Rural and Urban Land Tourism and Destination Image: A Dual-Case Study Approach Examining Energy-Saving Behavior and Loyalty
Abstract
:1. Introduction
2. Literature Review and Hypotheses Development
2.1. Cognition-Affect-Behavior Model
2.2. Hypotheses Development
2.2.1. Cognition: Destination Image
2.2.2. Affect: Tourist Satisfaction and Destination Trust
2.2.3. Behavior: Energy-Saving Behavior and Tourist Loyalty
2.3. Conceptual Model
3. Method
3.1. Measurement
3.2. Pretest of the Measurements
3.3. Sample and Data Collection
4. Results
4.1. Common Method Variance Test
4.2. Measurement Model Test
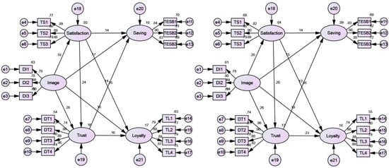
4.3. Structural Model Test
4.4. Cross-Validation Test
5. Conclusions, Contributions and Implications
5.1. Conclusions
5.2. Theoretical Contributions
5.3. Managerial Implications
6. Limitations and Future Research Directions
Author Contributions
Funding
Data Availability Statement
Conflicts of Interest
References
- Chi, X.; Han, H. Emerging rural tourism in China’s current tourism industry and tourist behaviors: The case of Anji County. J. Travel Tour. Mark. 2021, 38, 58–74. [Google Scholar] [CrossRef]
- Rosalina, P.D.; Dupre, K.; Wang, Y. Rural tourism: A systematic literature review on definitions and challenges. J. Hosp. Tour. Manag. 2021, 47, 134–149. [Google Scholar] [CrossRef]
- da Silva Lopes, H.; Remoaldo, P.C.; Ribeiro, V.; Martín-Vide, J. Effects of the COVID-19 pandemic on tourist risk perceptions—the case study of Porto. Sustainability 2021, 13, 6399. [Google Scholar] [CrossRef]
- Mwesiumo, D.; Halfdanarson, J.; Shlopak, M. Navigating the early stages of a large sustainability-oriented rural tourism development project: Lessons from Træna, Norway. Tour. Manag. 2022, 89, 104456. [Google Scholar] [CrossRef]
- Peric, M.; Djurkin, J. Systems thinking and alternative business model for responsible tourist destination. Kybernetes 2014, 43, 480–496. [Google Scholar] [CrossRef]
- Cavalcante, W.Q.d.F.; Coelho, A.; Bairrada, C.M. Sustainability and Tourism Marketing: A Bibliometric Analysis of Publications between 1997 and 2020 Using VOSviewer Software. Sustainability 2021, 13, 4987. [Google Scholar] [CrossRef]
- López-Sanz, J.M.; Penelas-Leguía, A.; Gutiérrez-Rodríguez, P.; Cuesta-Valiño, P. Sustainable Development and Rural Tourism in Depopulated Areas. Land 2021, 10, 985. [Google Scholar] [CrossRef]
- An, W.; Alarcón, S. How Can Rural Tourism Be Sustainable? A Systematic Review. Sustainability 2020, 12, 7758. [Google Scholar] [CrossRef]
- Foroudi, P.; Akarsu, T.N.; Ageeva, E.; Foroudi, M.M.; Dennis, C.; Melewar, T.C. Melewar PROMISING THE DREAM: Changing destination image of London through the effect of website place. J. Bus. Res. 2018, 83, 97–110. [Google Scholar] [CrossRef]
- Kim, S.-K.; Park, J.-A.; Kim, W. The Mediating Effect of Destination Image on the Relationship Between Spectator Satisfaction and Behavioral Intentions at an International Sporting Event. Asia Pac. J. Tour. Res. 2016, 21, 273–292. [Google Scholar] [CrossRef]
- Su, L.; Hsu, M.K.; Swanson, S. Relationship perception on destination loyalty at a world heritage site in China: The mediating role of overall destination satisfaction and trust. J. Hosp. Tour. Res. 2017, 41, 180–210. [Google Scholar] [CrossRef] [Green Version]
- Lee, W.; Jeong, C. Effects of pro-environmental destination image and leisure sports mania on motivation and pro-environmental behavior of visitors to Korea’s national parks. J. Destin. Mark. Manag. 2018, 10, 25–35. [Google Scholar] [CrossRef]
- Zhang, J.; Xie, C.; Morrison, A.M.; Zhang, K. Fostering Resident Pro-Environmental Behavior: The Roles of Destination Image and Confucian Culture. Sustainability 2020, 12, 597. [Google Scholar] [CrossRef] [Green Version]
