Spatio-Temporal Variations in Ecological Quality and Its Response to Topography and Road Network Based on GEE: Taking the Minjiang River Basin as a Case
Abstract
:1. Introduction
2. Materials and Methods
2.1. Study Area
2.2. Data Sources and Processing
2.2.1. Remote Sensing Data
2.2.2. Terrain Data
2.2.3. Road Network Data
2.3. Calculation of RSEI
| Indicator | Calculation | Explanation | 
|---|---|---|
| NDVI | The variables and represent the reflectance data in the near-infrared and red bands, respectively [6]. | |
| WET | The reflectance data for the blue, green, red, near-infrared (NIR), shortwave infrared 1, and shortwave infrared 2 bands are denoted as , and respectively [40,41]. | |
| NDBSI | The reflectance values for the red, blue, green, near-infrared, and shortwave infrared 1 bands are represented by respectively [42,43]. | |
| LST | The radiance at the sensor, denoted as , is influenced by various factors including land surface emissivity, atmospheric radiances, and atmospheric transmissivity. The blackbody radiance, ), is calculated using Planck’s law based on the land surface temperature ( = LST). The downwelling and upwelling atmospheric radiances are represented by and , respectively. The total atmospheric transmissivity between the land’s surface and the sensor is denoted as “tau”. For the TM sensor, the parameters and are set as 607.76 W m−2 µm−1 sr−1 and 1260.56 K, respectively. For the thermal infrared sensor (TIRS) band 10, the values are = 774.89 Wm−2 µm−1sr−1 sr−1 and = 1321.08 K. The atmospheric parameters, including , , and , were obtained from NASA’s website at http://atmcorr.gsfc.nasa.gov/, accessed on 6 April 2022 [44,45]. | 
2.4. Kernel Density Estimation of the Road Network
2.5. Spatial Autocorrelation Analysis
3. Results
3.1. Ecological Quality Status
3.2. Changes in Ecological Quality
3.3. Ecological Quality Response to Topographic Factors
3.3.1. Elevation
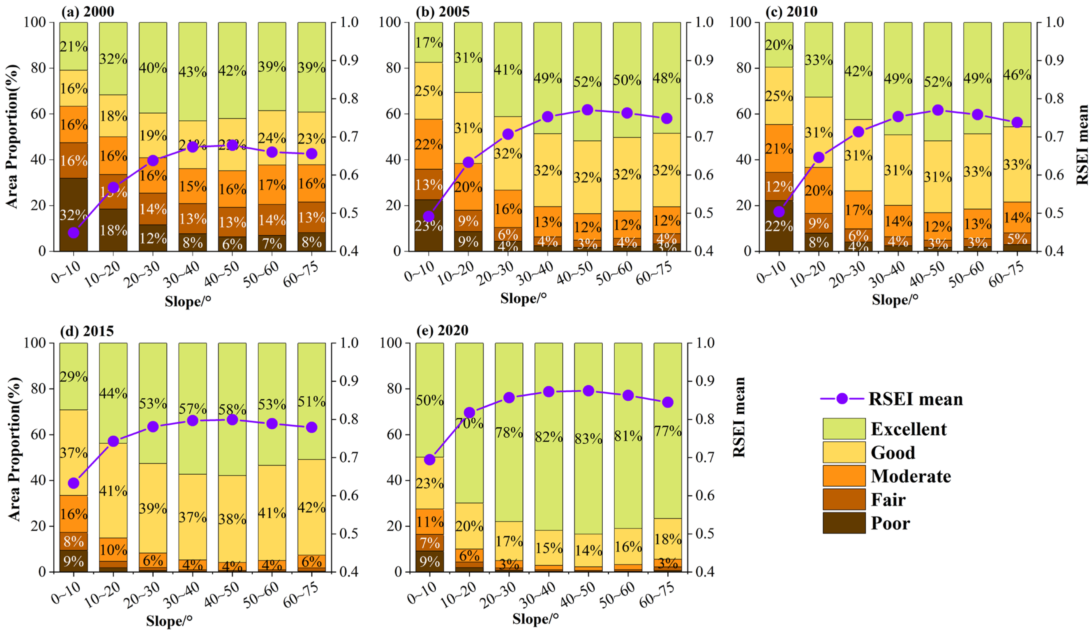
3.3.2. Slope
3.4. Ecological Quality Response to the Road Network
3.4.1. Buffer Analysis
3.4.2. Spatial Autocorrelation Analysis
4. Discussion
4.1. Calculation of RSEI
4.2. Spatio-Temporal Evolution of Ecological Quality
4.3. Driving Forces of Ecological Quality
5. Conclusions
- (1)
- The basin’s overall ecological condition greatly improved between 2000 and 2020. The RSEI increased from 0.575 to 0.808. Most transitions took place within the moderate, good, and excellent categories of RSEI level. Changes in RSEI were predominantly observed in the categories of slight increase and slight decrease;
- (2)
- The ecological quality of the MRB is significantly influenced by topographical factors. Regions with elevations ranging from 1200 to 1500 m and slope angles between 40 and 50° exhibited better ecological quality. Conversely, areas with elevations below 300 m and slope angles below 10° showed poorer ecological quality;
- (3)
