Next Article in Journal
Quantifying and Comparing the Cooling Effects of Three Different Morphologies of Urban Parks in Chengdu
Next Article in Special Issue
Are Local Residents Benefiting from the Latest Urbanization Dynamic in China? China’s Characteristic Town Strategy from a Resident Perspective: Evidence from Two Cases in Hangzhou
Previous Article in Journal
Continuous Long Time Series Monitoring of Urban Construction Land in Supporting the SDG 11.3.1—A Case Study of Nanning, Guangxi, China
Previous Article in Special Issue
Post-Renewal Evaluation of an Urbanized Village with Cultural Resources Based on Multi Public Satisfaction: A Case Study of Nantou Ancient City in Shenzhen
 
 
Font Type:
Arial Georgia Verdana
Font Size:
Aa Aa Aa
Line Spacing:
Column Width:
Background:
Article

National Big Data Experimental Area and the Unexpected Booming of the Housing Price in Guiyang of Guizhou Province of China

1
School of Karst Science, Guizhou Normal University, Guiyang 550001, China
2
Real Estate Registration Center of Guizhou Province, Guiyang 550001, China
3
School of Social Sciences, Tsinghua University, Beijing 100084, China
4
National Engineering Research Center for Karst Rocky Desertification Control, Guiyang 550001, China
5
Innovation Center for Risk Governance, School of Social Development and Public Policy, Beijing Normal University, Beijing 100875, China
6
Institute for Urban Governance and Sustainable Development, Tsinghua University, Beijing 100084, China
*
Authors to whom correspondence should be addressed.
These authors contributed equally to this work.
Land 2023, 12(2), 453; https://doi.org/10.3390/land12020453
Submission received: 2 December 2022 / Revised: 2 February 2023 / Accepted: 5 February 2023 / Published: 10 February 2023

Abstract

Enterprise Zone is an important part of the regional economic development strategy. This paper investigates the impact of overall urban development and construction of the National Big Data (Guizhou) Experimental Area on the housing prices and found out that the construction of the National Big Data (Guizhou) Experimental Area is more conducive to the rise in suburban housing transaction prices. The paper empirically proves that the construction of the National Experimental Zone is more conducive to small family housing and leads to the increase in the suburban housing trading area, which further implies that the National Big Data (Guizhou) Experimental Area project may lead to the migration of residents to the suburbs, thus the increasing the housing price. Such regional planning is conducive to the changing spatial distribution of the residents, relocating the residents to find jobs and live in the suburbs, and increasing the value of suburban areas. This paper provides evidence to quantify the externalities and the premium of the housing prices in the surrounding area and provides empirical evidence on the spatial externalities in the literature.

1. Introduction

Enterprise Zone is an important part of the regional economic development strategy. In Western developed countries, the British government was the first to develop special economic zones, the purpose of which is to promote economic development [1]. Unlike the United Kingdom, the main goal of the U.S. government in setting up special economic zones is to revitalize the old urban areas and balance regional economic development [2]. Therefore, these special economic zones usually choose poor areas. The urban areas of new cities in China are similar to those of marginal cities. Marginal cities are considered to be the result of the reconstruction of urban spatial structure and functional transformation and an important form of the transformation from a single-center city to a multi-center city [3]. The migration of enterprises and labor force is the main driving force for the formation of marginal cities, that is, market forces play a leading role. In the subsequent development process, local governments also played an important role, especially in the construction of public infrastructure and public policies [4,5].
The research on the policy effect of the Enterprise Zone mainly focuses on its impact on economic growth [6,7], enterprise growth [8], spillover effect [9], and other aspects. These studies found that the Enterprise Zone will have an industrial agglomeration effect and achieve growth by improving the overall human capital, investment share, and synergy with other nearby enterprises. However, this policy effect does not work in many developed countries [10]. On the relationship between enterprise zone construction and housing prices, there are two main perspectives. One is to care about the impact of urban transportation facilities. The opening of the tunnel has changed the accessibility of people and companies in the connected areas [11]. Thanks to the new transportation infrastructure, people can better work and live in the area where their skills can be applied and needs can be meet [12]. For companies, accessibility can reduce transport costs and promote the matching, sharing, and learning of agglomeration economies in the following ways [13]. These factors together often lead to the gathering of economic centers [14]. The impact of the construction of transportation facilities on the city includes the redevelopment of urban space [15], the decentralization of residential areas [16], the optimization of industrial layout [17], the centralization of commerce [18,19], and the re-planning of the location pattern of various public service facilities [16]. As transportation facilities change the urban spatial structure, they will have a direct impact on the housing market, closely connected with the urban spatial structure. Almosaind et al. found that Portland’s rail transit brought a 10.6% premium to housing within 500 m [20]. McDonald and Osuji examined the land price before and after the release of the Chicago light rail plan, and found that the increase within 1.5 miles from the station was up to 17% [21]. Benjamin and Sirmans conducted a study on Washington, D.C., and showed that the rent of apartments would decrease by 2.5% for every 0.1 mile from the subway station [22]. Another study shows that the overall urban reconstruction planning will also have a significant influence on urban housing prices. There are some subtle differences in this area. Some studies have shown that urban renewal can change decaying communities and alleviate the negative externalities of dilapidated buildings in densely populated areas. In urban areas dominated by high-rise buildings, urban renewal will have unexpected negative effects on nearby properties. Although there may be potential benefits, such benefits will be less than the benefits brought by the reconstruction plan. The data from Hong Kong show that the positive impact of urban renewal is related to the scale and quantity of projects. Moreover, urban renewal projects may reduce the value of buildings near the project. Those older buildings and buildings located near the project will suffer more negative impacts [23]. There are also studies focusing on the relationship between the Enterprise Zone, population mobility, and housing, resulting in the rise in urban housing prices. From the perspective of the theory of residential location selection, families will choose locations by balancing the cost of commuting and housing. Because of the agglomeration economy of “sharing, matching, and learning” in cities [24], enterprises and labor are constantly attracted to cities. Workers work in cities and need rest and recreation in order to restore labor. However, the urban space is limited and the continuous gathering of labor forces leads to the rise in housing prices, pushing up living costs. At the same time, people are forced to settle further away from the city center, which has higher commuting costs. When the living and commuting costs are large enough, workers will move elsewhere because the net utility of living in cities is too low. Therefore, a high house price is a centrifugal force to offset the concentrated centripetal force. When the centripetal forces cancel each other at the margin, the city reaches an equilibrium scale. Beckmann [25] and Henderson [26] have constructed a similar commuting time model. They use commuting time as the measurement element of commuting cost, and set the commuting time and the remaining leisure time as a negative correlation constraint relationship (positive correlation with labor time input). When reaching a balanced state, the increase in commuting distance will reduce the housing cost, and the urban renewal will lead to the change in the original residential balance, which will bring about a new population migration mode, and then change the housing price.
This study will focus on the second perspective, focusing on the effect of overall urban development and construction on housing prices. The current research has carried out some discussions on this, but most of them focus on the value-added effect of investment projects, and there is a lack of analysis on the heterogeneity of this value-added effect, including regional heterogeneity and area heterogeneity. In fact, the investment project is located in different areas of the city and the housing prices in different areas are different. These differences may affect residents’ housing demand and investment direction [27]. This paper takes the large sample of housing transaction data of Guiyang City from 1998 to 2021 as the research sample and adopts the DID method to test the impact of the development of the urban suburb (the construction of the National Big Data Experiment Area) on the housing transaction price of the whole city during the sample period, and analyzes the relationship between this impact and the location and housing area of the housing. The measurement results show that, after the implementation of the National Big Data (Guizhou) Experimental Area in 2016, the overall housing transaction price in Guiyang has been significantly improved, and this positive effect has a nonlinear relationship with the distance from the city center. Specifically, the positive impact of the construction of the Big Data Experimental Area on house price initially weakened with the distance from the city center, but then gradually increased with the distance from the city. At the same time, the construction of the National Experimental Zone is more conductive to small family housing and leads to the increase in the suburban housing trading area. The contributions of this paper are mainly as follows. First, it found that the construction of the National Big Data (Guizhou) Experimental Area is more conducive to the rise in suburban housing transaction prices. Second, it proves that the construction of the project is more conducive to small family housing. Third, it was found that the construction project led to the increase in the suburban housing trading area, which further verified that the National Big Data (Guizhou) Experimental Area project led to the migration of residents to the suburbs, thus increasing the housing price. The other parts of the paper are arranged as follows: the Section 2 presents the literature review and theoretical assumptions; the Section 3 introduces the research design and data; the Section 4 examines the impact of the National Big Data (Guizhou) Experimental Area project on housing prices and the heterogeneity of this impact; and, finally, the conclusion and policy implications of the full text are presented in the Section 5.