- Dolnicar, S.; Leisch, F. Selective marketing for environmentally sustainable tourism. Tour. Manag. 2008, 29, 672–680. [Google Scholar] [CrossRef] [Green Version]
- Li, Q.; Wu, M. Tourists’ pro-environmental behaviour in travel destinations: Benchmarking the power of social interaction and individual attitude. J. Sustain. Tour. 2020, 28, 1371–1389. [Google Scholar] [CrossRef]
- Horng, J.-S.; Hu, M.-L.M.; Teng, C.-C.C.; Lin, L. Energy Saving and Carbon Reduction Behaviors in Tourism—A Perception Study of Asian Visitors from a Protection Motivation Theory Perspective. Asia Pac. J. Tour. Res. 2014, 19, 721–735. [Google Scholar] [CrossRef]
- Zhang, C.Y.; Yu, B.; Wang, J.W.; Wei, Y.M. Impact factors of household energy-saving behavior: An empirical study of Shandong Province in China. J. Clean. Prod. 2018, 185, 285–298. [Google Scholar] [CrossRef]
- Laroche, M.; Hui, M.; Zhou, L. A Test of the Effects of Competition on Consumer Brand Selection Processes. J. Bus. Res. 1994, 31, 171–181. [Google Scholar] [CrossRef]
- Rahman, I.; Park, J.; Chi, C.G. Consequences of “greenwashing”: Consumers’ reactions to hotels’ green initiatives. Int. J. Contemp. Hosp. M. 2015, 27, 1054–1081. [Google Scholar] [CrossRef]
- Chen, Q.; Mao, Y.; Morrison, A.M. The Influence of Land Use Evolution on the Visitor Economy in Wuhan from the Perspective of Ecological Service Value. Land 2022, 11, 1. [Google Scholar] [CrossRef]
- Ashworth, G.; Page, S.J. Urban tourism research: Recent progress and current paradoxes. Tour. Manag. 2011, 32, 1–15. [Google Scholar] [CrossRef]
- Füller, H.; Michel, B. ‘Stop Being a Tourist!’ New Dynamics of Urban Tourism in Berlin-Kreuzberg. Int. J. Urban Regional. 2014, 38, 1304–1318. [Google Scholar] [CrossRef]
- Fishbein, M.; Ajzen, I. (Eds.) Predicting and Understanding Consumer Behavior: Attitude-behavior correspondence. In Understanding Attitudes and Predicting Social Behavior; Prentice Hall: Englewood Cliffs, NJ, USA, 1980; pp. 148–172. [Google Scholar]
- Weiner, B. An Attributional Theory of Motivation and Emotion; Springer: New York, NY, USA, 1986. [Google Scholar]
- Dweck, C.S.; Leggett, E.L. A social-cognitive approach to motivation and personality. Psychol. Rev. 1988, 95, 256–273. [Google Scholar] [CrossRef]
- Huang, G.H.; Korfiatis, N.; Chang, C.T. Mobile shopping cart abandonment: The roles of conflicts, ambivalence, and hesitation. J. Bus. Res. 2018, 85, 165–174. [Google Scholar] [CrossRef]
- Poulou, M.; Norwich, B. Cognitive, Emotional and Behavioural Responses to Students with Emotional and Behavioural Difficulties: A model of decision-making. Brit. Educ. Res. J. 2002, 28, 111–138. [Google Scholar] [CrossRef]
- Chen, A.; Lu, Y.; Gupta, S.; Qi, X. Can customer satisfaction and dissatisfaction coexist? An issue of telecommunication service in China. J. Inf. Technol. 2014, 29, 237–252. [Google Scholar] [CrossRef]
- Ribeiro, M.A.; Prayag, G. Perceived quality and service experience: Mediating effects of positive and negative emotions. J. Hosp. Market. Manag. 2019, 28, 285–305. [Google Scholar] [CrossRef] [Green Version]
- Chou, S.-F.; Horng, J.-S.; Liu, C.-H.S.; Lin, J.-Y. Identifying the critical factors of customer behavior: An integration perspective of marketing strategy and components of attitudes. J. Retail. Consum. Serv. 2020, 55, 102113. [Google Scholar] [CrossRef]
- Cheng, X.; Gu, Y.; Mou, J. Interpersonal relationship building in social commerce communities: Considering both swift guanxi and relationship commitment. Electron. Commer. Res. 2020, 20, 53–80. [Google Scholar] [CrossRef]
