity, making the enhancement of people’s wellbeing the core objective of development, fostering effective governance, maintaining social order, and promoting social fairness and justice. Based on these principles, we adopted a combination of qualitative and quantitative methods to design an evaluation index system for assessing the level of high-quality development in small towns, grounded in the perspective of the new development philosophy.
First of all, we clarify the connotation of high-quality development of small towns, follow the principles of scientific, systematic, comparable, and operable, take the five development concepts as the theoretical basis, compare the development characteristics of Guangxi’s small towns, collect the relevant literature regarding “high-quality development and (small) towns”, and combine with the relevant literature and works on sustainable development and small-town development to collect indicators and construct the evaluation index system. Then, the initial evaluation indexes are selected from five aspects of innovation, coordination, greenness, openness, and sharing by using frequency statistics method; after that, the indexes are objectively corrected by using the Delphi method and expert interview method; finally, the indexes are subjectively corrected according to the actual development status of small towns by using questionnaire surveys and interviews of small-town residents in combination with the regional characteristics of small towns in Guangxi. Thus far, the whole process of constructing the framework of the evaluation index system, preliminary selection of indexes, objective amendment, and subjective amendment has been completed, and, finally, an evaluation index system consisting of 5 first-level indexes, 12 second-level indexes, and 25 third-level indexes was constructed, which assesses the level of high-quality development of Guangxi’s small towns and provides a reference for the formulation of relevant policies and development planning.
The evaluation index system for high-quality development of small towns can be broken down into five subsystems: innovative development, coordinated development, green development, open development, and shared development. To effectively monitor changes in the status of small towns, the system predominantly uses ratio-type indicators, such as per capita GDP and the number of physicians per thousand people. The primary indicator of innovation development includes two secondary indicators: innovation input and innovation output. The tertiary indicators for innovation input include investment in science and technology and the proportion of professional technical personnel. For innovation output, the tertiary indicators include the number of authorized invention patent applications and the industrial output index for enterprises above a designated size. The coordination development dimension is evaluated through secondary indicators such as economic structure coordination, urban–rural structure coordination, and economic–social coordination. The tertiary indicators for economic structure coordination include the proportion of GDP accounted for by the secondary and tertiary industries. For urban–rural structure coordination, the tertiary indicators include per capita urban construction land area, employment rate, and urbanization rate of the permanent population. Economic–social coordination is measured by tertiary indicators such as the income ratio between urban and rural residents and per capita GDP. The green development dimension is assessed through secondary indicators like green development pressure, green development status, and green development response. The tertiary indicators under green development pressure include electricity consumption per unit of GDP, carbon dioxide emissions per unit of GDP, and the annual average PM2.5 concentration. Green development status is measured by the green coverage rate in built-up areas, while green development response is evaluated through indicators such as the sewage treatment rate in urban areas and the harmless treatment rate of urban waste. The openness development dimension includes secondary indicators of openness depth and openness conditions. The tertiary indicators for openness depth include the degree of export dependence, intensity of foreign capital utilization, and the proportion of total retail sales of consumer goods to GDP. Openness conditions are measured by the density of the road network. The sharing development dimension is evaluated through secondary indicators like economic outcome sharing and social outcome sharing. The tertiary indicators for economic outcome sharing include the proportion of social security expenditures to GDP. For social outcome sharing, the tertiary indicators include the number of doctors per thousand people, number of hospital beds per thousand people, per capita park green space area, and the number of full-time teachers per hundred students in ordinary middle schools. The attributes of these indicators within the system are detailed in Table 1.

2.4. Evaluation Method of High-Quality Development in Small Towns

The purpose of research on the high-quality development of small towns is to better understand and reveal the laws of spatial and temporal dynamic evolution of the development quality of small towns and provide guidance for urban and rural construction. However, in the context of urban–rural integration and rural revitalization, evaluating the level of high-quality development in small towns is a very challenging task. The characteristics of small towns as “complex mega-systems” and the complexity of high-quality development involving multiple fields together constitute the multidimensional attributes of the level of high-quality development of small towns, which makes the evaluation process very complicated and difficult. Choosing reasonable and effective indicators to measure these attributes is crucial, but the evaluation process that follows is also of the utmost importance. In order to complete this challenging work, when constructing the evaluation model, the entropy weighting method can be used to determine the weights of the indicators to avoid the bias caused by human factors; then, the TOPSIS method can be used to evaluate the level of high-quality development of small towns, which can visually show the differences in the rankings of small towns.

2.4.1. Determining Indicator Weights Using the Entropy Weight Method

The entropy method is a widely used objective assignment method that reflects the differences and correlations between indicators and is applicable to the problem of comprehensive evaluation of multiple indicators. Its core idea is based on the concept of information entropy, using information entropy to measure the degree of contribution of each attribute to decision making, so as to determine the weight of each attribute. The entropy method provides several advantages for the evaluation of high-quality development of small towns. Firstly, the entropy value method provides an objective method to determine the weights of evaluation indexes through information entropy, which reduces the bias caused by subjectivity, thus obtaining more accurate and reliable evaluation results. Secondly, the entropy value method effectively deals with the differences and correlations between indicators, which is crucial in the evaluation of high-quality development of small towns. By dealing with the interrelationships between indicators, the comprehensiveness of evaluation is enhanced. These advantages make the entropy value method an effective tool for the evaluation of high-quality development of small towns. The process of determining indicator weights using the entropy value method is as follows:
(1)
Standardize the indicators in the evaluation index system for high-quality development of small towns by applying the extreme difference method:
Y ij = X ij min X ij max X ij min X ij max X ij X ij max X ij min X ij
where i represents the small town, j represents the evaluation index, Xij and Yij represent the original value and the value after standardization, and max(Xij) and min(Xij) represent the maximum and minimum value of Xij, respectively.
(2)
Calculate the information entropy Ej of each evaluation index:
E j = ln i = 1 n Y ij i = 1 n Y ij ln Y ij i = 1 n Y ij n
(3)
Calculate the coefficient of variation Gj for each evaluation indicator:
G j = 1 E j
(4)
Calculate the weight Wj of each evaluation index:
  W j = 1 E j j = 1 n 1 E j

2.4.2. Evaluating the Level of High-Quality Development Using the TOPSIS Method

The TOPSIS method has significant advantages in evaluating the high-quality development level of small towns and has been proven to provide a more comprehensive, scientific, and reasonable method for the evaluation of high-quality development of small towns. Therefore, we used Stata software (version 18) to construct an entropy weight–TOPSIS model, calculate the index weights, and then calculate the comprehensive index of high-quality development of small towns to measure the high-quality development level of small towns. The detailed steps for evaluating the level of high-quality development using the TOPSIS method are as follows:
(1)
Construct a weighted matrix, R:
R = r ij n × m , r ij = W j × Y ij i = 1 , 2 , , n ; j = 1 , 2 , , m
(2)
The optimal scheme Qj+ and the worst scheme Qj are determined from the weighted matrix R:
Q j + = max r i 1 , r i 2 , , r im , Q j = min r i 1 , r i 2 , , r im
(3)
Calculate the Euclidean distance between each scheme and the optimal scheme and the worst scheme:
d j + = j = 1 m Q j + r ij 2 , d j = j = 1 m Q j r ij 2
(4)
Calculate the high-quality development composite index:
C i = d j d j + d j +
The Ci value is between −1 and 1; the larger the Ci value, the better the level of high-quality development in small town I, and the worse, vice versa [28,29].

2.5. Small-Town High-Quality Development Index Weight

The calculation idea of the entropy value method is not to judge the importance of each index subjectively, but the greater the difference between the index values in small towns, the greater the weight, indicating a more important index [30]. From the calculation results of the entropy method, the weight of the high-quality development level varies significantly in the evaluation of small towns, as shown in Table 2.

2.6. Regional Difference Analysis of High-Quality Development Level in Small Towns in Guangxi

We use the Dagum Gini coefficient decomposition method to analyze the overall gap and its evolution trend of the high-quality development level of small towns in the five major economic zones of Guangxi, and further analyze the gap and evolution trend within and between small towns in the Southern Guangxi, Eastern Guangxi, Northern Guangxi, central Guangxi, and Western Guangxi Economic Zones. We explain the contribution of each factor to the overall difference, and explore the reasons for the formation of regional differences in the level of high-quality development of small towns in Guangxi. The participating small towns in the five economic zones are shown in Table 3.
The Dagum Gini coefficient is a metric used to study inequality issues, and it can be decomposed into intragroup differences, intergroup differences, and transvariation intensity. Intragroup differences refer to the disparities in high-quality development levels within a specific region, while intergroup differences indicate the imbalances in high-quality development levels between different regions. Transvariation intensity captures the contribution to regional disparities in high-quality development levels caused by the overlapping and interaction of different regions. This method has been widely adopted to describe spatial differences [31,32]. The Gini coefficient for the high-quality development levels of small towns in Guangxi can be defined by the following formula:
  G = j = 1 k h = 1 k i = 1 n j r = 1 n h y ji y hr 2 n 2 y ¯
where G is the Gini coefficient of the overall difference. Through this decomposition, Guangxi can be divided into k economic zones and n small towns: nj (nh) is the number of small towns in j (h) economic zone, yji(yhr) of any small towns in the economic zone, y ¯ is the mean of the index of each small towns, j, and h = 1,2,3,…, k; nj, nh = 1,2,3,… nj (nh).
Before we decompose the comprehensive index of high-quality development in small towns, the average value of the comprehensive index of high-quality development in each economic zone should be calculated separately and ranked, as follows:
Y ¯ l Y ¯ h Y ¯ k
Thus, the comprehensive index Gini system G representing the overall difference can be further decomposed into intraregion difference contribution Gw, interregion difference contribution Gb, and interregion superdensity contribution Gt, and the relationship between them satisfies the following:
G = G w + G b + G t
The overall difference is further decomposed, represented by the following categories. Formula (10) reflects the Gini coefficient of the comprehensive index of high-quality development in j economic zone Gji; Formula (13) represents the contribution rate of the economic difference to the overall difference; Formula (14) reflects the Gini coefficient of j economic zone and h economic zone Gjh; Formula (15) reflects the contribution rate Gb of the difference of the net value to the overall difference; and Formula (16) describes the contribution rate of hypervariable density.
G jj = 1 2 Y ¯ i = 1 n j r = 1 n j y ji y hr n j 2
G w = j = 1 k G jj P j s j
G jh = i = 1 n j r = 1 n j y ji y hr n jnh Y ¯ j + Y ¯ h
G b = j = 2 k h = 1 j 1 G jh P j s j + P h s h D jh
G t = j = 2 k h = 1 j 1 G jh P j s j + P h s h 1 D jh
where p j = n j Y ¯ , s j = n j Y ¯ n Y ¯ , j = 1,2,3,…, k. In addition, Djh is the interaction between j economic zone and h economic zone indicators, and djh is the difference of the composite index between the two economic zones, i.e., the expected sum of all sample values in these two economic zones satisfying the yjh − yji > 0 condition. Similarly, pjh is the expectation of all sample values in j and h that meet the yjh − yji > 0 condition. The definitions of Djh, djh, and pjh are given by formulas 17, 18, and 19, respectively:
D jh = d jh p jh d jh + p jh
d jh = 0 dF j y 0 y y x dF h x
p jh = 0 dF h y 0 y y x dF j x
where Fj(Fh) is the cumulative distribution function of the j(h) region.
Therefore, yji (yhr) can be used to express the comprehensive index of high-quality development of various small towns in Guangxi, respectively, and the regional gaps and sources can be decomposed.

