Variation in the Mercury Concentrations and Greenhouse Gas Emissions of Pristine and Managed Hemiboreal Peatlands
Abstract
:1. Introduction
2. Materials and Methods
2.1. Research Sites
2.2. GHG Sampling and Measurements
2.3. Soil Sampling and Chemical Analysis
2.4. Vegetation Survey
2.5. Statistical Analysis
3. Results
3.1. Management-Induced Disturbance and Environmental Factors’ Impact on the Soil THg Concentration



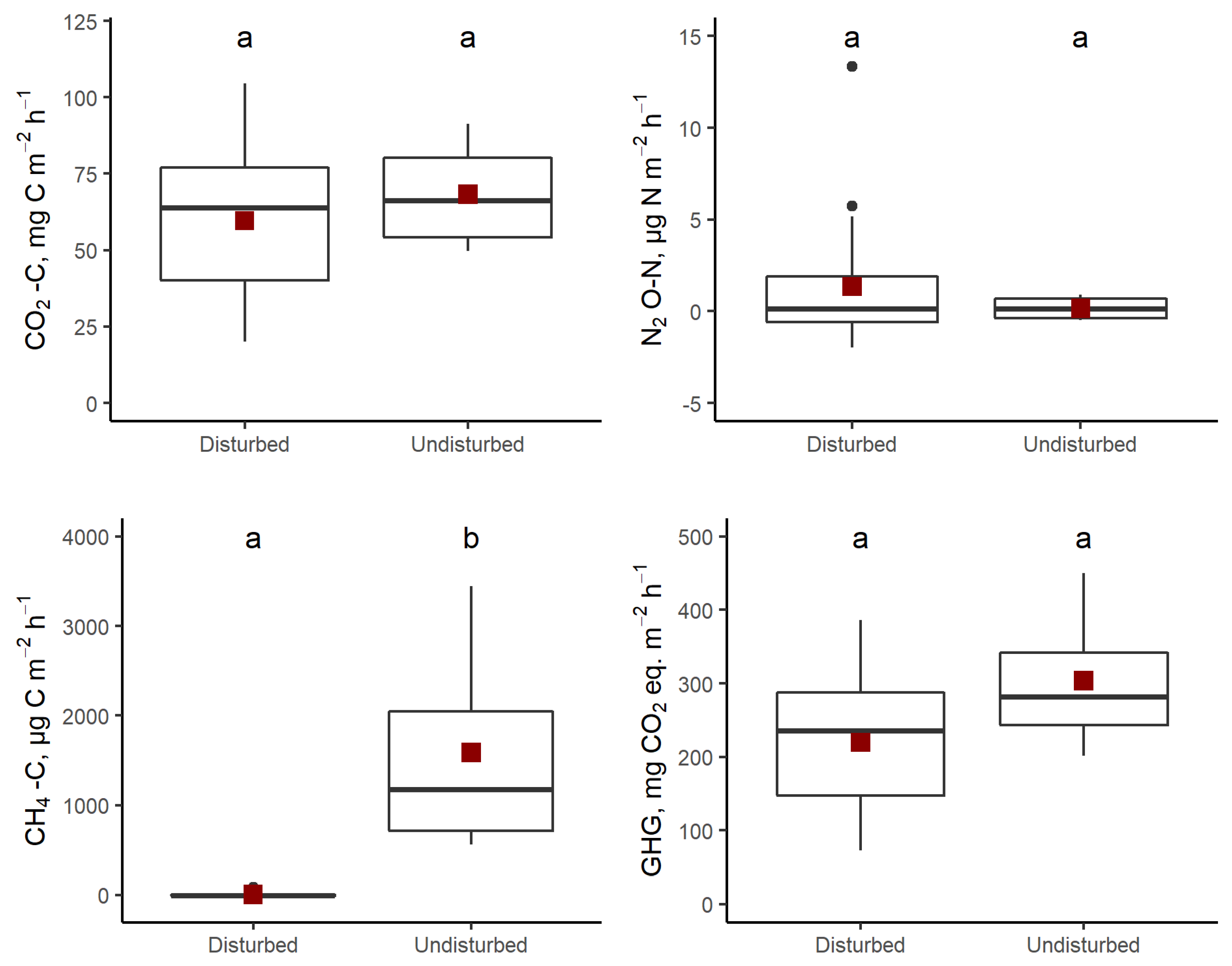
3.2. Management-Induced Disturbance and Environmental Factors’ Impact on GHG Emissions from the Soil

3.3. Vegetation Survey

4. Discussion
4.1. Disturbance and Environmental Factors’ Impact on Soil THg Concentrations
4.2. Disturbance and Environmental Factors’ Impact on Soil GHG Emissions
5. Conclusions
Supplementary Materials
Author Contributions
Funding
Institutional Review Board Statement
Informed Consent Statement
Data Availability Statement
Acknowledgments
Conflicts of Interest
References
- Mokma, D.L. Organic Soils. In Encyclopedia of Soils in the Environment; Hillel, D., Ed.; Elsevier: Oxford, UK, 2005; pp. 118–129. ISBN 978-0-12-348530-4. [Google Scholar]
- European Environment Agency. Soil Organic Carbon. Available online: https://www.eea.europa.eu/data-and-maps/indicators/soil-organic-carbon-1/assessment/#_edn3 (accessed on 15 July 2022).
