Land Use and Climate Change Effects on Streamflow and Nutrient Loads in a Temperate Catchment: A Simulation Study
Abstract
1. Introduction
2. Materials and Methods
2.1. Study Site
2.2. The Soil and Water Assessment Tool Model
2.2.1. SWAT Inputs
2.2.2. SWAT Model Assessment
2.3. Design of Scenarios
2.3.1. Land Use Change Scenarios
2.3.2. Climate Change Scenarios
3. Results
3.1. SWAT Model Calibration and Performance
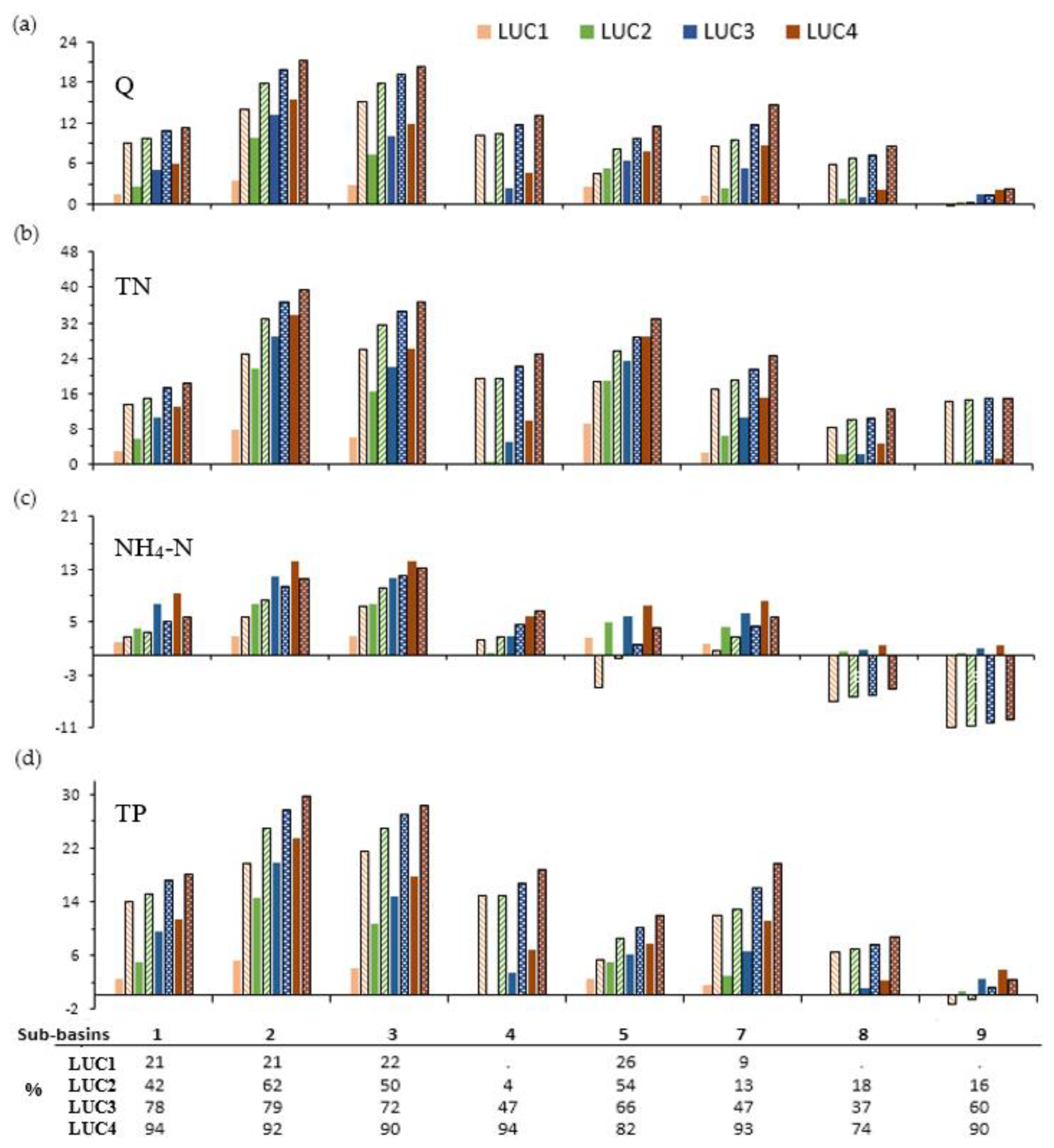
3.2. Modelling Streamflow and Nutrient Loads: Land Use Change Effects
3.3. Modelling Streamflow and Nutrient Loads: Land Use–Climate Change Effects
3.4. Combined Effects of Land Use and Projected Climate
4. Discussion
4.1. Land Use and Climate Change Effects on Streamflow
4.2. Modelling Nutrient Flux: Land Use–Climate Change Effects
4.3. Combined Effects of Land Use and Projected Climate
5. Conclusions
Author Contributions
Funding
Data Availability Statement
Acknowledgments
Conflicts of Interest
Abbreviations
References
- Williamson, C.E.; Dodds, W.; Kratz, T.K.; Palmer, M.A. Lakes and streams as sentinels of environmental change in terrestrial and atmospheric processes. Front. Ecol. Environ. 2008, 6, 247–254. [Google Scholar] [CrossRef]
- Moal, M.; Gascuel-Odoux, C.; Ménesguen, A.; Souchon, Y.; Étrillard, C.; Levain, A.; Moatar, F.; Pannard, A.; Souchu, P.; Lefebvre, A. Eutrophication: A new wine in an old bottle? Sci. Total Environ. 2019, 651, 1–11. [Google Scholar] [CrossRef]
- Maberly, S.C.; Pitt, J.-A.; Davies, P.S.; Carvalho, L. Nitrogen and phosphorus limitation and the management of small productive lakes. Inland Waters 2020, 10, 159–172. [Google Scholar] [CrossRef]
- Leibowitz, S.G.; Wigington, P.J., Jr.; Schofield, K.A.; Alexander, L.C.; Vanderhoof, M.K.; Golden, H.E. Connectivity of Streams and Wetlands to Downstream Waters: An Integrated Systems Framework. J. Am. Water Resour. Assoc. 2018, 54, 298–322. [Google Scholar] [CrossRef]
- Fritz, K.M.; Schofield, K.A.; Alexander, L.C.; McManus, M.G.; Golden, H.E.; Lane, C.R.; Kepner, W.G.; LeDuc, S.D.; DeMeester, J.E.; Pollard, A.I. Physical and chemical connectivity of streams and riparian wetlands to downstream waters: A synthesis. JAWRA J. Am. Water Resour. Assoc. 2018, 54, 323–345. [Google Scholar] [CrossRef]