2. Literature Review

Urban development is not only a passive result of urbanization, but also a means of income generation actively pursued by local governments to provide funds for local economic growth [28]. In the existing research, urban revitalization, transport infrastructure, public facilities, and homeownership are some of the main factors affecting the real estate value in related neighborhoods [13,29,30,31]. An analysis of these neighborhood spillover effects can contribute to a clearer understanding of relevant policy efforts.
At the same time, the increment in real estate value differs between different types of properties, such as commercial and residential properties, owing to their attributes. Hornbeck and Keniston analyzed the reconstruction effect of the 1872 Boston fire on urban growth, and the results show that construction investment can produce positive externalities and significantly increase urban growth, as discussed in the literature [28]. Hoogendorn, Gemeren, Verstraten, and Folmer used the quasi-experimental method to study the impact of accessibility on house prices, in order to investigate the significant changes in accessibility of connected areas caused by the opening of tunnels. The study found that the impact of accessibility on house prices varies greatly in different regions [11].
Urban renewal projects, especially regional development projects, will change the distribution pattern of urban resources—whether from the perspective of traditional economic theory of resource endowment difference [32] and externality theory [33,34]. This agglomeration will bring significant economic benefits. The agglomeration economy can not only attract a large amount of foreign direct investment, but also bring wage growth for workers that exceeds the growth of local living costs [6]. The agglomeration economy can improve the production efficiency of enterprises through knowledge and technology spillovers [24,35]. The agglomeration economy in the development zone has a positive role in promoting the productivity of enterprises in the zone, which will improve the productivity level of all enterprises and cause the distribution of enterprises’ productivity to move to the right. Although all enterprises can benefit from the agglomeration effect, the degree of benefit of enterprises with different levels of efficiency is not the same [36,37] Gerlach et al. found that agglomeration enables enterprises to share production factors, such as specialized labor and specialized services [38]. The sharing of these elements can accelerate the flow of knowledge and promote technological innovation. From the demand side, the urban renewal project means the increase in employment opportunities and the renewal of transportation infrastructure, which will increase the local housing demand. Owing to the influence of land price and other factors, urban renewal projects are often located in the suburbs of cities. This spatial layout will lead to the migration of the urban population from the urban area to the suburbs. Previous studies have shown that large-scale urban development projects can increase the values of properties [39]. As mentioned earlier, Chau and Wong found that urban development projects can change the decay of the community and alleviate the negative externalities of buildings in densely populated areas [23]. In urban areas dominated by high-rise development, urban development projects may have a negative impact on nearby properties because they will reduce their value after reconstruction. Urban reconstruction projects are often led by the government [40], which will have an important impact on the formation of communities [41], and further affect the sense of identity and belonging of the mobile population [42]. When buyers choose houses, they are often affected by the community environment, so urban renewal projects affect the housing price by changing the community environment. Other studies have not found any positive impact of urban development projects on prices. Tse believes that only the price of the reconstructed property may rise, not the price of the nearby property [43]. This may be due to the planning deviation in the process of developing rural areas into urban communities, the unreasonable allocation of land interests, and the deprivation of development interests in some areas [44,45]. Some scholars also discovered that the differences in geographical location can affect the price of regional real estate properties. The general research conclusion is that the distance from the subway, light rail transit, transportation hub, large shopping center, hospital, park and green space, and other infrastructure will affect the transaction price of housing. Wen et al. measured the data of 660 communities in Hangzhou, China, and found that basic education resources have been capitalized in the surrounding housing prices and primary and secondary schools. Schools have a significant school district effect [46]. Efthymiou and Antoniou found that, owing to the noise generated, urban electric railways (ISAP), national railway stations, airports, and shipping ports have a negative impact on house prices [47]. However, other empirical studies believe that the opening or planning of subways or rail transit will bring housing appreciation along the line. For example, research works in Chile [48], South Korea [49], and Shanghai [50] have all reached the conclusion that rail transit will have a positive impact on the surrounding housing prices. At the same time, urban green space, water bodies, forests, parks, and other environmental facilities will be factored into housing prices through the housing market [51,52,53,54]. A study on hospitals shows that, compared with other environmental and location factors, third-class hospitals have a smaller impact on the surrounding residential prices, while the building area, property management fees, school district houses, rail transit, building height, and the distance to CBD have a greater impact. Under the same circumstances, the closer the residence is to the hospital, the lower the price [55].
The above research is of great help to understand the impact of urban renewal projects on housing prices. The implementation of urban renewal projects will inevitably change the layout of urban infrastructure. From this point of view, the impact of urban renewal projects on urban housing prices has regional heterogeneity; that is, the spatial distribution of urban housing prices is not a simple linear relationship and will vary with the change of location. Research on major cities in China has confirmed that the impact of public infrastructure construction, especially traffic construction, on house prices is nonlinear [25,26]. The current research still lacks investigation into the implementation of urban renewal projects. Compared with infrastructure construction, urban renewal projects, especially policy-oriented regional overall development, are larger in scale and longer in duration. At the same time, this study also noted that the existing research focused on the impact of location on housing prices, but ignored the impact of urban renewal projects on the housing area choice of home buyers. This study puts forward a new theoretical and empirical analysis framework for the above two issues to fill the gap in relevant research, with a view to promoting the further development of urban economics literature. In terms of specific research programs, this paper will use the DID method to examine the impact of the approved construction of the project on the surrounding housing market in the sample period in combination with the construction project of the National Big Data (Guizhou) Experimental Area unique to Guizhou Province, as well as analyze the regional difference and housing area difference of this impact.

3. Research Methodology

3.1. Research Background

Guizhou Province is located in the southwest hinterland of China. Because of the single industrial structure and backward operation mode caused by factors such as geographical barriers, inconvenient transportation, and strong dependence on natural resources, the economic development level of Guizhou Province is relatively low in China.
The real estate industry plays a core role in the economic structure of Guizhou Province. Not only is the real estate industry large, accounts for a high proportion of GDP, and makes a big contribution to fiscal revenue, but it has also taken on a sudden increase in growth in recent years. According to statistics, in 2021, real estate development in Guizhou Province accounted for 27.8% of the province’s total investment, which increased by 13.1% compared with 2019. In the same year, the national real estate development investment accounted for 27.1% of the total investment, while that of Guizhou Province is higher than the national level by 0.7 percentage points. Compared with other provinces in the western region, the proportion of real estate investment in GDP in Guizhou Province is also higher, reaching 17.27% in 2021, which is 4.36 percentage points higher than the national level (12.91%). From the perspective of fiscal revenue, the real estate industry in Guizhou Province contributes significantly to the fiscal revenue of local governments, reflecting the characteristics of high dependence on Land Finance.
With the introduction of “Three Red Lines” and other related policies in the real estate industry in China and macroeconomic cycle adjustment, China’s real estate industry has taken a big hit. According to the National Bureau of Statistics, the asset–liability ratio of real estate development enterprises in China reached 80.7% in 2020, especially in the western region. Except the Tibet Autonomous Region and the city of Chongqing, the debt ratios of other western provinces are higher than 80%, of which that of Guizhou Province (83.4%) is higher than the national level (80.7%). The real estate development enterprise debt amount rose sharply in Guizhou Province. During the period from 2000 to 2020, the debt amount of Guizhou Province reached over 1688.7 billion RMB (As shown in Figure 1), with the debt ratio climbing gradually and reached a peak of 83.8% in 2015. Since then, the debt ratio decreased at first and increased afterwards, rising to the second highest level in 2020 in nearly two decades, with (As shown in Figure 2).
On the other hand, in recent years, Guizhou Province has taken the lead in completing the integration of relevant real estate agencies nationwide, by establishing the “Four Unifications” of registration agencies, registration books, registration basis, and information platforms, as well as building a provincial-level centralized GIS cloud platform for unified registration of real estate. While becoming China’s first provincial Unified Real Estate Registration Cloud Platform, it has unified the registration of business processes and receipt list, and achieved cross-regional, cross-sectoral, and cross-network real estate registration data aggregation on the cloud. The platform has accelerated the efficiency of real estate registration by multiple times, fulfilling the goal of “One Window, Online Office, Remote Service” for real estate registration. This operation has comprehensively optimized the processing process, reduced the processing time limit, and formed the “Guizhou Experience” of real estate registration. Guizhou Province has established the real estate data system by not only converging real estate registration data, but also connecting other government operational data and social and economic spatial Big Data. With the improvement in real estate registration in recent years and the full coverage of real estate certificates, real estate registration data have gradually improved and are effectively connected with multi-dimensional and multi-level data in the region.
The construction of these information platforms cannot be separated from the construction of the National Big Data (Guizhou) Experimental Area. In February 2016, the National Development and Reform Commission, the Ministry of Industry and Information Technology, and the Central Cyberspace Office approved the establishment of the National Big Data (Guizhou) Experimental Area in Guiyang. As the capital of Guizhou Province, Guiyang is not only the industrial base in the western region, but also the core transportation hub and business and tourism center of Guizhou Province. Guiyang also has some special advantages in developing Big Data: first, it has favorable climatic and geological conditions (with an annual average temperature of 15 degrees Celsius), stable geological structure, and rarely experiences natural disasters such as earthquakes, and can thus provide a safe storage space for the Big Data industry. Second, Guiyang can take advantage of Guizhou’s rich energy resources. Guizhou is located in the Yunnan Guizhou Plateau; the large terrain drop provides great convenience for water conservancy and power generation. Various hydropower stations and wind power for “power transmission from west to east” in the region can provide stable and reliable energy support for the operation of data centers and related facilities. Third, the city already has a solid foundation of the Big Data industry. In recent years, the construction of data centers of China Mobile, China Unicom, China Telecom, and other three major operators has begun in Gui’an New Area (four counties under the jurisdiction of Guiyang and Anshun). Huawei, Alibaba, Lenovo, Tencent, and many other world top 500 enterprises in China have settled in Guiyang, laying a solid foundation for the development of Big Data in Guiyang [56]. Fourth, the local government pays great attention to the use of Big Data and introduced a series of polices to support the information technology industry, which include the Opinions on Supporting the Development of Zhongguancun Guiyang Science Park, the Guiding Catalogue of Guiyang Industrial Development, and the Industrial Layout Plan of Guiyang, providing support for the development of Big Data industries in Guiyang.
Previous research works show that Guiyang’s Big Data industry has significantly contributed to the regional economic development, especially to the development of the real estate industry. For example, Shang takes provincial capital cities in China from 2005 to 2019 as a research sample and takes Guiyang’s implementation of the Big Data Development Policy in 2013 as a quasi-natural experiment, using a synthetic control method to examine the effects of the policy [57]. The result shows that the per capita GDP of Guiyang has improved significantly since 2013, indicating that the development of the Big Data industry has contributed to the local economy and the overall development of the region. Research by Lu Fenghua and others shows that Guiyang’s Big Data industry has enhanced the agglomeration of local resources and leading enterprises, forming a leading industrial ecological advantage [58]. Some scholars also proposed that the development of the Big Data industry has had a positive impact on Guiyang’s local real estate economy. In 2014, the real estate industry accounted for only 3.3% of Guiyang’s GDP, which increased to 6.7%, 7.5%, and 7.8% from 2019 to 2021, respectively, and reached the highest level in history. However, there has been no research focusing on the impact of the National Big Data (Guizhou) Experimental Area on the real estate market in Guiyang. In this regard, this study intends to fill this gap through empirical research.