- Maljanen, M.; Sigurdsson, B.D.; Guðmundsson, J.; Óskarsson, H.; Huttunen, J.T.; Martikainen, P.J. Greenhouse Gas Balances of Managed Peatlands in the Nordic Countries – Present Knowledge and Gaps. Biogeosciences 2010, 7, 2711–2738. [Google Scholar] [CrossRef]
- Joosten, H.; Tapio-Biström, M.-L.; Tol, S. (Eds.) Peatlands: Guidance for Climate Change Mitigation through Conservation, Rehabilitation and Sustainable Use, 2nd ed.; Mitigation of Climate Change in Agriculture Series; Food and Agriculture Organization of the United Nations, Wetlands International: Rome, Italy, 2012; ISBN 978-92-5-107302-5. [Google Scholar]
- Abdalla, M.; Hastings, A.; Truu, J.; Espenberg, M.; Mander, Ü.; Smith, P. Emissions of Methane from Northern Peatlands: A Review of Management Impacts and Implications for Future Management Options. Ecol. Evol. 2016, 6, 7080–7102. [Google Scholar] [CrossRef]
- Latvia National Inventory Report. Available online: https://unfccc.int/documents/461908 (accessed on 15 July 2022).
- Sirin, A.; Laine, J. Peatlands and Greenhouse Gases. In Assessment on Peatlands, Biodiversity, and Climate Change; Global Environment Centre & Wetlands International, Wageningen: Kuala Lumpur, Malaysia, 2008; pp. 138–188. ISBN 978-983-43751-0-2. [Google Scholar]
- Grzybowski, M.; Glińska-Lewczuk, K. The Principal Threats to the Peatlands Habitats, in the Continental Bioregion of Central Europe – A Case Study of Peatland Conservation in Poland. J. Nat. Conserv. 2020, 53, 125778. [Google Scholar] [CrossRef]
- Schaller, C.; Hofer, B.; Klemm, O. Greenhouse Gas Exchange of a NW German Peatland, 18 Years After Rewetting. J. Geophys. Res. Biogeosci. 2022, 127, e2020JG005960. [Google Scholar] [CrossRef]
- Yu, Z.; Beilman, D.W.; Jones, M.C. Sensitivity of Northern Peatland Carbon Dynamics to Holocene Climate Change. In Geophysical Monograph Series; Baird, A.J., Belyea, L.R., Comas, X., Reeve, A.S., Slater, L.D., Eds.; American Geophysical Union: Washington, DC, USA, 2009; pp. 55–69. ISBN 978-1-118-66666-1. [Google Scholar]
- Haynes, K.M.; Kane, E.S.; Potvin, L.; Lilleskov, E.A.; Kolka, R.K.; Mitchell, C.P.J. Mobility and Transport of Mercury and Methylmercury in Peat as a Function of Changes in Water Table Regime and Plant Functional Groups. Glob. Biogeochem. Cycles 2017, 31, 233–244. [Google Scholar] [CrossRef]
- Le Mer, J.; Roger, P. Production, Oxidation, Emission and Consumption of Methane by Soils: A Review. Eur. J. Soil. Biol. 2001, 37, 25–50. [Google Scholar] [CrossRef]
- Jukaine; Vasander, H.; Laiho, R. Long-Term Effects of Water Level Drawdown on the Vegetation of Drained Pine Mires in Southern Finland. J. Appl. Ecol. 1995, 32, 785. [Google Scholar] [CrossRef]
- Ojanen, P.; Minkkinen, K.; Penttilä, T. The Current Greenhouse Gas Impact of Forestry-Drained Boreal Peatlands. For. Ecol. Manag. 2013, 289, 201–208. [Google Scholar] [CrossRef]
- Bonn, A.; Allott, T.; Evans, M.; Joosten, H.; Stoneman, R. (Eds.) Peatland Restoration and Ecosystem Services: Science, Policy and Practice, 1st ed.; Cambridge University Press: Cambridge, CA, USA, 2016; ISBN 978-1-107-02518-9. [Google Scholar]
- Korkiakoski, M.; Tuovinen, J.-P.; Penttilä, T.; Sarkkola, S.; Ojanen, P.; Minkkinen, K.; Rainne, J.; Laurila, T.; Lohila, A. Greenhouse Gas and Energy Fluxes in a Boreal Peatland Forest after Clear-Cutting. Biogeosciences 2019, 16, 3703–3723. [Google Scholar] [CrossRef]
- Barthelmes, A.; Couwenberg, J.; Risager, M.; Tegetmeyer, C.; Joosten, H. Peatlands and Climate in a Ramsar Context: A Nordic-Baltic Perspective; Nordic Council of Ministers: Copenhagen, Denmark, 2015; p. 244. [Google Scholar]
- Ojanen, P.; Minkkinen, K.; Alm, J.; Penttilä, T. Soil–Atmosphere CO2, CH4 and N2O Fluxes in Boreal Forestry-Drained Peatlands. For. Ecol. Manag. 2010, 260, 411–421. [Google Scholar] [CrossRef]
- Ojanen, P.; Minkkinen, K.; Alm, J.; Penttilä, T. Corrigendum to “Soil–Atmosphere CO2, CH4 and N2O Fluxes in Boreal Forestry-Drained Peatlands” [For. Ecol. Manage. 260 (2010) 411–421]. For. Ecol. Manag. 2018, 412, 95–96. [Google Scholar] [CrossRef]