- Schindler, D.W.; Carpenter, S.R.; Chapra, S.C.; Hecky, R.E.; Orihel, D.M. Reducing phosphorus to curb lake eutrophication is a success. Environ. Sci. Technol. 2016, 50, 8923–8929. [Google Scholar] [CrossRef]
- Abell, J.M.; Özkundakci, D.; Hamilton, D.P. Nitrogen and phosphorus limitation of phytoplankton growth in New Zealand lakes: Implications for eutrophication control. Ecosystems 2010, 13, 966–977. [Google Scholar] [CrossRef]
- Smith, V.H.; Wood, S.A.; McBride, C.G.; Atalah, J.; Hamilton, D.P.; Abell, J. Phosphorus and nitrogen loading restraints are essential for successful eutrophication control of Lake Rotorua, New Zealand. Inland Waters 2016, 6, 273–283. [Google Scholar] [CrossRef]
- Hamilton, D.P. Land use impacts on nutrient export in the Central Volcanic Plateau, North Island. N. Z. J. For. 2005, 49, 27–31. [Google Scholar]
- Filstrup, C.T.; Downing, J.A. Relationship of chlorophyll to phosphorus and nitrogen in nutrient-rich lakes. Inland Waters 2017, 7, 385–400. [Google Scholar] [CrossRef]
- Bracken, M.E.; Hillebrand, H.; Borer, E.T.; Seabloom, E.W.; Cebrian, J.; Cleland, E.E.; Elser, J.J.; Gruner, D.S.; Harpole, W.S.; Ngai, J.T. Signatures of nutrient limitation and co-limitation: Responses of autotroph internal nutrient concentrations to nitrogen and phosphorus additions. Oikos 2015, 124, 113–121. [Google Scholar] [CrossRef]
- Allgeier, J.E.; Rosemond, A.D.; Layman, C.A. The frequency and magnitude of non-additive responses to multiple nutrient enrichment. J. Appl. Ecol. 2011, 48, 96–101. [Google Scholar] [CrossRef]
- Duhon, M.; McDonald, H.; Kerr, S. Nitrogen Trading in Lake Taupo: An Analysis and Evaluation of an Innovative Water Management Policy; Motu Working Paper 14-14; Motu Economic and Public Policy Research: Wellington, New Zealand, 2015. [Google Scholar] [CrossRef]
- Burns, N.; McIntosh, J.; Scholes, P. Managing the lakes of the Rotorua district, New Zealand. Lake Reserv. Manag. 2009, 25, 284–296. [Google Scholar] [CrossRef]
- BoPRC. Environment Bay of Plenty. 2004. Lake Okareka Catchment Management Plan. Whakatane, NZ. 2004. Available online: https://www.rotorualakes.co.nz/vdb/document/77 (accessed on 21 November 2022).
