Abstract
Cities are significantly warmer than their surrounding rural environments. Known as the ‘urban heat island effect’, it can affect the health of urban residents and lead to increased energy use, public health impacts, and damage to infrastructure. Although this effect is extensively researched, less is known about how landscape characteristics within cities affect local temperature variation. This study examined how tree canopy cover, canopy volume, and impervious surface cover affect daytime near-surface air temperature, and how these effects vary between different scales of analysis (10, 30, 60, 90 m radii), ranging from approximate street corridor to city block size. Temperature data were obtained from a car-mounted sensor, with traverse data points recorded during morning, afternoon, and evening times, plotted throughout the city of Portland, OR. The variability in near-surface air temperature was over 10° F during each traverse period. The results indicate that near-surface air temperature increased linearly with impervious surface cover and decreased linearly with tree canopy cover, with canopy volume reducing the temperature by 1° F for every 500 cubic feet of canopy volume for evening temperatures. The magnitude of the effect of tree canopy increased with spatial scale, with 60 and 90 m scales having the greatest measurable effect. Canopy volume had a positive relationship on presumed nighttime and early-morning temperatures at 60 and 90 m scales, potentially due to the impacts of wind fluctuation and air roughness. Canopy cover still contributed the largest overall decrease in street-scale temperatures. Increasing tree canopy cover and volume effectively explained the lower daytime and evening temperatures, while reducing impervious surface cover remains critical for reducing morning and presumed nighttime urban heat. The results may inform strategies for urban foresters and planners in managing urban land cover and tree planting patterns to build increased resiliency towards moderating urban temperature under warming climate conditions.
    1. Introduction
The urban heat island effect (UHI), a phenomenon in which urban areas experience higher temperatures compared to surrounding rural environments, affects urban settlements worldwide and presents major sustainability challenges [,,]. The UHI effect occurs due to differences in the urban and rural energy balance, as modified land surfaces, such as impervious surfaces, affect the storage and transfer of radiant and turbulent heat and are one of the most influential and recognized local climate modifications of urbanization [,,]. As urban populations continue to grow, elevated city temperatures increase the vulnerability of urban residents to extreme heat events and a warming climate, with record high temperatures and numbers of heat-related deaths occurring in urban areas across the United States in recent years while also increasing urban energy demands and costs [,,,,].
Strategies to improving cities’ resiliency to future climates and extreme heat events by mitigating the UHI effect are critical to goals of many municipalities [,]. It is widely known that an increase in urban vegetation is one of the most effective and sustainable ways to mitigate the UHI effect through shading and evapotranspiration []. Urban trees provide such benefits while also creating permeable surfaces and natural landcover, all of which help reduce surface and ambient air temperatures.
Although the relationship between UHI and urban tree canopy has been extensively researched on a broad-scale spatial extent of urban–rural temperature differences, less is known about how differences in micro-scale landscape characteristics within cities affect local temperature variation []. With advances in mobile sensors, data can now be provided at intraurban scales (e.g., household, street corridor, city block, etc.), which has historically been difficult using fixed or satellite remote sensors, allowing temperature measurement throughout continuous changing urban land cover gradients [,]. Recent studies show that there can be variations in air temperature within cities as large as that associated with the UHI urban–rural difference, with urban environments acting as “archipelagos” rather than “islands” [,,]. Research has also predominately focused on the horizontal structure of urban tree canopies rather than the three-dimensional characteristics of tree canopies, with less research attempting to identify the influence of the vertical characteristics of tree canopies on temperature [,,,].
Using Portland, OR as a study area, this paper aims to address these areas of research and attempt to build a larger body of knowledge on the effects of urban canopies, including average canopy volume and impervious surface coverage, on near-surface air temperature at different intraurban scales (10, 30, 60, 90 m). These scales range from an approximate single property or street corridor (10 m) to a city block (90 m). Using Light Detection and Ranging (LiDAR)-derived urban canopies, impervious surfaces, and temperature data, we aim to answer the following questions:
- (1)
 - How does variability in the coverage of urban canopies and impervious surfaces influence daytime near-surface air temperature?
 - (2)
 - How do these effects vary throughout different intraurban spatial scales?
 - (3)
 - What effect does urban canopy volume have on daytime near-surface air temperature?
 
Due to the diverse ownership and landscape heterogeneity of urban landscapes, decisions about tree canopy cover largely occur on a site-by-site basis. By addressing these questions, we aim to understand the role of tree canopy in mediating air temperatures while providing a means for identifying the types of interventions for mitigating UHI.
2. Materials and Methods
2.1. Study Area
The City of Portland, OR is located in the Pacific Northwest region of the United States. The city is located approximately 45.5° N, 122.6° W and is situated at the confluence of the Willamette and Columbia Rivers at the beginning of the Willamette Valley (Figure 1). The city boundaries cover approximately 145 square miles, including 133.5 square miles of land cover and 11.5 square miles of water cover, and it has a total population of 652,503 as of 2020 []. Land use in the city is predominately residential zoning, comprised of low–medium-density single and multifamily residential homes, making up approximately 52% of the city’s total area [].
      
    
    Figure 1.
      Study area of Portland, OR.
  