- Crompton, J.L. An assessment of the image of Mexico as a vacation destination and the influence of geographical location upon that image. J. Travel Res. 1979, 17, 18–23. [Google Scholar] [CrossRef]
- Marine-Roig, E. Measuring Online Destination Image, Satisfaction, and Loyalty: Evidence from Barcelona Districts. Tour. Hosp. 2021, 2, 62–78. [Google Scholar] [CrossRef]
- Echtner, C.M.; Ritchie, J.R.B. The Measurement of Destination Image: An Empirical Assessment. J. Travel Res. 1993, 31, 3–13. [Google Scholar] [CrossRef]
- Pereira, M.L.; Anjos, F.A.; Añaña, E.S.; Weismayer, C. Modelling the overall image of coastal tourism destinations through personal values of tourists: A robust regression approach. J. Outdoor Rec. Tour. 2021, 35, 100412. [Google Scholar] [CrossRef]
- Zhang, H.; Fu, X.; Cai, L.A.; Lu, L. Destination image and tourist loyalty: A meta-analysis. Tour. Manag. 2014, 40, 213–223. [Google Scholar] [CrossRef]
- Afshardoost, M.; Eshaghi, M.S. Destination image and tourist behavioural intentions: A meta-analysis. Tour. Manag. 2020, 81, 104154. [Google Scholar] [CrossRef]
- Prayag, G.; Hosany, S.; Muskat, B.; Chiappa, G.D. Understanding the Relationships between Tourists’ Emotional Experiences, Perceived Overall Image, Satisfaction, and Intention to Recommend. J. Travel Res. 2015, 56, 41–54. [Google Scholar] [CrossRef] [Green Version]
- Marine-Roig, E. Destination Image Analytics Through Traveller-Generated Content. Sustainability 2019, 11, 3392. [Google Scholar] [CrossRef] [Green Version]
- Souiden, N.; Ladhar, R.; Chiadmi, N.E. Destination personality and destination image. J. Hosp. Tour. Manag. 2017, 32, 54–70. [Google Scholar] [CrossRef]
- Li, T.T.; Liu, F.; Soutar, G.F. Experiences, post-trip destination image, satisfaction and loyalty: A study in an ecotourism context. J. Destin. Mark. Manag. 2021, 19, 100547. [Google Scholar] [CrossRef]
- Park, S.H.; Hsieh, C.-M.; Lee, C.-K. Examining Chinese College Students’ Intention to Travel to Japan Using the Extended Theory of Planned Behavior: Testing Destination Image and the Mediating Role of Travel Constraints. J. Travel Tour. Mark. 2017, 34, 113–131. [Google Scholar] [CrossRef]
- VG, G.; Park, E. Testing the influence of destination source credibility, destination image, and destination fascination on the decision-making process: Case of the Cayman Islands. Int. J. Tour. Res. 2020, 23, 569–580. [Google Scholar]
- Choi, S.; Lehto, X.Y.; Morrison, A.M. Destination image representation on the web: Content analysis of Macau travel related websites. Tour. Manag. 2007, 28, 118–129. [Google Scholar] [CrossRef]
- Chen, C.-F.; Phou, S. A closer look at destination: Image, personality, relationship and loyalty. Tour. Manag. 2013, 36, 269–278. [Google Scholar] [CrossRef]
- Sheth, J.N.; Parvatiyar, A. The evolution of relationship marketing. Int. Bus. Rev. 1995, 4, 397–418. [Google Scholar] [CrossRef]
- Alves, H.; Campón-Cerro, A.M.; Hernández-Mogollón, J.M. Enhancing rural destinations’ loyalty through relationship quality. Span. J. Mark. ESIC 2019, 23, 185–204. [Google Scholar] [CrossRef] [Green Version]
- Su, L.; Wang, L.; Law, R.; Chen, X.; Fong, D. Influences of destination social responsibility on the relationship quality with residents and destination economic performance. J. Travel. Tour. Mark. 2017, 34, 488–502. [Google Scholar] [CrossRef]
- Lam, I.K.V.; Wong, I.A. The role of relationship quality and loyalty program in tourism shopping: A multilevel investigation. J. Travel. Tour. Mark. 2020, 37, 92–111. [Google Scholar] [CrossRef]