- Elliott, A.H.; Alexander, R.; Schwarz, G.; Shankar, U.; Sukias, J.; McBride, G.B. Estimation of nutrient sources and transport for New Zealand using the hybrid mechanistic-statistical model SPARROW. J. Hydrol. N. Z. 2005, 44, 1–27. [Google Scholar]
- Gluckman, P.; Cooper, B.; Howard-Williams, C.; Larned, S.; Quinn, J.; Bardsley, A.; Hughey, K.; Wratt, D. New Zealand’s fresh waters: Values, state, trends and human impacts. In Report for Office of the Priminster’s Chief Science Advisor; Office of the Prime Minister’s Chief Science Advisor: Wellington, New Zealand, 2017; Available online: https://researchspace.auckland.ac.nz/handle/2292/52816 (accessed on 5 December 2022).
- Snelder, T.H.; Larned, S.T.; McDowell, R.W. Anthropogenic increases of catchment nitrogen and phosphorus loads in New Zealand. N. Z. J. Mar. Freshw. Res. 2018, 52, 336–361. [Google Scholar] [CrossRef]
- Hughey, K.F.; Kerr, G.N.; Cullen, R. Public Perceptions of New Zealand’s Environment: 2016; EOS Ecology: Christchurch, New Zealand, 2016; Available online: https://researcharchive.lincoln.ac.nz/bitstream/handle/10182/3875/?sequence=1:2016 (accessed on 6 December 2022).
- Me, W.; Hamilton, D.P.; McBride, C.G.; Abell, J.M.; Hicks, B.J. Modelling hydrology and water quality in a mixed land use catchment and eutrophic lake: Effects of nutrient load reductions and climate change. Environ. Model. Softw. 2018, 109, 114–133. [Google Scholar] [CrossRef]
- Williamson, C.E.; Saros, J.E.; Vincent, W.F.; Smol, J.P. Lakes and reservoirs as sentinels, integrators, and regulators of climate change. Limnol. Oceanogr. 2009, 54, 2273–2282. [Google Scholar] [CrossRef]
- Pulido-Velazquez, M.; Peña-Haro, S.; García-Prats, A.; Mocholi-Almudever, A.F.; Henríquez-Dole, L.; Macian-Sorribes, H.; Lopez-Nicolas, A. Integrated assessment of the impact of climate and land use changes on groundwater quantity and quality in the Mancha Oriental system (Spain). Hydrol. Earth Syst. Sci. 2015, 19, 1677–1693. [Google Scholar] [CrossRef]
- Pachauri, R.K.; Allen, M.R.; Barros, V.R.; Broome, J.; Cramer, W.; Christ, R.; Church, J.A.; Clarke, L.; Dahe, Q.; Dasgupta, P. Climate Change 2014: Synthesis Report. Contribution of Working Groups I, II and III to the Fifth Assessment Report of the Intergovernmental Panel on Climate Change; IPCC: Geneva, Switzerland, 2014. [Google Scholar]
- Murray, S.; Foster, P.; Prentice, I. Future global water resources with respect to climate change and water withdrawals as estimated by a dynamic global vegetation model. J. Hydrol. 2012, 448, 14–29. [Google Scholar] [CrossRef]
- Messina, N.J.; Couture, R.-M.; Norton, S.A.; Birkel, S.D.; Amirbahman, A. Modeling response of water quality parameters to land-use and climate change in a temperate, mesotrophic lake. Sci. Total Environ. 2020, 713, 136549. [Google Scholar] [CrossRef]