3.2. Data Sources and Research Design

3.2.1. Data Sources

The housing data used in this paper are all from the housing transaction data provided by the real estate research authorities in Guizhou province of China, including 412,408 transaction records in Guiyang from January 1998 to September 2021. The transaction volume and total transaction volume by year are shown in Table 1. The main information of the sample data obtained in this paper includes the transaction date of each transaction, the number of housing transactions, the floor, area, housing structure, and residential address. In addition, according to the residential unit number and parcel unit number, this paper also matches the distance between all transaction residential buildings and the city center. After eliminating the missing values of the above variables, the sample size in this paper is 412,222.

3.2.2. Theoretical Model

The construction of the National Big Data (Guizhou) Experimental Area will bring more jobs to the city and raise the wage level of the labor force. The increase in the number of consumers and income will significantly affect the housing market. The spatial equilibrium theory model of Roback shows that the labor force will consider the wage level (economic development level) and the quality of life to maximize utility when choosing the location between cities [59]. Based on this model, Albouy et al. and Albouy analyzed how urban livability affects enterprise productivity and housing prices under general equilibrium conditions [60,61]. The housing price is the cost that the labor force needs to consider. The quality of life in cities is related to the natural environment and public health services. If the wage level or quality of life increase, it will attract more labor inflow, thus pushing up the house price. The labor migration will not stop until the negative effects of the housing price rise and the positive effects of the wage and quality of life increase offset each other. Therefore, in an equilibrium state, the wage level, quality of life, and housing price among cities reach an equilibrium state, and the housing price is determined by the wage level and quality of life of the labor force:
P = P W , Q
The existing empirical research has shown that, the higher the level of economic development and public services, the higher the house price in cities, which indicates that  d P d W > 0  and  d P d Q > 0 . If the city builds an Experimental Area, the wage level of the labor force will rise. Substituting the wage function w(C) of the labor force into Formula (1) will lead to the following:
P = P ( w C , Q )
Formula (2) directly reflects the relationship between the construction of the Experimental Area (C = 1) and urban housing prices. By taking the derivative of C, we can find  d P d N  =  d P d W × d P d Q , and because  d P d W > 0  and  d P d W > 0 d P d N > 0 ; that is, the construction of the Experimental Area can increase the willingness of the labor force to pay for urban housing by raising the wages of the labor force, leading to the rise in housing prices.
The spatial distribution of housing prices in cities is related to the distance from the city center. Early studies by scholars mostly showed that the impact was linear, but recent studies showed that the impact was nonlinear.
In this section, we expand De Vany’s net effects model for airports into a 2 × 2 schematic diagram [62]. The influence of the urban housing market by regional location mainly comes from the combination of positive externalities and negative externalities brought by distance. When farther away from the city center, the corresponding degree of traffic development will be reduced, that is, the accessibility of the area will be weakened. Affected by the positive externality effect, the price of residential buildings in the city center will be higher than that in the suburbs. At the same time, the negative externalities such as noise pollution, congestion, sanitation, and public security problems in the downtown area are higher than those in the urban suburbs, and this negative externality has a more significant negative impact on the housing price in the downtown area [63]. Generally speaking, the negative externality of distance is less than the positive externality.
Figure 3 shows the traditional monocentric urban model on the left. The curve above the horizontal axis represents the positive externality of the distance, and the lower one represents the negative externality of the distance. The closer to the city center, the greater the positive externality and negative externality. Under the combined effect of the two, the value-added effect of the area closest to the city center is not the largest. With the increase in distance, both positive externalities and negative externalities are weakened, causing the influence of distance on housing prices to present an inverted “U” type nonlinear relationship. This theoretical model is tested in the follow-up empirical research.
However, as shown in the above Formula (2), the construction of the Experimental Area will lead to the improvement of the transportation facilities in the region. The city will move from the monocentric urban model to the multi-center development model, and the wage level, quality of life, and housing price of the region will be increased. On the other hand, owing to the migration of the population from urban areas to the suburbs, external effects such as noise pollution, congestion, health conditions, and public security problems in the downtown area have been alleviated, and the negative externality curve has become smoother. As shown on the right of Figure 3, the value-added effect of the suburbs has been improved after the construction of the Experimental Area, subject to the changes in positive and negative externalities. On the whole, the influence of distance on housing price presents a “U” type nonlinear relationship.