- Dorsch, M.J.; Swanson, S.R.; Kelley, S.W. The role of relationship quality in the stratification of vendors as perceived by customers. J. Acad. Market. Sci. 1998, 26, 128–142. [Google Scholar] [CrossRef]
- Wu, H.-C.; Cheng, C.-C. Relationships between technology attachment, experiential relationship quality, experiential risk and experiential sharing intentions in a smart hotel. J. Hosp. Tour. Manag. 2018, 37, 42–58. [Google Scholar] [CrossRef]
- Kozak, M.; Rimmington, M. Tourist Satisfaction with Mallorca, Spain, as an Off-Season Holiday Destination. J. Travel Res. 2000, 38, 260–269. [Google Scholar] [CrossRef]
- Beard, J.G.; Ragheb, M.G. Measuring leisure satisfaction. J. Leis. Res. 1980, 12, 20–33. [Google Scholar] [CrossRef]
- Su, L.; Lian, Q.; Huang, Y. How do tourists’ attribution of destination social responsibility motives impact trust and intention to visit? The moderating role of destination reputation. Tour. Manag. 2020, 77, 103970. [Google Scholar] [CrossRef]
- Chi, C.G.-Q.; Wen, B.; Zhe, O. Developing relationship quality in economy hotels: The role of perceived justice, service quality, and commercial friendship. J. Hosp. Market. Manag. 2020, 29, 1027–1051. [Google Scholar] [CrossRef]
- Ravald, A.; Grönroos, C. The value concept and relationship marketing. Eur. J. Mark. 1996, 30, 19–30. [Google Scholar] [CrossRef]
- Loureiro, S.M.C.; González, F.J.M. The Importance of Quality, Satisfaction, Trust, and Image in Relation to Rural Tourist Loyalty. J. Travel Tour. Mark. 2008, 25, 117–136. [Google Scholar] [CrossRef]
- Song, Z.; Daryanto, A.; Soopramanien, D. Place attachment, trust and mobility: Three-way interaction effect on urban residents’ environmental citizenship behaviour. J. Bus. Res. 2019, 105, 168–177. [Google Scholar] [CrossRef]
- Ramkissoon, H.; Mavondo, F.T. Pro-environmental behavior: Critical link between satisfaction and place attachment in Australia and Canada. Tour. Anal. 2017, 22, 59–73. [Google Scholar] [CrossRef] [Green Version]
- Rizzi, F.; Annunziata, E.; Contini, M.; Frey, M. On the effect of exposure to information and self-benefit appeals on consumer’s intention to perform pro-environmental behaviours: A focus on energy conservation behaviours. J. Clean. Prod. 2020, 270, 122039. [Google Scholar] [CrossRef]
- Wang, Q.C.; Chang, R.; Xu, Q.; Liu, X.; Jian, I.Y.; Ma, T.M.; Wang, Y.X. The impact of personality traits on household energy conservation behavioral intentions—An empirical study based on theory of planned behavior in Xi’an. Sustain. Energy Technol. 2021, 43, 100949. [Google Scholar] [CrossRef]
- Xu, X.; Xiao, B.; Li, C.Y. Analysis of critical factors and their interactions influencing individual’s energy conservation behavior in the workplace: A case study in China. J. Clean. Prod. 2021, 286, 124955. [Google Scholar] [CrossRef]
- Wang, Q.-C.; Xie, K.-X.; Liu, X.; Shen, G.Q.P.; Wei, H.-H.; Liu, T.-Y. Psychological Drivers of Hotel Guests’ Energy-Saving Behaviours—Empirical Research Based on the Extended Theory of Planned Behaviour. Buildings 2021, 11, 401. [Google Scholar] [CrossRef]
- Du, J.; Pan, W. Examining energy saving behaviors in student dormitories using an expanded theory of planned behavior. Habitat. Int. 2021, 107, 102308. [Google Scholar] [CrossRef]
- Zhu, J.; Zhao, X.; Zhu, T.; Li, L. Which factors determine students’ water-saving behaviors? Evidence from China colleges. Urban Water J. 2021, 18, 860–872. [Google Scholar] [CrossRef]
- Mardani, A.; Zavadskas, E.K.; Streimikiene, D.; Jusoh, A.; Nor, K.M.D.; Khoshnoudi, M. Using fuzzy multiple criteria decision-making approaches for evaluating energy saving technologies and solutions in five star hotels: A new hierarchical framework. Energy 2016, 117, 131–148. [Google Scholar] [CrossRef]