- Singh, V.P.; Woolhiser, D.A. Mathematical modeling of watershed hydrology. J. Hydrol. Eng. 2002, 7, 270–292. [Google Scholar] [CrossRef]
- Beven, K.; Freer, J. Equifinality, data assimilation, and uncertainty estimation in mechanistic modelling of complex environmental systems using the GLUE methodology. J. Hydrol. 2001, 249, 11–29. [Google Scholar] [CrossRef]
- Ayele, G.T.; Teshale, E.Z.; Yu, B.; Rutherfurd, I.D.; Jeong, J. Streamflow and sediment yield prediction for watershed prioritization in the Upper Blue Nile River Basin, Ethiopia. Water 2017, 9, 782. [Google Scholar] [CrossRef]
- Devia, G.K.; Ganasri, B.; Dwarakish, G. A review on hydrological models. Aquat. Procedia 2015, 4, 1001–1007. [Google Scholar] [CrossRef]
- Vrugt, J.A.; Robinson, B.A.; Vesselinov, V.V. Improved inverse modeling for flow and transport in subsurface media: Combined parameter and state estimation. Geophys. Res. Lett. 2005, 32. [Google Scholar] [CrossRef]
- Arnold, J.G.; Williams, J.R.; Maidment, D.R. Continuous-time water and sediment-routing model for large basins. J. Hydraul. Eng. 1995, 121, 171–183. [Google Scholar] [CrossRef]
- Arnold, J.G.; Srinivasan, R.; Muttiah, R.S.; Williams, J.R. Large area hydrologic modeling and assessment part I: Model development 1. JAWRA J. Am. Water Resour. Assoc. 1998, 34, 73–89. [Google Scholar] [CrossRef]
- Bisantino, T.; Bingner, R.; Chouaib, W.; Gentile, F.; Trisorio Liuzzi, G. Estimation of runoff, peak discharge and sediment load at the event scale in a medium-size Mediterranean watershed using the AnnAGNPS model. Land Degrad. Dev. 2015, 26, 340–355. [Google Scholar] [CrossRef]
- Jeong, J.; Kannan, N.; Arnold, J.; Glick, R.; Gosselink, L.; Srinivasan, R. Development and integration of sub-hourly rainfall–runoff modeling capability within a watershed model. Water Resour. Manag. 2010, 24, 4505–4527. [Google Scholar] [CrossRef]
- Gassman, P.W.; Reyes, M.R.; Green, C.H.; Arnold, J.G. The soil and water assessment tool: Historical development, applications, and future research directions. Trans. ASABE 2007, 50, 1211–1250. [Google Scholar] [CrossRef]
- Me, W.; Abell, J.M.; Hamilton, D.P. Modelling water, sediment and nutrient fluxes from a mixed land-use catchment in New Zealand: Effects of hydrologic conditions on SWAT model performance. Hydrol. Earth Syst. Sci. Discuss. 2015, 12, 4315–4352. [Google Scholar] [CrossRef]
- Healy, J. Stratigraphy and chronology of late Quaternary volcanic ash in Taupo, Rotorua, and Gisborne districts. Bull. NZ Geol. Surv. 1964, 73, 88. [Google Scholar]
- Nairn, I.; Geology of the Okataina Volcanic Centre, scale 1:50 000. Lower Hutt, New Zealand. GNS Sci. 2002. Available online: https://searchworks.stanford.edu/view/5558763 (accessed on 6 October 2022).
