African Forest-Fringe Farmers Benefit from Modern Farming Practices despite High Environmental Impacts
Abstract
:1. Introduction
2. Materials and Methods
2.1. Multi-Criteria Analytical Approach to Agricultural Sustainability: A Brief Review
2.2. Methodology Overview
2.2.1. Study Area and Stakeholder Groups
2.2.2. Data Collection and Analysis Techniques
3. Results
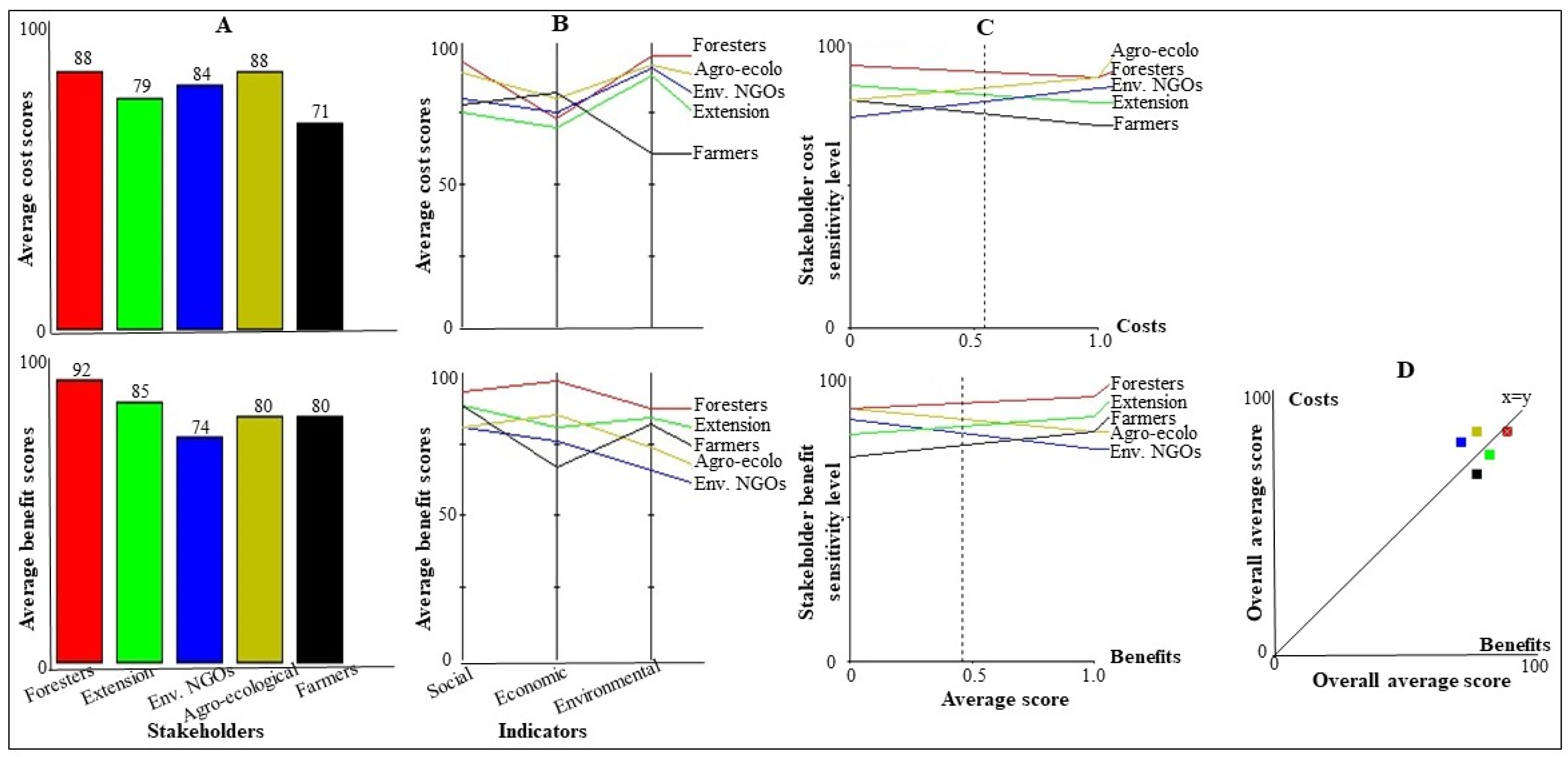
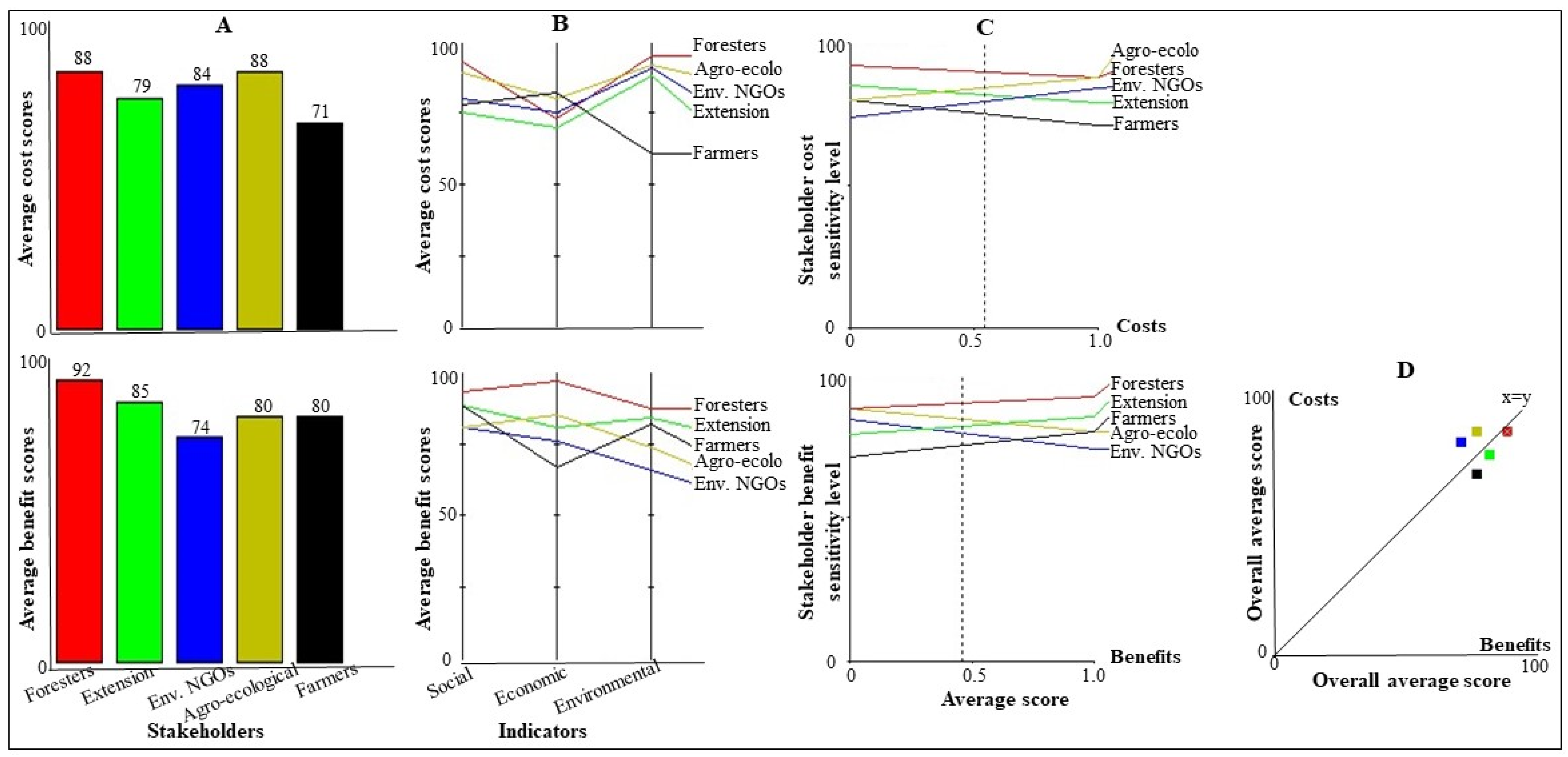
3.1. Costs and Benefits of Modern and Mixed-Input Farming Systems
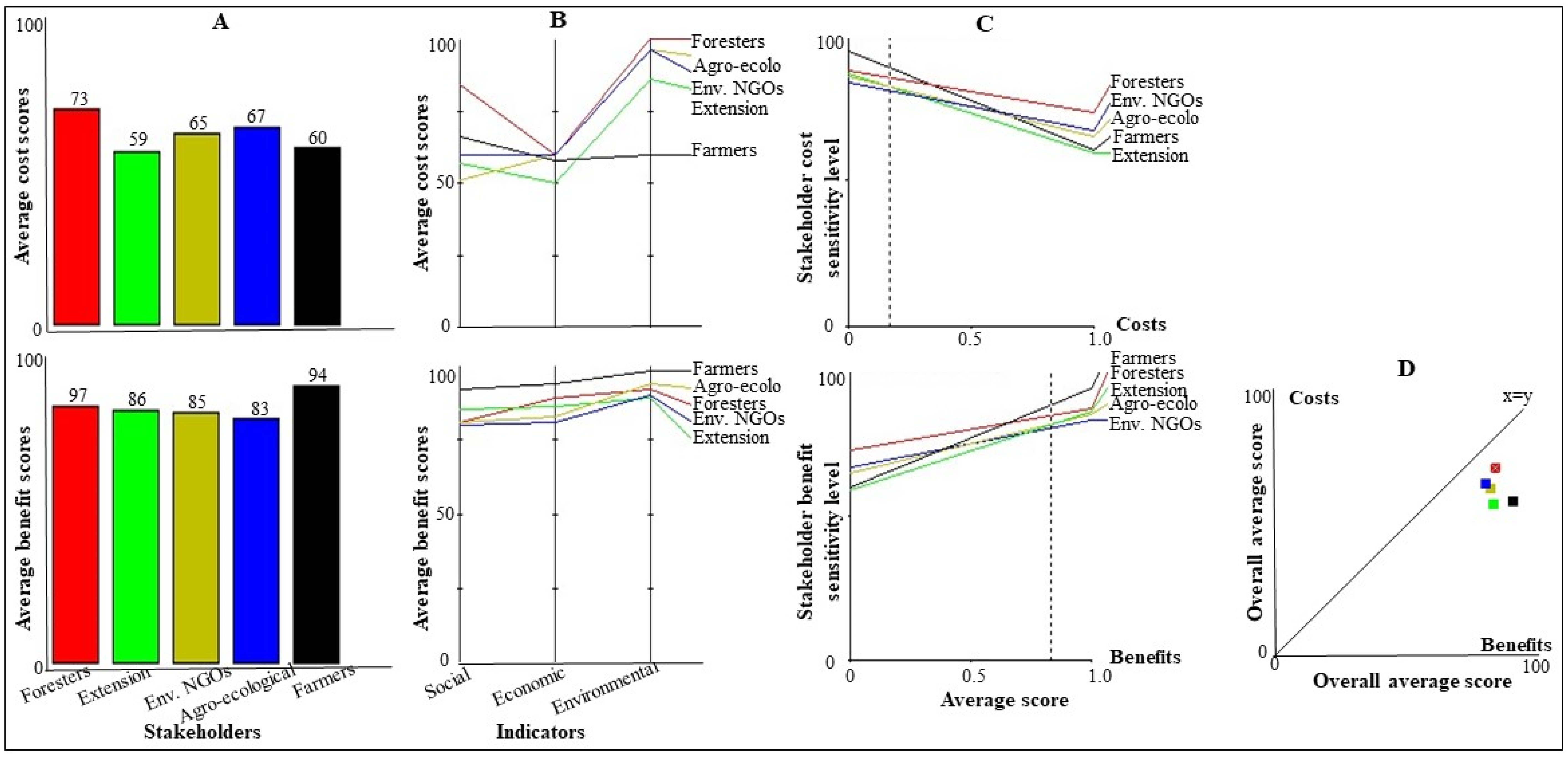
3.2. Costs and Benefits of Traditional Farming
3.3. Improving the Sustainability of Agricultural Sytems within Forest Landscapes
4. Discussion
4.1. Improving Farm Productivity with Reduced Chemical Contamination in Forest Frontiers
4.2. Applications for Rural Conservation
5. Conclusions
Author Contributions
Funding
Data Availability Statement
Acknowledgments
Conflicts of Interest
Appendix A
| Components | Indicators | Criteria | Definition of Criteria | Stakeholders’ Scores for Cost Components | ||||
|---|---|---|---|---|---|---|---|---|
| Foresters | Ext. Agents | Env. NGOs | Agro-Eco. Researchers | Farmers | ||||
| Social costs | Human health | Infection | Infection from chemicals use | 93 | 84 | 92 | 83 | 53 |
| Societal rejection | Rejection | Rejection of chemicals use | 90 | 36 | 44 | 27 | 30 | |
| Application | High skill | High skills requirement | 77 | 48 | 44 | 37 | 84 | |
| Economic costs | Inputs | Herbicides, pesticides, fertilizers, improved seeds | Quantity/cost of pesticides and herbicides | 77 | 72 | 92 | 80 | 90 |
| Quantity/cost of fertilizers | 80 | 88 | 92 | 83 | 100 | |||
| Quantity/cost of improved seeds | 80 | 72 | 76 | 87 | 76 | |||
| Number | Farm labour hired | 92 | 52 | 68 | 57 | 64 | ||
| Frequency | Frequency of hired labour | 67 | 55 | 52 | 60 | 70 | ||
| Environmental costs | Pollution | Land | Land pollution from chemicals | 97 | 72 | 92 | 97 | 76 |
| Water | Water pollution from chemicals | 100 | 92 | 100 | 97 | 76 | ||
| Plant health | Crops | Negative effects of chemicals on crops | 100 | 100 | 96 | 100 | 50 | |
| Tree species | Negative effects of chemicals on trees | 100 | 68 | 96 | 90 | 46 | ||
| Living organisms | Extinct | Extinction from pesticides | 100 | 100 | 100 | 97 | 47 | |
| Stakeholders’ Scores for Benefit Components | ||||||||
| Foresters | Ext. Agents | Env. NGOs | Agro-Eco. Researchers | Farmers | ||||
| Social benefits | Food health | Nutrition | Nutrition from improved seed | 80 | 88 | 72 | 100 | 84 |
| Happiness | Reduced poverty, food security | Reduced poverty and increased food security | 87 | 76 | 76 | 90 | 89 | |
| Improved seeds | Society accepts improved seeds | 80 | 92 | 88 | 80 | 100 | ||
| Economic benefits | Output | Yield, quantity | Improved yield and increased quantity | 83 | 92 | 92 | 90 | 96 |
| Profitability | Early maturity, high price | Early maturity with associated high price | 93 | 88 | 72 | 77 | 98 | |
| Crop survival | Survival, resistance | High survival rate and resistance | 97 | 88 | 88 | 97 | 100 | |
| Environmental benefits | Soil | Fertile | Fertile soil through fertilization | 90 | 92 | 92 | 90 | 98 |
| Forest | Less encroached, stable | Less encroachment and stable forest | 63 | 60 | 44 | 60 | 96 | |