- Shaykh-Baygloo, R. A multifaceted study of place attachment and its influences on civic involvement and place loyalty in Baarestan new town, Iran. Cities 2020, 96, 102473. [Google Scholar] [CrossRef]
- Mirzaalian, F.; Halpenny, E. Exploring destination loyalty: Application of social media analytics in a nature-based tourism setting. J. Destin. Mark. Manag. 2021, 20, 100598. [Google Scholar] [CrossRef]
- Sirgy, J.M.; Su, C. Destination Image, Self-Congruity, and Travel Behavior: Toward an Integrative Model. J. Travel Res. 2000, 38, 340–352. [Google Scholar] [CrossRef]
- Chaulagain, S.; Wiitala, J.; Fu, X. The impact of country image and destination image on US tourists’ travel intention. J. Destin. Mark. Manag. 2019, 12, 1–11. [Google Scholar] [CrossRef]
- Chiu, Y.-T.H.; Lee, W.-I.; Chen, T.-H. Environmentally Responsible Behavior in Ecotourism: Exploring the Role of Destination Image and Value Perception. Asia Pac. J. Tour. Res. 2014, 19, 876–889. [Google Scholar] [CrossRef]
- Fu, L.; Sun, Z.; Zha, L.; Liu, F.; He, L.; Sun, X.; Jing, X. Environmental Awareness and Pro-environmental Behavior within China’s Road Freight Transportation Industry: Moderating Role of Perceived Policy Effectiveness. J. Clean. Prod. 2020, 252, 119796. [Google Scholar] [CrossRef]
- Nguyen, N.; Leblanc, G. Corporate image and corporate reputation in customers’ retention decisions in services. J. Retail Consum. Serv. 2001, 8, 227–236. [Google Scholar] [CrossRef]
- Kim, K.-H.; Park, D.-B. Relationships among Perceived Value, Satisfaction, and Loyalty: Community-Based Eco tourism in Korea. J. Travel Tour. Mark. 2017, 34, 171–191. [Google Scholar] [CrossRef]
- Wu, H.-C.; Cheng, C.-C.; Ai, C.-H. A study of experiential quality, experiential value, trust, corporate reputation, experiential satisfaction and behavioral intentions for cruise tourists: The case of Hong Kong. Tour. Manag. 2018, 66, 200–220. [Google Scholar] [CrossRef]
- Han, H.; Lee, M.J.; Kim, W. Role of shopping quality, hedonic/utilitarian shopping experiences, trust, satisfaction and perceived barriers in triggering customer post-purchase intentions at airports. Int. J. Contemp. Hosp. Manag. 2018, 30, 3059–3082. [Google Scholar] [CrossRef]
- Lopes, J.R.N.; de Araújo Kalid, R.; Rodrígueza, J.L.M.; Filho, S.A. A new model for assessing industrial worker behavior regarding energy saving considering the theory of planned behavior, norm activation model and human reliability. Resour. Conserv. Recycl. 2019, 145, 268–278. [Google Scholar] [CrossRef]
- Lee, Y.-K.; Lee, C.-K.; Choi, J.; Yoon, S.-M.; Hart, R.J. Tourism’s role in urban regeneration: Examining the impact of environmental cues on emotion, satisfaction, loyalty, and support for Seoul’s revitalized Cheonggyecheon stream district. J. Sustain. Tour. 2014, 22, 726–749. [Google Scholar] [CrossRef]
- Lee, Y.-K. Impact of government policy and environment quality on visitor loyalty to Taiwan music festivals: Moderating effects of revisit reason and occupation type. Tour. Manag. 2016, 53, 187–196. [Google Scholar] [CrossRef]
- Anji County. Available online: http://www.huzhou.gov.cn/art/2013/1/7/art_1229213980_54840421.html (accessed on 8 December 2021).
- Anji Yucun Village: Being “Green, Rich, and Beautiful” Thanks to the “Two Mountains” Concept. Available online: https://www.mct.gov.cn/whzx/qgwhxxlb/zj/202004/t20200410_852414.htm (accessed on 8 December 2021).
- Unwto Announces List of Best Tourism Villages. 2021. Available online: https://www.unwto.org/news/unwto-announces-list-of-best-tourism-villages-2021 (accessed on 8 December 2021).