- Trolle, D.; Hamilton, D.P.; Pilditch, C.A. Evaluating the influence of lake morphology, trophic status and diagenesis on geochemical profiles in lake sediments. J. Appl. Geochem. 2010, 25, 621–632. [Google Scholar] [CrossRef]
- McColl, R. Chemistry and trophic status of seven New Zealand lakes. N. Z. J. Mar. Freshw. Res. 1972, 6, 399–447. [Google Scholar] [CrossRef]
- Neitsch, S.L.; Arnold, J.G.; Kiniry, J.R.; Williams, J.R. Soil and water assessment tool theoretical documentation version 2009. Tex. Water Resour. Inst. Tech. Rep. 2011, 406, 1–618. [Google Scholar]
- Ayele, G.T.; Kuriqi, A.; Jemberrie, M.A.; Saia, S.M.; Seka, A.M.; Teshale, E.Z.; Daba, M.H.; Ahmad Bhat, S.; Demissie, S.S.; Jeong, J. Sediment yield and reservoir sedimentation in highly dynamic watersheds: The case of Koga Reservoir, Ethiopia. Water 2021, 13, 3374. [Google Scholar] [CrossRef]
- Arnold, J.G.; Moriasi, D.N.; Gassman, P.W.; Abbaspour, K.C.; White, M.J.; Srinivasan, R.; Santhi, C.; Harmel, R.; Van Griensven, A.; Van Liew, M.W. SWAT: Model use, calibration, and validation. Trans. ASABE 2012, 55, 1491–1508. [Google Scholar] [CrossRef]
- Abbaspour, K.C.; Johnson, C.A.; van Genuchten, M.T. Estimating Uncertain Flow and Transport Parameters Using a Sequential Uncertainty Fitting Procedure. Vadose Zone J. 2004, 3, 1340–1352. [Google Scholar] [CrossRef]
- Yang, J.; Reichert, P.; Abbaspour, K.C.; Xia, J.; Yang, H. Comparing uncertainty analysis techniques for a SWAT application to the Chaohe Basin in China. J. Hydrol. 2008, 358, 1–23. [Google Scholar] [CrossRef]
- Moriasi, D.N.; Arnold, J.G.; Van Liew, M.W.; Bingner, R.L.; Harmel, R.D.; Veith, T.L. Model evaluation guidelines for systematic quantification of accuracy in watershed simulations. Trans. ASABE 2007, 50, 885–900. [Google Scholar] [CrossRef]
- Mullan, B.; Sood, A.; Stuart, S.; Carey-Smith, T. Climate Change Projections for New Zealand: Atmosphere Projections Based on Simulations from the IPCC Fifth Assessment, 2nd ed.; Ministry for the Environment: Wellington, New Zealand, 2018. Available online: https://environment.govt.nz/assets/Publications/Files/Climate-change-projections-2nd-edition-final.pdf (accessed on 6 October 2022).
- Touma, D.; Ashfaq, M.; Nayak, M.A.; Kao, S.-C.; Diffenbaugh, N.S. A multi-model and multi-index evaluation of drought characteristics in the 21st century. J. Hydrol. 2015, 526, 196–207. [Google Scholar] [CrossRef]
- Sloan, P.G.; Moore, I.D. Modeling subsurface stormflow on steeply sloping forested watersheds. Water Resour. Res. 1984, 20, 1815–1822. [Google Scholar] [CrossRef]
- Sangrey, D.A.; Harrop-Williams, K.O.; Klaiber, J.A. Predicting ground-water response to precipitation. J. Geotech. Eng. 1984, 110, 957–975. [Google Scholar] [CrossRef]
- Arhonditsis, G.B.; Brett, M.T. Evaluation of the current state of mechanistic aquatic biogeochemical modeling. Mar. Ecol. Prog. Ser. 2004, 271, 13–26. [Google Scholar] [CrossRef]
- Osei, M.A.; Amekudzi, L.K.; Wemegah, D.D.; Preko, K.; Gyawu, E.S.; Obiri-Danso, K. The impact of climate and land-use changes on the hydrological processes of Owabi catchment from SWAT analysis. J. Hydrol. Reg. Stud. 2019, 25, 100620. [Google Scholar] [CrossRef]
- Stocker, T.F.; Qin, D.; Plattner, G.-K.; Tignor, M.; Allen, S.K.; Boschung, J.; Nauels, A.; Xia, Y.; Bex, V.; Midgley, P.M. IPCC, 2013: Climate Change 2013: The Physical Science Basis: Contribution of Working Group I to the Fifth Assessment Report of the Intergovernmental Panel on Climate Change; Stocker, T.F., Qin, D., Plattner, G.-K., Tignor, M., Allen, S.K., Boschung, J., Nauels, A., Xia, Y., Bex, V., Midgley, P.M., Eds.; Cambridge University Press: Cambridge, UK; New York, NY, USA, 2013; p. 1535. Available online: http://www.cambridge.org/9781107661820 (accessed on 6 October 2022).