The city of Portland has an average tree canopy cover of 29.8% citywide; however, the distribution of urban canopy coverage is dramatically divided by the Willamette River, where the east side of the city has on average a canopy cover of 22.3%, while the west side of the river, excluding Forest Park, has an average canopy cover of 46% [,,]. While there has been an overall increase in tree canopy coverage over the past 20 years (27.3% in 2000), between 2015 and 2020, there was a decline from 30.7% to the current 29.8% coverage []. The city of Portland currently has a goal of expanding the urban canopy to cover 33.3% of the city’s area []. The City of Portland is currently engaging in expanding urban canopy policies and planting strategies, including the ‘Growing a more equitable urban forest: Portland’s citywide tree planting strategy’, with key findings and recommendations toward improving the city’s air quality, public health, and livability by enhancing and maintain the health of the urban forest. The city of Maywood Park, OR, a separately incorporated town, is located as an enclave within the Northeast district of Portland and is excluded from this study due to a lack of available data.
The city and region are defined as a temperate, Mediterranean climate, where summers are warm and dry, and winters are mild and wet. Historically, summer temperatures have been cooler than typical Mediterranean climates; however, summer high temperatures have been increasing each year since 2010 []. In 2018, there were more 90° F days than ever before, with a total of 31 days, beating out the record of 29 days set in 2015 []. Portland now experiences about 11 more days above 90° F per year, on average, than it did in 1940 [].
Overall, Portland’s annual average temperature has warmed about 3° F since 1940, with average summer temperatures warming by 4.6° F, with both results being statistically significant []. Portland’s average precipitation totals have decreased by 2 inches, with Portland’s summer average precipitation totals decreasing by 0.38 inches, since 1940 []. This illustrates a shift in the climate of the city, as it now experiences and will continue to face a warmer and drier climate. From a historical data perspective, and with recent trends and changes in the microclimate of the city of Portland, the continued study of these changes will be a key part to building and maintaining equitable resilience towards extreme weather events and warming urban environments.
2.2. Data
Tree canopy data were developed by Metro using a 2019 LiDAR dataset and normalized difference vegetation index (NDVI) from aerial imagery collected in the summer of 2019 (Table 1). NDVI calculated from multispectral data is a well-known indicator used to distinguish vegetation and non-vegetation classes [,]. Tree canopy was detected using a combination of feature heights from a normalized digital surface model (nDSM) derived from LiDAR and NDVI imagery, representing a two-dimensional extent of tree canopy. To differentiate it from other vegetation, a 10-foot height threshold was set. Geometric post-processing was completed by Metro to reduce errors and noise (electrical lines above vegetation, etc.). This raster dataset consists of a 3 × 3 foot raster pixel cell spatial resolution []. Canopy volume was calculated by multiplying the feature height values of the nDSM by the area of the raster pixel cell spatial resolution, as conducted in previous studies [] (Table 1).
       
    
    Table 1.
    Data and sources.
  
The impervious surface dataset was provided by the City of Portland, Bureau of Environmental Services (BES) and maintained by the BES Asset Systems Management group. This dataset categorizes impervious surfaces into building footprints, streets, and parking lots (Table 1).
Temperature datasets were provided by CAPA Strategies in partnership with the National Integrated Heat Health Information System (NIHHIS) (Table 1). Temperature data, recorded in Fahrenheit, were collected on 22 July 2023 and are provided as traverse point data, representing near surface air temperature. Defined as a long, hot day in July, the greater Portland Metro area had a max temperature of 94.6° F []. The data used for this study had a maximum temperature of 88.7° F within the City of Portland. Three temperature vehicle traverse routes were conducted including morning (6–7 a.m.), afternoon (3–4 p.m.), and evening (7–8 p.m.). Detailed methods for how temperature data were collected are provided in Voelkel and Shandas, 2017, and Heat Watch Portland Metro Summary Report publications [,].
2.3. GIS Analysis
The CAPA_NIHHIS Portland Metro Heat Watch campaign collected over 269,000 temperature point measurements throughout the greater Portland Metro region in total between the three vehicle traverse routes, which were each conducted for one hour at 6 am, 3 p.m., and 7 p.m. []. Through analysis in ArcGIS Pro 3.3, temperature points were only kept in the Portland city boundary, providing a total of 29,128 morning temperature points, 25,191 afternoon temperature points, and 28,034 evening temperature points, with sensors recording temperatures every second. Because of the measurement frequency, considerable temporal and spatial autocorrelation needed to be accounted for, with every 100th temperature point being selected, equally spacing temperature measurements in time and providing a spatially diverse sample size [,]. Buffer zones, determining the scale of analysis, were set at 10, 30, 60, and 90 m from the selected temperature points to represent scales of an approximate single property or street corridor (10 m) to a city block (90 m) (Figure 2).
      
    
    Figure 2.
      Scale of analysis, using an example of a low–medium-density residential neighborhood in North Portland.
  
Buffer zones that overlapped or included water bodies were removed for this study. This resulted in a total of 265 morning temperature points, 234 afternoon temperature points, and 261 evening temperature points, each with a set of 4 buffer zones associated with them (Figure 3a–c). The slight variation between the three totals is due to the variation in traverse routes that were used in the initial temperature collection methods [].

      
    
    Figure 3.
      (a)—Morning traverse temperature point collection locations with canopy volume distribution. (b)—Afternoon traverse temperature points collection locations with canopy volume distribution. (c)—Evening traverse temperature points collection locations with canopy volume distribution.
  
The percent canopy coverage was determined by calculating the presence of canopy pixels in relation to the total pixel amount in rasterized buffer zones through raster dataset analysis. Average canopy volume estimates were determined using the Zonal Statistics and Zonal Statistics as Table tools in ArcGIS Pro 3.3 [], calculating the total canopy volume and determining the average volume based on the amount of canopy pixels per rasterized buffer zone. The Zonal Statistics and Zonal Statistics as Table tools calculate statistics on the cell values of a raster (a value raster) within the zones defined by another dataset, creating a raster or table output []. Similar methods were used to determine the percent coverage of impervious surfaces, using summarizing tools to determine the total amount of impervious surfaces in relation to the total area of buffer zones.
2.4. Statistical Analysis
Statistical analysis was completed in both Excel and R (version 2023.12.1 Build 402). The data were organized in Excel before being uploaded into R statistical software. Square root transformation of the response variable was performed to satisfy the assumption of ordinary least squares regression. Multivariate linear regression models were run in R using the “stats” package. To test the effects of total canopy cover, impervious surface, and average canopy volume on near-surface air temperature, each temperature point dataset (morning, afternoon, evening) was examined at each scale of analysis (10, 30, 60, 90 m) using the multivariate linear regression model below:
      
      
      
    
        (sqrt)temperature = a + b(% canopy) + c(% impervious surface) + d(avg. canopy volume) + ε
      
      Multicollinearity in each explanatory variable was checked at each scale of analysis by calculating Variance Inflation Factors (VIFs). VIF values that are less than 5 indicate a low correlation of that predictor with other predictors, while other literature suggests using lower values [,]. All VIF values were below 5, with the majority of VIF values below 3 indicating properly specified models (Table 2).
       
    
    Table 2.
    Variable Inflation Factors (VIFs) for variables included in models for different datasets and difference scales of analysis.
  
3. Results
The temperature data provided a reinforcement of the variance of urban temperatures and the “archipelago” rather than “island” description. The CAPA_NIHHIS temperature data showed that across the morning, afternoon, and evening near-surface air temperature measurements, there was an average 10.36° F variation throughout the city (Table 3). Figure 4 demonstrates the intraurban variation in afternoon raw near-surface air temperature data with changing land cover throughout the city.
       
    
    Table 3.
    Measured temperature range and variation of traverses during different recording times.
  