- The road network within the study area, including trunk roads, secondary roads, primary roads, and tertiary roads, demonstrated consistent changes in response to RSEI. As the buffer distance increased from 0 to 3000 m, the average RSEI value gradually decreased. The bivariate analysis of KDE and RSEI revealed a clear spatial negative correlation between these variables. This negative correlation strengthened as the research scale increased. The study area exhibited two main cluster patterns: Low–High clusters and High–Low clusters. Low–High clusters were predominately located in the research area’s northwest, whereas High–Low clusters were primarily concentrated in its southeast. Analysis of the annual changes from 2000 to 2020 revealed a decline in the number of High–Low clusters and an increase in the number of High–High clusters in the southeastern region. Conversely, the northwestern part showed a decrease in the number of Low–High clusters and an increase in the number of the non-significant cluster type.
Author Contributions
Funding
Data Availability Statement
Acknowledgments
Conflicts of Interest
References
- Mcdonnell, M.J.; Macgregor-Fors, I. The ecological future of cities. Science 2016, 352, 936–938. [Google Scholar] [CrossRef] [PubMed]
- Levin, S.A. The Problem of Pattern and Scale in Ecology: The Robert H. MacArthur Award Lecture. Ecology 1992, 73, 1943–1967. [Google Scholar] [CrossRef]
- Yu, H.; Zhao, J. The Impact of Environmental Conditions on Urban Eco-Sustainable Total Factor Productivity: A Case Study of 21 Cities in Guangdong Province, China. Int. J. Environ. Res. Public Health Multidiscip. Digit. Publ. Inst. 2020, 17, 1329. [Google Scholar] [CrossRef]
- Zhao, Y.W.; Zhou, L.Q.; Dong, B.Q.; Dai, C. Health assessment for urban rivers based on the pressure, state and response framework—A case study of the Shiwuli River. Ecol. Indic. 2019, 99, 324–331. [Google Scholar] [CrossRef]
- Tong, X.; Luo, X.; Liu, S.; Xie, H.; Chao, W.; Liu, S.; Liu, S.; Makhinov, A.N.; Makhinova, A.F.; Jiang, Y. An approach for flood monitoring by the combined use of Landsat 8 optical imagery and COSMO-SkyMed radar imagery. ISPRS J. Photogramm. Remote Sens. 2018, 136, 144–153. [Google Scholar] [CrossRef]
- Rouse, J.W.; Haas, R.H.; Deering, D.W.; Schell, J.A.; Harlan, J.C. Monitoring the Vernal Advancement and Retrogradation (Green Wave Effect) of Natural Vegetation. Patent No. E75-10354, 1 November 1974. [Google Scholar]
- Weil, Z.; Xinfeng, F. Analysis and Evaluation of principal climatic factors of NDVI in the Yarlung Zangbo River Basin. J. Phys. Conf. Ser. IOP Publ. 2015, 622, 012048. [Google Scholar] [CrossRef]
- Wang, X.D.; Zhong, X.H.; Liu, S.Z.; Liu, J.G.; Wang, Z.Y.; Li, M.H. Regional assessment of environmental vulnerability in the Tibetan Plateau: Development and application of a new method. J. Arid. Environ. 2008, 72, 1929–1939. [Google Scholar] [CrossRef]
- Zuo, B.J.; Sun, Y.J. Forest vegetation dynamics and responses to climate change in a southern subtropical monsoon region in Jangle County. J. Geo-Inf. Sci. 2019, 21, 958–996. [Google Scholar] [CrossRef]
- Zheng, G.; Moskal, L.M. Retrieving Leaf Area Index (LAI) Using Remote Sensing: Theories, Methods and Sensors. Sens. Mol. Divers. Preserv. Int. 2009, 9, 2719–2745. [Google Scholar] [CrossRef]