- Kline, R.B. Principles and Practice of Structural Equation Modeling; Guilford: New York, NY, USA, 1998. [Google Scholar]
- He, M.; Liu, B.; Li, Y. Tourist Inspiration: How the Wellness Tourism Experience Inspires Tourist Engagement. J. Hosp. Tour. Res. 2021. [Google Scholar] [CrossRef]
- Podsakoff, P.M.; Organ, D.W. Self-reports in organizational research: Problems and prospects. J. Manag. 1986, 12, 531–544. [Google Scholar] [CrossRef]
- Anderson, J.C.; Gerbing, D.W. Structural equation modeling in practice: A review and recommended two-step approach. Psychol. Bull 1988, 103, 411–423. [Google Scholar] [CrossRef]
- Nunnally, J.C. Psychometric Theory; McGraw-Hill: New York, NY, USA, 1978. [Google Scholar]
- Hair, J.F.; Black, W.C.; Babin, B.J.; Anderson, R.E. Multivariate Data Analysis, 7th ed.; Prentice Hall: New York, NY, USA, 2009. [Google Scholar]
- Fornell, C.; Larcker, D.F. Evaluating structural equation models with unobservable variables and measurement error. J. Mark. Res. 1981, 18, 39–50. [Google Scholar] [CrossRef]
- Iniesta-Bonillo, M.A.; Sánchez-Fernández, R.; Jiménez-Castillo, D. Sustainability, value, and satisfaction: Model testing and cross-validation in tourist destinations. J. Bus. Res. 2016, 69, 5002–5007. [Google Scholar] [CrossRef]
- Honorary Titles. Available online: http://eng.hangzhou.gov.cn/art/2021/5/31/art_1229498050_58875569.html (accessed on 23 December 2021).
- General Survey of West Lake. Available online: http://westlake.hangzhou.gov.cn/col/col1629172/index.html (accessed on 23 December 2021).
- Su, L.; Swanson, S.R. The effect of destination social responsibility on tourist environmentally responsible behavior: Compared analysis of first-time and repeat tourists. Tour. Manag. 2017, 60, 308–321. [Google Scholar] [CrossRef]
- Becken, S.; Simmons, D.G.; Frampton, C. Energy use associated with different travel choices. Tour. Manag. 2003, 24, 267–277. [Google Scholar] [CrossRef]
- Li, Y.; Filimonau, V.; Wang, L.; Cheng, S. Tourist food consumption and its arable land requirements in a popular tourist destination. Resour. Conserv. Recycl. 2020, 153, 104587. [Google Scholar] [CrossRef]
- He, L.; Zha, J.; Loo, H.A. How to improve tourism energy efficiency to achieve sustainable tourism: Evidence from China. Curr. Issues Tour. 2020, 23, 1–16. [Google Scholar] [CrossRef]
- Li, Y.; Fang, S.; Huan, T.-C.T. Consumer response to discontinuation of corporate social responsibility activities of hotels. Int. J. Hosp. Manag. 2017, 64, 41–50. [Google Scholar] [CrossRef]
- Ramkissoon, H.; Mavondo, F.T. The satisfaction–place attachment relationship: Potential mediators and moderators. J. Bus. Res. 2021, 68, 2593–2602. [Google Scholar] [CrossRef]
- Wu, M.-Y.; Wu, X.; Li, Q.-C.; Tong, Y. Community citizenship behavior in rural tourism destinations: Scale development and validation. Tour. Manag. 2022, 89, 104457. [Google Scholar] [CrossRef]



| Construct | Item | Item Label | Source |
|---|---|---|---|
| Destination image | I have a good impression of X/Y. | DI1 | Nguyen and Leblanc (2001) [73] |
| In my opinion, X/Y has a good image in the minds of tourists. | DI2 | ||
| I believe that X/Y has a better image than its competitors. | DI3 | ||
| Tourist satisfaction | Compared to my expectations, I am satisfied with my visit to X/Y. | TS1 | Kim and Park (2017) [74] |
| I am satisfied with my visit to X/Y, considering the invested time and effort I spent on it. | TS2 | ||