      
    
    Figure 4.
      Afternoon temperature data demonstrating variation in air temperature with changing land cover throughout Portland, OR. (a) NW Skyline Blvd; (b) SW Fairview Blvd; (c) SW Champlain Dr; (d) NE Mason St; (e) NE Killingsworth St; (f) SE 82nd Ave.
  
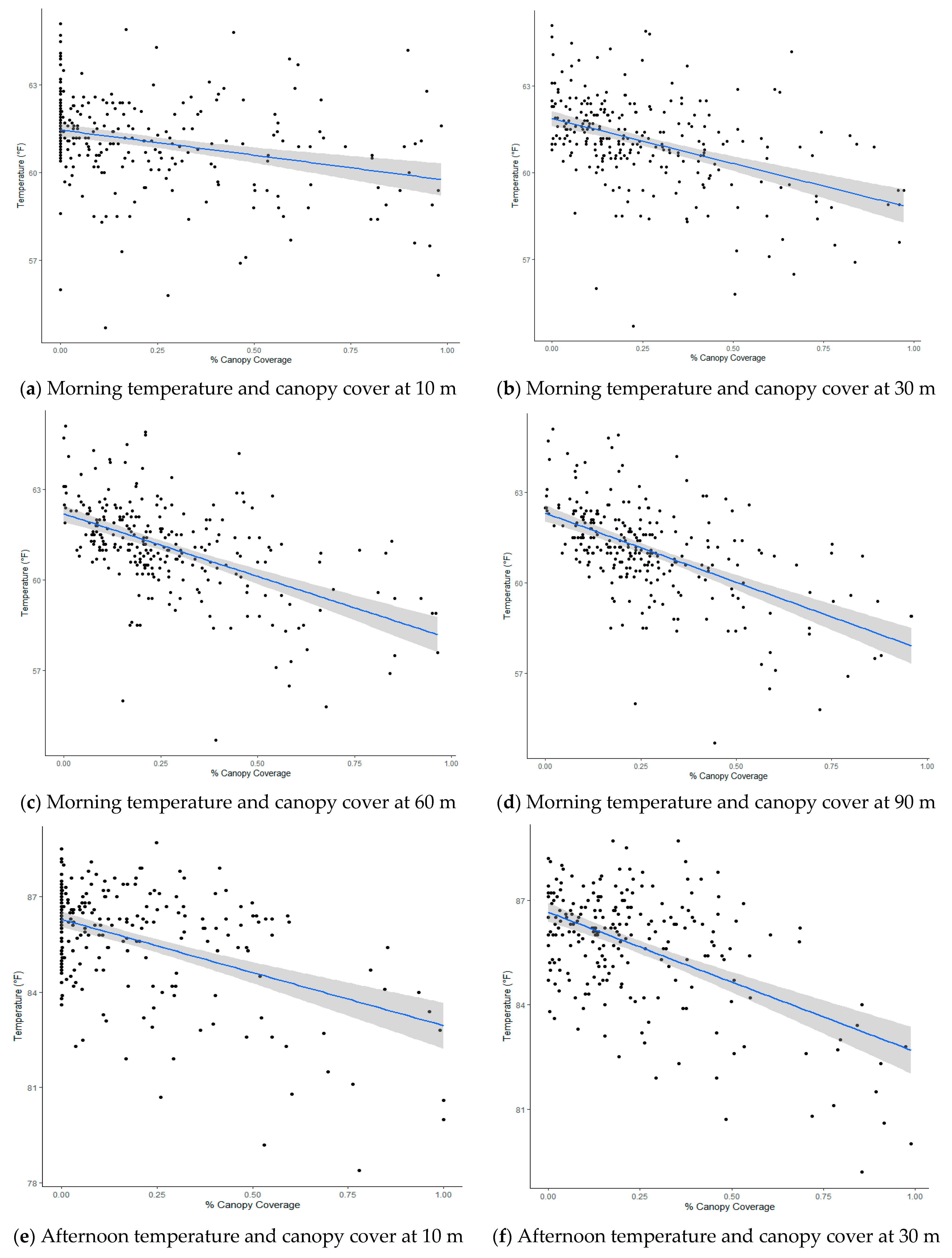
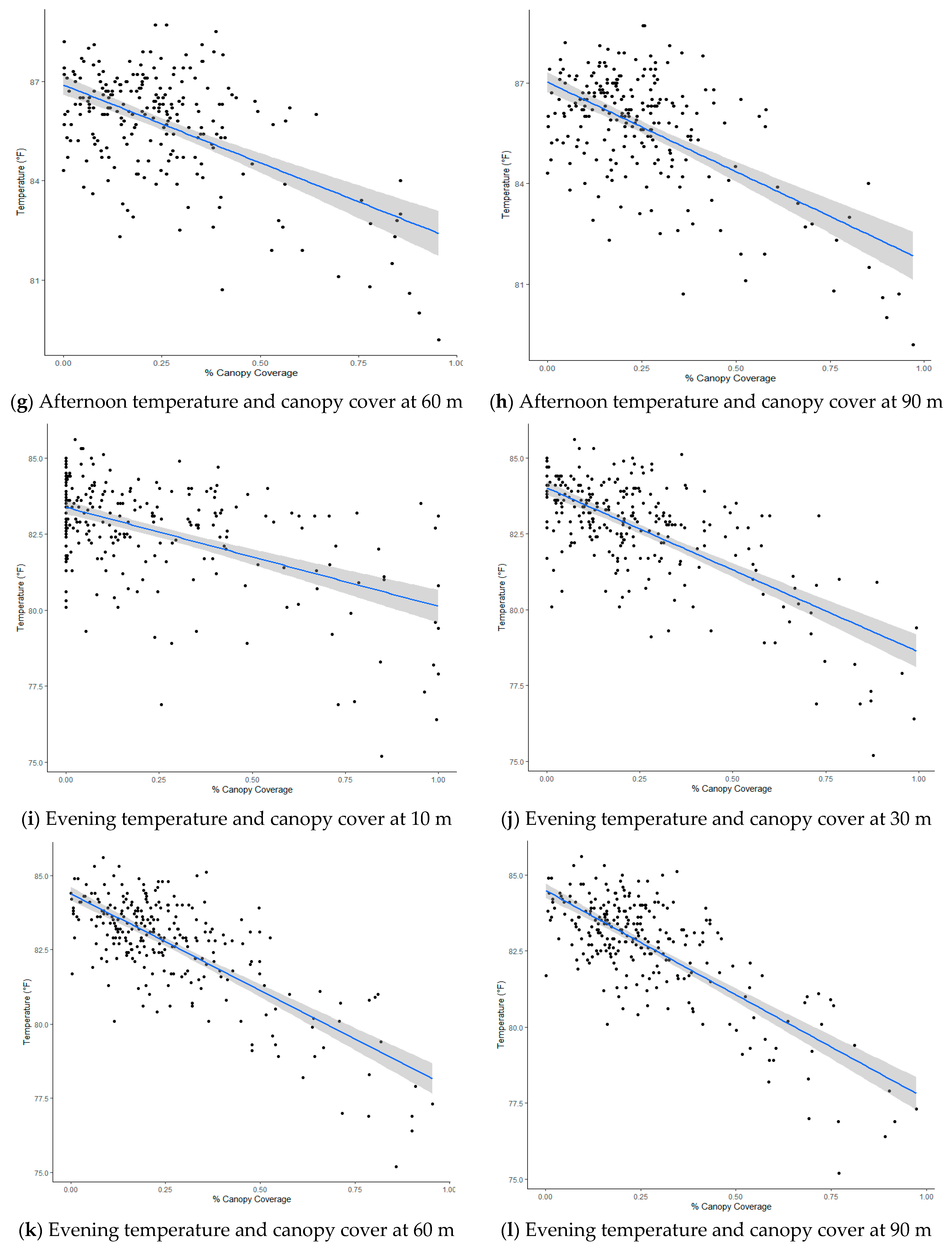
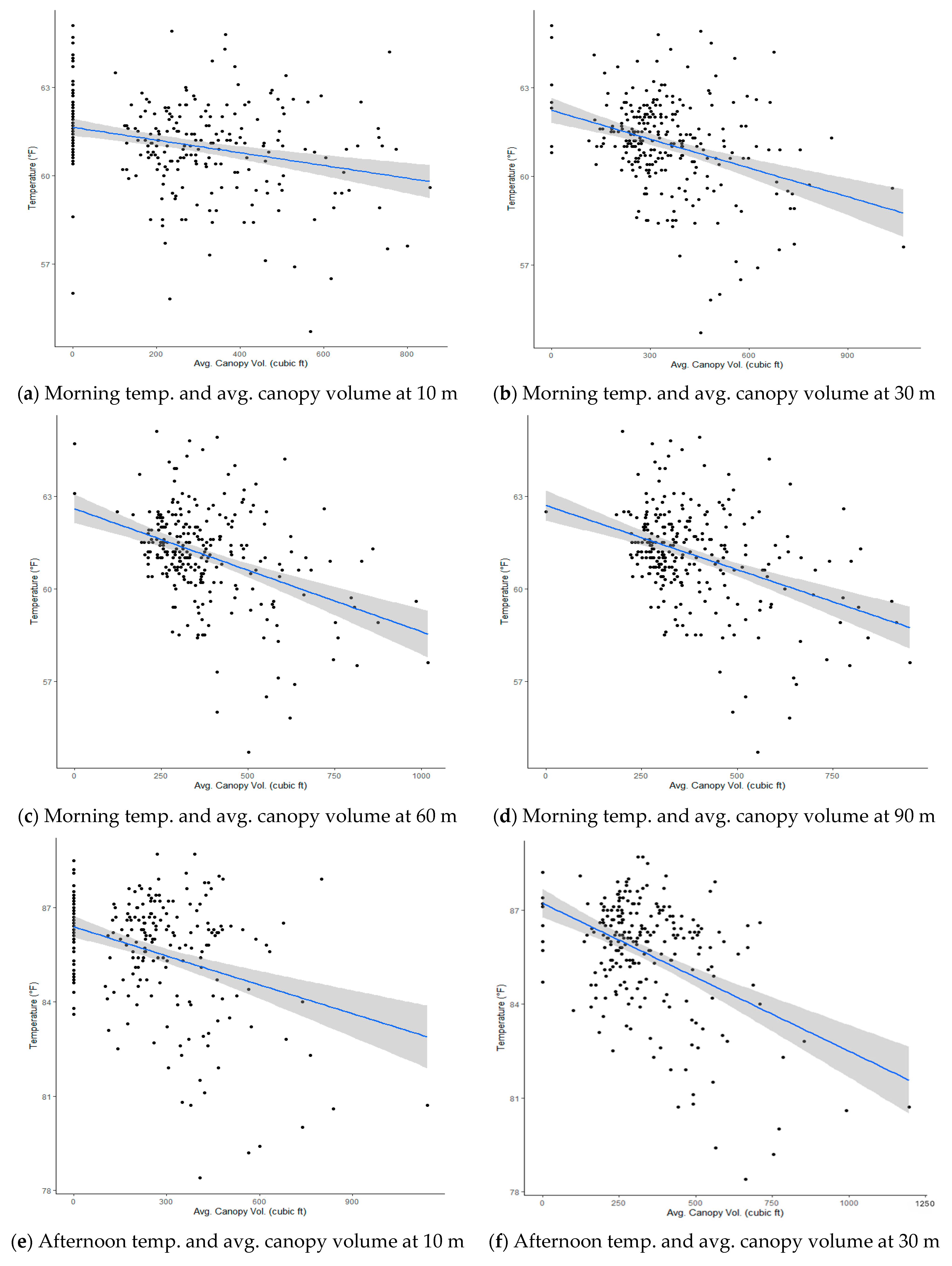
Individually, near-surface air temperature decreased linearly with increasing tree canopy cover throughout all times and scales of analysis (Appendix A). Near-surface air temperature increased linearly with increasing impervious surface cover, with similar effects on temperature at all scales of analysis (Appendix B). Near-surface air temperature decreased linearly with increasing average canopy volume throughout all times and scales of analysis (Appendix C).
When jointly considering tree canopy cover, impervious surface cover, and average canopy volume, the model explained between 17 and 55% of the temperature variation at the four different scales of analysis throughout all three temperature data traverse times (morning, afternoon, evening). The model best represented and predicted temperature at larger scales of analysis (60, 90 m) throughout all three temperature datasets. The best model (based on adjusted  value) using the explanatory variables was for evening temperatures at the 60 and 90 m scale of analysis, with an adjusted  value of 0.55 (Table 4).
       