- Weiss, M.; Baret, F.; Smith, G.J.; Jonckheere, I.; Coppin, P. Review of methods for in situ leaf area index (LAI) determination: Part II. Estimation of LAI, errors and sampling. Agric. For. Meteorol. 2004, 121, 37–53. [Google Scholar] [CrossRef]
- Seiler, R.A.; Hayes, M.; Bressan, L. Using the standardized precipitation index for flood risk monitoring. Int. J. Climatol. 2002, 22, 1365–1376. [Google Scholar] [CrossRef]
- Banimahd, S.A.; Khalili, D. Factors Influencing Markov Chains Predictability Characteristics, Utilizing SPI, RDI, EDI and SPEI Drought Indices in Different Climatic Zones. Water Resour. Manag. 2013, 27, 3911–3928. [Google Scholar] [CrossRef]
- Moghimi, M.M.; Zarei, A.R.; Mahmoudi, M.R. Seasonal drought forecasting in arid regions, using different time series models and RDI index. J. Water Clim. Chang. 2020, 11, 633–654. [Google Scholar] [CrossRef]
- Li, J.; Song, C.; Cao, L.; Zhu, F.; Meng, X.; Wu, J. Impacts of landscape structure on surface urban heat islands: A case study of Shanghai, China. Remote Sens. Environ. 2011, 115, 3249–3263. [Google Scholar] [CrossRef]
- Wang, W.; Liu, K.; Tang, R.; Wang, S. Remote sensing image-based analysis of the urban heat island effect in Shenzhen, China. Phys. Chem. Earth Parts A/B/C 2019, 110, 168–175. [Google Scholar] [CrossRef]
- Wen, X.; Ming, Y.; Gao, Y.; Hu, X. Dynamic Monitoring and Analysis of Ecological Quality of Pingtan Comprehensive Experimental Zone, a New Type of Sea Island City, Based on RSEI. Sustainability 2019, 12, 21. [Google Scholar] [CrossRef]
- Xu, H.Q. A remote sensing urban ecological index and its application. Acta Ecol. Sin. 2013, 33, 7853–7862. [Google Scholar] [CrossRef]
- An, M.; Xie, P.; He, W.; Wang, B.; Huang, J.; Khanal, R. Spatiotemporal change of ecologic environment quality and human interaction factors in three gorges ecologic economic corridor, based on RSEI. Ecol. Indic. 2022, 141, 109090. [Google Scholar] [CrossRef]
- Yuan, B.; Fu, L.; Zou, Y.; Zhang, S.; Chen, X.; Li, F.; Deng, Z.; Xie, Y. Spatiotemporal change detection of ecological quality and the associated affecting factors in Dongting Lake Basin, based on RSEI. J. Clean. Prod. 2021, 302, 126995. [Google Scholar] [CrossRef]
- Hu, X.; Xu, H. A new remote sensing index for assessing the spatial heterogeneity in urban ecological quality: A case from Fuzhou City, China. Ecol. Indic. 2018, 89, 11–21. [Google Scholar] [CrossRef]
- Yang, Z.K.; Tian, J.; Li, W.Y.; Su, W.R.; Guo, R.Y.; Liu, W.J. Spatio-temporal pattern and evolution trend of ecological environment quality in the Yellow River Basin. Acta Ecol. Sin. 2021, 41, 7627–7636. [Google Scholar] [CrossRef]
- Zhang, K.; Feng, R.; Zhang, Z.; Deng, C.; Zhang, H.; Liu, K. Exploring the Driving Factors of Remote Sensing Ecological Index Changes from the Perspective of Geospatial Differentiation: A Case Study of the Weihe River Basin, China. Int. J. Environ. Res. Public Health 2022, 19, 10930. [Google Scholar] [CrossRef]
- Boori, M.S.; Choudhary, K.; Paringer, R.; Kupriyanov, A. Spatiotemporal ecological vulnerability analysis with statistical correlation based on satellite remote sensing in Samara, Russia. J. Environ. Manag. 2021, 285, 112138. [Google Scholar] [CrossRef]