- Bond-Lamberty, B.; Thomson, A. A Global Database of Soil Respiration Data. Biogeosciences 2010, 7, 1915–1926. [Google Scholar] [CrossRef]
- Hanson, P.J.; Edwards, N.T.; Garten, C.T.; Andrews, J.A. Separating Root and Soil Microbial Contributions to Soil Respiration: A Review of Methods and Observations. Biogeochemistry 2000, 48, 115–146. [Google Scholar] [CrossRef]
- Tian, H.; Lu, C.; Yang, J.; Banger, K.; Huntzinger, D.N.; Schwalm, C.R.; Michalak, A.M.; Cook, R.; Ciais, P.; Hayes, D.; et al. Global Patterns and Controls of Soil Organic Carbon Dynamics as Simulated by Multiple Terrestrial Biosphere Models: Current Status and Future Directions. Glob. Biogeochem. Cycles 2015, 29, 775–792. [Google Scholar] [CrossRef]
- Kriiska, K.; Frey, J.; Asi, E.; Kabral, N.; Uri, V.; Aosaar, J.; Varik, M.; Napa, Ü.; Apuhtin, V.; Timmusk, T.; et al. Variation in Annual Carbon Fluxes Affecting the SOC Pool in Hemiboreal Coniferous Forests in Estonia. For. Ecol. Manag. 2019, 433, 419–430. [Google Scholar] [CrossRef]
- Arnold, K.V.; Nilsson, M.; Hånell, B.; Weslien, P.; Klemedtsson, L. Fluxes of CO2, CH4 and N2O from Drained Organic Soils in Deciduous Forests. Soil Biol. Biochem. 2005, 37, 1059–1071. [Google Scholar] [CrossRef]
- Arnold, K.V.; Weslien, P.; Nilsson, M.; Svensson, B.H.; Klemedtsson, L. Fluxes of CO2, CH4 and N2O from Drained Coniferous Forests on Organic Soils. For. Ecol. Manag. 2005, 210, 239–254. [Google Scholar] [CrossRef]
- Ojanen, P.; Lehtonen, A.; Heikkinen, J.; Penttilä, T.; Minkkinen, K. Soil CO2 Balance and Its Uncertainty in Forestry-Drained Peatlands in Finland. For. Ecol. Manag. 2014, 325, 60–73. [Google Scholar] [CrossRef]
- Tang, J.; Bolstad, P.V.; Martin, J.G. Soil Carbon Fluxes and Stocks in a Great Lakes Forest Chronosequence. Glob. Change Biol. 2009, 15, 145–155. [Google Scholar] [CrossRef]
- Craine, J.M.; Wedin, D.A. Determinants of Growing Season Soil CO2flux in a Minnesota Grassland. Biogeochemistry 2002, 59, 303–313. [Google Scholar] [CrossRef]
- Straková, P.; Penttilä, T.; Laine, J.; Laiho, R. Disentangling Direct and Indirect Effects of Water Table Drawdown on Above- and Belowground Plant Litter Decomposition: Consequences for Accumulation of Organic Matter in Boreal Peatlands. Glob. Chang. Biol. 2012, 18, 322–335. [Google Scholar] [CrossRef]
- Klemedtsson, L.; Von Arnold, K.; Weslien, P.; Gundersen, P. Soil CN Ratio as a Scalar Parameter to Predict Nitrous Oxide Emissions. Glob. Chang. Biol. 2005, 11, 1142–1147. [Google Scholar] [CrossRef]
- Mäkiranta, P.; Hytönen, J.; Aro, L.; Maljanen, M.; Pihlatie, M.; Potila, H.; Shurpali, N.J.; Laine, J.; Lohila, A.; Martikainen, P.J.; et al. Soil Greenhouse Gas Emissions from Afforested Organic Soil Croplands and Cutaway Peatlands. Boreal Environ. Res. 2007, 12, 159–175. [Google Scholar]
- Jauhiainen, J.; Kazanaviciute, V.; Armolaitis, K.; Kull, A.; Līcīte, I.; Butlers, A.; Lupiķis, A.; Jēgers, N.; Medvedkins, E.; Saule, G.; et al. Report on Current Situation—Applied Emission Factors and Projections of Greenhouse Gas Emissions from Organic Soils; Latvia State Forest Research Institute “Silava”: Salaspils, Latvia, 2019; p. 65. [Google Scholar] [CrossRef]
- Lupikis, A.; Lazdins, A. Soil Carbon Stock Changes in Transitional Mire Drained for Forestry in Latvia: A Case Study. Res. Rural Dev. 2017, 1, 55–61. [Google Scholar]
- Lazdiņš, A.; Lupiķis, A. Restore Project Contribution to the Greenhouse Gas Emission Accounts in Latvia. In Sustainable and Responsible after-Use of Peat Extraction Areas; Priede, A., Gancone, A., Eds.; Baltijas krasti: Riga, Latvia, 2019; pp. 21–54. ISBN 978-9934-19-845-8. [Google Scholar]
- Butlers, A.; Bārdule, A.; Spalva, G.; Muižnieks, E. N2O and CH4 Emissions from Naturally Wet and Drained Nutrient-Rich Organic Forest Soils. Rural Dev. 2022, 2021, 196–200. [Google Scholar] [CrossRef]
- Osterwalder, S.; Bishop, K.; Alewell, C.; Fritsche, J.; Laudon, H.; Åkerblom, S.; Nilsson, M.B. Mercury Evasion from a Boreal Peatland Shortens the Timeline for Recovery from Legacy Pollution. Sci. Rep. 2017, 7, 16022. [Google Scholar] [CrossRef]