3. Subsystem Analysis of High-Quality Development Level in Small Towns in Guangxi

Analysis of Subsystem Growth and Cluster Classification of High-Quality Development in Guangxi’s Small Towns

Between 2005 and 2022, the indices of the five subsystems contributing to the high-quality development of small towns in Guangxi exhibited varying degrees of growth (Figure 3). Among these, the Coordination Development Index had the highest value, though its growth rate was relatively modest. The Openness Development Index was the lowest overall, showing slow growth from 2005 to 2015, followed by a marked acceleration from 2015 to 2020. The Green Development Index and Shared Development Index displayed similar trends and growth rates, while the Innovation Development Index exhibited a fluctuating growth pattern, characterized by an initial decline followed by a subsequent rise, with relatively low values overall.
We used cluster analysis to classify the comprehensive development scores of small towns in order to better understand the development differences and similarities between different small towns. Using the scores of the innovation, coordination, green, openness, and shared development subsystems, as well as the overall high-quality development scores for the years 2005, 2010, 2015, and 2022 as classification factors, we conducted a cluster analysis of the comprehensive development scores of small towns using SPSS.26 software. Through systematic cluster analysis, we categorized the high-quality development of 70 small towns into five types: comprehensive leading, core backbone, catch-up potential, opportunity development, and low growth (Table 4 and Figure 3). We selected one representative small town from each category to analyze the distribution and temporal changes of the scores across the innovation, coordination, green, openness, and shared development subsystems (Figure 4).
Type I: Comprehensive leading small towns. This category includes Beiliu Town and Matou Town, which are spatially dispersed. The average indices for the various classification factors in these towns are 0.098, 0.056, 0.065, 0.032, 0.050, and 0.180. Comprehensive leading small towns exhibit significant advantages in innovation development and perform well across the green, openness, and shared development dimensions, making them the highest in overall scores. In 2022, the innovation development subsystem scores for the 70 small towns in Guangxi ranged from 0.026 to 0.152, with Beiliu Town and Matou Town both in the leading tier, scoring 0.124. A clear stratification is evident among other small towns. From 2005 to 2022, the average high-quality development score for comprehensive leading small towns was 0.177, higher than the average of 0.140 for all 70 towns. The average annual growth rates for the innovation, coordination, green, openness, and shared development subsystems were 2.18%, 12.58%, 6.43%, 6.20%, and 18.16%, respectively. The distribution of subsystem scores for comprehensive leading small towns, as shown in the radar chart, forms an almost perfect pentagon (Figure 5), reflecting a more synchronized improvement process across subsystems compared to other small-town models. The key characteristics of comprehensive leading small towns are 1. Strong economic foundation: These towns have relatively strong economic fundamentals and represent the best-developed small towns in Guangxi. 2. Balanced industrial and open development: These towns show balanced growth in industrial capacity and openness. For instance, Beiliu Town in Beiliu City has long implemented a “strong industrial city” strategy to drive socioeconomic development. Similarly, Matou Town in Pingguo City has leveraged its nonferrous metal resources to develop the aluminum industry, with significant industrial clustering. In recent years, Pingguo City has accelerated industrial structure adjustments and upgrades, maintaining stable economic growth. 3. Radiating influence: comprehensive leading small towns, with their high levels of both quality and quantity of development, should actively play a radiating role to foster the growth of surrounding developing small towns, thereby narrowing regional development gaps.
Type II: Core backbone small towns. This category includes seven small towns, such as Lingcheng Town and Xinning Town, which exhibit mid-to-high overall development levels and are also spatially dispersed. The average indices for these towns are 0.057, 0.055, 0.061, 0.035, 0.058, and 0.177. While these towns rank lower than comprehensive leading towns, their openness development subsystem scores are particularly low, significantly constraining their overall high-quality development. The characteristics of core backbone small towns are 1. Established industrial base: These towns generally have a foundation in industries such as manufacturing and tourism. For example, Xinning Town has developed industrially due to its advantageous location and transportation, while Yangshuo Town has capitalized on its unique tourism resources to drive economic growth. 2. Low openness: Despite being at mid-to-high levels in overall development, these towns face significant limitations in the openness dimension, which hampers their further progress.
Type III: Catch-up potential small towns. This category includes 12 small towns, such as Hengzhou Town, Huilong Town, and Cencheng Town, which are spatially clustered. The average indices for these towns are 0.036, 0.048, 0.060, 0.031, 0.052, and 0.163. These towns do not show significant advantages in innovation or openness and occupy mid-to-lower levels of overall high-quality development, though they possess some potential for future growth.
Type IV: Opportunity development small towns. This category includes 18 small towns, such as Pinnan Town, Luzhai Town, and Longzhou Town, which are spatially clustered. The average indices for these towns are 0.044, 0.045, 0.054, 0.025, 0.043, and 0.135. These towns have the highest scores in the green development subsystem, demonstrating a notable advantage in this area. From 2005 to 2022, the average growth in the green development subsystem score for opportunity development small towns was 0.074, compared to 0.036, 0.05, 0.004, and 0.047 for innovation, coordination, openness, and shared development, respectively. However, the significant disparities within the five subsystems of high-quality development in these towns indicate a lack of both regional and internal cohesion. Nevertheless, these towns have the potential to leverage green development as a driver of overall high-quality development, particularly if they can capitalize on ecological development opportunities.
Type V: Low-growth small towns. This category includes 31 small towns, such as Guyi Town, Rongshui Town, and Donglan Town, with average indices of 0.036, 0.033, 0.058, 0.020, 0.058, and 0.123. These towns exhibit the lowest overall development levels, with pronounced weaknesses in innovation and openness subsystems. The characteristics of low-growth small towns are 1. Widespread distribution: These towns are widely distributed, predominantly in the northwest and, to a lesser extent, in the eastern regions of Guangxi. 2. Weak economic strength: These towns lack industrial support and are constrained by fragile natural environments, resulting in a weak developmental foundation and low overall comprehensive strength, with an average composite index of approximately 0.15. They face significant challenges in maintaining growth momentum and exhibit poorly coordinated development structures, leading to relatively low levels of high-quality development. These towns are among the most underdeveloped in Guangxi and are central to the region’s challenges in achieving coordinated development. 3. Relatively high Green Development Index: Interestingly, the Green Development Index for these towns is relatively high, diverging from the trends observed in other dimensions. Although these towns are constrained by their fragile natural environments, this has also led to better protection of ecological resources, contributing to a relatively strong performance in green development.