- Liu, P.; Ren, C.Y.; Wang, Z.M.; Zhang, B.; Chen, L. Assessment of the eco-environmental quality in the Nanweng River Nature Reserve, Northeast China by remote sensing. Ying Yong Sheng Tai Xue Bao=J. Appl. Ecol. 2018, 29, 3347–3356. [Google Scholar] [CrossRef]
- Lin, Y.; Hu, X.; Zheng, X.; Hou, X.; Zhang, Z.; Zhou, X.; Qiu, R.; Lin, J. Spatial variations in the relationships between road network and landscape ecological risks in the highest forest coverage region of China. Ecol. Indic. 2019, 96, 392–403. [Google Scholar] [CrossRef]
- Zhang, J.-T.; Li, M.; Nie, E. Pattern of functional diversity along an altitudinal gradient in the Baihua Mountain Reserve of Beijing, China. Braz. J. Bot. 2014, 37, 37–45. [Google Scholar] [CrossRef]
- Pabst, H.; Kühnel, A.; Kuzyakov, Y. Effect of land-use and elevation on microbial biomass and water extractable carbon in soils of Mt. Kilimanjaro ecosystems. Appl. Soil Ecol. 2013, 67, 10–19. [Google Scholar] [CrossRef]
- Wei, J.Y.; Xu, J.Y.; Fan, F.F. Changes of Vegetation Coverage and Their Response to Topographical Factors in Wolong Nature Reserve. Resour. Environ. Yangtze Basin 2019, 28, 440–449. [Google Scholar]
- Emran, A.; Roy, S.; Bagmar Md, S.H.; Mitra, C. Assessing topographic controls on vegetation characteristics in Chittagong Hill Tracts (CHT) from remotely sensed data. Remote Sens. Appl. Soc. Environ. 2018, 11, 198–208. [Google Scholar] [CrossRef]
- Wang, X.; Xie, X.; Wang, Z.; Lin, H.; Liu, Y.; Xie, H.; Liu, X. Construction and Optimization of an Ecological Security Pattern Based on the MCR Model: A Case Study of the Minjiang River Basin in Eastern China. Int. J. Environ. Res. Public Health 2022, 19, 8370. [Google Scholar] [CrossRef]
- Ying, L.X.; Wang, J.; Zhou, Y. Ecological-environmental problems and solutions in the Minjiang River basin, Fujian Province, China. Acta Ecol. Sin. 2019, 39, 8857–8866. [Google Scholar] [CrossRef]
- Wang, J.; Yan, Y.L.; Wang, J.M.; Ying, L.X.; Tang, Q. Temporal-spatial variation characteristics and prediction of habitat quality in Min River Basin. Acta Ecol. Sin. 2021, 41, 5837–5848. [Google Scholar] [CrossRef]
- Gorelick, N.; Hancher, M.; Dixon, M.; Ilyushchenko, S.; Thau, D.; Moore, R. Google Earth Engine: Planetary-scale geospatial analysis for everyone. Remote Sens. Environ. 2017, 202, 18–27. [Google Scholar] [CrossRef]
- Cai, H.; He, Z.W.; An, Y.L.; Deng, H. Correlation Intensity of Vegetation Coverage and Topographic Factors in Chishui Watershed Based on RS and, GIS. Earth Environ. 2014, 42, 518–524. [Google Scholar] [CrossRef]
- Bi, K.Y.; Niu, Z.; Huang, N.; Kou, P. Effects of road network on landscape ecological risk: A case study of “China and Indochina Peninsula economic corridor”. J. Univ. Chin. Acad. Sci. 2019, 36, 347353. [Google Scholar] [CrossRef]
- Liu, S.L.; Wen, M.X.; Cun, B.S.; Dong, S.K. Effects of road networks on regional ecosystems in Southwest mountain area: A case study in Jinhong of Longitudinal Range-Gorge Region. Acta Ecol. Sin. 2006, 9, 3018–3024. [Google Scholar] [CrossRef]
- Hu, X.; Xu, H. A new remote sensing index based on the pressure-state-response framework to assess regional ecological change. Environ. Sci. Pollut. Res. 2019, 26, 5381–5393. [Google Scholar] [CrossRef] [PubMed]