3.2.3. Empirical Analysis

Previous studies have found that the urban housing price gradient will show significant differences in different spatial regions. This spatial heterogeneity is mainly affected by the transportation infrastructure and urban spatial structure [64]. Further studies have found that the impact of infrastructure construction on urban housing prices is represented by a nonlinear relationship [65,66]. In order to more reasonably identify the impact of the construction of the National Big Data (Guizhou) Experimental Area on the housing transaction price in Guiyang, combined with the attributes and characteristics of the data used, this paper adopts the double difference method. The formula is set as follows:
ln p r i c e i , t = α 0 + α 1 P l a n i , t × D i s t r i c t i , t + α 2 D i s t a n c e i , t + α 3 D i s t a n c e S q i , t + α 4 A r e a i , t + α X i , t + γ t + ε i , t
In Formula (3), subscript i represents a transaction and t represents the time of transaction.  P l a n i , t  is a dummy variable for policy implementation. Before policy implementation, the value of  P l a n i , t  is 0. After the policy is implemented,  P l a n i , t  is taken as 1.  D i s t r i c t i , t  indicates the location of the National Big Data (Guizhou) Experimental Area construction plan, namely, Guanshanhu District, Guiyang City. If transaction i is located in Guanshanhu District, Guiyang City, it indicates that the transaction will be affected by the start of the construction plan, and transaction i belongs to the processing group, so  D i s t r i c t i , t  is taken as 1. If transaction i occurs in other municipal districts, it indicates that transaction i will not be affected by the construction of the Big Data Experimental Area, then transaction i belongs to the control group, so the value of  D i s t r i c t i , t  is 0.  D i s t a n c e t i , t  indicates the distance between the residence at which the transaction takes place and the city center.  D i s t a n c e S q i , t  is the square term of  D i s t a n c e t i , t A r e a i , t  refers to the area of the transaction residence. X represents other basic information about the residence, including floors, house structure (reinforced concrete structure = 1, post and panel structure = 2, mixed structure = 3, and other structure = 4) transaction times, and so on.  γ t  is the year fixed effect of the transaction. Specific variable information is shown in Table 2.
According to the official reply sent by the National Development and Reform Commission, the Ministry of Industry and Information Technology, and the Central Cyberspace Office, this paper will agree that the construction of the National Big Data (Guizhou) Experimental Area in Guizhou Province will be the time node, and that 25 February 2016 will be the time boundary for the construction of the Experimental Area to affect the residential transaction price. The reasons are as follows: first, the approval of the formal planning means the final determination of the location of the experimental area, and marks that the subsequent evaluation, construction, and other procedures have officially entered the agenda; second, housing is a kind of commodity with a very long service life, and many first-hand residences are pre-sale, so as long as the location of the planned construction experimental area is selected and the completion date is predictable, whether or not the actual construction has been started will not significantly affect the effectiveness of the housing to its residents; and third, the purchase of real estate is a major purchase or investment behavior. It can be considered that consumers have retained sufficient market information and rational expectations when making purchase decisions. Therefore, it can be considered that, since the construction approval date of the National Big Data (Guizhou) Experimental Area, the role of this Experimental Area has fully entered into the purchase decisions of house buyers and the business plans of developers.
In Formula (3), this paper focuses on the coefficient  α 1 . By screening samples with different distances from the city center,  α 1  will also reflect the overall premium of the construction of the Experimental Area on the surrounding housing market. Then, on the basis of Formula (3), distance is added as an interactive term to form Formula (4), which is used to study the heterogeneity of house price changes brought about by the construction plan of the Experimental Area in different locations of the city, especially at different distances from the city center. This paper focuses on  α 4  and  α 5 . They will reflect the gradient effect brought by the construction of the Experimental Area, that is, the distribution of housing with different prices will change as a result of the urban construction planning.
ln p r i c e i , t = α 0 + α 1 P l a n i , t × D i s t r i c t i , t + α 2 D i s t a n c e i , t + α 3 D i s t a n c e S q i , t   + α 4 P l a n i , t × D i s t r i c t i , t × D i s t a n c e S q i , t + α 5 P l a n i , t × D i s t r i c t i , t × D i s t a n c e i , t + α 6 A r e a i , t   + α X i , t + γ t + ε i , t
Similarly, Formula (5) is used to estimate the relationship between the impact of comprehensive center construction planning on residential transaction price and residential area, and the coefficient  α 3  in Formula (3) indicates the heterogeneous impact of the construction planning of the Experimental Area on the residential transaction price, that is, the transaction price of residential buildings of different areas will change with the urban construction planning.
ln p r i c e i , t = α 0 + α 1 P l a n i , t × D i s t r i c t i , t + α 2 A r e a i , t + α 3 P l a n i , t × D i s t r i c t i , t × A r e a i , t + α 4 D i s t a n c e i , t + α 5 D i s t a n c e S q i , t + α X i , t + γ t + ε i , t
Finally, this paper uses Formula (6) to estimate the impact of comprehensive center construction planning on residential area demand, and the coefficient in Formula (6)  α 1  indicates the overall effect of the planning on the demand of residents for housing area.
A r e a i , t = α 0 + α 1 P l a n i , t × D i s t r i c t i , t + α 2 D i s t a n c e i , t + α X i , t + γ t + ε i , t
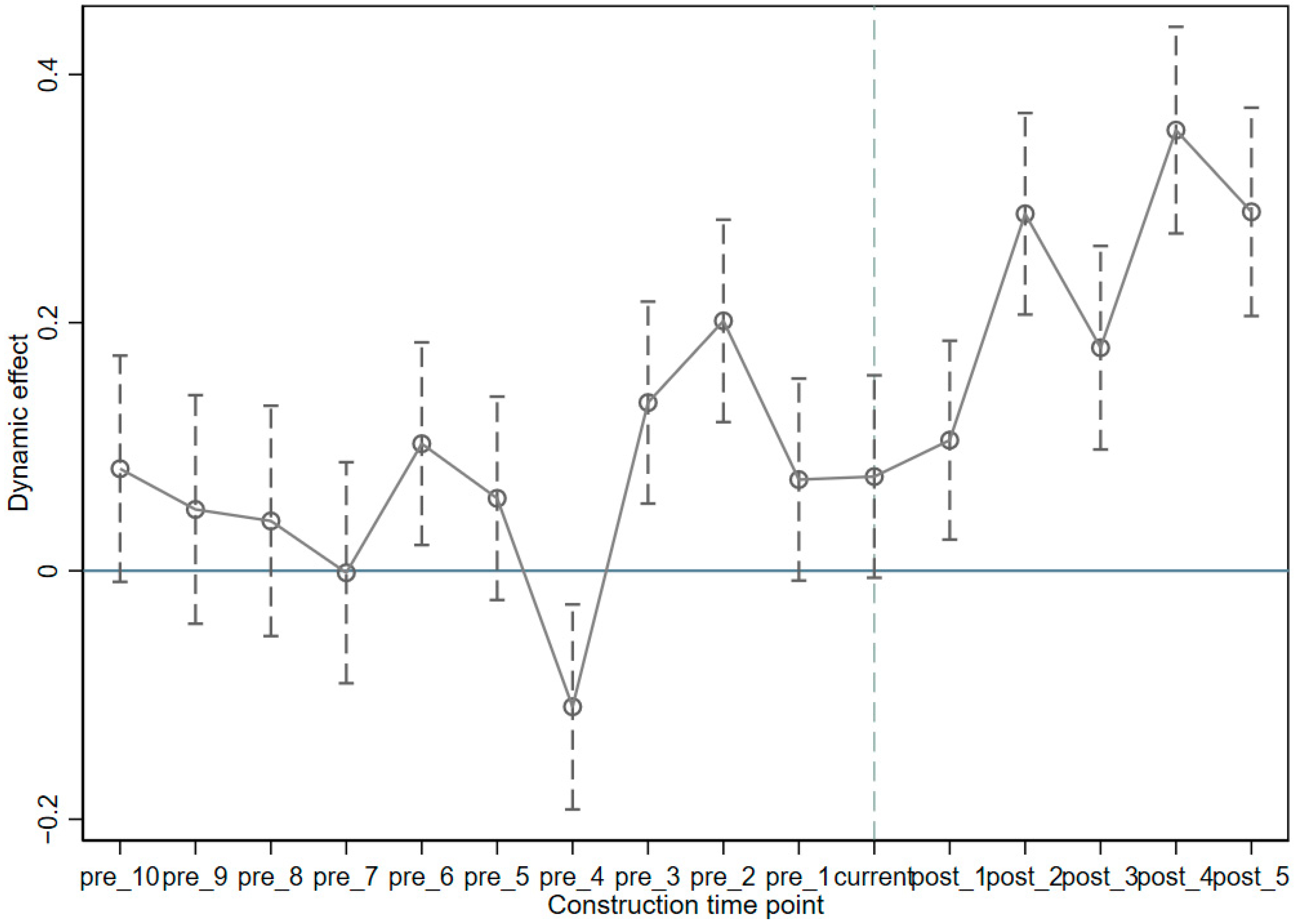
Figure 4 shows the parallel trend test of DID. According to Figure 4, in the 10 years before the construction of the National Big Data (Guizhou) Experimental Area, the coefficients of most interaction items were not significantly different from 0 (the 95% confidence interval included the 0 value), which shows that there was no significant difference between the pre-construction treat group and the control group of the National Big Data (Guizhou) Experimental Area; that is, the assumption of a parallel trend was met. Table 3 uses the fixed effect model to show the specific results of the parallel trend test, which is consistent with the results of Figure 4.
In Figure 4, post_ 1, post_ 2, post_ 3, post_ 4, and post_ 5 represent the five years after 2016, in which the coefficients of interaction items were significantly different from 0 (the 95% confidence interval did not include the 0 value). As shown in Table 3, after the construction of the National Big Data (Guizhou) Experimental Area, the coefficients of the interaction items (post_1, post_2, post_3, post_4, and post_5) were significant. The coefficient in the first year after the construction of the National Big Data (Guizhou) Experimental Area was significantly positive and continued to increase in the next few years, which shows that there was a significant positive effect in the first year after the construction of the pilot area, and the effect continued to increase over the next five years.

4. Research Results

4.1. Heterogeneous Impact of the Construction of the National Big Data (Guizhou) Experimental Area on Residential Transaction Price

This paper first explores the impact of the construction of the National Big Data Experimental Area on the residential transaction price, which is estimated in Table 4 using the DID method. The first column of regression results shows that the construction of the National Big Data Experimental Area has significantly expanded the trading price advantage of the experimental area ( α  = 0.224, p < 0.001). More importantly, in Model 1 of Table 4, the coefficient of DistanceSq is −0.003 (p < 0.001) and the coefficient of Distance is 0.040 (p < 0.001), which shows that the housing price has an inversely “U” shaped nonlinear relationship with distance, which verifies De Vany’s net effects model.
The results of the above formula are visualized in Figure 5. The red dotted line in Figure 5 is the transaction price change curve of the control group (other municipal districts) and the blue solid line is the transaction price change curve of the treatment group (Guanshanhu, Guizhou, China). It can be seen from Figure 5 that, before 2016, there was no significant difference between the residential transaction prices of the treatment group and the control group, but after 2016, the housing transaction price of the treatment group was significantly higher than that of the control group, and the difference was gradually expanding.