4. Analysis of Spatial and Temporal Characteristics of High-Quality Development Level in Guangxi

4.1. Time Sequence Feature Analysis

The Comprehensive Evaluation Index for high-quality development in small towns has generally shown an upward trend, though the growth has been slow and marked by significant internal disparities. From a time-series perspective, the overall index for high-quality development in Guangxi’s small towns has increased across the four study periods between 2005 and 2022 (Table 5). The average index rose from 0.112 in 2005 to 0.193 in 2022 (Figure 6), indicating a certain level of improvement in high-quality development, albeit at a slow pace. In 2005, the overall comprehensive index for high-quality development was relatively low, with an average of 0.112. Twenty-three small towns had a comprehensive index above this average, representing 32.86% of the towns evaluated. By 2010, the average index had increased to 0.116, but only 14 small towns had an index above the average. Compared to 2005, the changes in the comprehensive index for all small towns were minor, showing a slight upward trend with increases ranging from 0.001 to 0.12. The differences in the growth of the comprehensive index from 2005 to 2010 led to changes in the rankings of the small towns. During this period, the quality of the coordination and green subsystems improved (Figure 7). In 2015, the average comprehensive index rose to 0.143, marking a 24.06% increase from 2010. Between 2010 and 2015, the green and shared subsystems within the high-quality development system saw significant improvements, reflecting the initial success of ecological civilization initiatives and the gradual improvement in healthcare and education levels. By 2022, the comprehensive evaluation index for high-quality development in small towns ranged from 0.142 to 0.664, indicating significant disparities in development. Matou Town in Pingguo City had the highest comprehensive index, while Rongshui Town in Rongshui Miao Autonomous County had the lowest, with a difference of 4.67 times between the two. The unevenness in high-quality development among small towns is attributable to differences in natural environmental conditions, historical development, and economic foundations, leading to distinct stages of development across towns. In 2022, the average comprehensive index for high-quality development in small towns was 0.193, with 24 towns exceeding this average. Compared to 2015, the increase in the comprehensive index was more pronounced, with most towns seeing growth rates above 0.05. Additionally, we observed that Dongxing Town and Youyi Town consistently ranked among the top in the comprehensive evaluation index for high-quality development from 2005 to 2022. This is mainly due to the significantly higher export volumes and actual utilization of foreign capital in these two border towns compared to other county towns. During the 2005–2022 period, the average export dependence and foreign capital utilization rates were 2.29% and 1.09%, respectively. However, Dongxing Town’s average export dependence and foreign capital utilization rates were as high as 29.25% and 4.07%, respectively. Similarly, Youyi Town’s export dependence and foreign capital utilization rates were also high, at 35.69% and 3.95%, respectively. This indicates that Dongxing Town and Youyi Town have extremely high levels of export dependence and foreign capital utilization, and these two indicators carry relatively significant weightings of 22.53% and 5.28%, respectively. This undoubtedly contributed to the higher comprehensive indices for Dongxing Town and Youyi Town.
Overall, the comprehensive index evaluating the high-quality development of the 70 small towns in Guangxi has shown a consistent upward trend. Small towns such as Matou Town in Pingguo City and Beiliu Town have maintained leading positions in development. Pingguo City has rapidly advanced by leveraging its resource and transportation advantages. In the new era, Pingguo City has accelerated the transformation and upgrading of its aluminum industry, striving for sustainable development. Meanwhile, Beiliu Town in Beiliu City has experienced rapid industrial economic growth through the implementation of the “Strong Industrial City” strategy, leading to significant changes in its industrial structure and continuous enhancement of its innovation capabilities. The city’s economic development has undergone a historic shift from being primarily driven by agricultural growth to being led by industrial growth, marking a pivotal transition from the early to the mid-to-late stages of industrialization [33]. On the other hand, Dongxing City and Pingxiang City have driven economic growth through the development of border trade. In fact, developing border trade not only facilitates the transformation and upgrading of the economy in Guangxi’s border regions but also promotes cooperation under China’s Belt and Road Initiative with neighboring countries. The border regions, with their unique geographical advantages, play a crucial role in achieving “policy coordination, infrastructure connectivity, unimpeded trade, financial integration, and closer people-to-people ties”. Developing border trade can enhance the economic development level of border areas, promote industrial structure upgrading, and foster economic integration between China and neighboring countries, thus solidifying the principles of “amity, sincerity, mutual benefit, and inclusiveness” in China’s diplomatic approach with its neighbors. However, it is worth noting that most small towns in the northwestern part of Guangxi have long lagged in development. Despite the annual growth in the comprehensive index of high-quality development from 2005 to 2022 and some changes in the rankings of small towns, the majority of small towns in northwestern Guangxi remain in a disadvantaged position due to their weak developmental foundation and insufficient growth momentum over an extended period.

4.2. Spatial Differentiation Feature Analysis

Using ArcGIS 10.2 software, the spatial pattern of the comprehensive index for high-quality development of small towns in Guangxi was visualized and classified, using the natural breaks method, into four categories: I—Low-Quality Development Zone, II—Lower-Quality Development Zone, III—Higher-Quality Development Zone, and IV—High-Quality Development Zone (Figure 8). The overall spatial differentiation of high-quality development in small towns is significant, with the spatial pattern evolving from a scattered to a more contiguous form. Geographically, the level of high-quality development in Guangxi’s small towns generally exhibits a “southeast high, northwest low” pattern. Towns such as Beiliu Town, Matou Town, Xinning Town, Dongxing Town, and Youyi Town, which benefit from resource advantages, industrial strengths, or border trade, have achieved higher development quality. From 2005 to 2022, the spatial pattern of high-quality development in Guangxi’s small towns showed noticeable changes, transitioning from scattered and linear configurations to a more contiguous layout. In 2005, the IV—High-Quality Development Zone was sporadically distributed, while the I—Low-Quality Development Zone was concentrated in large, continuous areas, leading to an imbalance in the number of towns within high- and low-quality zones. By 2010, the high-value areas of the comprehensive index remained scattered, with only Beiliu Town and Matou Town having relatively high indices, while the other small towns were mostly classified as I—Low-Quality Development Zones, indicating slow development. In 2015, high-value zones of the comprehensive index adopted a combination of linear and contiguous layouts, primarily concentrated in northern and southeastern Guangxi, reflecting the positive impact of policy support during this period. The issuance of the “Opinions of the Central Committee of the Communist Party of China and the State Council on Further Implementing the Strategy for Large-Scale Development of the Western Region” in July 2010 facilitated infrastructure development, comprehensive management of rocky desertification, and the construction of petrochemical bases in the southwestern regions, while also advancing the development of economic zones such as the Beibu Gulf, thereby promoting the growth of small towns in Guangxi. However, the low-value zones remained concentrated in northwestern Guangxi, where socioeconomic development had long lagged. Additionally, due to the fragile ecological environment, parts of northwestern Guangxi were designated as restricted development areas, limiting regional development opportunities. By 2022, the high-value zones had evolved into a contiguous layout, while the low-value zones became more scattered. The overall level of high-quality development in Guangxi’s small towns significantly improved. The IV—High-Quality Development Zone now included 13 small towns, such as Matou Town, Hengzhou Town, Beiliu Town, and Xinning Town, which had mostly transitioned from III—Higher-Quality Development Zones, accounting for 18.57% of the 70 small towns in the region, with a noticeable clustering effect. The southeastern part of Guangxi, including the Beibu Gulf Urban Agglomeration and the Xijiang River Town Belt, was the main concentration area for these IV—High-Quality Development Zones. The “Beibu Gulf Urban Agglomeration Development Plan” introduced in 2017, which advocated for “strengthening small and medium-sized cities and characteristic towns” and “accelerating the development of land border port towns”, played a guiding and promoting role in the high-quality development of small towns within the Beibu Gulf Urban Agglomeration. Meanwhile, only Rongshui Town remained in the I—Low-Quality Development Zone.
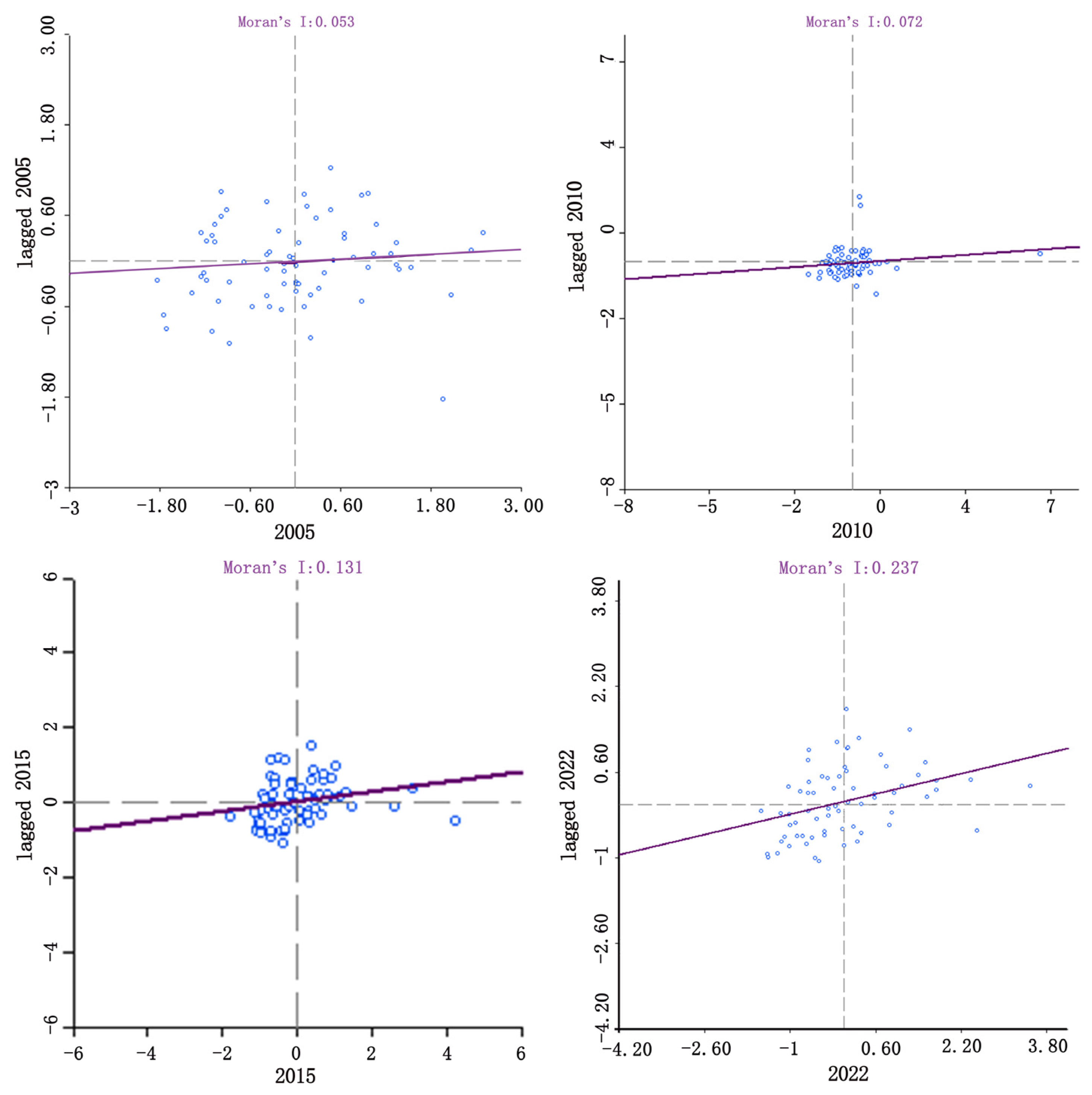
The spatial clustering of high-quality development in small towns is becoming more apparent, with low-low clusters expanding northwest and high-high clusters extending southeast. In order to further clarify the spatial characteristics of high-quality development of small towns in Guangxi and explore the aggregation types of high-quality development in small towns, we used ArcGIS10.2 to conduct spatial autocorrelation analysis on the high-quality development index of small towns in four time nodes of 2005, 2010, 2015, and 2022. Global Moran’s I values were positive for all years, but only significant in 2015 and 2022 (p < 0.05), indicating significant clustering in later years (Table 6 and Figure 9). The increasing Moran’s I values suggest stronger clustering and spatial differentiation over time. Local spatial autocorrelation, analyzed through Moran scatter plots and LISA cluster maps, identified four types: high-high, high-low, low-high, and low-low clusters (Figure 10). From 2005 to 2022, low-low clusters expanded in the northwest due to reliance on traditional agriculture and weak development, while high-high clusters in the southeast remained stable. By 2022, low-high clusters included underdeveloped towns like Chengxiang and Shinan, while Lerui Town was classified as high-low due to weak neighboring towns.