- Xiong, Y.; Xu, W.; Huang, S.; Wu, C.; Dai, F.; Wang, L.; Lu, N.; Kou, W. Ecological environment quality assessment of Xishuangbanna rubber plantations expansion (1995–2018) based on multi-temporal Landsat imagery and RSEI. Geocarto Int. Taylor Fr. 2022, 37, 3441–3468. [Google Scholar] [CrossRef]
- Yue, H.; Liu, Y.; Li, Y.; Lu, Y. Eco-Environmental Quality Assessment in China’s 35 Major Cities Based on Remote Sensing Ecological Index. IEEE Access 2019, 7, 51295–51311. [Google Scholar] [CrossRef]
- Crist, E.P. A TM Tasseled Cap equivalent transformation for reflectance factor data. Remote Sens. Environ. 1985, 17, 301–306. [Google Scholar] [CrossRef]
- Baig, M.H.A.; Zhang, L.; Shuai, T.; Tong, Q. Derivation of a tasselled cap transformation based on Landsat 8 at-satellite reflectance. Remote Sens. Lett. Taylor Fr. 2014, 5, 423–431. [Google Scholar] [CrossRef]
- Xu, H.Q. A New Index-based Built-up Index (IBI) and Its Eco -environmental Significance. Remote Sens. Technol. Appl. 2007, 3, 301–308. [Google Scholar] [CrossRef]
- Chander, G.; Markham, B.L.; Helder, D.L. Summary of current radiometric calibration coefficients for Landsat MSS, TM, ETM+, and EO-1 ALI sensors. Remote Sens. Environ. 2009, 113, 893–903. [Google Scholar] [CrossRef]
- Sobrino, J.A.; Jiménez-Muñoz, J.C.; Paolini, L. Land surface temperature retrieval from LANDSAT TM 5. Remote Sens. Environ. 2004, 90, 434–440. [Google Scholar] [CrossRef]
- Yang, Y.X.; Wang, X.; Meng, D.; Sun, T.; Zhang, Z.F.; Shi, Y.R. Test Method of Cultivated Land Grading Index Based on Spatial Autocorrelation. Trans. Chin. Soc. Agric. Mach. 2016, 47, 328–335. [Google Scholar] [CrossRef]
- Liu, S.D.; Xu, L.P.; Zhang, J. Spatiotemporal change of land ecological security in Xinjiang. Acta Ecol. Sin. 2019, 39, 3871–3884. [Google Scholar] [CrossRef]
- Chang, Y.Y.; Gao, Y.; Xie, Z.; Zhang, T.Z.; Yu, X.Z. Spatiotemporal evolution and spatial correlation of habitat quality and landscape pattern over Beijing-Tianjin-Hebei region. China Environ. Sci. 2021, 41, 848–859. [Google Scholar] [CrossRef]
- Sun, C.; Li, X.; Zhang, W.; Li, X. Evolution of Ecological Security in the Tableland Region of the Chinese Loess Plateau Using a Remote-Sensing-Based Index. Sustainability 2020, 12, 3489. [Google Scholar] [CrossRef]
- Shan, W.; Jin, X.; Ren, J.; Wang, Y.; Xu, Z.; Fan, Y.; Gu, Z.; Hong, C.; Lin, J.; Zhou, Y. Ecological environment quality assessment based on remote sensing data for land consolidation. J. Clean. Prod. 2019, 239, 118126. [Google Scholar] [CrossRef]
- Geng, J.; Yu, K.; Xie, Z.; Zhao, G.; Ai, J.; Yang, L.; Yang, H.; Liu, J. Analysis of Spatiotemporal Variation and Drivers of Ecological Quality in Fuzhou Based on RSEI. Remote Sens. 2022, 14, 4900. [Google Scholar] [CrossRef]
- Liu, H.; Chen, Y.D.; Liu, T.; Lin, L. The River Chief System and River Pollution Control in China: A Case Study of Foshan. Water Multidiscip. Digit. Publ. Inst. 2019, 11, 1606. [Google Scholar] [CrossRef]
- Xu, H.; Wang, M.; Shi, T.; Guan, H.; Fang, C.; Lin, Z. Prediction of ecological effects of potential population and impervious surface increases using a remote sensing based ecological index (RSEI). Ecol. Indic. 2018, 93, 730–740. [Google Scholar] [CrossRef]