    
    Table 4.
    Summary of model outputs at each temperature measurement time and scale of analysis.
  
At smaller scales of analysis (10, 30 m), the model explained less in temperature variation. Canopy percentage had a negative relationship with temperature at all traverse times and scales of analysis (Table 4, b parameter). Impervious surface cover had a positive relationship with temperature at smaller scales (10, 30 m) at all scales of analysis, while not being a significant predictor of temperature at larger scales (60, 90 m) in afternoon and evening temperature (Table 4, c parameter). Average canopy volume had a positive relationship with temperature at larger scales of analysis (60, 90 m) on morning temperatures while not being significant at smaller scales of analysis (10, 30 m) (Table 4, d parameter). Average canopy volume had no significant effect on afternoon temperatures, while having a negative effect on temperature at all scales of analysis on evening temperatures (Table 4, d parameter).
Tree canopy cover had an approximately equal coefficient effect compared to impervious surface cover at smaller scales of analysis (10, 30 m) throughout all times of day while having a significantly larger coefficient effect on near-surface air temperature compared to impervious surface cover at larger scales of analysis (60, 90 m) (Table 4, b and c parameters).
Derived from the multivariate regression models, the average canopy volume in the morning at the 60 and 90 m scales of analysis had an approximately 0.8–1° F increase effect on the near-surface air temperature for every 500 cubic feet in canopy volume (Figure 5). During the evening, the average canopy volume had an approximately 1° F decrease effect on the near-surface air temperature for every 500 cubic feet of canopy volume at all scales of analysis (10, 30, 60, 90 m) (Figure 6).
      
    
    Figure 5.
      Estimated effect of avg. canopy volume on near-surface temperature at 60 and 90 m scales of analysis for morning temperatures (10, 30 m scale of analysis omitted due to models showing they were not significant predictors of temperature). Black lines represent the mean, and shaded areas represent the 95% confidence interval.
  
      
    
    Figure 6.
      Estimated effect of avg. canopy volume on near-surface air temperature within all scales of analysis (10, 30, 60, 90 m) for evening temperatures. Black lines represent the mean, and shaded areas represent the 95% confidence interval.
  
4. Discussion
As expected, canopy coverage always had a negative effect on near-surface air temperature during all times and scales of analysis, with varying results for impervious surfaces and average canopy volume at different times and scales. Based on the model’s results, the evening temperature was-best predicted based on canopy coverage, impervious surface coverage, and average canopy volume, suggesting that these variables best predict late-day and evening temperatures. Further testing and exploration into additional variables should be conducted to better explain morning and afternoon temperatures.
While it was expected that larger canopy volume would have a negative effect on temperature across all times and scales of measurement, the models showed that it was not significant in predicting the temperature at small scales (10, 30 m) while having a positive effect on the temperature at larger scales (60, 90 m) during the early morning. It was not a significant predictor of the temperature during the afternoon, while providing a negative effect when predicting the temperature in the evening across all scales (10, 30, 60, 90 m).
Recent studies on the effects of trees on urban microclimates show that tree crown size has significant effects on wind direction fluctuation and air ventilation [,]. Large trees induce significant wind direction fluctuations below tree crowns, with velocities up to 80% lower than those at rooftops []. The presence of larger trees, as a study identified as 60–100 years of age with large canopies, significantly reduces air ventilation within urban street “canyons”, causing an adverse effect on pollutant dispersion and heat removal []. In drier conditions, when less moisture is available, the interaction of a non-transpiring tree with radiation can increase air temperature by up to 1.6–2.1 °C at a local scale by inhibiting turbulent energy exchange, partially counteracting the evapotranspirative cooling effect []. While this study does not aim to provide causal or mechanistic interpretation of cooling, it is important to note that these processes have an effect on urban air temperatures.
At larger scales, the patch density size of large-volume urban canopies seems to influence near-surface air temperature, reducing wind and trapping heat. Because of the City of Portland being predominately low–medium-density residential zoning, the presence of urban “canyons” is not as prevalent as in more built-up and denser urban environments. Therefore, at smaller scales, without significant surrounding built environments or vegetation, heat may still be able to escape from below tree canopies. Larger scales, with the presence of greater canopy coverage and volume, have a greater effect on wind fluctuations and urban microclimates and are therefore likely affect near-surface air temperature. While large-volume trees and urban canopy may significantly reduce daytime temperatures through shading, with a drier and warmer shifting climate in the city of Portland, research should further investigate these effects and the impacts larger-volume-canopy trees have on nighttime and early morning temperatures. Because of the timing of the morning traverse temperature collection (6–7 a.m.) on 22 July 2023 and the sunrise at 5:45 a.m. on that day, temperature readings can be representative of nighttime temperatures, as temperatures continue to cool for up to an hour and a half after sunrise [].
Tree canopy cover and impervious surface cover have similar effects on near-surface air temperature throughout all times of day at small scales (10, 30 m), with tree canopy cover having a significantly greater negative effect on near-surface air temperature than impervious surfaces have on increasing near-surface air temperature at larger scales (60, 90 m). Impervious surfaces become insignificant at such scales in the model, showing that the increasing effect of temperature from impervious surfaces on near-surface air temperature is effectively countered by the decreasing effect on the temperature of trees. This shows that urban trees hold a potentially important role for mitigating the UHI effect and daytime temperatures [,]. However, in reducing nighttime temperatures, lower cover of impervious surfaces remains critical, as significant amounts of heat are stored and radiated back during nighttime and can be trapped by large-volume canopy covers [,]. Heat reduction at night is important from a public health perspective, with high nighttime temperatures being a significant factor in heat-related illness and mortalities, as the human body has no time to recover from daytime heat exposure [,,].
Consistent with the results of previous studies, for localized tree planting, this model shows that the decreasing effect of the temperature of the canopy cover on near-surface air temperature is weaker at smaller compared to broader scales, as small areas of canopy cover cannot be isolated from surrounding weather and climate conditions []. However, increasing tree canopy cover at 10 to 30 m scales still produced a measurable explanation of lower temperatures, and with the influence of canopy volume, targeted planting locations and strategized species selection for large-volume trees can directly benefit people. Planting locations such as next to a house, yard, office space, or well-used public walkway or social space may reduce temperature, improve quality of life, and significantly reduce energy consumption [,,].
At larger scales, such as multiple city properties to multiple city blocks, the model results show that an increase in canopy coverage and canopy volume has significant effects on reducing temperatures during all times of the day. However, in more nuanced tree planting strategies, urban foresters need to spread out large-form canopy-mature trees and nurture existing mature trees to create a large-volume canopy mosaic that maximizes the effects that explain lower daytime temperatures at larger scales. It is well known that vegetated parks act as “cool islands”, but dispersed large trees, forming diverse levels of tree canopy coverage and volume, may maximize lower daytime temperatures and nighttime heat release [,,].
Being limited to the availability of datasets, LiDAR data, impervious surface data, and temperature data were only available at the times specified above. Since the datasets were collected within four years of each other, and with the significant global event of the COVID pandemic happening for multiple years during that time span, it is unlikely that there were significant large changes in canopy and impervious surface areas with development slowing during that time. Because temperature data were collected using car-mounted sensors and only along roadways, an inherent temperature bias may be present, and the difference in the temperature on roads and nonroad areas should be investigated. The temperature values used in this study were relatively mild compared to extreme heat events. The effects of canopy cover, canopy volume, and impervious surfaces on near-surface air temperature during extreme heat should be investigated further to see whether similar if similar results are produced during more extreme temperatures.
5. Conclusions
The uniqueness of this study lies in the three-dimensional component of considering canopy volume across multiple times of the day while examining canopy and impervious surface coverage at intraurban scales of analysis and using near-surface air temperature rather than land surface temperature derived from remote sensing. With urban heat island literature predominantly focusing on urban–rural differences, using near-surface air temperature data and localized scales of analysis at intraurban scales allowed this study to continue to build a body of knowledge showing that the difference in air temperature within urban environments is as large as the well-known urban–rural difference. A 10.36° F average difference in near-surface air temperature was recorded in the city of Portland, OR during all times of day.
The model results show that canopy cover, impervious surface cover, and average canopy volume best predicted temperature at the 60 and 90 m scales at all times of day, with evening temperature being represented best by these variables. Canopy coverage effectively countered impervious surface warming effects at smaller scales while significantly explaining the reduced temperature at larger scales. Canopy volume significantly explained the reduced evening temperature while helping to retain heat at larger scales in nighttime and early morning temperatures. With many cities in the Pacific Northwest and northern latitudes implementing tree planting strategies to mitigate the UHI effect and climate change-influenced extreme heat events, these results may help guide such practices and strategies.
Author Contributions
Conceptualization, C.R. and V.S.; methodology, C.R. and A.Y.P.; software, C.R. and A.Y.P.; validation, V.S.; formal analysis, C.R.; investigation, V.S. and C.R.; resources, V.S. and A.Y.P.; data curation, C.R., A.Y.P. and V.S.; writing—original draft preparation, C.R.; writing—review and editing, V.S.; visualization, C.R. and V.S.; supervision, V.S.; project administration, V.S. and C.R. All authors have read and agreed to the published version of the manuscript.
Funding
This research received no external funding.
Data Availability Statement
The original canopy data presented in this study are openly available from RLIS Discovery at [https://rlisdiscovery.oregonmetro.gov]. The near-surface air temperature data are available from the corresponding author upon request due to limitations and access to data from the source. Impervious surface data are not readily available due to City of Portland database policies. Requests to access the datasets should be directed to the City of Portland Bureau of Environmental Services.
Conflicts of Interest
The authors declare no conflicts of interest.
Appendix A


