Impact of Climate Change and Human Activities on Runoff Variability in the Yellow River Basin: Its Responses to Multi-Year Droughts
Abstract
1. Introduction
2. Study Area and Materials
2.1. Study Area
2.2. Data
2.3. Methods
2.3.1. Multi-Year Drought Detection and Quantification
2.3.2. Runoff Change Attribution
3. Results
3.1. Multi-Year Hydrological Drought Detection and Variation Patterns
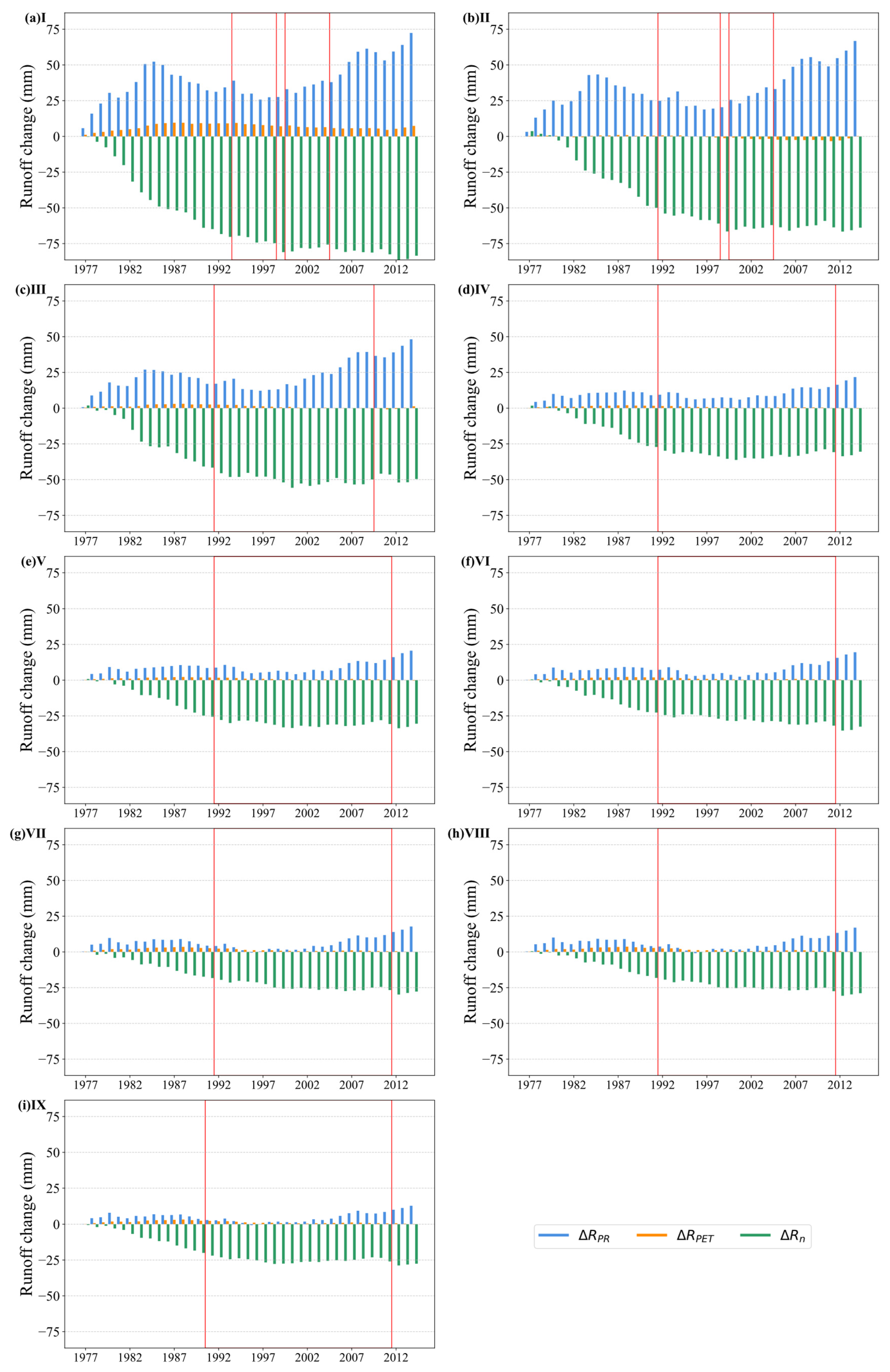
3.2. Variation in PR, PET, and n with Hydrological Drought
3.3. Sensitivity of Runoff to P, PET, and n with Multi-Year Droughts
3.4. The Contribuitons of Climate Change and Human Activities to Runoff Variations
4. Discussion
5. Conclusions
- εPR, εPET, and εn are sensitive to watershed characteristics, and their absolute values increase as n increases.