- Robertson, D.M.; Saad, D.A.; Christiansen, D.E.; Lorenz, D.J. Simulated impacts of climate change on phosphorus loading to Lake Michigan. J. Great Lakes Res. 2016, 42, 536–548. [Google Scholar] [CrossRef]
- Woyessa, Y.E.; Welderufael, W.A. Impact of land-use change on catchment water balance: A case study in the central region of South Africa. Geosci. Lett. 2021, 8, 34. [Google Scholar] [CrossRef]
- Farley, K.A.; Jobbágy, E.G.; Jackson, R.B. Effects of afforestation on water yield: A global synthesis with implications for policy. Glob. Chang. Biol. 2005, 11, 1565–1576. [Google Scholar] [CrossRef]
- Schwärzel, K.; Zhang, L.; Montanarella, L.; Wang, Y.; Sun, G. How afforestation affects the water cycle in drylands: A process-based comparative analysis. Glob. Chang. Biol. 2020, 26, 944–959. [Google Scholar] [CrossRef]
- Dons, A. The effect of large-scale afforestation on Tarawera river flows. J. Hydrol. N. Z. 1986, 25, 61–73. [Google Scholar]
- Lane, P.N.J.; Best, A.E.; Hickel, K.; Zhang, L. The response of flow duration curves to afforestation. J. Hydrol. 2005, 310, 253–265. [Google Scholar] [CrossRef]
- Xue, D.; Zhou, J.; Zhao, X.; Liu, C.; Wei, W.; Yang, X.; Li, Q.; Zhao, Y. Impacts of climate change and human activities on runoff change in a typical arid watershed, NW China. Ecol. Indic. 2021, 121, 107013. [Google Scholar] [CrossRef]
- Donnelly, C.; Strömqvist, J.; Arheimer, B. Modelling climate change effects on nutrient discharges from the Baltic Sea catchment: Processes and results. IAHS Publ. 2011, 348, 1–6. [Google Scholar]
- Nguyen, H.H.; Recknagel, F.; Meyer, W. Effects of projected urbanization and climate change on flow and nutrient loads of a Mediterranean catchment in South Australia. Ecohydrol. Hydrobiol. 2019, 19, 279–288. [Google Scholar] [CrossRef]
- Deng, N.; Wang, H.; Hu, S.; Jiao, J. Effects of afforestation restoration on soil potential N2O emission and denitrifying bacteria after farmland abandonment in the Chinese loess plateau. Front. Microbiol. 2019, 10, 262. [Google Scholar] [CrossRef]
- Arheimer, B.; Dahné, J.; Donnelly, C. Climate change impact on riverine nutrient load and land-based remedial measures of the Baltic Sea Action Plan. Ambio 2012, 41, 600–612. [Google Scholar] [CrossRef]
- Figueiredo, N.; Carranca, C.; Coutinho, J.; Trindade, H.; Pereira, J.; Marques, P.; de Varennes, A. A climate change scenario and soil ammonium'fixation'during the seasonal rice (Oryza sativa) growth in Portugal under intermittent flooding. Rev. De Ciências Agrárias 2013, 36, 455–465. [Google Scholar] [CrossRef]
- Juang, T. Ammonium fixation as affected by temperature and drying-wetting effect in Taiwan soils. Proc. Natl. Sci. Counc. Repub. China. Part B Life Sci. 1990, 14, 151–158. [Google Scholar]
- Nieder, R.; Benbi, D.K.; Scherer, H.W. Fixation and defixation of ammonium in soils: A review. Biol. Fertil. Soils 2011, 47, 1–14. [Google Scholar] [CrossRef]