4.3. Overall Difference and Evolution Trend of High-Quality Development Level in Small Towns

Based on the entropy weight–TOPSIS method, we measured the comprehensive index of high-quality development for small towns in Guangxi for the years 2005, 2010, 2015, and 2022. We then used the Dagum Gini coefficient decomposition method to calculate the regional disparities in overall high-quality development levels among these small towns. This method allowed us to decompose the disparities within and between the southern, eastern, northern, central, and western economic zones of Guangxi and further calculate the contribution of various factors to the overall regional differences in high-quality development among these small towns, as detailed in Figure 11, Table 7 and Table 8.
Figure 11 and Table 7 and Table 8 illustrate the overall regional disparities in the high-quality development levels of Guangxi’s small towns and their evolution over time. From an overall perspective, during the period from 2005 to 2022, the total disparity in the high-quality development levels of Guangxi’s small towns initially decreased and then stabilized, with a significant decline in the overall Gini coefficient particularly evident between 2005 and 2010. Over the past 17 years, the overall Gini coefficient decreased from 0.207 in 2005 to 0.116 in 2022, a reduction of 43.96%. The evolution of the overall disparity in high-quality development levels can be divided into three stages: the first stage (2005–2010) saw a substantial decline in the Gini coefficient; the second stage (2010–2015) experienced a gradual decrease; and the third stage (2015–2020) showed a relatively stable Gini coefficient. This trend reflects the impact of national strategies such as the Western Development Strategy and the Urban–Rural Coordination Strategy, which have contributed to the gradual improvement in the development levels of small towns in Guangxi, thereby reducing development disparities. Especially since 2017, Guangxi has actively promoted the concept of high-quality development and introduced a series of related policies to foster the high-quality development of small towns. These efforts have facilitated the free flow of resources between urban and rural areas, optimized industrial structures, and nurtured new economic growth points to address development gaps and reduce disparities in small-town development levels.
Table 8 and Figure 12 allow us to observe the disparities within and between the southern, eastern, northern, central, and western economic zones of Guangxi in terms of high-quality development levels for small towns. Overall, there is notable intersectionality in the Gini coefficients of small towns’ high-quality development levels across the five economic zones. The disparities within the western and eastern economic zones are particularly large, indicating that the differences in high-quality development levels among small towns within these regions are the most significant. In contrast, the disparities within the northern, central, and southern economic zones are relatively smaller, with the internal disparities in high-quality development levels in the five economic zones showing alternating trends of increase and decrease.
Specifically, the internal disparities in the southern economic zone initially declined sharply but then saw a slight increase. By 2022, disparities had decreased by 76.86% compared to 2005, reflecting more balanced development, especially after the Beibu Gulf Economic Zone was elevated to a national strategy. In the western economic zone, disparities remained high due to weak development foundations and challenging ecological conditions, though there was a slight reduction in the Gini coefficient between 2010 and 2020. In the eastern economic zone, disparities declined in three stages: a gradual decrease from 2005 to 2010, a sharp drop from 2010 to 2015, and stabilization from 2015 to 2020. Despite improvements, internal disparities remain due to lagging foreign trade and industrial development, with low efficiency in certain industries.
In terms of trends in the Gini coefficients, the central and northern economic zones exhibit similar and even overlapping trends, with consistently minimal disparities in high-quality development levels among small towns within these zones. According to Table 8 and Figure 13, we can observe the regional disparities in high-quality development levels among the five economic zones of Guangxi and their trends over time. Overall, the regional disparities in high-quality development among Guangxi’s small towns have shown a declining trend, with the exceptions of the eastern–western and northern–western regional disparities, which have remained relatively stable. In contrast, the regional disparities between the eastern and central, eastern and northern, eastern and southern, central and northern, central and southern, central and western, and northern and southern regions have all shown significant declines.
Specifically, from 2005 to 2010, regional disparities in high-quality development among small towns in the central–southern, northern–southern, eastern–southern, and southern–western zones of Guangxi rapidly decreased by about 60%. Between 2010 and 2020, these disparities remained stable or slightly increased, but by 2022, they had significantly narrowed, with development reaching new heights. The “13th Five-Year Plan” and related regional strategies contributed to this trend. Disparities in the central–northern and eastern–central zones remained consistently low due to economic strengthening, while disparities in the eastern–western, northern–western, and eastern–northern zones followed similar patterns.
According to Table 7 and Figure 14, we can observe the sources of regional disparities in high-quality development levels among Guangxi’s small towns from 2005 to 2022 and the trends in their contribution levels. During this period, the intraregional contribution rate (Gw) remained relatively stable, increasing from 21.95% in 2005 to 25.94% in 2022. The interregional contribution rate (Gb) showed a fluctuating downward trend, decreasing by 19.26%. Conversely, the hypervariable density contribution rate (Gt) exhibited a fluctuating upward trend.
Specifically, in 2022, the contribution of intraregional disparities to high-quality development in Guangxi’s small towns increased by 18.164 percentage points compared to 2005 but remained a minor factor in overall regional disparities. The interregional contribution rate saw a significant drop in 2010, decreasing by 99.4 percentage points compared to 2005, but trended upward from 2010 to 2022. The hypervariable density contribution rate rose by 11.864 percentage points in 2020 compared to 2005, showing an inverse relationship with the interregional rate from 2005 to 2015. This suggests that intra- and interregional interactions drove regional disparities between 2005 and 2010 but lessened afterward. From 2010 to 2020, hypervariable density contributed more to regional disparities than either intra- or interregional factors, highlighting the growing influence of interactions between these disparities. The contributions from disparities among Guangxi’s five economic zones remained significant throughout.
In summary, the application of the Dagum Gini coefficient to measure and decompose regional disparities in high-quality development levels among Guangxi’s small towns reveals that the overall trend in disparities can be divided into three stages, with a significant reduction in the overall Gini coefficient, indicating a gradual narrowing of the overall disparity in high-quality development levels. For intraregional disparities, the western and eastern economic zones exhibited the largest internal disparities, while the central economic zone had the smallest. For interregional disparities, the overall trend among the five economic zones of Guangxi showed a decrease, eventually stabilizing between 0.09 and 0.12. The interaction between intraregional and interregional disparities was the primary cause of the overall regional disparities in high-quality development levels among small towns, with this contribution rate showing a trend of first decreasing and then increasing. The intraregional contribution rate remained relatively stable, while the interregional contribution rate and the hypervariable density contribution rate exhibited inverse trends and fluctuations.

5. Discussion

To better understand the effectiveness and impact of the high-quality development strategies applied to small towns in Guangxi, the rationality of the evaluation index system and process must first be assessed.

5.1. Rationality of the Evaluation Index System and Process

The evaluation index system designed for this study is grounded in both theoretical frameworks and empirical evidence, ensuring its comprehensive and logical structure. The primary goal of this system is to assess the high-quality development of small towns in Guangxi, a complex process involving multidimensional factors such as economic, social, and ecological dimensions. The rationality of this system can be discussed from several aspects, including the comprehensiveness of the indicators, the scientific nature of the process, and its alignment with the new development philosophy.
The evaluation index system is designed based on the five development principles: innovation, coordination, green development, openness, and sharing. These principles are well established in the literature as essential elements of high-quality development, especially in the context of China’s new development paradigm. By incorporating these dimensions, the system covers key aspects of growth that are critical to small towns’ development in Guangxi [19]. This holistic approach ensures that the evaluation is not limited to a single factor but, instead, captures the complex interactions between economic growth, social wellbeing, and ecological sustainability. For example, innovation is measured by indicators such as technological investment and patent applications, which reflect the ability of small towns to enhance their industrial structures and competitiveness [20]. These innovation-related indicators align with the broader objectives of fostering sustainable economic growth through technology and knowledge-based industries [21].
In terms of coordination, the evaluation system addresses urban–rural disparities, which are critical in Guangxi, a region where the economic gap between urban centers and rural areas remains significant [22]. This system assesses how well small towns balance development across regions and between sectors, ensuring that growth is not overly concentrated in a few areas. Indicators such as the proportion of secondary and tertiary industries in GDP and the urban–rural income ratio highlight how small towns are progressing in achieving balanced development [23]. These indicators are essential in evaluating how well towns are managing economic transitions while ensuring inclusive growth across the region.
The green development dimension is particularly important in evaluating small towns’ progress towards sustainability. As the global push for environmental conservation intensifies, green development has become a central aspect of high-quality development. The inclusion of indicators such as carbon emissions per unit of GDP and urban sewage treatment rates reflects the emphasis on sustainable resource use and environmental protection [22]. These indicators are scientifically valid measures of a town’s ecological impact, and they align with the national and international goals of reducing carbon footprints and promoting greener economies [23].
Moreover, the openness dimension assesses the ability of small towns to engage in global and regional economic networks. This is particularly relevant for Guangxi, which borders Vietnam and is part of China’s Belt and Road Initiative. The evaluation system includes metrics such as export dependence and foreign investment intensity, reflecting how well these towns are integrated into global markets. This aspect is crucial for assessing the potential of small towns to attract foreign capital and develop trade networks, which are key drivers of economic growth in less developed regions [18].
Finally, the sharing dimension ensures that the benefits of development are equitably distributed. Indicators such as the number of doctors per thousand people and the proportion of social security expenditures to GDP ensure that social progress keeps pace with economic growth, which is a fundamental requirement for high-quality development [25]. This dimension is critical in evaluating whether the growth in small towns leads to improvements in residents’ quality of life, healthcare, and education, which are essential for achieving social equity.
The rationality of the evaluation process is further strengthened by the application of the entropy weight method (EWM) combined with TOPSIS. The entropy method objectively determines the weight of each indicator by measuring its variability across different towns. This minimizes subjectivity and ensures that indicators with higher variability—and, hence, greater importance in differentiating towns—are given more weight in the evaluation [20]. The TOPSIS method complements this by ranking towns based on their closeness to an ideal solution, providing a clear and practical way to assess which towns are performing well in terms of high-quality development [19].
Together, the use of EWM and TOPSIS creates a robust and scientific evaluation process that not only captures the complexities of small-town development but also provides actionable insights for policymakers. By focusing on objective data and reducing bias in the evaluation process, this study offers a reliable framework for assessing the progress of high-quality development in Guangxi’s small towns. Furthermore, the use of Geographic Detector and the Dagum Gini coefficient for analyzing spatial disparities enhances the understanding of regional inequalities, providing valuable insights into the spatial–temporal dynamics of development in the region [32].