- εPR, εPET, and εn vary over time, initially increasing and then decreasing, and peaking between 1995 and 2006. εPR and εn within the watershed are all categorized as highly sensitive, while εPET shows low sensitivity in Regions I to III and high sensitivity in Regions IV to IX. Runoff is most sensitive to PR and least sensitive to PET.
- Analyzing the contribution rates of climate change and human activities to runoff, the dominant contribution shifted from climate change during 1977–1985 to human activities during 1986–2014. Recent years have witnessed increasing human-induced influences on the hydrological processes of river basins, which pose a serious challenge in water resource management.
- Multi-year drought in the YRB significantly altered n, εPR, εPET, and εn (p < 0.05), with greater absolute values during drought periods. This means that the YRB is more sensitive to environmental changes during drought periods.
- Compared to non-drought periods, the absolute value of ΔRn during drought periods is significantly higher (p < 0.05) and that of δh is significantly higher (p < 0.05), while the value of δc shows the opposite trend. The contribution rate of human activities to runoff increases, leading to the aggravation of hydrological drought. Therefore, more attention should be paid to the management of water resources in the YRB to reduce the occurrence of hydrological drought.
Author Contributions
Funding
Data Availability Statement
Acknowledgments
Conflicts of Interest
References
- Liu, Q.; Yang, Y.; Liang, L.; Yan, D.; Wang, X.; Sun, T.; Li, C. Water Balance Shifts Induced by Multiyear Drought Within the Budyko Framework. J. Geophys. Res. Atmos. 2023, 128, e2022JD036758. [Google Scholar] [CrossRef]
- Saft, M.; Peel, M.C.; Western, A.W.; Zhang, L. Predicting shifts in rainfall-runoff partitioning during multiyear drought: Roles of dry period and catchment characteristics. Water Resour. Res. 2016, 52, 9290–9305. [Google Scholar] [CrossRef]
- Farsi, N.; Mahjouri, N. Evaluating the contribution of the climate change and human activities to runoff change under uncertainty. J. Hydrol. 2019, 574, 872–891. [Google Scholar] [CrossRef]
- Sun, X.; Dong, Q.; Zhang, X. Attribution analysis of runoff change based on Budyko-type model with time-varying parameters for the Lhasa River Basin, Qinghai–Tibet Plateau. J. Hydrol. Reg. Stud. 2023, 48, 101469. [Google Scholar] [CrossRef]
- Xin, J.; Sun, X.; Liu, L.; Li, H.; Liu, X.; Li, X.; Cheng, L.; Xu, Z. Quantifying the contribution of climate and underlying surface changes to alpine runoff alterations associated with glacier melting. Hydrol. Process. 2021, 35, e14069. [Google Scholar] [CrossRef]
- Liu, J.; Zhang, Q.; Singh, V.P.; Shi, P. Contribution of multiple climatic variables and human activities to streamflow changes across China. J. Hydrol. 2017, 545, 145–162. [Google Scholar] [CrossRef]
- Immerzeel, W.W.; van Beek, L.P.H.; Bierkens, M.F.P. Climate Change Will Affect the Asian Water Towers. Science 2010, 328, 1382–1385. [Google Scholar] [CrossRef]
- Das, J.; Nanduri, U. Assessment and evaluation of potential climate change impact on monsoon flows using machine learning technique over Wainganga River Basin, India. Hydrol. Sci. J./J. Des Sci. Hydrol. 2018, 63, 1020–1046. [Google Scholar] [CrossRef]
- Schewe, J.; Heinke, J.; Gerten, D.; Haddeland, I.; Arnell, N.W.; Clark, D.B.; Dankers, R.; Eisner, S.; Fekete, B.M.; Colon-Gonzalez, F.J.; et al. Multimodel assessment of water scarcity under climate change. Proc. Natl. Acad. Sci. USA 2014, 111, 3245–3250. [Google Scholar] [CrossRef]