| Components | Indicators | Criteria | Definition of Criteria | Stakeholders’ Scores for Cost Components | ||||
|---|---|---|---|---|---|---|---|---|
| Foresters | Ext. Agents | Env. NGOs | Agro-Eco. Researchers | Farmers | ||||
| Social costs | Human health | Pesticides, herbicides | Infection from chemicals use | 93 | 84 | 92 | 83 | 53 |
| Societal rejection | Rejection | Rejection of chemicals use | 90 | 36 | 44 | 27 | 30 | |
| Application | High skill | High skills requirement | 77 | 44 | 44 | 37 | 84 | |
| Economic costs | Inputs | Pesticides, herbicides, fertilizers, manure/mulch, improved seeds | Quantity/cost of pesticides and herbicides | 77 | 72 | 92 | 80 | 90 |
| Quantity/cost of fertilizers | 80 | 88 | 92 | 83 | 100 | |||
| Quantity/cost of manure | 20 | 20 | 27 | 28 | 20 | |||
| Quantity/cost of improved seeds | 80 | 72 | 76 | 87 | 76 | |||
| Number | Farm labour hired | 92 | 52 | 60 | 57 | 64 | ||
| Frequency | Frequency of hired labour | 67 | 44 | 64 | 57 | 70 | ||
| Environmental costs | Pollution | Land | Land pollution from chemicals | 100 | 72 | 92 | 97 | 76 |
| Water | Water pollution from chemicals | 100 | 92 | 100 | 97 | 76 | ||
| Plant health | Crops | Negative effects of chemicals on crops | 100 | 100 | 92 | 100 | 50 | |
| Tree species | Negative effects of chemicals on trees | 100 | 68 | 96 | 90 | 46 | ||
| Living organisms | Extinct | extinction from pesticides | 100 | 100 | 100 | 97 | 47 | |
| Stakeholders’ Scores for Benefit Components | ||||||||
| Foresters | Ext. Agents | Env. NGOs | Agro-Eco. Researchers | Farmers | ||||
| Social benefits | Food health | Nutrition | Nutrition from improved seed | 80 | 88 | 72 | 100 | 84 |
| Happiness | Reduced poverty, food security | Reduced poverty and increased food security | 87 | 76 | 76 | 90 | 91 | |
| Societal acceptance | Crop rotation, manure/mulch, improved seeds | Society accepts crop rotation, manure usage, and improved seeds | 80 | 92 | 88 | 73 | 100 | |
| Application | Easy | Easy to apply manure and crop rotation | 67 | 80 | 64 | 70 | 74 | |
| Economic benefits | Output | Yield, quantity | Improved yield and increased quantity | 83 | 88 | 88 | 90 | 96 |
| Profitability | Early maturity, high price | Early maturity with associated high price | 93 | 88 | 72 | 77 | 98 | |
| Inputs | Cheap | Manure/Mulch is cheap | 77 | 76 | 80 | 67 | 75 | |
| Crop survival | Survival, resistance | High survival rate and resistance | 97 | 88 | 88 | 97 | 100 | |
| Environmental benefits | Soil | Fertile | Fertile soil through fertilizer and manure | 90 | 92 | 92 | 93 | 98 |
| Moist, conserved | Moist and conserved soil through manure | 97 | 92 | 96 | 100 | 98 | ||
| Forest | Less encroached, stable | Less encroachment and stable forest | 63 | 60 | 44 | 60 | 96 | |
| Components | Indicators | Criteria | Definition of Criteria | Stakeholders’ Scores for Cost Components | ||||
|---|---|---|---|---|---|---|---|---|
| Foresters | Ext. Agents | Env. NGOs | Agro-Eco. Researchers | Farmers | ||||
| Social costs | Human health | Injury | Injury from manual work | 92 | 72 | 72 | 87 | 82 |
| Burn | Burns from fire | 90 | 76 | 84 | 90 | 90 | ||
| Risky | Risk of fire outbreak | 97 | 76 | 84 | 90 | 62 | ||
| Economic costs | Labour | Number | Farm labour hired | 90 | 84 | 88 | 93 | 78 |
| Frequency | Frequency of hired labour | 87 | 80 | 88 | 87 | 80 | ||