- Gao, Q.Q.; Chen, C.; Liu, H.N.; Luo, Q.; Li, X.; Lin, Y.M.; Wu, C.Z. Spatiotemporal Variations and Topographic Differentiation of Fractional Vegetation Cover in Minjiang River. For. Resour. Manag. 2022, 2, 91–99. [Google Scholar] [CrossRef]
- Li, Y.; Li, Z.; Wang, J.; Zeng, H. Analyses of driving factors on the spatial variations in regional eco-environmental quality using two types of species distribution models: A case study of Minjiang River Basin, China. Ecol. Indic. 2022, 139, 108980. [Google Scholar] [CrossRef]
- Zhang, Y.; She, J.; Long, X.; Zhang, M. Spatio-temporal evolution and driving factors of eco-environmental quality based on RSEI in Chang-Zhu-Tan metropolitan circle, central China. Ecol. Indic. 2022, 144, 109436. [Google Scholar] [CrossRef]
- Bai, Y.; Jiang, B.; Alatalo, J.M.; Zhuang, C.; Wang, X.; Cui, L.; Xu, W. Impacts of land management on ecosystem service delivery in the Baiyangdian river basin. Environ. Earth Sci. 2016, 75, 258. [Google Scholar] [CrossRef]
- Gao, Y.G.; Li, Y.H.; Xu, H.Q. Assessing Ecological Quality Based on Remote Sensing Images in Wugong Mountain. Earth Space Sci. 2022, 9, e2021EA001918. [Google Scholar] [CrossRef]
- Chen, K.; Yang, S.T.; Hou, P.; Wu, L.N.; Guan, Y.B.; Liu, X.L. Long Series Analysis on NPP Variation in the Upper Minjiang River Basin and the Upper Ganjiang River Basin. Res. Soil Water Conserv. 2016, 23, 155–159+164+365. [Google Scholar]
- Chen, X.H.; Zeng, X.Y.; Zhao, C.C.; Qiu, R.Z.; Zhang, L.Y.; Hou, X.Y.; Hu, X.S. The ecological effect of road network based on remote sensing ecological index: A case study of Fuzhou City, Fujian Province. Acta Ecol. Sin. 2021, 41, 4732–4745. [Google Scholar] [CrossRef]
- Yang, X.; Ouyang, Z.; Wang, L.; Rao, E.; Jiang, L.; Zhang, L. Spatial patterns of ecosystem quality in Inner Mongolia and its driving forces analysis. Acta Ecol. Sin. 2016, 36, 6019–6030. [Google Scholar] [CrossRef]
- Dong, T.; Xiao, Y.; Zhang, L.; Xiao, Y.; Zhang, H.; OuYang, Z.Y. Analysis of driving factors that influence the pattern and quality of the ecosystem in Ordos. Acta Ecol. Sin. 2019, 39, 660–671. [Google Scholar] [CrossRef]
- Laforge, A.; Barbaro, L.; Bas, Y.; Calatayud, F.; Ladet, S.; Sirami, C.; Archaux, F. Road density and forest fragmentation shape bat communities in temperate mosaic landscapes. Landsc. Urban Plan. 2022, 221, 104353. [Google Scholar] [CrossRef]
- Tian, Y.; Wen, Z.; Zhang, X.; Cheng, M.; Xu, M. Exploring a multisource-data framework for assessing ecological environment conditions in the Yellow River Basin, China. Sci. Total Environ. 2022, 848, 157730. [Google Scholar] [CrossRef] [PubMed]















| Year | RSEI Mean | NDVI | WET | NDBSI | LST | Contribution (%) | 
|---|---|---|---|---|---|---|
| 2000 | 0.575 | 0.383 | 0.471 | −0.787 | −0.106 | 65.7% | 
| 2001 | 0.617 | 0.463 | 0.584 | −0.603 | −0.283 | 66.9% | 
| 2002 | 0.644 | 0.461 | 0.518 | −0.590 | −0.414 | 65.7% | 
| 2003 | 0.645 | 0.467 | 0.527 | −0.591 | −0.393 | 67.8% | 
| 2004 | 0.644 | 0.475 | 0.518 | −0.581 | −0.411 | 68.6% | 