- Deng, H.; Yin, Y.; Zong, X.; Yin, M. Future drought risks in the Yellow River Basin and suggestions for targeted response. Int. J. Disaster Risk Reduct. 2023, 93, 103764. [Google Scholar] [CrossRef]
- Banerjee, A. A Weak Precipitation Sensitivity of Glacier Runoff. Geophys. Res. Lett. 2022, 49, e2021GL096989. [Google Scholar] [CrossRef]
- Li, Z.; Wang, Y.; Zhang, H.; Chang, J.; Yu, Y. Runoff response to changing environment in Loess Plateau, China: Implications of the influence of climate, land use/land cover, and water withdrawal changes. J. Hydrol. 2022, 613, 128458. [Google Scholar] [CrossRef]
- Jing, W.; Yao, L.; Zhao, X.; Zhang, P.; Liu, Y.; Xia, X.; Song, J.; Yang, J.; Li, Y.; Zhou, C. Understanding Terrestrial Water Storage Declining Trends in the Yellow River Basin. J. Geophys. Res. Atmos. 2019, 124, 12963–12984. [Google Scholar] [CrossRef]
- Wang, X.-J.; Zhang, J.-Y.; Shamsuddin, S.; Oyang, R.-L.; Guan, T.-S.; Xue, J.-G.; Zhang, X. Impacts of climate variability and changes on domestic water use in the Yellow River Basin of China. Mitig. Adapt. Strateg. Glob. Change 2016, 22, 595–608. [Google Scholar] [CrossRef]
- Chen, Y.P.; Wang, K.B.; Lin, Y.S.; Shi, W.Y.; Song, Y.; He, X.H. Balancing green and grain trade. Nat. Geosci. 2015, 8, 739–741. [Google Scholar] [CrossRef]
- Wu, L.; Zhang, X.; Hao, F.; Wu, Y.; Li, C.; Xu, Y. Evaluating the contributions of climate change and human activities to runoff in typical semi-arid area, China. J. Hydrol. 2020, 590, 125555. [Google Scholar] [CrossRef]
- Hapuarachchi, H.A.P.; Wang, Q.J.; Pagano, T.C. A review of advances in flash flood forecasting. Hydrol. Process. 2011, 25, 2771–2784. [Google Scholar] [CrossRef]
- Hasan, E.; Tarhule, A.; Kirstetter, P.-E.; Clark, R.; Hong, Y. Runoff sensitivity to climate change in the Nile River Basin. J. Hydrol. 2018, 561, 312–321. [Google Scholar] [CrossRef]
- Donohue, R.J.; Roderick, M.L.; McVicar, T.R. On the importance of including vegetation dynamics in Budyko’s hydrological model. Hydrol. Earth Syst. Sci. 2007, 11, 983–995. [Google Scholar] [CrossRef]
- Luo, Y.; Yang, Y.; Yang, D.; Zhang, S. Quantifying the impact of vegetation changes on global terrestrial runoff using the Budyko framework. J. Hydrol. 2020, 590, 125389. [Google Scholar] [CrossRef]
- Xing, W.; Wang, W.; Shao, Q.; Yong, B. Identification of dominant interactions between climatic seasonality, catchment characteristics and agricultural activities on Budyko-type equation parameter estimation. J. Hydrol. 2018, 556, 585–599. [Google Scholar] [CrossRef]
- Harman, C.J.; Troch, P.A.; Sivapalan, M. Functional model of water balance variability at the catchment scale: 2. Elasticity of fast and slow runoff components to precipitation change in the continental United States. Water Resour. Res. 2011, 47, W02523. [Google Scholar] [CrossRef]
- Yang, H.; Yang, D. Derivation of climate elasticity of runoff to assess the effects of climate change on annual runoff. Water Resour. Res. 2011, 47, W07526. [Google Scholar] [CrossRef]
- Fu, J.; Liu, B.; Wang, W.; Fei, E.X. Evaluating main drivers of runoff changes across China from 1956 to 2000 by using different budyko-based elasticity methods. J. Environ. Manage 2023, 329, 117070. [Google Scholar] [CrossRef] [PubMed]
- Shah, S.A.; Jehanzaib, M.; Park, K.W.; Choi, S.; Kim, T.-W. Evaluation and Decomposition of Factors Responsible for Alteration in Streamflow in Lower Watersheds of the Han River Basin Using Different Budyko-Based Functions. KSCE J. Civ. Eng. 2022, 27, 903–914. [Google Scholar] [CrossRef]
- Zhang, X.; Dong, Q.; Cheng, L.; Xia, J. A Budyko-based framework for quantifying the impacts of aridity index and other factors on annual runoff. J. Hydrol. 2019, 579, 124224. [Google Scholar] [CrossRef]