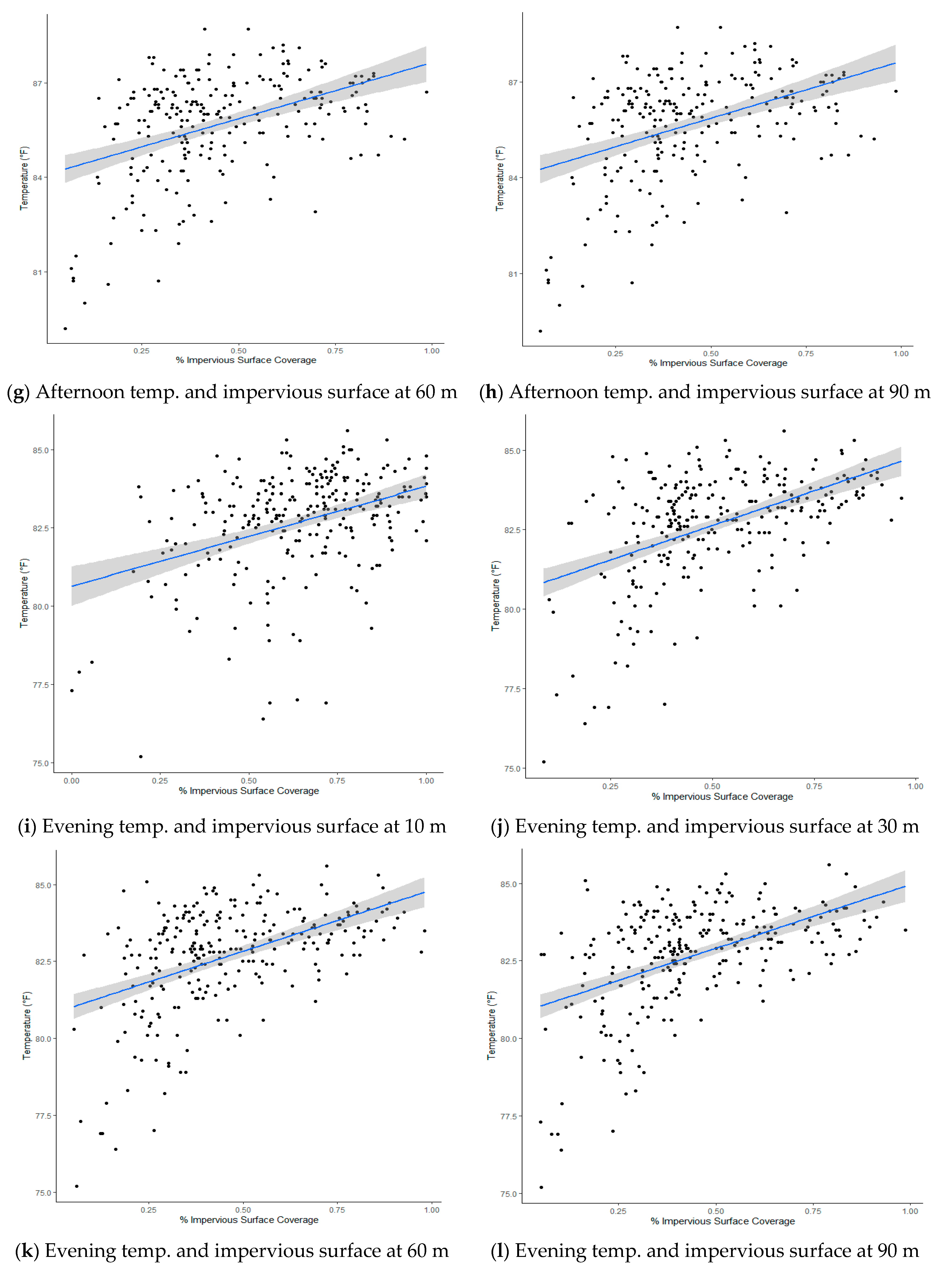
Appendix B


Appendix C


References
- Oke, T.R. The energetic basis of the urban heat island. Q. J. R. Meteorol. Soc. 1982, 108, 1–24. [Google Scholar] [CrossRef]
 - Deilami, K.; Kamruzzaman, M.; Liu, Y. Urban heat island effect: A systematic review of spatio-temporal factors, data, methods, and mitigation measures. Int. J. Appl. Earth Obs. Geoinf. 2018, 67, 30–42. [Google Scholar] [CrossRef]
 - Arnfield, A.J. Two decades of urban climate research: A review of turbulence, exchanges of energy and water, and the urban heat island. Int. J. Clim. 2003, 23, 1–26. [Google Scholar] [CrossRef]
 - Chapman, S.; Watson, J.E.M.; Salazar, A.; Thatcher, M.; McAlpine, C.A. The impact of urbanization and climate change on urban temperatures: A systematic review. Landsc. Ecol. 2017, 32, 1921–1935. [Google Scholar] [CrossRef]
 - Stone, B., Jr. The City and the Coming Climate: Climate Change in the Places We Live; Cambridge University Press: Cambridge, UK, 2012. [Google Scholar]
 - United Nations, Department of Economic and Social Affairs, Population Division. World Urbanization Prospects: The 2014 Revision, Highlights (ST/ESA/SER.A/352); United Nations: New York, NY, USA, 2014. [Google Scholar]
 - Multnomah County. Final Report: Health Impacts from Excessive Heat Events Multnomah County, Oregon. 2021. Available online: https://multco-web7-psh-files-usw2.s3-us-west-2.amazonaws.com/s3fs-public/20220624_final-heat-report-2021_SmallFile-2.pdf (accessed on 9 May 2024).
 - Batchelor, M. 2023 Heat Related Deaths Report. Maricopa County Department of Public Health. 2024. Available online: https://www.maricopa.gov/ArchiveCenter/ViewFile/Item/5796 (accessed on 9 May 2024).
 - Ziter, C.D.; Pedersen, E.J.; Kucharik, C.J.; Turner, M.G. Scale-dependent interactions between tree canopy cover and impervious surfaces reduce daytime urban heat during summer. Proc. Natl. Acad. Sci. USA 2019, 116, 7575–7580. [Google Scholar] [CrossRef]
 - Tan, J.; Zheng, Y.; Tang, X.; Guo, C.; Li, L.; Song, G.; Zhen, X.; Yuan, D.; Kalkstein, A.J.; Li, F.; et al. The urban heat island and its impact on heat waves and human health in Shanghai. Int. J. Biometeorol. 2010, 54, 75–84. [Google Scholar] [CrossRef]
 - Akbari, H.; Bell, R.; Brazel, T.; Cole, D.; Estes, M.; Heisler, G.; Hitchcock, D.; Johnson, B.; Lewis, M.; McPherson, G.; et al. Reducing Urban Heat Islands: Compendium of Strategies. Environmental Protection Agency, 2008. Available online: https://www.epa.gov/sites/production/files/2014-06/documents/basicscompendium.pdf (accessed on 22 April 2024).
 - Seto, K.C.; Golden, J.S.; Alberti, M.; Turner, B.L., 2nd. Sustainability in an urbanizing planet. Proc. Natl. Acad. Sci. USA 2017, 114, 8935–8938. [Google Scholar] [CrossRef] [PubMed]
 - Solecki, W.D.; Rosenzweig, C.; Parshall, L.; Pope, G.; Clark, M.; Cox, J.; Wiencke, M. Mitigation of the heat island effect in urban New Jersey. Glob. Environ. Chang. Part B Environ. Hazards 2005, 6, 39–49. [Google Scholar] [CrossRef]
 - Advisory Committee for Environmental Research and Education. Sustainable Urban Systems: Articulating a Long-Term Convergence Research Agenda. A Report from the NSF Advisory Committee for Environmental Research and Education (Prepared by the Sustainable Urban Systems Subcommittee). 2018. Available online: https://www.nsf.gov/ere/ereweb/ac-ere/sustainable-urban-systems.pdf (accessed on 22 April 2024).
 - Amani Beni, M.; Chen, Y.; Vasileva, M.; Zhang, B.; Xie, G. Quantitative-spatial relationships between air and surface temperature, a proxy for microclimate studies in fine-scale intra-urban areas? Sustain. Cities Soc. 2021, 77, 103584. [Google Scholar] [CrossRef]