| Crops | Delayed | Delayed maturity of crops | 63 | 48 | 64 | 60 | 88 | |
| Survival | Low survival of crops due to no use of chemicals | 50 | 68 | 60 | 83 | 84 | ||
| Environmental costs | Fire | Soil | Soil burns from frequent fire | 97 | 92 | 88 | 90 | 46 |
| Forest | Forest burns from frequent fire | 97 | 88 | 96 | 97 | 30 | ||
| Life | Animal death through fire | 97 | 92 | 88 | 90 | 72 | ||
| Other farms | Fire outbreak into other farms | 97 | 88 | 96 | 97 | 52 | ||
| Air | Air pollution from fire | 97 | 88 | 92 | 100 | 68 | ||
| Forest | Fragmentation | Fragmentation through slash-and-burn | 83 | 80 | 88 | 80 | 96 | |
| Stakeholders’ Scores for Benefit Components | ||||||||
| Foresters | Ext. Agents | Env. NGOs | Agro-Eco. Researchers | Farmers | ||||
| Social benefits | Food health | Organic food | Nutrition from organic food | 97 | 92 | 84 | 83 | 100 |
| Low infection | Low infection due to no chemical use | 97 | 92 | 84 | 83 | 100 | ||
| Societal acceptance | Acceptance | Society accepts organic farming | 83 | 84 | 72 | 77 | 78 | |
| Food security | Food security through increased output from good maintenance of farms | 93 | 84 | 84 | 83 | 74 | ||
| Economic benefits | Output | Yield, income | Increased yield and income through good maintenance | 97 | 88 | 88 | 87 | 76 |
| Long life | Long shelf life for organic foods | 97 | 70 | 60 | 80 | 50 | ||
| Environmental benefits | Soil | Conservation | Soil composition not disrupted with chemicals | 87 | 76 | 72 | 80 | 84 |
| Fertility | Natural soil fertility | 87 | 84 | 72 | 80 | 86 | ||
| Less pollution | Water, land | Less water and land pollution | 87 | 88 | 60 | 67 | 80 | |

References
- Foley, J.A.; DeFries, R.; Asner, G.P.; Barford, C.; Bonan, G.; Carpenter, S.R.; Chapin, F.S.; Coe, M.T.; Daily, G.C.; Gibbs, H.K.; et al. Global consequences of land use. Science 2005, 309, 570–574. [Google Scholar] [CrossRef] [Green Version]
- Meyfroidt, P.; Carlson, K.M.; Fagan, M.E.; Gutiérrez-Vélez, V.H.; Macedo, M.N.; Curran, L.M.; DeFries, R.S.; Dyer, G.A.; Gibbs, H.K.; Lambin, E.F.; et al. Multiple pathways of commodity crop expansion in tropical forest landscapes. Environ. Res. Lett. 2014, 9, 74012. [Google Scholar] [CrossRef]
- FAO; IFAD; WFP. The State of Food Insecurity in the World 2015: Meeting the 2015 international hunger targets: Taking stock of uneven progress. Adv. Nutr. 2015, 6, 623–624. [Google Scholar]
- Dicks, L.V.; Rose, D.C.; Ang, F.; Aston, S.; Birch, A.N.E.; Boatman, N.; Bowles, E.L.; Chadwick, D.; Dinsdale, A.; Durham, S.; et al. What agricultural practices are most likely to deliver “sustainable intensification” in the UK? Food Energy Secur. 2019, 8, e00148. [Google Scholar] [CrossRef]
- Pretty, J. Intensification for redesigned and sustainable agricultural systems. Science 2018, 362, eaav0294. [Google Scholar] [CrossRef] [Green Version]
- Pretty, J.; Bharucha, Z.P. Sustainable intensification in agricultural systems. Ann. Bot. 2014, 114, 1571–1596. [Google Scholar] [CrossRef]
- Rockstrom, J.; Williams, J.; Daily, G.; Noble, A.; Matthews, N.; Gordon, L.; Wetterstrand, H.; DeClerck, F.; Shah, M.; Steduto, P.; et al. Sustainable intensification of agriculture for human prosperity and global sustainability. Ambio 2017, 46, 4–17. [Google Scholar] [CrossRef] [Green Version]