5.2. Comparison with Other Evaluation Methods

In terms of methodological innovation, this study’s use of the entropy weight method (EWM) combined with TOPSIS offers several advantages over more traditional evaluation approaches. A comparison with other methods such as analytic hierarchy process (AHP) and fuzzy comprehensive evaluation (FCE) highlights the strengths of the chosen methodology.
The AHP method, commonly used in multicriteria decision making, relies heavily on expert judgment to assign weights to different criteria [21]. While this allows for the incorporation of expert knowledge, it also introduces subjectivity, which can lead to biases in the evaluation process. In contrast, the entropy method used in this study minimizes human intervention by objectively determining weights based on the inherent variability of the data. This data-driven approach is particularly useful when dealing with large datasets or when human judgment might be inconsistent or biased. Thus, the entropy weight method provides a more objective evaluation framework that better captures the complex and dynamic nature of small-town development.
Additionally, AHP can become cumbersome when dealing with a large number of criteria and alternatives, as it requires pairwise comparisons between all elements [19]. This limitation is particularly significant in the context of high-quality development, where multiple factors must be considered simultaneously. The TOPSIS method, on the other hand, simplifies the evaluation process by calculating the distance of each alternative from an ideal solution. This makes it easier to handle large datasets and provides clearer insights into how well towns are performing relative to the ideal development model [20].
Fuzzy comprehensive evaluation (FCE), another commonly used method in evaluating development, is effective in dealing with uncertainty and vagueness in data. It translates qualitative evaluations into quantitative scores, which is useful when data are scarce or incomplete [22]. However, FCE can become complex to implement, particularly when the number of indicators or categories increases. It also requires accurate membership functions, which can be difficult to determine. In contrast, the combination of EWM and TOPSIS offers a simpler and more straightforward approach, particularly when high-quality data are available. While FCE is useful in situations where qualitative judgments are necessary, the objective nature of EWM and the clarity provided by TOPSIS make them more suitable for this study’s focus on small-town development in Guangxi, where comprehensive data on economic, social, and environmental factors is available.
Moreover, this study incorporates Geographic Detector to analyze the spatial heterogeneity and interaction of driving factors, which is an innovative approach in the field of high-quality development evaluation [30]. While traditional methods like AHP and FCE primarily focus on static evaluations, Geographic Detector allows for a dynamic analysis of spatial patterns and the identification of key drivers of development. This adds a valuable dimension to the evaluation, as it highlights not only which towns are performing well but also why certain towns are lagging behind. By examining spatial interactions, this study provides deeper insights into the regional disparities in high-quality development, something that is not easily achieved through traditional methods [31].
Finally, the Dagum Gini coefficient, used to measure regional disparities, offers a detailed breakdown of both within-region and between-region inequalities. This method is more sophisticated than the simple Gini coefficient, as it accounts for transvariation intensity, which reflects the overlap and interaction between different regions. This is particularly important in the context of Guangxi, where economic, social, and ecological conditions vary significantly across different regions. By using the Dagum Gini coefficient, this study provides a nuanced analysis of regional disparities, offering policymakers a more precise understanding of where interventions are needed to promote balanced development [30].
In conclusion, this study’s use of the EWM, TOPSIS, Geographic Detector, and the Dagum Gini coefficient represents a significant methodological advancement in the evaluation of high-quality development in small towns. Compared to traditional methods like AHP and FCE, the chosen methodology offers greater objectivity, simplicity, and insight, particularly in dealing with large datasets and complex spatial relationships. This not only enhances the accuracy and reliability of the evaluation but also provides valuable guidance for policymakers seeking to promote sustainable and equitable development in Guangxi’s small towns.

5.3. High-Quality Development Strategy of Small Towns in Guangxi

Innovation-driven strategy: Innovation is essential for the development of small towns, requiring both comprehensive planning and targeted focus on economic competitiveness. Improving the innovation environment involves enhancing government policy support, attracting talent, and fostering a culture that encourages technological advancements. Small towns should build innovation platforms like patent incubators and cultivate industries based on their unique resources, such as ecological protection and smart agriculture [33,34]. Institutional innovations can facilitate the flow of urban and rural resources, helping bridge the urban–rural gap and promote coordinated growth through policies like land reform and social security improvements [35].
Coordinated development strategies: Small towns, as connectors between urban and rural areas, play a key role in promoting regional integration. To foster balanced growth, rural land reform is crucial, ensuring property rights and creating a unified land market to reduce disparities. Extending public facilities, such as transport, water supply, and waste management, to rural areas can bridge the urban–rural divide. Furthermore, developing smart industrial parks using advanced technologies like AI and big data can help integrate agriculture, manufacturing, and services, fostering a holistic approach to regional development.
Green development strategy: Green development in small towns should emphasize low-carbon growth, focusing on reducing emissions and promoting renewable energy. By optimizing industrial structures and advancing green technologies, small towns can transition to more sustainable practices. Additionally, leveraging ecological tourism and green living opportunities can attract talent and investments, enhancing their ecological value. Differentiated strategies based on the development stage of each town should focus on advancing green industries in leading towns, developing green manufacturing in catching-up towns, and prioritizing ecological preservation in underdeveloped areas [36].
Open development strategy: To promote open development, underdeveloped small towns should first expand infrastructure, particularly roads, to facilitate trade and external engagement. Leading small towns should optimize their openness by improving the structure of exports and enhancing international competitiveness. Encouraging innovation-driven development and reducing barriers for investment and trade are key steps. Open development and innovation are mutually reinforcing, helping towns attract high-end investments and further integrate into global markets.
Sharing development strategy: Sharing development, aimed at ensuring equitable benefits from growth, requires the integration of resources such as policies and funds to improve public facilities. This can involve coordinated efforts between different government levels and the inclusion of social and private capital in public service provision. Small towns should enhance employment opportunities, particularly for graduates and returning migrants, while improving healthcare services and ensuring that public health resources are accessible to all. Strengthening governance systems will ensure the sustainable and equitable development of small towns.

5.4. The Uniqueness of Guangxi as a Research Area and Its Implications for Other Regions

We chose Guangxi as the research area mainly for the following reasons. Guangxi has a unique geographical and policy background. From a geographical perspective, it is located in southern China, connecting the coast and the inland, with rich natural resources and unique ethnic culture, while facing the challenge of unbalanced regional development. In terms of policy, Guangxi enjoys nationally supported regional development policies, such as the Western Development Strategy and the China-ASEAN Free Trade Area, which have had a profound impact on its industrial structure adjustment and economic development model. In addition, Guangxi’s multiethnic social environment and unique cultural traditions provide an important perspective for analyzing social changes and governance challenges caused by globalization.
We believe that despite Guangxi’s uniqueness, its lessons learned in the process of globalization and industrial transformation can, to some extent, provide reference for other Chinese regions that are experiencing similar structural changes. For example, how Guangxi uses its location advantages and policy opportunities to adjust its industrial structure and improve its regional competitiveness is of reference significance to other regions. However, the specific applicability may depend on the different policy environments, economic structures, and cultural backgrounds of various regions. There are differences among regions in terms of industrial base, resource endowment, market size, and policy support, which will affect the application of research results.
Guangxi’s experience provides insights into how to carry out regional development planning in the context of globalization, especially in the context of resource scarcity or unbalanced development. Although different countries and regions face different specific environments and challenges, some basic principles and methods for participation in global value chains and regional economic development are universal. Principles such as increasing industrial added value in the global value chain, strengthening regional industrial collaboration, and focusing on human capital training can promote regional economic development in both developed and developing regions. In addition, when responding to the impact of economic globalization, different countries and regions need to reasonably participate in the global division of labor based on their own comparative advantages to achieve industrial upgrading and sustainable economic development. Guangxi’s practical exploration can provide a direction for other regions to consider.