- Zhang, Y.; Jacob, D.J.; Horowitz, H.M.; Chen, L.; Amos, H.M.; Krabbenhoft, D.P.; Slemr, F.; St. Louis, V.L.; Sunderland, E.M. Observed Decrease in Atmospheric Mercury Explained by Global Decline in Anthropogenic Emissions. Proc. Natl. Acad. Sci. USA 2016, 113, 526–531. [Google Scholar] [CrossRef]
- McClain, M.E.; Boyer, E.W.; Dent, C.L.; Gergel, S.E.; Grimm, N.B.; Groffman, P.M.; Hart, S.C.; Harvey, J.W.; Johnston, C.A.; Mayorga, E.; et al. Biogeochemical Hot Spots and Hot Moments at the Interface of Terrestrial and Aquatic Ecosystems. Ecosystems 2003, 6, 301–312. [Google Scholar] [CrossRef]
- Blythe, J.L. The Effects of Legacy Sulphur Deposition on Methylmercury Production in Northern Peatlands. Master’s Thesis, The University of Western Ontario, London, ON, Canada, 27 January 2020. [Google Scholar]
- St. Louis, V.L.; Rudd, J.W.M.; Kelly, C.A.; Beaty, K.G.; Flett, R.J.; Roulet, N.T. Production and Loss of Methylmercury and Loss of Total Mercury from Boreal Forest Catchments Containing Different Types of Wetlands. Environ. Sci. Technol. 1996, 30, 2719–2729. [Google Scholar] [CrossRef]
- Branfireun, B.A.; Roulet, N.T. Controls on the Fate and Transport of Methylmercury in a Boreal Headwater Catchment, Northwestern Ontario, Canada. Hydrol. Earth Syst. Sci. 2002, 6, 785–794. [Google Scholar] [CrossRef]
- Mitchell, C.P.J.; Branfireun, B.A.; Kolka, R.K. Spatial Characteristics of Net Methylmercury Production Hot Spots in Peatlands. Environ. Sci. Technol. 2008, 42, 1010–1016. [Google Scholar] [CrossRef]
- Bergman, I.; Bishop, K.; Tu, Q.; Frech, W.; Åkerblom, S.; Nilsson, M. The Influence of Sulphate Deposition on the Seasonal Variation of Peat Pore Water Methyl Hg in a Boreal Mire. PLoS ONE 2012, 7, e45547. [Google Scholar] [CrossRef]
- Tjerngren, I.; Meili, M.; Björn, E.; Skyllberg, U. Eight Boreal Wetlands as Sources and Sinks for Methyl Mercury in Relation to Soil Acidity, C/N Ratio, and Small-Scale Flooding. Environ. Sci. Technol. 2012, 46, 8052–8060. [Google Scholar] [CrossRef]
- Liu, J.; Wang, Z.; Zhao, H.; Peros, M.; Yang, Q.; Liu, S.; Li, H.; Wang, S.; Bu, Z. Mercury and Arsenic in the Surface Peat Soils of the Changbai Mountains, Northeastern China: Distribution, Environmental Controls, Sources, and Ecological Risk Assessment. Environ. Sci. Pollut. Res. 2018, 25, 34595–34609. [Google Scholar] [CrossRef]
- Grigal, D.F. Mercury Sequestration in Forests and Peatlands: A Review. J. Environ. Qual. 2003, 32, 393–405. [Google Scholar] [CrossRef]
- European Environment Agency. Mercury Pollution Remains a Problem in Europe and Globally. Available online: https://www.eea.europa.eu/highlights/mercury-pollution-remains-a-problem (accessed on 15 July 2022).
- He, M.; Tian, L.; Braaten, H.F.V.; Wu, Q.; Luo, J.; Cai, L.-M.; Meng, J.-H.; Lin, Y. Mercury–Organic Matter Interactions in Soils and Sediments: Angel or Devil? Bull. Environ. Contam. Toxicol. 2019, 102, 621–627. [Google Scholar] [CrossRef]
- Schroeder, W.H.; Munthe, J. Atmospheric Mercury—An Overview. Atmos. Environ. 1998, 32, 809–822. [Google Scholar] [CrossRef]
- König, N.; Krinninger, M.; Schad, T.; Sanders, T.G.M.; Geppert, F.; Holzhausen, M. Entwicklung und Test von Methoden zur Messung der Nassen Quecksilberdeposition unter dem Kronendach von Wäldern; Umweltbundesamt: Dessau-Roßlau, Germany, 2021; p. 137. [Google Scholar]
- Wang, X.; Bao, Z.; Lin, C.-J.; Yuan, W.; Feng, X. Assessment of Global Mercury Deposition through Litterfall. Environ. Sci. Technol. 2016, 50, 8548–8557. [Google Scholar] [CrossRef]
- Méndez-López, M.; Gómez-Armesto, A.; Alonso-Vega, F.; Pontevedra-Pombal, X.; Fonseca, F.; de Figueiredo, T.; Arias-Estévez, M.; Nóvoa-Muñoz, J.C. The Role of Afforestation Species as a Driver of Hg Accumulation in Organic Horizons of Forest Soils from a Mediterranean Mountain Area in SW Europe. Sci. Total Environ. 2022, 827, 154345. [Google Scholar] [CrossRef]
- Latvian Environment, Geology and Meteorology Centre Report on Surface Water and Groundwater Condition in 2020. Available online: https://videscentrs.lvgmc.lv/files/Udens/udens_kvalitate/VPUK_2020_publicesanai_18032022.pdf (accessed on 27 July 2022).