4.2. The Regional Heterogeneity of the Impact of the Construction of the National Big Data (Guizhou) Experimental Area on Residential Transaction Prices

Table 4 discusses not only the impact of the Experimental Area on residential transaction price, but also the difference between the impact of residential transaction price and the distance between the residence and the city center. Model 2 in Table 4 adds the distance from the city center and the interactive items of the construction plan of the test area on the basis of model 1. The coefficient of DistanceSq is −0.004 (p < 0.001) and the coefficient of Distance is 0.064 (p < 0.001). This shows that the relationship between the housing transaction price and distance presents an inverted U-shape if the Big Data Experimental Area is not built. However, the interactive item of Plan × District and DistanceSq is 0.012 (p < 0.001), and it passes the significance test at the 0.001 level. This shows that the net effect of the positive impact of the construction of the Big Data Experimental Area on the residential transaction price is non-linearly adjusted by the distance. Specifically, the net effect of the positive impact of the construction of the Big Data Experimental Area on the housing transaction price presents a U-shaped relationship. The positive impact of the construction of the Big Data Experimental Area on house prices initially weakened with the distance from the city center, but then gradually increased with the distance from the city.
This paper further discusses the difference of this impact in different urban locations, which are 1–3 km, 3–6 km, 6–10 km, and more than 10 km, respectively. Model 1 in Table 5 introduces the influencing factors of residential transaction price changes within 3 km from the city center. The regression results show that the construction of the National Big Data (Guizhou) Experimental Area will reduce the transaction price between the processing group and the control group (α = −1.462, p < 0.001). Model 2 introduces the influencing factors of residential transaction price changes 3~6 km away from the city center. The results show that the construction of the Experimental Area will also reduce the residential transaction price 3~6 km away from the city center (α = −0.567, p < 0.001). However, Model 3 shows that the increase in the transaction price of residential buildings 6~10 km from the city center has grown (α = 0.095, p < 0.001). The coefficient of Model 4 is not significant, indicating that the planning of the Experimental Area has no significant impact on the residential buildings 10 km away from the city center. This result shows that the planning and construction of the Experimental Area will increase the transaction price of residential buildings on the overall level, but will have an impact on the transaction price of residential buildings in the periphery of the city center. This result is completely consistent with the conclusion of Model 2 in Table 4. The impact of the construction of the Big Data Experimental Area on the housing transaction price is not linear. As the construction of the Experimental Area attracts the housing demand originally concentrated in the city to the periphery of the suburbs, the housing price will be lowered. At the same time, the demand for housing in the suburbs has greatly increased, which has promoted the rise in housing prices in the suburbs. Of course, as this paper has used the double difference method to remove the common trend of house price fluctuations, the decline in house prices in the periphery of the city is not a real decline compared with the previous housing prices in the same area, but a decline compared with the counterfactual situation of the experimental area without approval, that is, a decline in the net effect.

4.3. The Area Heterogeneity of the Impact of the Construction of the National Big Data (Guizhou) Experimental Area on the Residential Transaction Price

Based on Model 1, Model 3 in Table 4 adds the interactive items of area and construction plan. The coefficient of the interactive item is −0.004 and it passes the significance test at the 0.001 level. This shows that, with the increase in the area, the increase in the residential transaction price caused by the experimental area will be weakened in general, that is, the impact of the planning of the Experimental Area on the transaction delivery of small family houses is higher than the impact on large family houses, and the positive impact of the planning of the Experimental Area on the residential transaction price will be reduced by 0.004 for every 1 square meter of residential area increase.
Table 6 discusses the impact of the construction planning of the Experimental Area on the transaction price by area. From Model 1 to Model 4, it can be seen that the construction planning of the comprehensive central area has increased the price of residential buildings with an area of less than 50 square meters by 13.5%, the transaction price of residential buildings with an area of 50~90 square meters by 4.1%, the transaction price of residential buildings with an area of 90~120 square meters by 4.4%, and the transaction price of residential buildings with an area of more than 120 square meters by 17.3%. This result shows that the construction of the Experimental Area is beneficial as it leads to an increase in the transaction price of small family houses in general, but is also good for super large houses.

4.4. Impact of the Construction of the National Big Data (Guizhou) Experimental Area on the Demand for Residential Transaction Area

In addition to discussing the impact of the Experimental Area on residential transaction prices, this paper also discusses the impact of the construction of the Experimental Area on residential area demand and its regional heterogeneity. Model 1 in Table 7 is an analysis of the whole sample. The results show that the construction planning of the Experimental Area will increase the residential area demand and, on average, the residential area will increase by 11.341 square meters. According to the analysis of the results in Table 4 above, we found that the construction of the Experimental Area will lead to a premium for suburban housing, which indicates that, after the approval of the Experimental Area, residents prefer to buy suburban housing. If the household type that people like has not changed, the housing area in the periphery of the city will increase. Models 2 to 5 verify this conclusion. The demand for residential area within 1~3 km from the city center will increase by 17.384 square meters, while the demand for residential area within 3~6 km from the city center will not increase significantly. The demand for residential area within 6~10 km from the city center will increase by 7.792 square meters and the demand for residential area beyond 10 km from the city center will increase by 63.441 square meters. The comparison between this conclusion and the residential transaction price in Table 5 reflects that, although the construction of the Experimental Area will reduce the house price in the periphery of the city center, it does not create a demand for the residential area in the city center. At the same time, the construction of the Experimental Area has greatly promoted the residents’ demand for residential area in the suburbs, especially for houses in the outermost areas of cities whose prices are not affected by the construction of the Experimental Area.

5. Conclusions

This paper studies the impact of the National Big Data (Guizhou) Experimental Area on housing prices in Guiyang using the housing transaction data provided by Guiyang Real Estate Trading Center. The following conclusions are drawn.
The construction of the National Big Data (Guizhou) Experimental Area will significantly improve the housing price level in Guiyang. Using the DID model, it is found that, without the construction of the National Big Data (Guizhou) Experimental Area, the overall housing price level in Guiyang will not grow as fast as it is currently. Benefiting from the construction of the Experimental Area, Guiyang residents gradually pay attention to the investment value of housing.
There are regional differences in the above significant positive impacts. Through heterogeneity analysis, it is found that the construction of the National Big Data (Guizhou) Experimental Area is more conducive to the rise in transaction prices of suburban residential buildings. In general, the relationship between urban housing transaction price and distance presents an inverted U-shaped relationship, but the construction of the National Big Data (Guizhou) Experimental Area weakens this relationship. The construction of the Experimental Area will lead to the improvement of the transportation facilities in the region. The city will move from the monocentric urban model to the multi-center development model, and the wage level, quality of life, and housing price of the region will be increased. The Experimental Area attracts housing demand from inside the city (rather than the city center) to the periphery of the city, resulting in the net effect of the Big Data Experimental Area on the housing transaction price, presenting a U-shaped relationship. The rising trend of the housing transaction price inside the city is smaller than that of the city center and the suburbs. According to the classification of residences far from the city center into four types—1–3 km, 3–6 km, 6–10 km, and more than 10 km—the transaction price of the residences located at 1–3 km and 3–6 km has decreased after the construction of the Experimental Area, but the transaction price of the residences located at 6–10 km and more than 10 km has significantly increased, and the transaction price of the residences located at more than 10 km has increased even further. This shows that the National Big Data (Guizhou) Experimental Area has activated the value of suburban housing and improved residents’ demand and investment confidence in suburban housing.
On the whole, the construction of the Experimental Area has increased the value of residential buildings of different areas, but this premium effect also has area heterogeneity. Specifically, with the increase in residential area, the premium effect of the construction of the Experimental Area is weakening, which means that the construction of the Experimental Area is more conducive to small family residential buildings. This may be because the Experimental Area has improved the residential demand, especially for small family houses. Compared with large family residences, small family residences are easier to resell and have a higher investment value.
Finally, the premium effect of the construction of the Experimental Area on suburban housing is also reflected in the transaction area data of suburban housing. By comparing the residential transaction area data of different locations in Guiyang before and after the construction planning of the Experimental Area, it is found that the residential area located 10 km away has experienced a greater increased. This conclusion also confirms that the construction of the Experimental Area has increased residents’ demand for suburban housing.
These conclusions are helpful for us to better understand the impact of large-scale project construction, especially the regional planning of development zones and experimental areas, on urban housing prices. Such regional planning is conducive to changing the phenomenon of an urban single center, guiding residents to find jobs and live in the suburbs and improving the value of suburban areas. For the public sector, regional heterogeneity and regional relevance should be considered when implementing the housing policy and the urban renewal project, especially the development project of the whole region. Such projects will effectively alleviate the pressure of high housing prices in urban centers and effectively meet the housing needs of urban residents and improve their housing conditions. From this perspective, we can understand the construction of development zones and other phenomena widely carried out in Chinese cities. There are also some deficiencies in this paper. The data used in this paper are the housing transaction data of Guiyang City, Guizhou Province, which is located in the southwest of China, thus the study lacks attention paid to other cities in China. In future research, we will further explore the heterogeneity of the implementation of the same policy projects among regions, which will help us to further understand the impact of urban renewal projects on housing. We should also pay attention to the micro-mechanism of the impact of urban renewal projects on housing prices. In particular, different stakeholders can participate in the decision-making process. Urban renewal projects will lead to differences in the wage level and quality of life of different groups, thus affecting their flow process within the city. Some groups will escape from the city under the pressure of high housing prices.