6. Conclusions and Outlook

In this research, we carried out an in-depth exploration of the high-quality quantity of the west small city area, and carried out systematic construction and validation analysis. We established a new concept for the exhibition, we established a comprehensive guide system for the high-quality quantity exhibition in Nishi-Kojo City, we established a new exhibition philosophy, we introduced the five degrees of innovative development, coordinated development, green development, open development, and shared development, using 70 small towns, from 2005 to 2022. The analysis of the number of small cities was completed in 2005–2022. Summary of this study:
1. 2005–2022: Guangxi Xiaocheng New, Collaborative, Green, Opening Japanese Communicating Five-Party Child System Recommendations Universal Presentation Augmentation Long Range.
2. Guangxi Xiaocheng High-Quality Quantity Expansion System Horizontal Scroll Proposal, Presentation of the New Year’s Time Order Special Expedition. In the direction of space division, the eastern and southern small cities are horizontally reaching high levels, and the western and northern small cities are showing significant regional disequilibrium.
3. This research has a comprehensive structure that has a wide variety of structural advantages and capabilities, which fully reflect the development situation of Ogi City. The review system is not suitable for use, and the following reference frame will be provided for further research.
Based on the new development concepts, we measured, analyzed, and simulated the high-quality development levels of 70 small towns in Guangxi, yielding significant results. However, due to the complexity of the issue and limitations in research capabilities, this study inevitably faced subjective judgments and insufficient depth of analysis. The specific shortcomings and areas for improvement are as follows: further optimization of the evaluation and driving factor indicator systems. The currently constructed evaluation system largely relies on macro-level indicators, which may not fully capture the unique characteristics of Guangxi’s small towns. Future research should select indicators that reflect the local context, distinguishing them from the national or provincial high-quality development frameworks. Special consideration should be given to the ecological vulnerability of karst regions and the cultural diversity of ethnic minorities to achieve an objective understanding of high-quality development in Guangxi’s small towns.

Author Contributions

Conceptualization, Z.Y. and C.M.; Methodology, C.H.; Software, C.H., B.L. and C.M.; Validation, C.M.; Formal analysis, C.H.; Resources, Z.Y.; Data curation, C.H. and B.L.; Writing—original draft, C.H. and B.L.; Writing—review & editing, B.L. and Z.Y.; Supervision, Z.Y.; Project administration, Z.Y.; Funding acquisition, Z.Y. All authors have read and agreed to the published version of the manuscript.

Funding

This research was funded by Research topic of Philosophy and Social Science Planning in Guangxi: Evaluation and Barrier Factor Identification of High-quality Development of Small Towns in Guangxi (No. 22BSH010), Guangxi Graduate Education Innovation Plan Project: A Study on the Space and temporal Differences in development Quality of Small Towns in Karst ecologically fragile areas in Guangxi (No. YCSW2023434), Nanning Normal University Demonstration Modern Industrial College (No. 6020303891920), and Nanning Normal University Characteristic Undergraduate College Construction and College Teaching Quality and Reform Engineering Project—Undergraduate Education and Teaching Key Project (No. 6020303891924).

Data Availability Statement

The raw data supporting the conclusions of this article will be made available by the authors on request.

Conflicts of Interest

The authors declare no conflicts of interest.