- Struik, P.C.; Kuijper, T.W. Sustainable intensification in agriculture: The richer shade of green. A review. Agron. Sustain. Dev. 2017, 37, 39. [Google Scholar] [CrossRef]
- Rudi, L.-M.; Azadi, H.; Witlox, F. Reconcilability of socio-economic development and environmental conservation in Sub-Saharan Africa. Glob. Planet. Chang. 2012, 86, 1–10. [Google Scholar] [CrossRef] [Green Version]
- Ndlovu, E.; Prinsloo, B.; Roux, T.L. Impact of climate change and variability on traditional farming systems: Farmers’ perceptions from south-west, semi-arid Zimbabwe. Jàmbá J. Disaster Risk Stud. 2020, 12, 1–19. [Google Scholar] [CrossRef]
- Onyeiwu, S.; Pallant, E.; Hanlon, M. Sustainable and unsustainable agriculture in Ghana and Nigeria: 1960–2009. WIT Trans. Ecol. Environ. 2011, 144, 211. [Google Scholar] [CrossRef] [Green Version]
- Raimi, A.; Adeleke, R.; Roopnarain, A. Soil fertility challenges and Biofertiliser as a viable alternative for increasing smallholder farmer crop productivity in sub-Saharan Africa. Cogent Food Agric. 2017, 3, 1400933. [Google Scholar] [CrossRef]
- Ghana Statistical Service. 2010 Population and Housing Census: National Analytical Report; Ghana Statistical Service: Accra, Ghana, 2013. [Google Scholar]
- Henrich, J.; McElreath, R. Are peasants risk-averse decision makers? Curr. Anthropol. 2002, 43, 172–181. [Google Scholar] [CrossRef] [Green Version]
- Mazvimavi, K.; Twomlow, S. Socioeconomic and institutional factors influencing adoption of conservation farming by vulnerable households in Zimbabwe. Agric. Syst. 2009, 101, 20–29. [Google Scholar] [CrossRef] [Green Version]
- Mellon-Bedi, S.; Descheemaeker, K.; Hundie-Kotu, B.; Frimpong, S.; Groot, J.C.J. Motivational factors influencing farming practices in northern Ghana. NJAS-Wagening. J. Life Sci. 2020, 92, 100326. [Google Scholar] [CrossRef]
- Steininger, M.K.; Tucker, C.J.; Ersts, P.; Killeen, T.J.; Villegas, Z.; Hecht, S.B. Clearance and Fragmentation of Tropical Deciduous Forest in the Tierras Bajas, Santa Cruz, Bolivia. Conserv. Biol. 2001, 15, 856–866. [Google Scholar] [CrossRef]
- Hendershot, J.N.; Smith, J.R.; Anderson, C.B.; Letten, A.D.; Frishkoff, L.O.; Zook, J.R.; Fukami, T.; Daily, G.C. Intensive farming drives long-term shifts in avian community composition. Nature 2020, 579, 393–396. [Google Scholar] [CrossRef]
- Randriamalala, J.R.; Hervé, D.; Letourmy, P.; Carrière, S.M. Effects of slash-and-burn practices on soil seed banks in secondary forest successions in Madagascar. Agric. Ecosyst. Environ. 2015, 199, 312–319. [Google Scholar] [CrossRef]
- Kotu, B.H.; Alene, A.; Manyong, V.; Hoeschle-Zeledon, I.; Larbi, A. Adoption and impacts of sustainable intensification practices in Ghana. Int. J. Agric. Sustain. 2017, 15, 539–554. [Google Scholar] [CrossRef]
- Emmanuel, D.; Owusu-Sekyere, E.; Owusu, V.; Jordaan, H. Impact of agricultural extension service on adoption of chemical fertilizer: Implications for rice productivity and development in Ghana. NJAS-Wagening. J. Life Sci. 2016, 79, 41–49. [Google Scholar] [CrossRef]
- Tsinigo, E.; Behrman, J.R. Technological priorities in rice production among smallholder farmers in Ghana. NJAS-Wagening. J. Life Sci. 2017, 83, 47–56. [Google Scholar] [CrossRef]