Author Contributions

Conceptualization, L.Z. and H.Y.; methodology, H.Y.; validation, H.Y.; writing—original draft preparation, L.Z., F.Y. and D.L.; writing—review and editing, F.Y. and D.L.; funding acquisition, Z.Z. All authors have read and agreed to the published version of the manuscript.

Funding

This research received funding from the Special Study of Guizhou Provincial Department of Natural Resources on the project “Construction of Evaluation System of Real Estate Economic Operation System in Guizhou Province” (Grant no. 520000215RSUFG5DLMENO).

Data Availability Statement

Data are contained within the article.

Conflicts of Interest

The authors declare no conflict of interest.

References

  1. Papke, L.E. Tax policy and urban development: Evidence from the Indiana enterprise zone program. J. Public Econ. 1994, 54, 37–49. [Google Scholar] [CrossRef]
  2. Glaeser, E.L.; Gottlieb, J.D. The economics of place-making policies. Brook. Pap. Econ. Act. 2008, 1, 155–253. [Google Scholar] [CrossRef]
  3. Shen, L. Infinity and Balance—Urban Planning in the Period of Rapid Urbanization; China Architecture Press: Beijing, China, 2007. [Google Scholar]
  4. Bontje, M.; Burdack, J. Edge cities, European-style: Examples from Paris and the Randstad. City 2005, 22, 317–330. [Google Scholar] [CrossRef]
  5. Huang, S.; Ning, Y. The Construction of New Towns Abroad and its Enlightenment. Mod. City Res. 2003, 18, 12–17. (In Chinese) [Google Scholar]
  6. Wang, J. The economic impact of special economic zones: Evidence from Chinese municipalities. J. Dev. Econ. 2013, 101, 133–147. [Google Scholar] [CrossRef]
  7. Alder, S.; Shao, L.; Zilibotti, F. Economic reforms and industrial policy in a panel of Chinese cities. J. Econ. Growth 2016, 21, 305–349. [Google Scholar] [CrossRef]
  8. Lu, Y.; Wang, J.; Zhu, L. Place-based policies, creation, and displacement: Evidence from china’s economic zone program. J. Am. Econ. Econ Policy 2019, 11, 325–360. [Google Scholar] [CrossRef]
  9. Zheng, S.; Sun, W.; Wu, J.; Kahn, M.E. The birth of edge cities in China: Measuring the effects of industrial parks policy. J. Urban Econ. 2017, 100, 80–103. [Google Scholar] [CrossRef]
  10. Busso, M.; Gregory, J.; Kline, P. Assessing the incidence and efficiency of a prominent place based policy. Am. Econ. Rev. 2013, 103, 897–947. [Google Scholar] [CrossRef]
  11. Hoogendoorn, S.; van Gemeren, J.; Verstraten, P.; Folmer, C. House Prices and Accessibility: Evidence from a Quasi-Experiment in Transport Infrastructure. J. Econ. Geogr. 2019, 19, 57–87. [Google Scholar] [CrossRef]
  12. Teulings, C.N.; Ossokina, I.V.; de Groot, H.L.F. Welfare Benefits of Agglomeration and Worker Heterogeneity. In CESifo Working Paper Series No. 4939; CPB Netherlands Bureau for Economic Policy Analysis: The Hague, The Netherlands, 2014. [Google Scholar]
  13. Puga, D. The Magnitude and Causes of Agglomeration Economies. J. Reg. Sci. 2010, 50, 203–219. [Google Scholar] [CrossRef]
  14. Krugman, P.R.; Venables, A.J. Globalization and the Inequality of Nations. Q. J. Econ. 1995, 110, 857–880. [Google Scholar] [CrossRef]
  15. Cheape, C. Evolution of Urban Public Transit,1880–1912: A Study of Boston, New York and Philadelphia. J. Econ. Hist. 1976, 36, 259–262. [Google Scholar] [CrossRef]
  16. Zheng, S.; Kahn, M.E. Does Government Investment in Local Public Goods Spur Gentrification? Evidence from Beijing. Real Estate Econ. 2013, 41, 1–2. [Google Scholar] [CrossRef]
  17. Gonzalez-Navarro, M.; Turner, M.A. Subways and urban growth: Evidence from earth. J. Urban Econ. 2018, 108, 85–106. [Google Scholar] [CrossRef]
  18. Barnes, G. The Importance of Trip Destination in Determining Transit Share. J. Public Transp. 2005, 8, 1–15. [Google Scholar] [CrossRef]
  19. Ferrell, C. Transit-Oriented Development in the United States: Experiences, Challenges, and Prospects. BMC Res. Notes 2004, 8, 1–7. [Google Scholar]
  20. Almosaind, M.; Dueker, K.; Strathman, J. Light-Rail Transit Stations and Property Values: A Hedonic Price Approach. Transp. Res. Rec. 1993, 1400, 90–94. [Google Scholar]
  21. McDonald, J.F.; Osuji, C.I. The Effect of Anticipated Transportation Improvement on Residential Land Values. Reg. Sci. Urban Econ. 1995, 25, 261–278. [Google Scholar] [CrossRef]
  22. Benjamin, J.D.; Sirmans, G.S. Mass Transportation, Apartment Rent and Property Values. J. Real Estate Res. 1996, 12, 1–8. [Google Scholar]
  23. Chau, K.W.; Wong, S.K. Externalities of Urban Renewal: A Real Option Perspective. J. Real Estate Financ. Econ. 2014, 48, 546–560. [Google Scholar] [CrossRef]
  24. Duranton, G.; Puga, D. Micro-Foundations of Urban Agglomeration Economies. In Handbook of Regional and Urban Economics, 4th ed.; Henderson, J.V., Thisse, J.F., Eds.; North Holland: Amsterdam, The Netherlands, 2004; pp. 2063–2117. [Google Scholar]
  25. Beckmann, M.J. A note on the optimal rates of resource exhaustion. Rev. Econ. Stud. 1974, 128, 121–122. [Google Scholar] [CrossRef]
  26. Henderson, J.V. Economic Theory and the Cities; Academic Press: Cambridge, MA, USA, 1977. [Google Scholar]
  27. Fan, Z.; Zhang, H.; Chen, J. Spillover Effect and Siphon Effect of Public Transport on Housing Market: Taking Metro as an Example. China Ind. Econ. 2018, 5, 99–117. (In Chinese) [Google Scholar]
  28. Lin, G.C.S.; Yi, F. Urbanization of Capital or Capitalization on Urban Land? Land Development and Local Public Finance in Urbanizing China. Urban Geogr. 2011, 32, 50–79. [Google Scholar] [CrossRef]
  29. Hornbeck, R.; Keniston, D. Creative Destruction: Barriers to Urban Growth and the Great Boston Fire of 1872. Am. Econ. Rev. 2017, 107, 1365–1398. [Google Scholar] [CrossRef]
  30. Torre, A.; Pham, V.H.; Simon, A. The Ex-Ante Impact of Conflict over Infrastructure Settings on Residential Property Values: The Case of Paris’s Suburban Zones. Urban Stud. 2014, 52, 2404–2424. [Google Scholar] [CrossRef]
  31. Hilber, C.A.L. Neighborhood Externality Risk and the Homeownership Status of Properties. J. Urban Econ. 2005, 57, 213–241. [Google Scholar] [CrossRef]
  32. Ohlin, B.G. Interregional and International Trade; Harvard University Press: Cambridge, MA, USA, 1933. [Google Scholar]
  33. Marshall, A. The Principles of Economics. Pol. Sci. Q. 2004, 77, 519–524. [Google Scholar]
  34. Krugman, P. Increasing Returns and Economic Geography. J. Pol. Econ. 1991, 99, 483–499. [Google Scholar] [CrossRef]
  35. Li, T.; Yan, G. Peri-Urban China: Land Use, Growth, and the Integrated Urban-Rural Development; Routledge: London, UK, 2019. [Google Scholar]
  36. Combes, P.P.; Duranton, G.; Gobillon, L.; Puga, D.; Roux, S. The Productivity Advantages of Large Cities: Distinguishing Agglomeration from Firm Selection. Econometrica 2012, 80, 2543–2594. [Google Scholar] [CrossRef]
  37. Arimoto, Y.; Nakajima, K.; Okazaki, T. Sources of Productivity Improvement in Industrial Clusters: The Case of the Prewar Japanese Silk-reeling Industry. Reg. Sc. Urban Econ. 2014, 46, 27–41. [Google Scholar] [CrossRef]
  38. Gerlach, H.; Rønde, T.; Stahl, K. Labor pooling in R&D intensive industries. J. Urban Econ. 2009, 65, 99–111. [Google Scholar]
  39. Rosenthal, S.S.; Helsley, R.W. Redevelopment and the Urban Land Price Gradient. J. Urban Econ. 1994, 35, 182–200. [Google Scholar] [CrossRef]
  40. Yi, F.; Deng, D.; Zhang, Y. Collaboration of top-down and bottom-up approaches in the post-disaster housing reconstruction: Evaluating the cases in Yushu Qinghai-Tibet Plateau of China from resilience perspective. Land Use Policy 2020, 99, 104932. [Google Scholar] [CrossRef]
  41. Liu, D.; Li, Z.; Guo, Y. The impacts of neighbourhood governance on residents’ sense of community: A case study of Wuhan, China. Urban. Res. Pract. 2022. [Google Scholar] [CrossRef]
  42. Lin, S.; Wu, F.; Liang, Q.; Li, Z.; Guo, Y. From hometown to the host city? Migrants’ identity transition in Urban China. Cities 2022, 122, 103567. [Google Scholar] [CrossRef]
  43. Tse, R.Y.C. Impact of Comprehensive Development Zoning on Real Estate Development in Hong Kong. Land Use Policy 2001, 18, 321–328. [Google Scholar] [CrossRef]
  44. Zhu, J.; Guo, Y. Social justice in spatial change: Transition from autonomous rural development to integrated urbanization in China. Cities 2022, 122, 103539. [Google Scholar] [CrossRef]
  45. Guo, Y.; Zhu, J.; Liu, X. Implication of rural urbanization with place-based entitlement for social inequality in China. Cities 2018, 82, 77–85. [Google Scholar] [CrossRef]
  46. Wen, H.; Xiao, Y.; Zhang, L. School district, education quality, and housing price: Evidence from a natural experiment in Hangzhou, China. Cities 2017, 66, 72–80. [Google Scholar] [CrossRef]
  47. Efthymiou, D.; Antoniou, C. How do transport infrastructure and policies affect house prices and rents? Evidence from Athens, Greece. Transp. Res. Part A Policy Pract. 2013, 52, 1–22. [Google Scholar] [CrossRef]
  48. Agostini, C.A.; Palmucci, G.A. The Anticipated Capitalization Effect of a New Metro Line on Housing Prices. Fisc. Stud. 2008, 29, 233–256. [Google Scholar] [CrossRef]
  49. Bae, C.H.C.; Jun, M.J.; Park, H. The Impact of Seoul’s Subway Line 5 on Residential Property Values. Transp. Policy 2003, 10, 85–94. [Google Scholar] [CrossRef]
  50. Chen, J.; Hao, Q.J. Submarket, Heterogeneity and Hedonic Prediction Accuracy of Real Estate Prices: Evidence from Shanghai. Int. Real Estate Rev. 2010, 13, 190–217. [Google Scholar] [CrossRef] [PubMed]
  51. Bolitzer, B.; Netusil, N.R. The impact of open spaces on property values in Portland, Oregon. J. Environ. Manag. 2000, 59, 185–193. [Google Scholar] [CrossRef]
  52. Bond, M.T.; Seiler, V.L.; Seiler, M.J. Residential real estate prices: A room with a view. J. Real Estate Res. 2002, 23, 129–138. [Google Scholar] [CrossRef]
  53. Jim, C.Y.; Chen, W.Y. Value of scenic views: Hedonic assessment of private housing in Hong Kong. Landsc. Urban Plan. 2009, 91, 226–234. [Google Scholar] [CrossRef]