- Wang, F.; Xia, J.; Zou, L.; Zhan, C.; Liang, W. Estimation of time-varying parameter in Budyko framework using long short-term memory network over the Loess Plateau, China. J. Hydrol. 2022, 607, 127571. [Google Scholar] [CrossRef]
- Zhang, X.; Reinsmoen, N.L. Angiotensin II type I receptor antibodies in thoracic transplantation. Hum. Immunol. 2019, 80, 579–582. [Google Scholar] [CrossRef]
- Zhao, J.; Huang, S.; Huang, Q.; Leng, G.; Wang, H.; Li, P. Watershed water-energy balance dynamics and their association with diverse influencing factors at multiple time scales. Sci. Total Environ. 2020, 711, 135189. [Google Scholar] [CrossRef]
- Lv, M.; Ma, Z.; Peng, S. Responses of terrestrial water cycle components to afforestation within and around the Yellow River basin. Atmos. Ocean. Sci. Lett. 2019, 12, 116–123. [Google Scholar] [CrossRef]
- Wang, F.; Wang, Z.; Yang, H.; Zhao, Y. Study of the temporal and spatial patterns of drought in the Yellow River basin based on SPEI. Sci. China Earth Sci. 2018, 61, 1098–1111. [Google Scholar] [CrossRef]
- Yu, J.; Xiao, R.; Liang, M.; Wang, Y.; Wang, S. Hydrological drought assessment of the Yellow River Basin based on non-stationary model. J. Hydrol. Reg. Stud. 2024, 56, 101974. [Google Scholar] [CrossRef]
- Li, C.; Zhang, Y.; Shen, Y.; Yu, Q. Decadal water storage decrease driven by vegetation changes in the Yellow River Basin. Sci. Bull. 2020, 65, 1859–1861. [Google Scholar] [CrossRef] [PubMed]
- Zhu, Y.; Lin, Z.; Wang, J.; Zhao, Y.; He, F. Impacts of Climate Changes on Water Resources in Yellow River Basin, China. Procedia Eng. 2016, 154, 687–695. [Google Scholar] [CrossRef]
- Yang, X.; Sun, W.; Mu, X.; Gao, P.; Zhao, G. Run-off affected by climate and anthropogenic changes in a large semi-arid river basin. Hydrol. Process. 2020, 34, 1906–1919. [Google Scholar] [CrossRef]
- Jiang, Z.Y.; Yang, Z.G.; Zhang, S.Y.; Liao, C.M.; Hu, Z.M.; Cao, R.C.; Wu, H.W. Revealing the spatio-temporal variability of evapotranspiration and its components based on an improved Shuttleworth-Wallace model in the Yellow River Basin. J. Environ. Manage 2020, 262, 110310. [Google Scholar] [CrossRef]
- Wang, F.; Wang, Z.; Yang, H.; Di, D.; Zhao, Y.; Liang, Q.; Hussain, Z. Comprehensive evaluation of hydrological drought and its relationships with meteorological drought in the Yellow River basin, China. J. Hydrol. 2020, 584, 124751. [Google Scholar] [CrossRef]
- Li, H.; Shi, C.; Sun, P.; Zhang, Y.; Collins, A.L. Attribution of runoff changes in the main tributaries of the middle Yellow River, China, based on the Budyko model with a time-varying parameter. Catena 2021, 206, 105557. [Google Scholar] [CrossRef]
- Saft, M.; Western, A.W.; Zhang, L.; Peel, M.C.; Potter, N.J. The influence of multiyear drought on the annual rainfall-runoff relationship: An Australian perspective. Water Resour. Res. 2015, 51, 2444–2463. [Google Scholar] [CrossRef]
- Sinha, J.; Das, J.; Jha, S.; Goyal, M.K. Analysing model disparity in diagnosing the climatic and human stresses on runoff variability over India. J. Hydrol. 2020, 581, 124407. [Google Scholar] [CrossRef]
- Liu, W.; Wang, L.; Zhou, J.; Li, Y.; Sun, F.; Fu, G.; Li, X.; Sang, Y.-F. A worldwide evaluation of basin-scale evapotranspiration estimates against the water balance method. J. Hydrol. 2016, 538, 82–95. [Google Scholar] [CrossRef]
- Fuh, B.-P. On the calculation of the evaporation from land surface. Chin. J. Atmos. Sci. 1981, 5, 23–31. [Google Scholar] [CrossRef]