- Kassie, M.; Jaleta, M.; Shiferaw, B.; Mmbando, F.; Mekuria, M. Adoption of interrelated sustainable agricultural practices in smallholder systems: Evidence from rural Tanzania. Technol. Forecast. Soc. Chang. 2013, 80, 525–540. [Google Scholar] [CrossRef]
- Coomes, O.T.; Grimard, F.; Potvin, C.; Sima, P. The fate of the tropical forest: Carbon or cattle? Ecol. Econ. 2008, 65, 207–212. [Google Scholar] [CrossRef]
- Ikerd, J.E. Agriculture’s search for sustainability and profitability. J. Soil Water Conserv. 1990, 45, 18–23. [Google Scholar]
- Reij, C.; Tappan, G.; Belemvire, A. Changing land management practices and vegetation on the Central Plateau of Burkina Faso (1968–2002). J. Arid. Environ. 2005, 63, 642–659. [Google Scholar] [CrossRef]
- Sloan, S. Tropical Forest Gain and Interactions amongst Agents of Forest Change. Forests 2016, 7, 55. [Google Scholar] [CrossRef] [Green Version]
- RMSC. Forest Reserves in Ghana; RMSC: Ashanti Region, Ghana, 2016. [Google Scholar]
- Norsworthy, J.K.; Ward, S.M.; Shaw, D.R.; Llewellyn, R.S.; Nichols, R.L.; Webster, T.M.; Bradley, K.W.; Frisvold, G.; Powles, S.B.; Burgos, N.R.; et al. Reducing the risks of herbicide resistance: Best management practices and recommendations. Weed Sci. 2012, 60, 31–62. [Google Scholar] [CrossRef] [Green Version]
- Hayes, T.B.; Anderson, L.L.; Beasley, V.R.; de Solla, S.R.; Iguchi, T.; Ingraham, H.; Kestemont, P.; Kniewald, J.; Kniewald, Z.; Langlois, V.S.; et al. Demasculinization and feminization of male gonads by atrazine: Consistent effects across vertebrate classes. J. Steroid Biochem. Mol. Biol. 2011, 127, 64–73. [Google Scholar] [CrossRef] [Green Version]
- Styger, E.; Rakotondramasy, H.M.; Pfeffer, M.J.; Fernandes, E.C.M.; Bates, D.M. Influence of slash-and-burn farming practices on fallow succession and land degradation in the rainforest region of Madagascar. Agric. Ecosyst. Environ. 2007, 119, 257–269. [Google Scholar] [CrossRef]
- Acheampong, E.O.; Sayer, J.; Macgregor, C.J. Road improvement enhances smallholder productivity and reduces forest encroachment in Ghana. Environ. Sci. Policy 2018, 85, 64–71. [Google Scholar] [CrossRef] [Green Version]
- Boserup, E. The Conditions of Agricultural Growth: The Economics of Agrarian Change Under Population Pressure; Earthscan Publications: London, UK, 1993. [Google Scholar]
- Adjei-Nsiah, S. Role of pigeonpea cultivation on soil fertility and farming system sustainability in Ghana. Int. J. Agron. 2012, 2012, 702506. [Google Scholar] [CrossRef]
- Omari, R.A.; Bellingrath-Kimura, S.; Addo, E.S.; Oikawa, Y.; Fujii, Y. Exploring farmers’ indigenous knowledge of soil quality and fertility management practices in selected farming communities of the guinea savannah agro-ecological zone of Ghana. Sustainability 2018, 10, 1034. [Google Scholar] [CrossRef] [Green Version]
- Tambo, J.A.; Wünscher, T. Identification and prioritization of farmers’ innovations in northern Ghana. Renew. Agric. Food Syst. 2015, 30, 537–549. [Google Scholar] [CrossRef]
- Acheampong, E.O.; Sayer, J.; Macgregor, C.J.; Sloan, S. Factors influencing the adoption of agricultural practices in Ghana’s forest-fringe communities. Land 2021, 10, 266. [Google Scholar] [CrossRef]
- Alencar, L.H.; Almeida, A.T.d. A model for selecting project team members using multicriteria group decision making. Pesqui. Oper. 2010, 30, 221–236. [Google Scholar] [CrossRef]