References

  1. Gu, C.; Li, Y.; Han, S.S. Development and transition of small towns in rural China. Habitat Int. 2015, 50, 110–119. [Google Scholar] [CrossRef]
  2. Li, Y.; Qiu, F.; Sun, Q. Spatial structure evolution and driving mechanism of small towns in the rapid urbanization process of China. Cities 2012, 29, 171–183. [Google Scholar]
  3. Heffner, K.; Twardzik, M. The impact of globalization on the development of small towns in Poland. Econ. Reg. Stud. 2015, 8, 54–68. [Google Scholar]
  4. Paddison, R.; Hutton, T.A. Re-thinking the dynamics of urban growth in the context of globalization: The role of small towns. Geoforum 2004, 35, 295–306. [Google Scholar]
  5. Wu, F. China’s emergent city-regions: Urbanization, regional development and governance under globalization. Prog. Plan. 2010, 73, 1–75. [Google Scholar]
  6. Sassen, S. Cities in a World Economy; Sage Publications: New York, NY, USA, 2018. [Google Scholar]
  7. Cohen, B. Urbanization in developing countries: Current trends, future projections, and key challenges for sustainability. Technol. Soc. 2006, 28, 63–80. [Google Scholar] [CrossRef]
  8. Brenner, N.; Roger, K. (Eds.) The Global Cities Reader; Psychology Press: London, UK, 2006. [Google Scholar]
  9. Swyngedouw, E. Globalisation or ‘glocalisation’? Networks, territories and rescaling. Camb. Rev. Int. Aff. 2004, 17, 25–48. [Google Scholar] [CrossRef]
  10. Rhodes, R.A.W. The new governance: Governing without government. Political Stud. 1996, 44, 652–667. [Google Scholar] [CrossRef]
  11. Harvey, D. The Condition of Postmodernity: An Enquiry into the Origins of Cultural Change; John Wiley & Sons: Hoboken, NJ, USA, 1990. [Google Scholar]
  12. Bolea, L.; Duarte, R.; Hewings, G.J.D.; Jiménez, S.; Sánchez-Chóliz, J. The role of regions in global value chains: An analysis for the European Union. Pap. Reg. Sci. 2022, 101, 771–794. [Google Scholar] [CrossRef]
  13. Capello, R.; Dellisanti, R. Smile-and-go. Regional performance through global value chains in Europe. Pap. Reg. Sci. 2024, 103, 100018. [Google Scholar] [CrossRef]
  14. Wu, C.; Zhang, W. The role of transportation in the development of small towns: A case study of two towns in China. Habitat Int. 2013, 37, 118–124. [Google Scholar]
  15. Liu, Y.; Wang, J.; Long, H. Analysis of spatial patterns of urban-rural development in China during the post-reform period. Land Use Policy 2010, 27, 654–663. [Google Scholar]
  16. Baldwin, R.; Martin, P. Agglomeration and regional growth. Handb. Reg. Urban Econ. 2004, 4, 2671–2711. [Google Scholar]
  17. Zhu, J.; Liu, Y. The relationship between small towns and regional development in China: A case study of the Yangtze River Delta. Land Use Policy 2014, 41, 497–504. [Google Scholar]
  18. Fang, C.; Yu, D. Urban agglomeration: An evolving concept of an emerging phenomenon. Landsc. Urban Plan. 2017, 162, 126–136. [Google Scholar] [CrossRef]
  19. Ianoș, I.; Sorensen, A.; Merciu, F.C. Exploring the Urban Strength of Small Towns in Romania. Sustainability 2018, 10, 1974–1992. [Google Scholar]
  20. Shen, J.; Ma, Y. Industrial restructuring and upgrading in small towns in China: A case study of Changshu City. Habitat Int. 2013, 39, 213–222. [Google Scholar]
  21. Zhu, Y.; Wang, J. The impact of foreign direct investment on small towns in China: A case study of Zhejiang Province. J. Clean. Prod. 2018, 172, 2931–2940. [Google Scholar]
  22. Wu, F.; Shen, X. The role of environmental regulation in the development of small towns in China. J. Environ. Manag. 2018, 215, 162–170. [Google Scholar]
  23. Zhao, X.; Zhang, Y. Green transformation of small towns in China: A case study of Jinhua City. Sustainability 2017, 9, 1812–1827. [Google Scholar]
  24. Liu, Y.; Yang, R. The role of public services in the development of small towns in China. J. Rural Stud. 2018, 63, 107–118. [Google Scholar]
  25. Chen, S.; Li, Y. Social security and the development of small towns in China: Challenges and opportunities. Soc. Indic. Res. 2013, 112, 797–813. [Google Scholar]
  26. Guin, D. Contemporary perspectives of small towns in India: A review. Habitat Int. 2019, 86, 19–27. [Google Scholar] [CrossRef]
  27. Sun, Y.; Wang, N. Evolution and obstacle factors of high-quality industrial development in the π-shaped Curve Area of the Yellow River basin in China. J. Geogr. Sci. 2022, 32, 2430–2452. [Google Scholar] [CrossRef]
  28. Li, F.; Zhu, G.; Hou, D.; Ji, Y.; Zhu, C.; Sun, H. Spatial-Temporal Analysis of Urbanization Development Quality and New Urbanization Development Classification Guidance in Jiangsu Province. Resour. Environ. Yangtze Basin 2017, 26, 1774–1783. [Google Scholar]
  29. Du, Y.; Chen, X.; Liu, Y.; Wang, Y.; Zhu, X.; Liu, S. Study on the Spatial-Temporal Evolution and Driving Forces of High-Quality Development in Counties (Cities) of the Harbin-Changchun City Cluster. Econ. Geogr. 2022, 42, 62–71. [Google Scholar]
  30. Ma, H.; Xu, X. Evaluation and Spatial Pattern Differentiation of High-Quality Development in Urban Agglomerations in the Yellow River Basin. Econ. Geogr. 2020, 40, 11–18. [Google Scholar]
  31. Zhang, Y.; He, W.; Zhang, Z. Evolution Characteristics of Regional Differences in Chinese Residents’ Consumption Expenditure: An Empirical Study Based on the Decomposition of Dagum’s Gini Coefficient and Kernel Density Estimation. J. Chongqing Univ. Technol. (Soc. Sci.) 2022, 36, 66–76. [Google Scholar]
  32. Zhang, S.; Wang, X. Pattern and Influencing Factors of Regional Gap in Pensions for Urban and Rural Residents in China. Economic Geography. 2023, 43, 36–45. [Google Scholar]
  33. Liu, K.; Liu, T. Pattern Evolution and Driving Factors of Economic Development Quality in Chinese Cities. Econ. Geogr. 2023, 43, 80–90. [Google Scholar]
  34. Li, W.; Chen, K. Differences in Development Models of Small Towns in China. Urban Rural. Constr. 2003, 12, 36–37. [Google Scholar]
  35. Li, Q. Construction and Measurement of an Evaluation Index System for High-Quality Economic Development. Stat. Decis. 2021, 37, 109–113. [Google Scholar]
  36. National Development and Reform Commission of the People’s Republic of China. In-Depth Understanding and Grasping the Theoretical Significance of Promoting High-Quality Development. (21 June 2023). Available online: https://www.ndrc.gov.cn/xwdt/ztzl/NEW_srxxgcjjpjjsx/jjsxyjqk/tszl/qnllxxxz/dt/202306/t20230621_1363527.html (accessed on 5 September 2023).
Figure 1. Location of our study. ((a) The location of Guangxi’s small towns in China. (b) Distribution of small towns in Guangxi Zhuang Autonomous Region).
Figure 1. Location of our study. ((a) The location of Guangxi’s small towns in China. (b) Distribution of small towns in Guangxi Zhuang Autonomous Region).
Land 13 01821 g001
Figure 2. The flow chart of the high-quality development of small towns.
Figure 2. The flow chart of the high-quality development of small towns.
Land 13 01821 g002
Figure 3. Changes of high-quality development subsystem in small towns.
Figure 3. Changes of high-quality development subsystem in small towns.
Land 13 01821 g003
Figure 4. Overall clustering results of high-quality development level in small towns in Guangxi.
Figure 4. Overall clustering results of high-quality development level in small towns in Guangxi.
Land 13 01821 g004
Figure 5. Distribution of scores of the five subsystems of small towns for each type.
Figure 5. Distribution of scores of the five subsystems of small towns for each type.
Land 13 01821 g005
Figure 6. Average value of the composite index of high-quality development in small towns.
Figure 6. Average value of the composite index of high-quality development in small towns.
Land 13 01821 g006
Figure 7. Average value of the top five subsystems in small towns.
Figure 7. Average value of the top five subsystems in small towns.
Land 13 01821 g007
Figure 8. Spatial distribution characteristics of high-quality development in small towns from 2005 to 2022.
Figure 8. Spatial distribution characteristics of high-quality development in small towns from 2005 to 2022.
Land 13 01821 g008
Figure 9. LISA aggregation results of the high-quality development composite index in small towns.
Figure 9. LISA aggregation results of the high-quality development composite index in small towns.
Land 13 01821 g009
Figure 10. Spatial differences in LISA aggregation results of the comprehensive index of high-quality development of small towns.
Figure 10. Spatial differences in LISA aggregation results of the comprehensive index of high-quality development of small towns.
Land 13 01821 g010
Figure 11. The evolution trend of the overall regional gap in the high-quality development level of small towns in Guangxi.
Figure 11. The evolution trend of the overall regional gap in the high-quality development level of small towns in Guangxi.
Land 13 01821 g011
Figure 12. The evolutionary trend of the intraregional gap in the high-quality development level of small towns in Guangxi.
Figure 12. The evolutionary trend of the intraregional gap in the high-quality development level of small towns in Guangxi.
Land 13 01821 g012
Figure 13. The evolutionary trend of the interregional gap in the high-quality development level of small towns in Guangxi.
Figure 13. The evolutionary trend of the interregional gap in the high-quality development level of small towns in Guangxi.
Land 13 01821 g013
Figure 14. Evolution trend of regional gap contribution degree of high-quality development level of small towns in Guangxi from 2005 to 2022.
Figure 14. Evolution trend of regional gap contribution degree of high-quality development level of small towns in Guangxi from 2005 to 2022.
Land 13 01821 g014
Table 1. Rating index system for high-quality development of small towns. (‘+’ means that the increase in the indicator value has a positive effect on the corresponding first-level development dimension. ‘−’ means that the increase in the indicator value has a negative impact on the corresponding first-level development dimension, that is, the lower the value, the more conducive it is to the development of this dimension).
Table 1. Rating index system for high-quality development of small towns. (‘+’ means that the increase in the indicator value has a positive effect on the corresponding first-level development dimension. ‘−’ means that the increase in the indicator value has a negative impact on the corresponding first-level development dimension, that is, the lower the value, the more conducive it is to the development of this dimension).
First Level IndicatorSecondary IndicatorsLevel 3 IndicatorsCalculation StandardsUnitProperty
Innovative developmentInnovation factor investmentTechnology investment (X1)Science and technology expenditure/general public budget expenditure%+
Proportion of professional and technical personnel (X2)Number of professional and technical personnel/employed population%+
Innovation ResultsNumber of invention patent applications granted (X3) Item+
Index of total industrial output value above designated size (X4)Total industrial output value above designated size/GDP%+
Coordinated developmentEconomic structure coordinationThe proportion of secondary and tertiary industry output value in DGP (X5)Output value of secondary and tertiary industries/GDP%+
Coordination of urban and rural structuresPer capita urban construction land area (X6)Urban construction land area/total urban populationm2/person+
Employment rate (X7)Employed population/population aged 16 and above%+
Urbanization rate of permanent population (X8)Urban resident population/regional resident population%+
Economic and social coordinationRatio of urban and rural residents’ income (X9)Per capita disposable income of urban residents/per capita net income of rural residents%
GDP per capita (X10)GDP/resident populationCNY 10,000+
Green DevelopmentGreen development pressureElectricity consumption per unit of GDP (X11)Total electricity consumption/GDPkW·h/CNY 10,000
Carbon dioxide emissions per unit of GDP (X12)CO2 emissions/GDPt/CNY 10,000
Annual average PM2.5 (X13)-μg/m3
Green development statusGreen coverage rate of built-up area (X14)-%+
Green development responseUrban sewage treatment rate (X15)-%+
Urban garbage harmless treatment rate (X16)-%+
Open DevelopmentOpen DepthExport dependence (X17)Exports/GDP%+
Foreign investment intensity (X18)Actual utilization of foreign capital/GDP%+
Total retail sales of consumer goods as a percentage of GDP (X19)Total retail sales of consumer goods/GDP%+
Opening conditionsRoad network density (X20)Highway mileage/administrative areakm/km2+
Shared DevelopmentSharing of economic resultsSocial security expenditure as a percentage of GDP (X21)Social security expenditure/GDP%+
Sharing of social achievementsNumber of doctors per thousand people (X22)Number of practicing physicians in the region/10,000 peopleindividual+
Number of beds in health institutions per thousand people (X23)Number of beds in regional health institutions/10,000 peopleopen+
Park green space area per capita (X24)Park green area/total populationm2+
Number of full-time teachers per 100 students in ordinary secondary schools (X25)Number of full-time teachers/number of studentspeople+
Table 2. Weight table of evaluation indicators for high-quality development of small towns in Guangxi from 2005 to 2022.
Table 2. Weight table of evaluation indicators for high-quality development of small towns in Guangxi from 2005 to 2022.
First Level IndicatorFirst-Level Indicator WeightSecondary IndicatorsSecondary Indicator WeightLevel 3 IndicatorsWeight of Three-Level Indicators
Innovative development20.50%Innovation factor investment6.79%Technology investment (X1)7.45%
Proportion of professional and technical personnel (X2)2.60%
Innovation Results14.50%Number of invention patent applications granted (X3)11.65%
Index of total industrial output value above designated size (X4)5.15%
Coordinated development13.32%Economic structure coordination2.01%The proportion of secondary and tertiary industry output value in DGP (X5)0.23%
Coordination of urban and rural structures3.14%Per capita urban construction land area (X6)1.72%
Employment rate (X7)1.61%
Urbanization rate of permanent population (X8)3.54%
Economic and social coordination6.82%Ratio of urban and rural residents’ income (X9)1.22%
GDP per capita (X10)5.69%
Green Development9.92%Green development pressure6.22%Electricity consumption per unit of GDP (X11)0.21%
Carbon dioxide emissions per unit of GDP (X12)0.07%
Annual average PM2.5 (X13)2.20%
Green development status6.77%Green coverage rate of built-up area (X14)3.24%
Green development response3.68%Urban sewage treatment rate (X15)0.96%
Urban garbage harmless treatment rate (X16)2.47%
Open Development40.57%Open Depth21.93%Export dependence (X17)22.53%
Foreign investment intensity (X18)5.28%
Total retail sales of consumer goods as a percentage of GDP (X19)1.72%
Opening conditions5.83%Road network density (X20)2.23%
Shared Development15.69%Sharing of economic results13.99%Social security expenditure as a percentage of GDP (X2 1)4.14%
Sharing of social achievements8.33%Number of doctors per thousand people (X22)3.59%
Number of beds in health institutions per thousand people (X23)4.92%
Park green space area per capita (X24)3.84%
Number of full-time teachers per 100 students in ordinary secondary schools (X25)1.74%
Table 3. Small towns participating in the evaluation in the five major economic zones.
Table 3. Small towns participating in the evaluation in the five major economic zones.
Economic Zone NameSmall Towns Included
Southern Guangxi Economic ZoneLianzhou Town, Siyang Town, Dongxing Town, Lingcheng Town, Xiaojiang Town
Guangxi Eastern Economic ZoneShiqiao Town, Tengzhou Town, Mengshan Town, Cencheng Town, Zhaoping Town, Huilong Town, Fuyang Town,
Pingnan Town, Xishan Town, Rongzhou Town, Wenquan Town, Bobai Town, Shinan Town, Beiliu Town
Northern Guangxi Economic ZoneYangshuo Town, Daxu Town, Quanzhou Town, Xing’an Town, Yongfu Town, Guanyang Town, Longsheng Town,
Ziyuan County, Pingle Town, Gongcheng Town, Dongchang County
Central Guangxi Economic ZoneDapu Town, Luzhai Town, Chang’an Town, Rongshui Town, Guyi Town, Chengguan Town (Xincheng County), Xiangzhou Town, Wuxuan Town, Jinxiu Town, Lingnan Town
Western Guangxi Economic ZoneChengxiang Town (Long’an County), Baishan Town, Dafeng Town, Luxu Town, Hengzhou Town, Pingma Town, Matou Town, Chengguan Town (Debao County), Chengxiang Town (Napo County), Sicheng Town, Tongle Town, Leli Town, Bada Town, Xinzhou Town, Xinjing Town, Chengguan Town (Nandan County), Liupai Town, Fengcheng Town, Donglan Town, Dongmen Town, Si’en Town, Bama Town, Anyang Town, Dahua Town, Xinning Town, Chengzhong Town, Longzhou Town, Taocheng Town, Tiandeng Town, Youyi Town
Table 4. Overall clustering results of high-quality development level of small towns in Guangxi.
Table 4. Overall clustering results of high-quality development level of small towns in Guangxi.
Clustering ResultsSmall Towns
Type I: Comprehensive Leading Type (2)Matou Town, Beiliu Town
Type II: Backbone type (7)Youyi Town, Lianzhou Town, Lingcheng Town, Xinning Town, Yangshuo Town, Xing’an Town, Rongzhou Town
Type III: Catch-up potential type (12)Huilong Town (Zhongshan County), Quanzhou Town, Chengzhong Town (Ningming County), Wenquan Town, Xishan Town, Yongfu Town,
Hengzhou Town, Dongxing Town, Cencheng Town, Luxu Town, Longsheng Town, Daxu Town
Type IV: Opportunity Development (18)Anyang Town, Dapu Town, Shinan Town, Bobai Town, Taocheng Town, Wuxuan Town, Chengguan Town (Nandan County), Pingnan Town, Luzhai Town,
Longzhou Town, Dongchang Town, Mengshan Town, Xiaojiang Town, Chang’an Town, Xinjing Town, Pingma Town, Chengguan Town (Xincheng County), Lingnan Town
Type V: Low growth (31)Tengzhou Town, Dahua Town, Sicheng Town, Guyi Town, Xinzhou Town, Rongshui Town, Donglan Town, Fengcheng Town, Sien Town, Shiqiao Town,
Leli Town, Dafeng Town, Baishan Town, Tiandeng Town, Ziyuan Town, Guanyang Town, Siyang Town, Liupai Town, Gongcheng Town,
Xiangzhou Town, Bada Town, Chengxiang Town (Long’an County), Fuyang Town, Pingle Town, Chengxiang Town (Napo County), Chengguan Town (Debao County), Zhaoping Town, Tongle Town, Dongmen Town, Jinxiu Town, Bama Town
Table 5. Comprehensive index of high-quality development of small towns in Guangxi from 2005 to 2022.
Table 5. Comprehensive index of high-quality development of small towns in Guangxi from 2005 to 2022.
Project2005 2010 2015 2022
Composite IndexRankingComposite IndexRankingComposite IndexRankingComposite IndexRanking
Chengxiang Town0.071660.102430.123510.16851
Baishan Town0.086520.104380.118610.14669
Dafeng Town0.112230.104410.119580.18529
Luwei Town0.118180.110250.138280.19318
Hengzhou Town0.114210.111230.17160.2683
Dabu Town0.070680.100480.123480.15367
Luzhai Town0.079560.093590.148180.16258
Chang’an Town0.094410.107320.123490.18825
Rongshui Town0.074620.100460.110700.14270
Guyi Town0.105250.096550.114660.15763
Yangshuo Town0.13490.114160.149160.20611
Daxu Town0.097310.103420.146200.18824
Quanzhou Town0.095350.113190.143230.20810
Xing’an Town0.132100.13180.15990.19813
Yongfu Town0.114200.112210.145220.2108
Guanyang Town0.082540.105370.118600.16357
Longsheng Town0.087500.107310.142240.17147
Ziyuan Town0.115190.094570.115640.17441
Pingle Town0.076600.087650.122530.18332
Gongcheng Town0.092440.098520.122520.16949
Donglu Town0.14370.120110.148190.20312
Shiqiao Town0.114220.111220.145210.17245
Tengzhou Town0.14080.109270.134330.19714
Mengshan Town0.094380.102440.131360.17936
Cengcheng Town0.089460.117130.154140.18430
Lianzhou Town0.28830.14050.16570.2127
Siyang Town0.094400.114150.135320.19316
Dongxing Town0.18350.15540.20330.2195
Lingcheng Town0.122120.13260.16380.2099
Xiaojiang Town0.097330.107290.126390.15962
Pingnan Town0.094390.13270.150150.19220
Xishan Town0.16060.114170.158120.19219
Rongzhou Town0.121140.115140.18750.19515
Wenquan Town0.122130.109260.138270.19222
Bobai Town0.093420.097530.136300.17244
Shinan Town0.119160.093580.124460.17837
Beiliu Town0.40110.44010.35120.5002
Pingma Town0.087490.099500.135310.18333
Matou Town0.39420.37520.48510.6641
Chengguan Town0.092430.097540.117620.17246
Chengxiang Town0.073630.085670.112670.16654
Sicheng Town0.105260.106330.125410.15068
Tongle Town0.097320.105350.121550.16852
Leli Town0.090450.090640.110690.18234
Bada Town0.102280.099490.125400.16455
Xinzhou Town0.079570.108280.121560.15961
Xinjing Town0.099290.091620.131350.18627
Zhaoping Town0.086530.111240.125430.16948
Huilong Town0.098300.104400.157130.17739
Fuyang Town0.088480.086660.130370.16653
Chengguan Town0.126110.12190.158110.19317
Liupai Town0.094370.104390.125440.16259
Fengcheng Town0.109240.107300.111680.15764
Donglan Town0.089470.106340.127380.18628
Dongmen Town0.076610.083690.122540.18431
Sien Town0.102270.100450.114650.16160
Bama Town0.077590.092610.120570.15565
Anyang Town0.064690.085680.124450.17740
Dahua Town0.096340.105360.119590.17343
Chengguan Town0.061700.080700.125420.15466
Xiangzhou Town0.070670.095560.116630.16950
Wuxuan Town0.072650.093600.136290.18035
Jinxiuzhen0.086510.090630.124470.16456
Lingnan Town0.118170.121100.131340.18726
Xinning Town0.121150.119120.159100.2186
Chengzhong Town0.095360.113200.141250.19221
Longzhou Town0.078580.098510.149170.19223
Taocheng Town0.079550.113180.138260.17738
Tiandeng Town0.072640.100470.123500.17442
Youyi Town0.19040.20530.18740.2594
Table 6. Overall high-quality development level of small towns: Moran’s I.
Table 6. Overall high-quality development level of small towns: Moran’s I.
Year2005201020152022
Moran’s I0.0530.0720.1310.237
Z (I)0.7301.3151.7512.737
P0.2170.0990.050.004
Table 7. Dagum Gini coefficient and contribution rate results.
Table 7. Dagum Gini coefficient and contribution rate results.
YearsGini CoefficientContribution Rate (%)
OverallGini Coefficient Within Group (Gw)Gini Coefficient Between Groups (Gb)Super Variable Density Gini Coefficient (Gt)Contribution Rate Within the Group (Gw)Intergroup Contribution Rate (Gb)Super Variable Density Contribution Rate (Gt)
20050.2070.0510.0840.07224.62%40. 60%34.78%
20100.1420.0390.0520.05227.14%36.33%36.5 3%
20150.1230.0340.040.04927.9 1%32.6 7%39.4 3%
20220.1160.0340.030.05129.6 9%26.2 1%44.1 1%
Table 8. Dagum Gini coefficient difference decomposition results.
Table 8. Dagum Gini coefficient difference decomposition results.
YearsGini Coefficient Within GroupBetween-Group Gini Coefficient
Eastern GuangxiCentral GuangxiNorthern GuangxiSouthern GuangxiWestern GuangxiEast & CentralEast & NorthEast & SouthEast & WestCentral & NorthCentral & SouthChinese & WesternNorth & SouthNorth & WestSouth & West
20050.2270.1120.1160.2420.1950.2410.1860.2620.2270.1560.3190.1760.2440.1650.282
20100.2080.0560.0610.0750.1440.1690.1490.1720.1850.0740.1450.1140.1050.1090.152
20150.1360.0460.0570.0930.1410.1270.1090.1250.1540.0690.1250.1010.1010.110.147
20220.1280.050.050.0560.1420.1150.0970.1130.1390.0750.1010.110.0620.1050.12
Disclaimer/Publisher’s Note: The statements, opinions and data contained in all publications are solely those of the individual author(s) and contributor(s) and not of MDPI and/or the editor(s). MDPI and/or the editor(s) disclaim responsibility for any injury to people or property resulting from any ideas, methods, instructions or products referred to in the content.