 - CAPA/NIHHIS. Heat Watch Portland Metro Region. 2024. Available online: https://osf.io/m8b3w?view_only=cafa95f8fc9d4dd0bf84ed5cad8cd664 (accessed on 23 April 2024).
 - Chen, J.; Jin, S.; Du, P. Roles of horizontal and vertical tree canopy structure in mitigating daytime and nighttime urban heat island effects. Int. J. Appl. Earth Obs. Geoinf. 2020, 89, 102060. [Google Scholar] [CrossRef]
 - Davis, A.Y.; Jung, J.; Pijanowski, B.C.; Minor, E.S. Combined vegetation volume and “greenness” affect urban air temperature. Appl. Geogr. 2016, 71, 106–114. [Google Scholar] [CrossRef]
 - Gage, E.A.; Cooper, D.J. Urban forest structure and land cover composition effects on land surface temperature in a semi-arid suburban area. Urban For. Urban Green 2017, 28, 28–35. [Google Scholar] [CrossRef]
 - Wang, H.; Cai, Y.; Deng, W.; Li, C.; Dong, Y.; Zhou, L.; Sun, J.; Li, C.; Song, B.; Zhang, F.; et al. The Effects of Tree Canopy Structure and Tree Coverage Ratios on Urban Air Temperature Based on ENVI-Met. Forests 2023, 14, 80. [Google Scholar] [CrossRef]
 - United States Census Bureau. QuickFacts Portland City, Oregon. 2023. Available online: https://www.census.gov/quickfacts/fact/table/portlandcityoregon/PST045216 (accessed on 15 May 2024).
 - Bureau of Planning and Sustainability. City of Portland Zoning App. 2018. Available online: https://www.portlandmaps.com/bps/zoning/#/map/ (accessed on 20 May 2024).
 - DiSalvo, A.; Ramsey, J.; Rossmiller, N. Tree Canopy Monitoring: Protocol and Monitoring from 2000–2020. 2022. Available online: https://www.portland.gov/trees/documents/tree-canopy-monitoring-2000-2020/download (accessed on 20 May 2024).
 - DiSalvo, A.; Fukuda, J.; Ramsey, J. Street Tree Inventory Report: City of Portland. 2017. Available online: https://www.portland.gov/trees/documents/city-portland-street-tree-inventory-2017/download (accessed on 20 May 2024).
 - Urban Forestry: Portland Parks and Recreation. Tree Canopy Explorer: City of Portland, Oregon. 2023. Available online: https://experience.arcgis.com/experience/7556b8b1017949cdb56145ec33aef814 (accessed on 20 May 2024).
 - Makido, Y.; Hellman, D.; Shandas, V. Nature-based designs to mitigate urban heat: The efficacy of green infrastructure treatments in Portland, Oregon. Atmosphere 2019, 10, 282. [Google Scholar] [CrossRef]
 - Bailey, E., Jr. Portland Weather Hits 90 Degrees for Record 31st Day in 2018. Oregonlive. 6 September 2018. Available online: https://www.oregonlive.com/weather/2018/09/portland_weather_hits_90_degre.html (accessed on 24 April 2024).
 - Portland State University Climate Science Lab. Portland Climate Charts: Portland Climate Statistics. 2023. Available online: https://sites.google.com/pdx.edu/portland-state-climate-science/portland-climate-charts?authuser=0 (accessed on 1 May 2024).
 - Fensholt, R.; Proud, S.R. Evaluation of earth observation based global long term vegetation trends-Comparing GIMMS and MODIS global NDVI time series. Remote Sens. Environ. 2012, 119, 131–147. [Google Scholar] [CrossRef]
 - Metro. Canopy 2019. Oregon Metro RLIS, Metadata Viewer. 2019. Available online: https://www.arcgis.com/sharing/rest/content/items/b6da4ea243df4ba492d47860964cf2b5/info/metadata/metadata.xml?format=default&output=html (accessed on 1 May 2024).
 - Voelkel, J.; Shandas, V. Towards Systematic Prediction of Urban Heat Islands: Grounding Measurements, Assessing Modeling Techniques. Climate 2017, 5, 41. [Google Scholar] [CrossRef]
 - ESRI. ArcGIS Pro 3.3; ESRI: Redlands, CA, USA, 2024. [Google Scholar]