- Jeon, C.M.; Amekudzi, A.A.; Guensler, R.L. Evaluating plan alternatives for transportation system sustainability: Atlanta Metropolitan Region. Int. J. Sustain. Transp. 2010, 4, 227–247. [Google Scholar] [CrossRef]
- Talukder, B.; Hipel, K.W.; vanLoon, G.W. Using multi-criteria decision analysis for assessing sustainability of agricultural systems. Sustain. Dev. 2018, 26, 781–799. [Google Scholar] [CrossRef]
- Gibson, R.B. Sustainability assessment: Basic components of a practical approach. Impact Assess. Proj. Apprais. 2006, 24, 170–182. [Google Scholar] [CrossRef]
- Pope, J.; Annandale, D.; Morrison-Saunders, A. Conceptualising sustainability assessment. Environ. Impact Assess. Rev. 2004, 24, 595–616. [Google Scholar] [CrossRef] [Green Version]
- Convertino, M.; Baker, K.; Vogel, J.; Lu, C.; Suedel, B.; Linkov, I. Multi-criteria decision analysis to select metrics for design and monitoring of sustainable ecosystem restorations. Ecol. Indic. 2013, 26, 76–86. [Google Scholar] [CrossRef] [Green Version]
- Bouma, J.; Broll, G.; Crane, T.A.; Dewitte, O.; Gardi, C.; Schulte, R.P.; Towers, W. Soil information in support of policy making and awareness raising. Curr. Opin. Environ. Sustain. 2012, 4, 552–558. [Google Scholar] [CrossRef]
- Bampa, F.; O’Sullivan, L.; Madena, K.; Sandén, T.; Spiegel, H.; Henriksen, C.B.; Ghaley, B.B.; Jones, A.; Staes, J.; Sturel, S.; et al. Harvesting European knowledge on soil functions and land management using multi-criteria decision analysis. Soil Use Manag. 2019, 35, 6–20. [Google Scholar] [CrossRef] [Green Version]
- Kamali, F.P.; Borges, J.A.R.; Meuwissen, M.P.M.; Boer, I.J.M.D.; Lansink, A.G.J.M.O. Sustainability assessment of agricultural systems: The validity of expert opinion and robustness of a multi-criteria analysis. Agric. Syst. 2017, 157, 118–128. [Google Scholar] [CrossRef]
- Parra-López, C.; Calatrava-Requena, J.; de-Haro-Giménez, T. A multi-criteria evaluation of the environmental performances of conventional, organic and integrated olive-growing systems in the south of Spain based on experts’ knowledge. Renew. Agric. Food Syst. 2007, 22, 189–203. [Google Scholar] [CrossRef]
- Romero, C.; Rehman, T. Multiple Criteria Analysis for Agricultural Decisions, 2nd ed.; Elsevier: Amsterdam, The Netherlands, 2003. [Google Scholar]
- Alary, V.; Gousseff, M.; Nidumolu, U.B. Comparison of multi-criteria decision models to approach the trade-off between environmental sustainability and economical viability—A case of nitrogen balance in dairy farming systems in Reunion Island. J. Agric. Sci. 2008, 146, 389–402. [Google Scholar] [CrossRef]
- Ghana Statistical Service. 2010 Population and Housing Census: Regional Analytical Report, Ashanti Region; Ghana Statistical Service: Accra, Ghana, 2013. [Google Scholar]
- Acheampong, E.O.; Macgregor, C.J.; Sloan, S.; Sayer, J. Deforestation is driven by agricultural expansion in Ghana’s forest reserves. Sci. Afr. 2019, 5, e00146. [Google Scholar] [CrossRef]
- Kotey, E.N.A.; Francois, J.; Owusu, J.G.K.; Yeboah, R.; Amanor, K.S.; Antwi, L. Falling into Place. Policy That Works for Forests and People Series No. 4; International Institute for Environment and Development: London, UK, 1998. [Google Scholar]
- Burton, R.J.F. Seeing through the ‘good farmer’s’ eyes: Towards developing an understanding of the social symbolic value of ‘productivist’ behaviour. Sociol. Rural. 2004, 44, 195–215. [Google Scholar] [CrossRef]