| 2005 | 0.638 | 0.474 | 0.504 | −0.580 | −0.430 | 67.7% | 
| 2006 | 0.639 | 0.465 | 0.524 | −0.592 | −0.398 | 68.0% | 
| 2007 | 0.639 | 0.470 | 0.521 | −0.588 | −0.404 | 67.5% | 
| 2008 | 0.626 | 0.421 | 0.572 | −0.587 | −0.389 | 65.0% | 
| 2009 | 0.639 | 0.457 | 0.526 | −0.605 | −0.384 | 65.4% | 
| 2010 | 0.648 | 0.459 | 0.531 | −0.601 | −0.382 | 67.6% | 
| 2011 | 0.638 | 0.486 | 0.518 | −0.589 | −0.386 | 68.9% | 
| 2012 | 0.640 | 0.462 | 0.540 | −0.567 | −0.416 | 71.5% | 
| 2013 | 0.709 | 0.512 | 0.526 | −0.596 | −0.326 | 75.6% | 
| 2014 | 0.747 | 0.494 | 0.536 | −0.581 | −0.362 | 79.0% | 
| 2015 | 0.736 | 0.490 | 0.546 | −0.581 | −0.352 | 78.5% | 
| 2016 | 0.734 | 0.496 | 0.543 | −0.581 | −0.348 | 78.0% | 
| 2017 | 0.749 | 0.483 | 0.532 | −0.618 | −0.318 | 79.5% | 
| 2018 | 0.754 | 0.428 | 0.529 | −0.624 | −0.314 | 81.1% | 
| 2019 | 0.748 | 0.503 | 0.539 | −0.590 | −0.328 | 81.1% | 
| 2020 | 0.808 | 0.498 | 0.506 | −0.616 | −0.340 | 81.8% | 
| Moran’s I | ||||||
|---|---|---|---|---|---|---|
| RSEI in 2000 | RSEI in 2005 | RSEI in 2010 | RSEI in 2015 | RSEI in 2020 | ||
| 300 × 300 m | KDE | −0.280 | −0.381 | −0.344 | −0.421 | −0.395 | 
| 600 × 600 m | −0.307 | −0.407 | −0.372 | −0.450 | −0.419 | |
| 900 × 900 m | −0.337 | −0.435 | −0.403 | −0.480 | −0.450 | |
| 1200 × 1200 m | −0.352 | −0.447 | −0.417 | −0.491 | −0.460 | |
| 1500 × 1500 m | −0.363 | −0.457 | −0.427 | −0.498 | −0.466 | |
| Disclaimer/Publisher’s Note: The statements, opinions and data contained in all publications are solely those of the individual author(s) and contributor(s) and not of MDPI and/or the editor(s). MDPI and/or the editor(s) disclaim responsibility for any injury to people or property resulting from any ideas, methods, instructions or products referred to in the content. | 
© 2023 by the authors. Licensee MDPI, Basel, Switzerland. This article is an open access article distributed under the terms and conditions of the Creative Commons Attribution (CC BY) license (https://creativecommons.org/licenses/by/4.0/).
Share and Cite
Zuo, X.; Li, J.; Zhang, L.; Wu, Z.; Lin, S.; Hu, X. Spatio-Temporal Variations in Ecological Quality and Its Response to Topography and Road Network Based on GEE: Taking the Minjiang River Basin as a Case. Land 2023, 12, 1754. https://doi.org/10.3390/land12091754
Zuo X, Li J, Zhang L, Wu Z, Lin S, Hu X. Spatio-Temporal Variations in Ecological Quality and Its Response to Topography and Road Network Based on GEE: Taking the Minjiang River Basin as a Case. Land. 2023; 12(9):1754. https://doi.org/10.3390/land12091754
Chicago/Turabian StyleZuo, Xueman, Jiazheng Li, Ludan Zhang, Zhilong Wu, Sen Lin, and Xisheng Hu. 2023. "Spatio-Temporal Variations in Ecological Quality and Its Response to Topography and Road Network Based on GEE: Taking the Minjiang River Basin as a Case" Land 12, no. 9: 1754. https://doi.org/10.3390/land12091754
APA StyleZuo, X., Li, J., Zhang, L., Wu, Z., Lin, S., & Hu, X. (2023). Spatio-Temporal Variations in Ecological Quality and Its Response to Topography and Road Network Based on GEE: Taking the Minjiang River Basin as a Case. Land, 12(9), 1754. https://doi.org/10.3390/land12091754
 
        

 
       