- Latvian Environment, Geology and Meteorology Centre Characteristics of Weather Conditions. 2019. Available online: https://klimats.meteo.lv/laika_apstaklu_raksturojums/arhivs/2019/gads/ (accessed on 27 July 2022).
- Pavelka, M.; Acosta, M.; Kiese, R.; Altimir, N.; Brümmer, C.; Crill, P.; Darenova, E.; Fuß, R.; Gielen, B.; Graf, A.; et al. Standardisation of Chamber Technique for CO2, N2O and CH4 Fluxes Measurements from Terrestrial Ecosystems. Int. Agrophysics 2018, 32, 569–587. [Google Scholar] [CrossRef]
- Darenova, E.; Pavelka, M.; Acosta, M. Diurnal Deviations in the Relationship between CO2 Efflux and Temperature: A Case Study. CATENA 2014, 123, 263–269. [Google Scholar] [CrossRef]
- Loftfield, N.; Flessa, H.; Augustin, J.; Beese, F. Automated Gas Chromatographic System for Rapid Analysis of the Atmospheric Trace Gases Methane, Carbon Dioxide, and Nitrous Oxide. J. Environ. Qual. 1997, 26, 560–564. [Google Scholar] [CrossRef]
- Navrátil, T.; Nováková, T.; Shanley, J.B.; Rohovec, J.; Vaňková, M. Distribution and Pools of Mercury in Forest Soils near Recent and Historical Mercury Emission Sources in the Central Czech Republic. J. Geochem. Explor. 2021, 226, 106782. [Google Scholar] [CrossRef]
- Schuster, W.; Knorr, K.-H.; Blodau, C.; Gałka, M.; Borken, W.; Pancotto, V.A.; Kleinebecker, T. Control of Carbon and Nitrogen Accumulation by Vegetation in Pristine Bogs of Southern Patagonia. Sci. Total Environ. 2022, 810, 151293. [Google Scholar] [CrossRef]
- Åkerblom, S.; Meili, M.; Bringmark, L.; Johansson, K.; Kleja, D.B.; Bergkvist, B. Partitioning of Hg Between Solid and Dissolved Organic Matter in the Humus Layer of Boreal Forests. Water Air Soil Pollut. 2008, 189, 239–252. [Google Scholar] [CrossRef]
- Obrist, D.; Johnson, D.W.; Lindberg, S.E. Mercury Concentrations and Pools in Four Sierra Nevada Forest Sites, and Relationships to Organic Carbon and Nitrogen. Biogeosciences 2009, 6, 765–777. [Google Scholar] [CrossRef]
- Yu, X.; Driscoll, C.T.; Warby, R.A.F.; Montesdeoca, M.; Johnson, C.E. Soil Mercury and Its Response to Atmospheric Mercury Deposition across the Northeastern United States. Ecol. Appl. 2014, 24, 812–822. [Google Scholar] [CrossRef]
- Navrátil, T.; Shanley, J.; Rohovec, J.; Hojdová, M.; Penížek, V.; Buchtová, J. Distribution and Pools of Mercury in Czech Forest Soils. Water Air Soil Pollut. 2014, 225, 1829. [Google Scholar] [CrossRef]
- Navrátil, T.; Shanley, J.B.; Rohovec, J.; Oulehle, F.; Šimeček, M.; Houška, J.; Cudlín, P. Soil Mercury Distribution in Adjacent Coniferous and Deciduous Stands Highly Impacted by Acid Rain in the Ore Mountains, Czech Republic. Appl. Geochem. 2016, 75, 63–75. [Google Scholar] [CrossRef]
- Eriksson, L.; Johansson, E.; Kettapeh-Wold, S.; Wold, S. Introduction to Multi- and Megavariate Data Analysis Using Projection Methods (PCA & PLS); Umetrics: Umeå, Sweden, 1999. [Google Scholar]
- Wold, S.; Sjöström, M.; Eriksson, L. PLS-Regression: A Basic Tool of Chemometrics. Chemom. Intell. Lab. Syst. 2001, 58, 109–130. [Google Scholar] [CrossRef]
- Kucheryavskiy, S. Mdatools—R Package for Chemometrics. Chemom. Intell. Lab. Syst. 2020, 198, 103937. [Google Scholar] [CrossRef]
- R Core Team. R: A Language and Environment for Statistical Computing; R Foundation for Statistical Computing: Vienna, Austria, 2021. [Google Scholar]
- Peck, J.L.E. Multivariate Analysis for Community Ecologists: Step-by-Step Using PC-ORD; MjM Software Design: Gleneden Beach, OR, USA, 2010. [Google Scholar]
- Adriano, D.C. Mercury. In Trace Elements in Terrestrial Environments; Springer: New York, NY, USA, 2001; pp. 411–458. ISBN 978-1-4684-9505-8. [Google Scholar]
- Heavy Metals in Soils; Alloway, B.J. (Ed.) Environmental Pollution; Springer: Dordrecht, The Netherlands, 2013; Volume 22, ISBN 978-94-007-4469-1. [Google Scholar]
- Ballabio, C.; Jiskra, M.; Osterwalder, S.; Borrelli, P.; Montanarella, L.; Panagos, P. A Spatial Assessment of Mercury Content in the European Union Topsoil. Sci. Total Environ. 2021, 769, 144755. [Google Scholar] [CrossRef]