- Lowe, P.; Murdoch, J.; Marsden, T.; Munton, R.; Flynn, A. Regulating the new rural spaces: The uneven development of land. J. Rural. Stud. 1993, 9, 205–222. [Google Scholar] [CrossRef]
- Hongoh, V.; Hoen, A.G.; Aenishaenslin, C.; Waaub, J.-P.; Bélanger, D.; Michel, P.; The Lyme-MCDA Consortium. Spatially explicit multi-criteria decision analysis for managing vector-borne diseases. Int. J. Health Geogr. 2011, 10, 70. [Google Scholar] [CrossRef] [Green Version]
- Linares, P.; Romero, C. A multiple criteria decision making approach for electricity planning in Spain: Economic versus environmental objectives. J. Oper. Res. Soc. 2000, 51, 736–743. [Google Scholar] [CrossRef]
- Jilito, M.F.; Wedajo, D.Y. Trends and challenges in improved agricultural inputs use by smallholder farmers in Ethiopia: A review. Turk. J. Agric. Food Sci. Technol. 2020, 8, 2286–2292. [Google Scholar] [CrossRef]
- Pelletier, J.; Ngoma, H.; Mason, N.M.; Barrett, C.B. Does smallholder maize intensification reduce deforestation? Evidence from Zambia. Glob. Environ. Chang. 2020, 63, 102127. [Google Scholar] [CrossRef]
- Huang, X.; Liu, L.; Wen, T.; Zhu, R.; Zhang, J.; Cai, Z. Illumina MiSeq investigations on the changes of microbial community in the Fusarium oxysporum f.sp. cubense infected soil during and after reductive soil disinfestation. Microbiol. Res. 2015, 181, 33–42. [Google Scholar] [CrossRef]
- Pradhan, P.; Fischer, G.; van Velthuizen, H.; Reusser, D.E.; Kropp, J.P. Closing yield gaps: How sustainable can we be? PLoS ONE 2015, 10, e0129487. [Google Scholar] [CrossRef] [Green Version]
- Arias-Estévez, M.; López-Periago, E.; Martínez-Carballo, E.; Simal-Gándara, J.; Mejuto, J.-C.; García-Río, L. The mobility and degradation of pesticides in soils and the pollution of groundwater resources. Agric. Ecosyst. Environ. 2008, 123, 247–260. [Google Scholar] [CrossRef]
- Athukorala, W.; Wilson, C.; Robinson, T. Determinants of health costs due to farmers’ exposure to pesticides: An empirical analysis. J. Agric. Econ. 2012, 63, 158–174. [Google Scholar] [CrossRef] [Green Version]
- Kabir, M.H.; Rainis, R. Adoption and intensity of integrated pest management (IPM) vegetable farming in Bangladesh: An approach to sustainable agricultural development. Environ. Dev. Sustain. 2015, 17, 1413–1429. [Google Scholar] [CrossRef]
- Bie, H.M.A.D.; Oostrom, K.J.; Waal, H.A.D.-V.D. Brain development, intelligence and cognitive outcome in children born small for gestational age. Horm. Res. Paediatr. 2010, 73, 6–14. [Google Scholar] [CrossRef] [PubMed]
- Haraux, E.; Tourneux, P.; Kouakam, C.; Stephan-Blanchard, E.; Boudailliez, B.; Leke, A.; Klein, C.; Chardon, K. Isolated hypospadias: The impact of prenatal exposure to pesticides, as determined by meconium analysis. Environ. Int. 2018, 119, 20–25. [Google Scholar] [CrossRef]
- Bruner-Tran, K.L.; Osteen, K.G. Developmental exposure to TCDD reduces fertility and negatively affects pregnancy outcomes across multiple generations. Reprod. Toxicol. 2011, 31, 344–350. [Google Scholar] [CrossRef] [PubMed] [Green Version]
- Wickerham, E.L.; Lozoff, B.; Shao, J.; Kaciroti, N.; Xia, Y.; Meeker, J.D. Reduced birth weight in relation to pesticide mixtures detected in cord blood of full-term infants. Environ. Int. 2012, 47, 80–85. [Google Scholar] [CrossRef] [PubMed] [Green Version]