| Overall, I am satisfied with my visit to X/Y. | TS3 | ||
| Destination trust | I trust X/Y. | DT1 | Wu et al. (2018); Han et al. (2018) [75,76] |
| X/Y takes care of my needs as a tourist. | DT2 | ||
| I have confidence in X/Y. | DT3 | ||
| X/Y is reliable. | DT4 | ||
| Tourist energy-saving behavior | I saved energy at X/Y. | TESB 1 | Lopes et al. (2019) [77] |
| Saving energy inputs during travel at X/Y is a natural behavior for me. | TESB 2 | ||
| I have implemented procedures to save energy at X/Y. | TESB 3 | ||
| Tourist loyalty | I will recommend X/Y to my friends and relatives. | TL1 | Lee et al. (2014); Lee (2016) [78,79] |
| I will revisit X/Y again in the future. | TL2 | ||
| I will say positive things about X/Y to other people. | TL3 | ||
| I will keep visiting X/Y in the future. | TL4 |
| Case1 (Rural Destination) | Case2 (Urban Destination) | |||||||
|---|---|---|---|---|---|---|---|---|
| Construct | Loading | T-Values | CR | AVE | Loading | T-Values | CR | AVE |
| DI | 0.884 | 0.717 | 0.878 | 0.706 | ||||
| DI1 | 0.793 | 17.742 | 0.779 | 16.826 | ||||
| DI2 | 0.882 | 19.663 | 0.893 | 18.86 | ||||
| DI3 | 0.863 | - | 0.845 | - | ||||
| TS | 0.915 | 0.783 | 0.902 | 0.755 | ||||
| TS1 | 0.878 | 22.703 | 0.823 | 19.931 | ||||
| TS2 | 0.894 | 23.282 | 0.896 | 22.142 | ||||
| TS3 | 0.882 | - | 0.886 | - | ||||
| DT | 0.908 | 0.713 | 0.924 | 0.752 | ||||
| DT1 | 0.737 | 16.613 | 0.862 | 19.924 | ||||
| DT2 | 0.88 | 21.989 | 0.902 | 21.267 | ||||
| DT3 | 0.893 | 22.502 | 0.881 | 20.581 | ||||
| DT4 | 0.859 | 0.821 | - | |||||
| TESB | 0.893 | 0.737 | 0.897 | 0.744 | ||||
| TESB1 | 0.839 | 18.774 | 0.831 | 19.045 | ||||
| TESB2 | 0.902 | 19.898 | 0.905 | 20.6 | ||||
| TESB3 | 0.832 | - | 0.849 | - | ||||
| TL | 0.917 | 0.734 | 0.916 | 0.733 | ||||
| TL1 | 0.794 | 18.88 | 0.743 | 17.587 | ||||
| TL2 | 0.875 | 22.259 | 0.896 | 24.724 | ||||
| TL3 | 0.889 | 22.819 | 0.883 | 24.052 | ||||
| TL4 | 0.866 | - | 0.892 | - | ||||
| Construct | Case1 (Rural Destination) | Case2 (Urban Destination) | ||||||||
|---|---|---|---|---|---|---|---|---|---|---|
| DI | TS | DT | TESB | TL | DI | TS | DT | TESB | TL | |
| DI | [0.847] | [0.840] | ||||||||
| TS | 0.176 | [0.885] | 0.202 | [0.869] | ||||||
| DT | 0.319 | 0.285 | [0.844] | 0.306 | 0.258 | [0.867] | ||||
| TESB | 0.237 | 0.204 | 0.228 | [0.858] | 0.215 | 0.199 | 0.213 | [0.863] | ||
| TL | 0.258 | 0.321 | 0.285 | 0.244 | [0.857] | 0.292 | 0.259 | 0.333 | 0.232 | [0.856] |
| Hypotheses | Path | Case1 (Rural Destination) | Case2 (Urban Destination) | ||||
|---|---|---|---|---|---|---|---|
| Standardized Coefficient | T-Value | Results | Standardized Coefficient | T-Value | Results | ||
| H1 | DI→TS | 0.176 ** | 3.078 | Supported | 0.202 *** | 3.501 | Supported |
| H2 | DI→DT | 0.277 *** | 4.978 | Supported | 0.264 *** | 4.65 | Supported |
| H3 | TS→DT | 0.237 *** | 4.344 | Supported | 0.205 *** | 3.684 | Supported |
| H4 | TS→TESB | 0.138 * | 2.379 | Supported | 0.136 * | 2.329 | Supported |
| H5 | DT→TESB | 0.136 * | 2.242 | Supported | 0.135 * | 2.253 | Supported |
| H6 | TS→TL | 0.247 *** | 4.425 | Supported | 0.162 ** | 2.926 | Supported |
| H7 | DT→TL | 0.164 ** | 2.828 | Supported | 0.235 *** | 4.109 | Supported |
| H8 | DI→TESB | 0.173 ** | 2.884 | Supported | 0.149 * | 2.473 | Supported |
| H9 | DI→TL | 0.164 ** | 2.882 | Supported | 0.19 *** | 3.332 | Supported |