- Hien, H.N.; Hoang, B.H.; Huong, T.T.; Than, T.T.; Ha, P.T.T.; Toan, T.D.; Son, N.M. Study of the climate change impacts on water quality in the upstream portion of the cau river basin, vietnam. Environ. Model. Assess. 2016, 21, 261–277. [Google Scholar] [CrossRef]








| Data | Application | Data Use and Description | Source |
|---|---|---|---|
| Meteorological data | Meteorological forcing | Daily max. and min. temperature, humidity, radiation, wind speed, and precipitation. | Rotorua Airport Automatic Weather Station, National Climate Database (available at: http://cliflo.niwa.co.nz/ (accessed on 15 June 2023)) |
| DEM and digitized stream network | Catchment delineation | 25 m resolution to define slope classes. | Bay of Plenty Regional Council (BoPRC) |
| Land use | To define HRUs | 25 m resolution, 6 basic land-cover classes. | New Zealand Land Cover Database Version 2; BoPRC |
| Soil characteristics | To define HRUs | 25 m resolution, 9 soil types. | New Zealand Land Resource Inventory and Digital Soil Map (http://smap.landcareresearch.co.nz (accessed on 15 June 2023)) |
| Subbasin | Reach Area (km2) | Areas Converted from Pasture to Forest (km2) | ||||
|---|---|---|---|---|---|---|
| LUC0 | LUC1 | LUC2 | LUC3 | LUC4 | ||
| 1 | 1.34 | - | 0.03 | 0.05 | 0.10 | 0.10 |
| 2 | 2.27 | - | 0.16 | 0.47 | 0.60 | 0.70 |
| 3 | 3.84 | - | 0.13 | 0.28 | 0.40 | 0.50 |
| 4 | 0.60 | - | 0.00 | 0.01 | 0.10 | 0.20 |
| 5 | 0.86 | - | 0.16 | 0.33 | 0.40 | 0.50 |
| 7 | 18.42 | - | 0.20 | 0.27 | 1.00 | 2.00 |
| 8 | 1.11 | - | 0.00 | 0.05 | 0.10 | 0.20 |
| 9 | 0.67 | - | 0.00 | 0.11 | 0.40 | 0.60 |
| Total area afforested (km2) | - | 0.67 | 1.56 | 3.10 | 4.80 | |
| Variable | January | February | March | April | May | June | July | August | September | October | November | December |
|---|---|---|---|---|---|---|---|---|---|---|---|---|
| PCP (*) | 1.05 | 1.06 | 1.127 | 1.069 | 1.034 | 1.036 | 1.022 | 1.049 | 0.959 | 0.922 | 0.995 | 0.983 |
| SLR (*) | 1.011 | 1.007 | 1.007 | 1.012 | 1.018 | 1.022 | 1.009 | 1.01 | 1.024 | 1.028 | 1.014 | 1.01 |
| Tmax (+) | 3.1 | 3.2 | 3.1 | 2.8 | 2.8 | 2.5 | 2.8 | 2.6 | 2.7 | 2.6 | 2.5 | 2.5 |
| Tmin (+) | 3.2 | 2.9 | 3.1 | 2.7 | 2.6 | 2.7 | 2.6 | 2.7 | 2.2 | 2.4 | 2.3 | 2.6 |
| HMD (*) | 0.993 | 0.986 | 1.0 | 0.993 | 0.996 | 0.997 | 0.997 | 1.0 | 0.999 | 0.994 | 0.989 | 0.988 |
| Projected annual precipitation | ||||||||||||
| Year | 2090 | 2091 | 2092 | 2093 | 2094 | 2095 | 2096 | 2097 | 2098 | 2099 | ||
| Rainfall | 1137.6 | 1521.5 | 1198.9 | 1465.7 | 2039.9 | 1287.9 | 1210.6 | 1046.3 | 1097.4 | 1296.3 | ||
| Q | TN | TP |
|---|---|---|
| v__LAT_TTIME.hru | v__LAT_ORGN.gw | v__LAT_ORGP.gw |
| v__GWQMN.gw | v__ERORGN.hru | v__GWSOLP.gw |
| a__SLSOIL.hru | v__SHALLST_N.gw | V_ERORGP.hru |
| a__CANMX.hru | v__BC3.swq | |
| r__HRU_SLP.hru | ||
| v__ALPHA_BF.gw | ||
| v__RCHRG_DP.gw | ||
| v__CH_K2.rte |
| Calibration | ||||||||||||||
|---|---|---|---|---|---|---|---|---|---|---|---|---|---|---|