- Zhang, L.; Dawes, W.R.; Walker, G.R. Response of mean annual evapotranspiration to vegetation changes at catchment scale. Water Resour. Res. 2001, 37, 701–708. [Google Scholar] [CrossRef]
- Choudhury, B.J. Evaluation of an empirical equation for annual evaporation using field observations and results from a biophysical model. J. Hydrol. 1999, 216, 99–110. [Google Scholar] [CrossRef]
- Yang, H.; Yang, D.; Lei, Z.; Sun, F. New analytical derivation of the mean annual water-energy balance equation. Water Resour. Res. 2008, 44, W03410. [Google Scholar] [CrossRef]
- Zhou, S.; Yu, B.F.; Zhang, L.; Huang, Y.F.; Pan, M.; Wang, G.Q. A new method to partition climate and catchment effect on the mean annual runoff based on the Budyko complementary relationship. Water Resour. Res. 2016, 52, 7163–7177. [Google Scholar] [CrossRef]
- Ma, M.; Cui, H.; Wang, W.; Huang, X.; Tu, X. Projection of spatiotemporal patterns and possible changes of drought in the Yellow River basin, China. Theor. Appl. Climatol. 2019, 138, 1971–1989. [Google Scholar] [CrossRef]
- Yuan, F.F.; Berndtsson, R.; Zhang, L.; Uvo, C.B.; Hao, Z.C.; Wang, X.P.; Yasuda, H. Hydro Climatic Trend and Periodicity for the Source Region of the Yellow River. J. Hydrol. Eng. 2015, 20, 05015003. [Google Scholar] [CrossRef]
- Meng, F.; Su, F.; Yang, D.; Tong, K.; Hao, Z. Impacts of recent climate change on the hydrology in the source region of the Yellow River basin. J. Hydrol. Reg. Stud. 2016, 6, 66–81. [Google Scholar] [CrossRef]
- Iqbal, M.; Wen, J.; Wang, X.; Lan, Y.C.; Tian, H.; Anjum, M.N.; Adnan, M. Assessment of Air Temperature Trends in the Source Region of Yellow River and Its Sub-Basins, China. Asia-Pac. J. Atmos. Sci. 2018, 54, 111–123. [Google Scholar] [CrossRef]
- Huang, H.Q.; Liu, X.; Brierley, G.J.; Cullum, C. Hydrology of the Yellow River Source Zone. In Landscape and Ecosystem Diversity, Dynamics and Management in the Yellow River Source Zone; Brierley, G.J., Li, X., Cullum, C., Gao, J., Eds.; Springer International Publishing: Cham, Switzerland, 2016; pp. 79–99. [Google Scholar] [CrossRef]













Disclaimer/Publisher’s Note: The statements, opinions and data contained in all publications are solely those of the individual author(s) and contributor(s) and not of MDPI and/or the editor(s). MDPI and/or the editor(s) disclaim responsibility for any injury to people or property resulting from any ideas, methods, instructions or products referred to in the content. |
© 2025 by the authors. Licensee MDPI, Basel, Switzerland. This article is an open access article distributed under the terms and conditions of the Creative Commons Attribution (CC BY) license (https://creativecommons.org/licenses/by/4.0/).
Share and Cite
Lu, Q.; Yuan, S.; Zhu, L.; Ji, F.; Jin, J. Impact of Climate Change and Human Activities on Runoff Variability in the Yellow River Basin: Its Responses to Multi-Year Droughts. Water 2025, 17, 777. https://doi.org/10.3390/w17060777
Lu Q, Yuan S, Zhu L, Ji F, Jin J. Impact of Climate Change and Human Activities on Runoff Variability in the Yellow River Basin: Its Responses to Multi-Year Droughts. Water. 2025; 17(6):777. https://doi.org/10.3390/w17060777
Chicago/Turabian StyleLu, Qirui, Shanshui Yuan, Liujun Zhu, Fang Ji, and Junliang Jin. 2025. "Impact of Climate Change and Human Activities on Runoff Variability in the Yellow River Basin: Its Responses to Multi-Year Droughts" Water 17, no. 6: 777. https://doi.org/10.3390/w17060777
APA StyleLu, Q., Yuan, S., Zhu, L., Ji, F., & Jin, J. (2025). Impact of Climate Change and Human Activities on Runoff Variability in the Yellow River Basin: Its Responses to Multi-Year Droughts. Water, 17(6), 777. https://doi.org/10.3390/w17060777