- Skevas, T.; Stefanou, S.E.; Lansink, A.G.J.M.O. Do farmers internalise environmental spillovers of pesticides in production? J. Agric. Econ. 2013, 64, 624–640. [Google Scholar] [CrossRef]
- Smith, A.; Snapp, S.; Dimes, J.; Gwenambira, C.; Chikowo, R. Doubled-up legume rotations improve soil fertility and maintain productivity under variable conditions in maize-based cropping systems in Malawi. Agric. Syst. 2016, 145, 139–149. [Google Scholar] [CrossRef]
- Fung, K.M.; Tai, A.P.K.; Yong, T.; Liu, X.; Lam, H.-M. Co-benefits of intercropping as a sustainable farming method for safeguarding both food security and air quality. Environ. Res. Lett. 2019, 14, 44011. [Google Scholar] [CrossRef]










| Dimension | Farming System | ||
|---|---|---|---|
| Modern | Mixed-Input | Traditional | |
| Indicative practices, inputs | Inorganic fertilisers, herbicides, and/or pesticides; improved seeds | Organic manure (animal or plant-based), crop rotation (+inorganic inputs) | Slash-and-burn practices, brief fallows |
| Social issues | Health risk to farmer, societal support of use, level of difficulty in application, food health | Health risk to farmer, societal support of use, level of difficulty in application, food health | Health risk to farmer, societal support of use, food health |
| Economic issues | Cost of inputs, cost of labour, frequency of application, effects on crop growth, yield, output, survival, and resistance | Cost of inputs, cost of labour, frequency of application, effects on crop growth, yield, output, survival, and resistance | Cost of labour, frequency of labour use, frequency of farm maintenance, effects on crop growth, yield, output, survival, and resistance |
| Environmental issues | Effects on soil, water bodies, tree species, fauna, and forest | Effects on soil, water bodies, tree species, fauna, and forest | Effects on soil, tree species, fauna, and forest |
Publisher’s Note: MDPI stays neutral with regard to jurisdictional claims in published maps and institutional affiliations. |
© 2022 by the authors. Licensee MDPI, Basel, Switzerland. This article is an open access article distributed under the terms and conditions of the Creative Commons Attribution (CC BY) license (https://creativecommons.org/licenses/by/4.0/).
Share and Cite
Acheampong, E.O.; Sloan, S.; Sayer, J.; Macgregor, C.J. African Forest-Fringe Farmers Benefit from Modern Farming Practices despite High Environmental Impacts. Land 2022, 11, 145. https://doi.org/10.3390/land11020145
Acheampong EO, Sloan S, Sayer J, Macgregor CJ. African Forest-Fringe Farmers Benefit from Modern Farming Practices despite High Environmental Impacts. Land. 2022; 11(2):145. https://doi.org/10.3390/land11020145
Chicago/Turabian StyleAcheampong, Emmanuel Opoku, Sean Sloan, Jeffrey Sayer, and Colin J. Macgregor. 2022. "African Forest-Fringe Farmers Benefit from Modern Farming Practices despite High Environmental Impacts" Land 11, no. 2: 145. https://doi.org/10.3390/land11020145
APA StyleAcheampong, E. O., Sloan, S., Sayer, J., & Macgregor, C. J. (2022). African Forest-Fringe Farmers Benefit from Modern Farming Practices despite High Environmental Impacts. Land, 11(2), 145. https://doi.org/10.3390/land11020145