- Di Giulio, R.T.; Ryan, E.A. Mercury in Soils, Sediments, and Clams from a North Carolina Peatland. Water Air Soil Pollut. 1987, 33, 205–219. [Google Scholar] [CrossRef]
- Hu, H.; Wang, B.; Bravo, A.G.; Björn, E.; Skyllberg, U.; Amouroux, D.; Tessier, E.; Zopfi, J.; Feng, X.; Bishop, K.; et al. Shifts in Mercury Methylation across a Peatland Chronosequence: From Sulfate Reduction to Methanogenesis and Syntrophy. J. Hazard Mater. 2020, 387, 121967. [Google Scholar] [CrossRef]
- Heyes, A.; Moore, T.R.; Rudd, J.W.; Dugoua, J.J. Methyl Mercury in Pristine and Impounded Boreal Peatlands, Experimental Lakes Area, Ontario. Can. J. Fish. Aquat. Sci. 2000, 57, 2211–2222. [Google Scholar] [CrossRef]
- Zhu, W.; Song, Y.; Adediran, G.A.; Jiang, T.; Reis, A.T.; Pereira, E.; Skyllberg, U.; Björn, E. Mercury Transformations in Resuspended Contaminated Sediment Controlled by Redox Conditions, Chemical Speciation and Sources of Organic Matter. Geochim. Cosmochim. Acta 2018, 220, 158–179. [Google Scholar] [CrossRef]
- Ma, M.; Du, H.; Wang, D. Mercury Methylation by Anaerobic Microorganisms: A Review. Crit. Rev. Environ. Sci. Technol. 2019, 49, 1893–1936. [Google Scholar] [CrossRef]
- Ma, M.; Du, H.; Wang, D. A New Perspective Is Required to Understand the Role of Forest Ecosystems in Global Mercury Cycle: A Review. Bull. Environ. Contam. Toxicol. 2019, 102, 650–656. [Google Scholar] [CrossRef]
- Kolka, R.; Sebestyen, S.; Verry, E.S.; Brooks, K. (Eds.) Physical Properties of Organic Soils. In Peatland Biogeochemistry and Watershed Hydrology at the Marcell Experimental Forest; CRC Press: Boca Raton, FL, USA, 2011; pp. 159–200. ISBN 978-0-429-13000-7. [Google Scholar]
- Skyllberg, U.; Qian, J.; Frech, W.; Xia, K.; Bleam, W.F. Distribution of Mercury, Methyl Mercury and Organic Sulphur Species in Soil, Soil Solution and Stream of a Boreal Forest Catchment. Biogeochemistry 2003, 64, 53–76. [Google Scholar] [CrossRef]
- Skyllberg, U.; Xia, K.; Bloom, P.R.; Nater, E.A.; Bleam, W.F. Binding of Mercury(II) to Reduced Sulfur in Soil Organic Matter along Upland-Peat Soil Transects. J. Environ. Qual. 2000, 29, 855–865. [Google Scholar] [CrossRef]
- Branfireun, B.A.; Roulet, N.T.; Kelly, C.A.; Rudd, J.W.M. In Situ Sulphate Stimulation of Mercury Methylation in a Boreal Peatland: Toward a Link between Acid Rain and Methylmercury Contamination in Remote Environments. Glob. Biogeochem. Cycles 1999, 13, 743–750. [Google Scholar] [CrossRef]
- Jeremiason, J.D.; Engstrom, D.R.; Swain, E.B.; Nater, E.A.; Johnson, B.M.; Almendinger, J.E.; Monson, B.A.; Kolka, R.K. Sulfate Addition Increases Methylmercury Production in an Experimental Wetland. Environ. Sci. Technol. 2006, 40, 3800–3806. [Google Scholar] [CrossRef]
- Coleman Wasik, J.K.; Engstrom, D.R.; Mitchell, C.P.J.; Swain, E.B.; Monson, B.A.; Balogh, S.J.; Jeremiason, J.D.; Branfireun, B.A.; Kolka, R.K.; Almendinger, J.E. The Effects of Hydrologic Fluctuation and Sulfate Regeneration on Mercury Cycling in an Experimental Peatland. J. Geophys. Res. Biogeosci. 2015, 120, 1697–1715. [Google Scholar] [CrossRef]
- Johnson, N.W.; Mitchell, C.P.J.; Engstrom, D.R.; Bailey, L.T.; Coleman Wasik, J.K.; Berndt, M.E. Methylmercury Production in a Chronically Sulfate-Impacted Sub-Boreal Wetland. Environ. Sci. Process. Impacts 2016, 18, 725–734. [Google Scholar] [CrossRef]
- Braaten, H.F.V.; Lindholm, M.; de Wit, H.A. Five Decades of Declining Methylmercury Concentrations in Boreal Foodwebs Suggest Pivotal Role for Sulphate Deposition. Sci. Total Environ. 2020, 714, 136774. [Google Scholar] [CrossRef]
- Åkerblom, S.; Bishop, K.; Björn, E.; Lambertsson, L.; Eriksson, T.; Nilsson, M.B. Significant Interaction Effects from Sulfate Deposition and Climate on Sulfur Concentrations Constitute Major Controls on Methylmercury Production in Peatlands. Geochim. Cosmochim. Acta 2013, 102, 1–11. [Google Scholar] [CrossRef]
- Åkerblom, S.; Nilsson, M.B.; Skyllberg, U.; Björn, E.; Jonsson, S.; Ranneby, B.; Bishop, K. Formation and Mobilization of Methylmercury across Natural and Experimental Sulfur Deposition Gradients. Environ. Pollut. 2020, 263, 114398. [Google Scholar] [CrossRef]