Share and Cite

MDPI and ACS Style

Hu, C.; Liu, B.; Yan, Z.; Ma, C. Construction and Empirical Research of an Evaluation System for High-Quality Development of Small Towns in Guangxi Under the New Development Concept. Land 2024, 13, 1821. https://doi.org/10.3390/land13111821

AMA Style

Hu C, Liu B, Yan Z, Ma C. Construction and Empirical Research of an Evaluation System for High-Quality Development of Small Towns in Guangxi Under the New Development Concept. Land. 2024; 13(11):1821. https://doi.org/10.3390/land13111821

Chicago/Turabian Style

Hu, Chuxin, Binglin Liu, Zhiqiang Yan, and Chunxiao Ma. 2024. "Construction and Empirical Research of an Evaluation System for High-Quality Development of Small Towns in Guangxi Under the New Development Concept" Land 13, no. 11: 1821. https://doi.org/10.3390/land13111821

APA Style

Hu, C., Liu, B., Yan, Z., & Ma, C. (2024). Construction and Empirical Research of an Evaluation System for High-Quality Development of Small Towns in Guangxi Under the New Development Concept. Land, 13(11), 1821. https://doi.org/10.3390/land13111821

Note that from the first issue of 2016, this journal uses article numbers instead of page numbers. See further details here.

Article Metrics

Back to TopTop