| Streams | Millar | Summit | Farm | |||||||||||
| Variable | Q | NO3 | NH4 | TN | TP | Q | NO3 | NH4 | TP | Q | NO3 | NH4 | TN | TP |
| Unit | ML d−1 | g d−1 | g d−1 | g d−1 | g d−1 | ML d−1 | g d−1 | g d−1 | g d−1 | ML d−1 | g d−1 | g d−1 | g d−1 | g d−1 |
| Mean (obs) | 1.57 | 1390 | 60 | 1860 | 60 | 0.43 | 53.46 | 3.22 | 8.14 | 0.82 | 165.31 | 12.91 | 309.27 | 26.13 |
| Mean (sim) | 1.92 | 1100 | 30 | 1830 | 130 | 0.38 | 83.56 | 2.01 | 5.83 | 0.75 | 169.87 | 1.68 | 211.33 | 12.24 |
| R2 | 0.77 | 0.59 | 0.53 | 0.44 | 0.30 | 0.73 | 0.63 | 0.26 | 0.14 | 0.48 | 0.51 | 0.03 | 0.36 | 0.26 |
| NSE | 0.50 | 0.36 | 0.20 | 0.40 | −21.63 | 0.62 | 0.47 | 0.16 | −0.44 | −0.1 | 0.47 | −0.32 | 0.09 | −0.49 |
| Validation | ||||||||||||||
| Streams | Millar | Summit | Farm | |||||||||||
| Variable | Q | NO3 | NH4 | TN | TP | Q | NO3 | NH4 | TP | Q | NO3 | NH4 | TN | TP |
| Unit | ML d−1 | g d−1 | g d−1 | g d−1 | g d−1 | ML d−1 | g d−1 | g d−1 | g d−1 | ML d−1 | g d−1 | g d−1 | g d−1 | g d−1 |
| Mean (obs) | 1.42 | 1840 | 40 | 2390 | 60 | 0.47 | 101.56 | 3.58 | 7.15 | 0.69 | 141.25 | 18.48 | 224.71 | 23.26 |
| Mean (sim) | 1.73 | 1240 | 30 | 1990 | 30 | 0.51 | 108.52 | 2.39 | 5.99 | 1.02 | 177.25 | 1.63 | 224.96 | 16.07 |
| R2 | 0.73 | 0.30 | 0.20 | 0.42 | 0.51 | 0.67 | 0.51 | 0.03 | 0.03 | 0.46 | 0.34 | 0.01 | 0.58 | 0.47 |
| NSE | 0.58 | 0.02 | −0.34 | 0.34 | 0.14 | 0.58 | 0.5 | −0.2 | −0.21 | −1.17 | 0.21 | −0.14 | 0.57 | −0.21 |
Disclaimer/Publisher’s Note: The statements, opinions and data contained in all publications are solely those of the individual author(s) and contributor(s) and not of MDPI and/or the editor(s). MDPI and/or the editor(s) disclaim responsibility for any injury to people or property resulting from any ideas, methods, instructions or products referred to in the content. |
© 2023 by the authors. Licensee MDPI, Basel, Switzerland. This article is an open access article distributed under the terms and conditions of the Creative Commons Attribution (CC BY) license (https://creativecommons.org/licenses/by/4.0/).
Share and Cite
Ayele, G.T.; Yu, B.; Hamilton, D.P. Land Use and Climate Change Effects on Streamflow and Nutrient Loads in a Temperate Catchment: A Simulation Study. Land 2023, 12, 1326. https://doi.org/10.3390/land12071326
Ayele GT, Yu B, Hamilton DP. Land Use and Climate Change Effects on Streamflow and Nutrient Loads in a Temperate Catchment: A Simulation Study. Land. 2023; 12(7):1326. https://doi.org/10.3390/land12071326
Chicago/Turabian StyleAyele, Gebiaw T., Bofu Yu, and David P. Hamilton. 2023. "Land Use and Climate Change Effects on Streamflow and Nutrient Loads in a Temperate Catchment: A Simulation Study" Land 12, no. 7: 1326. https://doi.org/10.3390/land12071326
APA StyleAyele, G. T., Yu, B., & Hamilton, D. P. (2023). Land Use and Climate Change Effects on Streamflow and Nutrient Loads in a Temperate Catchment: A Simulation Study. Land, 12(7), 1326. https://doi.org/10.3390/land12071326