- Kim, K.-H.; Yoon, H.-O.; Jung, M.-C.; Oh, J.-M.; Brown, R.J.C. A Simple Approach for Measuring Emission Patterns of Vapor Phase Mercury under Temperature-Controlled Conditions from Soil. Sci. World J. 2012, 2012, 1–8. [Google Scholar] [CrossRef]
- MacSween, K.; Edwards, G.C.; Howard, D.A. Up-Scaling Mercury Emissions from Terrestrial Surfaces as a Response to Sustained Temperature Increase. Atmos. Environ. 2020, 223, 117190. [Google Scholar] [CrossRef]
- Rydberg, J.; Klaminder, J.; Rosén, P.; Bindler, R. Climate Driven Release of Carbon and Mercury from Permafrost Mires Increases Mercury Loading to Sub-Arctic Lakes. Sci. Total Environ. 2010, 408, 4778–4783. [Google Scholar] [CrossRef]
- Zhou, J.; Obrist, D.; Dastoor, A.; Jiskra, M.; Ryjkov, A. Vegetation Uptake of Mercury and Impacts on Global Cycling. Nat. Rev. Earth Environ. 2021, 2, 269–284. [Google Scholar] [CrossRef]
- Zhou, J.; Wang, Z.; Zhang, X. Deposition and Fate of Mercury in Litterfall, Litter, and Soil in Coniferous and Broad-Leaved Forests. J. Geophys. Res. Biogeosci. 2018, 123, 2590–2603. [Google Scholar] [CrossRef]
- St. Louis, V.L.; Rudd, J.W.M.; Kelly, C.A.; Hall, B.D.; Rolfhus, K.R.; Scott, K.J.; Lindberg, S.E.; Dong, W. Importance of the Forest Canopy to Fluxes of Methyl Mercury and Total Mercury to Boreal Ecosystems. Environ. Sci. Technol. 2001, 35, 3089–3098. [Google Scholar] [CrossRef]
- Grigal, D.F.; Kolka*, R.K.; Fleck, J.A.; Nater, E.A. Mercury Budget of an Upland-Peatland Watershed. Biogeochemistry 2000, 50, 95–109. [Google Scholar] [CrossRef]
- Pleijel, H.; Klingberg, J.; Nerentorp, M.; Broberg, M.C.; Nyirambangutse, B.; Munthe, J.; Wallin, G. Mercury Accumulation in Leaves of Different Plant Types—The Significance of Tissue Age and Specific Leaf Area. Biogeosciences 2021, 18, 6313–6328. [Google Scholar]
- Enrico, M.; Roux, G.L.; Marusczak, N.; Heimbürger, L.-E.; Claustres, A.; Fu, X.; Sun, R.; Sonke, J.E. Atmospheric Mercury Transfer to Peat Bogs Dominated by Gaseous Elemental Mercury Dry Deposition. Environ. Sci. Technol. 2016, 50, 2405–2412. [Google Scholar] [CrossRef]
- Wang, B. Mercury Methylation in Boreal Peatlands; Swedish University of Agricultural Sciences: Uppsala, Sweden, 2020. [Google Scholar]
- Veber, G.; Kull, A.; Villa, J.A.; Maddison, M.; Paal, J.; Oja, T.; Iturraspe, R.; Pärn, J.; Teemusk, A.; Mander, Ü. Greenhouse Gas Emissions in Natural and Managed Peatlands of America: Case Studies along a Latitudinal Gradient. Ecol. Eng. 2018, 114, 34–45. [Google Scholar] [CrossRef]
- Orella, J.; Africa, D.R.; Bustillo, C.H.; Pascua, N.; Marquez, C.; Adornado, H.; Aguilos, M. Above-and-Belowground Carbon Stocks in Two Contrasting Peatlands in the Philippines. Forests 2022, 13, 303. [Google Scholar] [CrossRef]
- Yamulki, S.; Anderson, R.; Peace, A.; Morison, J.I.L. Soil CO2, CH4 and N2O Fluxes from an Afforested Lowland Raised Peatbog in Scotland: Implications for Drainage and Restoration. Biogeosciences 2013, 10, 1051–1065. [Google Scholar] [CrossRef]
- Leitner, S.; Sae-Tun, O.; Kranzinger, L.; Zechmeister-Boltenstern, S.; Zimmermann, M. Contribution of Litter Layer to Soil Greenhouse Gas Emissions in a Temperate Beech Forest. Plant Soil 2016, 403, 455–469. [Google Scholar] [CrossRef]
- Adviento-Borbe, M.A.A.; Doran, J.W.; Drijber, R.A.; Dobermann, A. Soil Electrical Conductivity and Water Content Affect Nitrous Oxide and Carbon Dioxide Emissions in Intensively Managed Soils. J. Environ. Qual. 2006, 35, 1999–2010. [Google Scholar] [CrossRef]
- Kettunen, A.; Kaitala, V.; Lehtinen, A.; Lohila, A.; Alm, J.; Silvola, J.; Martikainen, P.J. Methane Production and Oxidation Potentials in Relation to Water Table Fluctuations in Two Boreal Mires. Soil Biol. Biochem. 1999, 31, 1741–1749. [Google Scholar] [CrossRef]
- Bubier, J.L.; Moore, T.R.; Juggins, S. Predicting Methane Emission from Bryophyte Distribution in Northern Canadian Peatlands. Ecology 1995, 76, 677–693. [Google Scholar] [CrossRef]


| Management-Induced Disturbance | Short Description of Management-Induced Disturbance | Current Land Use/Type of Vegetation | Research Site | Latitude, Longitude | Short Description of Research Site |