  54. Tyrvainen, L.; Miettinen, A. Property prices and urban forest amenities. J. Environ. Econ. Manag. 2000, 39, 205–223. [Google Scholar] [CrossRef]
  55. Peng, B.F.; Shi, Y.S.; Shan, Y.; Chen, D.L. The Spatial Impacts of Class 3A Comprehensive Hospitals on Peripheral Residential Property Prices in Shanghai. Sci. Geogr. Sin. 2015, 35, 860–866. (In Chinese) [Google Scholar]
  56. Chen, J. Research on the Development of National Big Data (Guizhou) Experimental Area. Guizhou Soc. Sci. 2017, 336, 149–155. (In Chinese) [Google Scholar]
  57. Shang, H.P.; Liu, J.T. Do Policy Innovations in Underdeveloped Regions Promote “Curve Overtaking”? A SCM Test for Big Data Development Policy Innovation in Guiyang. J. Pub. Manag. 2021, 18, 13. (In Chinese) [Google Scholar]
  58. Lu, F.; Wang, C.; Zuo, L. Bridging the Chasm between Policy Intention and Implementation: Actor-Network Perspective-Case Study on the Big Data Industry in Guiyang (2012–2018). China Soft Sci. 2020, 7, 26–41. (In Chinese) [Google Scholar]
  59. Roback, J. Wages, Rents, and the Quality of Life. J. Political Econ. 1982, 90, 1257–1278. [Google Scholar] [CrossRef]
  60. Albouy, D.; Leibovici, F.; Warman, C. Quality of life, firm productivity, and the value of amenities across Canadian cities. Can. J. Econ./Rev. Can. D’économique 2013, 46, 379–411. [Google Scholar] [CrossRef]
  61. Albouy, D. What are cities worth? Land rents, local productivity, and the total value of amenities. Rev. Econ. Stat. 2016, 98, 477–487. [Google Scholar] [CrossRef]
  62. De Vany, A.S. An economic model of airport noise pollution in an urban environment. In Theory and Measurement of Economic Externalities; Lin, S.A.Y., Ed.; Academic Press: New York, NY, USA, 1976; pp. 205–214. [Google Scholar]
  63. Bowes, D.R.; Ihlandeldt., K.R. Identifying the impacts of rail stations on residential property values. J. Urban Econ. 2001, 50, 73–82. [Google Scholar] [CrossRef]
  64. Yu, L.; Zheng, S.Q.; Liu, H.Y. The Spatial Variation and Affecting Factors of the Housing Price Gradients—The Case of Beijing. Econ. Geogr. 2008, 28, 406–410. (In Chinese) [Google Scholar]
  65. Zhang, M.H.; Zhang, Q.Y.; Liang, R.B. A Study of the Nonlinear and Heterogeneity Influence of High-Speed Railway on the Real Estate Price. Contemp. Financ. Econ. 2017, 394, 3–13. (In Chinese) [Google Scholar]
  66. McCann, P. Modern Urban and Regional Economics, 2nd ed.; Oxford University Press: Oxford, UK, 2013. [Google Scholar]
Figure 1. Liabilities of real estate development enterprises in Guizhou Province from 2002 to 2020.
Figure 1. Liabilities of real estate development enterprises in Guizhou Province from 2002 to 2020.
Land 12 00453 g001
Figure 2. Asset–liability ratio of real estate development enterprises in Guizhou Province from 2000 to 2020.
Figure 2. Asset–liability ratio of real estate development enterprises in Guizhou Province from 2000 to 2020.
Land 12 00453 g002
Figure 3. Distance from the city center and externalities.
Figure 3. Distance from the city center and externalities.
Land 12 00453 g003
Figure 4. DID parallel trend test.
Figure 4. DID parallel trend test.
Land 12 00453 g004
Figure 5. Impact of the construction of the National Big Data (Guizhou) Experimental Area on residential transaction price.
Figure 5. Impact of the construction of the National Big Data (Guizhou) Experimental Area on residential transaction price.
Land 12 00453 g005
Table 1. Housing sample statistics.
Table 1. Housing sample statistics.
YearTrading CapacityAverage Price of Single Transaction
(10,000 RMB)
Total Transaction Amount
(Million RMB)
19987694.69536.104
199925263.91898.967
200027265.330145.304
200126537.604201.732
2002215511.812254.560
2003387514.424558.914
2004517616.477852.848
2005690219.4771341.037
2006777919.4301699.022
2007729221.8411700.126
2008701023.3151741.585
200910,74430.8873318.474
201017,09935.5486078.353
201117,12337.1886367.663
201218,75038.4337206.202
201328,50046.93513,376.510
201425,13150.56712,707.900
201519,37250.09010,672.090
201617,25074.58912,866.600
201729,76659.24117,633.550
201841,40061.89725,625.440
201950,88462.66331,885.390
202058,05050.38034,470.210
202129,47672.16021,269.970
Table 2. Descriptive statistics of variables.
Table 2. Descriptive statistics of variables.
VariableNum.MeanStd.MinMax
Logarithm of transaction price41,2223.6510.8770.3145.429
Floor41,22212.51210.132−671
Area41,222107.40337.31941.76240.69
House structure41,2221.7601.07814
Transaction times41,2221.6630.75619
Distance from the city center41,2228.9874.1830.38126.238
Transaction year41,2222015.0145.14319982021
Table 3. DID parallel trend test based on the fixed effect model.
Table 3. DID parallel trend test based on the fixed effect model.
Variable
pre_100.082
(0.047)
pre_90.049
(0.047)
pre_80.040
(0.047)
pre_7−0.002
(0.045)
pre_60.102 *
(0.042)
pre_50.058
(0.042)
pre_4−0.110 **
(0.042)
pre_30.136 **
(0.042)
pre_20.201 ***
(0.042)
pre_10.073
(0.042)
current0.076
(0.042)
post_10.105 *
(0.041)
post_20.288 ***
(0.041)
post_30.180 ***
(0.042)
post_40.355 ***
(0.042)
post_50.289 ***
(0.043)
Year fixed effectYes
Constant1.906 ***
(0.050)
Sigma_U0.623
Sigma_e0.518
Rho0.591
N412,222
Notes: * p < 0.05, ** p < 0.01, *** p < 0.001, Standard errors in parentheses.
Table 4. Impact of the construction of the National Big Data (Guizhou) Experimental Area on transaction price.
Table 4. Impact of the construction of the National Big Data (Guizhou) Experimental Area on transaction price.
Model 1Model 2Model 3
Plan  ×  District0.224 ***0.484 ***0.657 ***
(0.003)(0.013)(0.007)
Plan−1.366 ***−1.365 ***−1.359 ***
(0.018)(0.019)(0.019)
District−0.111 ***−0.049 ***−0.125 ***
(0.004)(0.004)(0.004)
Floor0.002 ***0.002 ***0.002 ***
(0.000)(0.000)(0.000)
Structure
Post and panel structure−0.603 ***−0.604 ***−0.602 ***
(0.155)(0.154)(0.154)
Mixed structure−0.439 ***−0.440 ***−0.428 ***
(0.003)(0.003)(0.003)
Other structure−0.020 ***−0.022 ***−0.018 ***
(0.003)(0.003)(0.003)
Trade times0.120 ***0.120 ***0.120 ***
(0.001)(0.001)(0.001)
DistanceSq−0.003 ***−0.004 ***−0.003 ***
(0.000)(0.000)(0.000)
Distance0.040 ***0.064 ***0.039 ***
(0.001)(0.001)(0.001)
Area0.011 ***0.011 ***0.012 ***
(0.000)(0.000)(0.000)
Plan  ×  District  ×  DistanceSq 0.012 ***
(0.001)
Plan  ×  District  ×  Distance −0.126 ***
(0.008)
Plan  ×  District  ×  Area −0.004 ***
(0.000)
Year fixed effectYesYesYes
Constant0.298 ***0.161 ***0.262 ***
(0.030)(0.030)(0.030)
R-squared0.68980.69040.6922
N412,222412,222412,222
Notes: *** p < 0.001, Standard errors in parentheses.
Table 5. Regional heterogeneity of the impact of the construction of the National Big Data (Guizhou) Experimental Area on residential transaction prices.
Table 5. Regional heterogeneity of the impact of the construction of the National Big Data (Guizhou) Experimental Area on residential transaction prices.
Model 1Model 2Model 3Model 4
1~3 km3~6 km6~10 km>10 km
Plan  ×  District−1.462 ***−0.567 ***0.095 ***0.186
(0.025)(0.012)(0.010)(0.155)
Floor−0.002 ***0.003 ***0.001 ***0.005 ***
(0.000)(0.000)(0.000)(0.000)
Area0.009 ***0.009 ***0.013 ***0.013 ***
(0.000)(0.000)(0.000)(0.000)
Structure
Post and panel structure−0.547 ***−0.417 ***−0.388 ***−0.389 ***
(0.011)(0.006)(0.007)(0.004)
Mixed structure0.117 ***−0.008 **−0.143 ***−0.015 *
(0.008)(0.003)(0.013)(0.006)
Other structure0.112 ***0.097 ***0.135 ***0.136 ***
(0.004)(0.003)(0.003)(0.002)
Trade times−0.547 ***−0.417 ***−0.388 ***−0.389 ***
(0.011)(0.006)(0.007)(0.004)
Year fixed effectYesYesYesYes
Constant2.075 ***0.232 *0.0250.324 ***
(0.012)(0.098)(0.051)(0.034)
R-squared0.64530.68070.67960.6880
N45,55573,79772,221214,405
Notes: * p < 0.05, ** p < 0.01, *** p < 0.001, Standard errors in parentheses.
Table 6. The area heterogeneity of the impact of the construction of the National Big Data (Guizhou) Experimental Area on the residential transaction price.
Table 6. The area heterogeneity of the impact of the construction of the National Big Data (Guizhou) Experimental Area on the residential transaction price.
Model 1Model 2Model 3Model 4
<50 sq50~90 sq90~120 sq>120 sq
Plan  ×  District0.135 ***0.041 ***0.044 ***0.173 ***
(0.035)(0.007)(0.005)(0.005)
Floor0.007 ***0.003 ***0.002 ***0.001 ***
(0.001)(0.000)(0.000)(0.000)
Structure
Post and panel structure−1.212 ***−0.939 ***−0.3480.492 *
(0.045)(0.242)(0.229)(0.196)
Mixed structure−0.580 ***−0.498 ***−0.335 ***−0.340 ***
(0.023)(0.006)(0.006)(0.004)
Other structure−0.293 ***−0.057 ***−0.003−0.001
(0.045)(0.008)(0.005)(0.004)
Trade times0.278 ***0.174 ***0.076 ***0.090 ***
(0.009)(0.003)(0.003)(0.002)
Distance−0.034 ***−0.032 ***−0.003 ***0.018 ***
(0.004)(0.001)(0.000)(0.000)
Year fixed effectYesYesYesYes
Constant1.336 ***1.463 ***2.076 ***2.387 ***
(0.085)(0.032)(0.114)(0.186)
R-squared0.54710.58110.51730.3580
N11,544142,847112,686145,145
Notes: * p < 0.05, *** p < 0.001, Standard errors in parentheses.
Table 7. Impact of the construction of the National Big Data (Guizhou) Experimental Area on residential area demand.
Table 7. Impact of the construction of the National Big Data (Guizhou) Experimental Area on residential area demand.
Model 1Model 2Model 3Model 4Model 5
All1~3 km3~6 km6~10 km>10 km
Plan  ×  District11.341 ***17.384 ***1.1207.792 ***63.441 ***
(0.219)(1.570)(0.684)(0.891)(10.397)
Control variablesYesYesYesYesYes
Year fixed effect1.336 ***1.463 ***2.076 ***2.387 ***1.336 ***
R-squared0.13370.07310.06090.11320.1271
N412,22245,55573,79772,221214,405
Notes: *** p < 0.001, Standard errors in parentheses.
Disclaimer/Publisher’s Note: The statements, opinions and data contained in all publications are solely those of the individual author(s) and contributor(s) and not of MDPI and/or the editor(s). MDPI and/or the editor(s) disclaim responsibility for any injury to people or property resulting from any ideas, methods, instructions or products referred to in the content.