 - Hyndman, R.J.; Fan, Y. Sample Quantiles in Statistical Packages. Am. Stat. 1996, 50, 361–365. [Google Scholar] [CrossRef]
 - James, G.; Witten, D.; Hastie, T.; Tibshirani, R. (Eds.) An Introduction to Statistical Learning: With Applications in R; Springer: New York, NY, USA, 2013. [Google Scholar]
 - Zuur, A.F.; Ieno, E.N.; Elphick, C.S. A protocol for data exploration to avoid common statistical problems: Data exploration. Methods Ecol. Evol. 2010, 1, 3–14. [Google Scholar] [CrossRef]
 - Sabatino, S.D.; Buccolieri, R.; Pappaccogli, G.; Leo, L.S. The effects of trees on micrometeorology in a real street canyon: Consequences for local air quality. Int. J. Environ. Pollut. 2015, 58, 100–111. [Google Scholar] [CrossRef]
 - Li, H.; Zhao, Y.; Bardhan, R.; Kubilay, A.; Derome, D.; Carmeliet, J. Time-evolving Impact of Trees on Street Canyon Microclimate. J. Phys. Conf. Ser. 2023, 2654, 012145. [Google Scholar] [CrossRef]
 - Meili, N.; Manoli, G.; Burlando, P.; Carmeliet, J.; Chow, W.T.; Coutts, A.M.; Roth, M.; Velasco, E.; Vivoni, E.R.; Fatichi, S. Tree effects on urban microclimate: Diurnal, seasonal, and climatic temperature differences explained by separating radiation, evapotranspiration, and roughness effects. Urban For. Urban Green. 2021, 58, 126970. [Google Scholar] [CrossRef]
 - Stutzke, A. Why the Coldest Part of the Day Is Just After Sunrise. WQAD8. 29 November 2023. Available online: https://www.wqad.com/article/weather/ask-andrew/coldest-part-of-the-day-after-sunrise/526-9d0b8bfd-f268-4467-aec9-058d73672649 (accessed on 14 May 2024).
 - Hiemstra, J.A.; Saaroni, H.; Amorim, J.H. The urban heat Island: Thermal comfort and the role of urban greening. In The Urban Forest: Cultivating Green Infrastructure for People and the Environment; Springer: Cham, Switzerland, 2017; pp. 7–19. [Google Scholar]
 - Rizwan, A.M.; Dennis, L.Y.; Chunho, L.I.U. A review on the generation, determination and mitigation of Urban Heat Island. J. Environ. Sci. 2008, 20, 120–128. [Google Scholar] [CrossRef] [PubMed]
 - Wang, Z.H.; Zhao, X.; Yang, J.; Song, J. Cooling and energy saving potentials of shade trees and urban lawns in a desert city. Appl. Energy 2016, 161, 437–444. [Google Scholar] [CrossRef]
 - Kurn, D.M.; Bretz, S.E.; Huang, B.; Akbari, H. The Potential for Reducing Urban Air Temperatures and Energy Consumption Through Vegetative Cooling (No. LBL-35320); Lawrence Berkeley National Lab. (LBNL): Berkeley, CA, USA, 1994. [Google Scholar]
 - Jones, B.A. Planting urban trees to improve quality of life? The life satisfaction impacts of urban afforestation. For. Policy Econ. 2021, 125, 102408. [Google Scholar] [CrossRef]
 - Feyisa, G.L.; Dons, K.; Meilby, H. Efficiency of parks in mitigating urban heat island effect: An example from Addis Ababa. Landsc. Urban Plan. 2014, 123, 87–95. [Google Scholar] [CrossRef]
 - Chang, C.R.; Li, M.H.; Chang, S.D. A preliminary study on the local cool-island intensity of Taipei city parks. Landsc. Urban Plan. 2007, 80, 386–395. [Google Scholar] [CrossRef]
 
Disclaimer/Publisher’s Note: The statements, opinions and data contained in all publications are solely those of the individual author(s) and contributor(s) and not of MDPI and/or the editor(s). MDPI and/or the editor(s) disclaim responsibility for any injury to people or property resulting from any ideas, methods, instructions or products referred to in the content.  | 
© 2024 by the authors. Licensee MDPI, Basel, Switzerland. This article is an open access article distributed under the terms and conditions of the Creative Commons Attribution (CC BY) license (https://creativecommons.org/licenses/by/4.0/).