| Undisturbed peatland | Natural (pristine) peatland—undrained, peat have not been extracted previously | Transitional mire | Kalnezers Mire | 56.68218°, 24.73467° | Transitional mire |
| Kazu Mire | 57.27769°, 24.82021° | Transitional mire | |||
| Raised bog | Lielsala Mire | 57.34391°, 22.31912° | Raised bog | ||
| Ķemeri Mire | 56.87991°, 23.53509° | Raised bog | |||
| Disturbed peatland | Drained, peat has not been extracted previously | Forest | Nelaubitis 1 | 56.68866°, 25.81881° | Middle-aged Norway spruce forest |
| Nelaubitis 2 | 56.68880°, 25.81911° | Middle-aged Norway spruce forest | |||
| Drained, peat have been extracted previously | Abandoned peat extraction site (bare peat) | Cena Mire | 56.82469°, 23.98031° | Abandoned peat extraction site not covered with vegetation (bare peat) | |
| Medemas Mire | 56.84537°, 24.10886° | Abandoned peat extraction site not covered with vegetation (bare peat) | |||
| Abandoned peat extraction site with ground vegetation | Cena Mire | 56.82370°, 23.97979° | Abandoned peat extraction site with ground vegetation | ||
| Cepļa Mire | 57.22008°, 26.47591° | Abandoned peat extraction site with ground vegetation | |||
| Active peat extraction site (bare peat) | Kaigu Mire | 56.75713°, 23.59221° | Active peat extraction site not covered with vegetation (bare peat) | ||
| Ušuru Mire | 57.03207°, 26.65576° | Active peat extraction site not covered with vegetation (bare peat) | |||
| Forest | Viršu Mire | 56.84503°, 24.10710° | Broadleaved (Silver birch) forest on peatland (12 years old) | ||
| Cepļa Mire | 57.21663°, 26.47955° | Coniferous (Norway spruce) forest on peatland, >20 years old | |||
| Lielsala Mire | 57.35506°, 22.32453° | Broadleaved (Silver birch) forest on peatland, >20 years old | |||
| Kaigu Mire | 56.74530°, 23.60078° | Coniferous (Norway spruce) forest on peatland, >20 years old | |||
| Perennial grassland | Kašķu Mire | 56.91085°, 23.58174° | Perennial grassland on peatland | ||
| Lielsala Mire | 57.35663°, 22.32327° | Perennial grassland on peatland | |||
| Commercial berry plantation | Kaigu Mire | 56.71175°, 23.60297° | Commercial blueberry plantation on peatland | ||
| Kalna Mire | 57.45605°, 26.45604° | Commercial cranberry plantation on peatland | |||
| Kalna Mire | 57.45563°, 26.45783° | Commercial blueberry plantation on peatland | |||
| Ušuru Mire | 57.03258°, 26.65852° | Commercial cranberry plantation on peatland |
Publisher’s Note: MDPI stays neutral with regard to jurisdictional claims in published maps and institutional affiliations. |
© 2022 by the authors. Licensee MDPI, Basel, Switzerland. This article is an open access article distributed under the terms and conditions of the Creative Commons Attribution (CC BY) license (https://creativecommons.org/licenses/by/4.0/).
Share and Cite
Bārdule, A.; Gerra-Inohosa, L.; Kļaviņš, I.; Kļaviņa, Z.; Bitenieks, K.; Butlers, A.; Lazdiņš, A.; Lībiete, Z. Variation in the Mercury Concentrations and Greenhouse Gas Emissions of Pristine and Managed Hemiboreal Peatlands. Land 2022, 11, 1414. https://doi.org/10.3390/land11091414
Bārdule A, Gerra-Inohosa L, Kļaviņš I, Kļaviņa Z, Bitenieks K, Butlers A, Lazdiņš A, Lībiete Z. Variation in the Mercury Concentrations and Greenhouse Gas Emissions of Pristine and Managed Hemiboreal Peatlands. Land. 2022; 11(9):1414. https://doi.org/10.3390/land11091414
Chicago/Turabian StyleBārdule, Arta, Linda Gerra-Inohosa, Ivars Kļaviņš, Zane Kļaviņa, Krišs Bitenieks, Aldis Butlers, Andis Lazdiņš, and Zane Lībiete. 2022. "Variation in the Mercury Concentrations and Greenhouse Gas Emissions of Pristine and Managed Hemiboreal Peatlands" Land 11, no. 9: 1414. https://doi.org/10.3390/land11091414
APA StyleBārdule, A., Gerra-Inohosa, L., Kļaviņš, I., Kļaviņa, Z., Bitenieks, K., Butlers, A., Lazdiņš, A., & Lībiete, Z. (2022). Variation in the Mercury Concentrations and Greenhouse Gas Emissions of Pristine and Managed Hemiboreal Peatlands. Land, 11(9), 1414. https://doi.org/10.3390/land11091414