| Mediating Hypothesized Path | Case1 (Rural Destination) | Case2 (Urban Destination) | ||||||||
|---|---|---|---|---|---|---|---|---|---|---|
| Indirect Effects | Lower | Upper | p-Value | Results | Indirect Effects | Lower | Upper | p-Value | Results | |
| DI→TS→TESB | 0.021 | 0 | 0.072 | 0.045 | Supported | 0.024 | 0.003 | 0.064 | 0.02 | Supported |
| DI→TS→DT→TESB | 0.005 | 0 | 0.018 | 0.031 | Supported | 0.005 | 0.001 | 0.018 | 0.02 | Supported |
| DI→DT→TESB | 0.033 | 0.005 | 0.071 | 0.019 | Supported | 0.032 | 0.004 | 0.08 | 0.024 | Supported |
| DI→TS→TL | 0.041 | 0.003 | 0.118 | 0.031 | Supported | 0.032 | 0.008 | 0.072 | 0.009 | Supported |
| DI→TS→DT→TL | 0.006 | 0.001 | 0.019 | 0.022 | Supported | 0.01 | 0.003 | 0.024 | 0.001 | Supported |
| DI→DT→TL | 0.043 | 0.015 | 0.085 | 0.003 | Supported | 0.061 | 0.026 | 0.115 | 0 | Supported |
| Model | χ2/df | RMR | RMSEA | GFI | NFI | IFI | TLI | CFI |
|---|---|---|---|---|---|---|---|---|
| Unconstrained | 1.969 | 0.015 | 0.036 | 0.934 | 0.952 | 0.976 | 0.97 | 0.976 |
| Measurement weights | 1.919 | 0.015 | 0.035 | 0.933 | 0.951 | 0.976 | 0.971 | 0.976 |
| Structural weights | 1.854 | 0.016 | 0.034 | 0.932 | 0.95 | 0.977 | 0.973 | 0.976 |
| Structural covariances | 1.847 | 0.016 | 0.034 | 0.932 | 0.95 | 0.977 | 0.974 | 0.977 |
| Structural residuals | 1.829 | 0.017 | 0.033 | 0.932 | 0.95 | 0.977 | 0.974 | 0.977 |
| Measurement residuals | 1.798 | 0.017 | 0.033 | 0.929 | 0.948 | 0.976 | 0.975 | 0.976 |
| Model | DF | χ2 | p | NFI Delta-1 | IFI Delta-2 | RFI Rho-1 | TLI Rho-2 |
|---|---|---|---|---|---|---|---|
| Measurement weights | 12 | 12.116 | 0.436 | 0.001 | 0.001 | −0.001 | −0.002 |
| Structural weights | 21 | 13.753 | 0.88 | 0.002 | 0.002 | −0.003 | −0.004 |
| Structural covariances | 22 | 13.768 | 0.91 | 0.002 | 0.002 | −0.004 | −0.004 |
| Structural residuals | 26 | 16.754 | 0.916 | 0.002 | 0.002 | −0.004 | −0.004 |
| Measurement residuals | 43 | 39.629 | 0.618 | 0.004 | 0.005 | −0.005 | −0.005 |
Publisher’s Note: MDPI stays neutral with regard to jurisdictional claims in published maps and institutional affiliations. |
© 2022 by the authors. Licensee MDPI, Basel, Switzerland. This article is an open access article distributed under the terms and conditions of the Creative Commons Attribution (CC BY) license (https://creativecommons.org/licenses/by/4.0/).
Share and Cite
Zheng, W.; Qiu, H.; Morrison, A.M.; Wei, W.; Zhang, X. Rural and Urban Land Tourism and Destination Image: A Dual-Case Study Approach Examining Energy-Saving Behavior and Loyalty. Land 2022, 11, 146. https://doi.org/10.3390/land11020146
Zheng W, Qiu H, Morrison AM, Wei W, Zhang X. Rural and Urban Land Tourism and Destination Image: A Dual-Case Study Approach Examining Energy-Saving Behavior and Loyalty. Land. 2022; 11(2):146. https://doi.org/10.3390/land11020146
Chicago/Turabian StyleZheng, Wei, Hongliang Qiu, Alastair M. Morrison, Wei Wei, and Xihua Zhang. 2022. "Rural and Urban Land Tourism and Destination Image: A Dual-Case Study Approach Examining Energy-Saving Behavior and Loyalty" Land 11, no. 2: 146. https://doi.org/10.3390/land11020146
APA StyleZheng, W., Qiu, H., Morrison, A. M., Wei, W., & Zhang, X. (2022). Rural and Urban Land Tourism and Destination Image: A Dual-Case Study Approach Examining Energy-Saving Behavior and Loyalty. Land, 11(2), 146. https://doi.org/10.3390/land11020146