Share and Cite

MDPI and ACS Style

Zhang, L.; Yu, H.; Zhou, Z.; Yi, F.; Li, D. National Big Data Experimental Area and the Unexpected Booming of the Housing Price in Guiyang of Guizhou Province of China. Land 2023, 12, 453. https://doi.org/10.3390/land12020453

AMA Style

Zhang L, Yu H, Zhou Z, Yi F, Li D. National Big Data Experimental Area and the Unexpected Booming of the Housing Price in Guiyang of Guizhou Province of China. Land. 2023; 12(2):453. https://doi.org/10.3390/land12020453

Chicago/Turabian Style

Zhang, Lu, Hongfei Yu, Zhongfa Zhou, Fangxin Yi, and Dong Li. 2023. "National Big Data Experimental Area and the Unexpected Booming of the Housing Price in Guiyang of Guizhou Province of China" Land 12, no. 2: 453. https://doi.org/10.3390/land12020453

APA Style

Zhang, L., Yu, H., Zhou, Z., Yi, F., & Li, D. (2023). National Big Data Experimental Area and the Unexpected Booming of the Housing Price in Guiyang of Guizhou Province of China. Land, 12(2), 453. https://doi.org/10.3390/land12020453

Note that from the first issue of 2016, this journal uses article numbers instead of page numbers. See further details here.

Article Metrics

Back to TopTop