Identifying Persistent Drought Regions for Mediterranean Basin Using Simple Coincidence Deficit Index Approach
Abstract
1. Introduction
2. Study Area
2.1. Dataset Information
2.2. General Information About the Mediterranean Basin
3. Methodology
3.1. The Simple Coincidence Deficit Index
3.2. Drought Severity Analysis (DSA)
4. Results
4.1. SCDI Distribution over Mediterranean Basin
4.2. Drought Severity Distribution
5. Discussion
6. Conclusions
- 1.
- The SPI is a widely utilized metric for assessing drought conditions; however, it primarily focuses on precipitation without accounting for the soil water balance, which can lead to an incomplete understanding of drought severity. While precipitation is a strong driving force in the water cycle, hydrologic elements like groundwater and soil moisture can act as stabilizing factors, mitigating drought impacts even during periods of limited rainfall.
- 2.
- In contrast, the SCDI incorporates both precipitation and groundwater levels, providing a more comprehensive view of drought intensity. The potential advantages of this innovative approach over traditional indices include simplified computation through mutual coincidence fraction, flexibility in analyzing multiple events simultaneously, and enhanced understanding of temporal relationships between events.
- 3.
- Unlike traditional indices that categorize drought severity, the SCDI can identify drought patterns by analyzing water deficit persistence. Its flexibility eliminates the need for data processing steps like transformation or normalization, making it easier and faster to apply. Using remote sensing data, the SCDI provides a cost-effective, straightforward approach for identifying these zones.
- 4.
- Research indicates that there is a significant correlation between the SCDI and both precipitation and groundwater storage, suggesting that while precipitation is a primary driver of drought conditions, groundwater storage also plays a vital role.
- 5.
- The DSA detects the longest drought periods across various time windows. This index numerically expresses the duration of hydrological deficits and is based on groundwater reserves and precipitation parameters.
- 6.
- The SPI requires a long-term precipitation record and the calculation consists of a transformation of one frequency distribution (e.g., gamma) to another frequency distribution (normal, or Gaussian). However, the DSA and SCDI are independent of the distribution and time interval of the data.
- 7.
- The DSA results provide consistency in various time windows and they are an important source of information to determine which region is under long-term drought pressure.
- 8.
- The DSA is also used to determine the impact of drought on groundwater reserves. High values of DSA indicate that groundwater resources in these regions may be under longer-term pressure.
- 9.
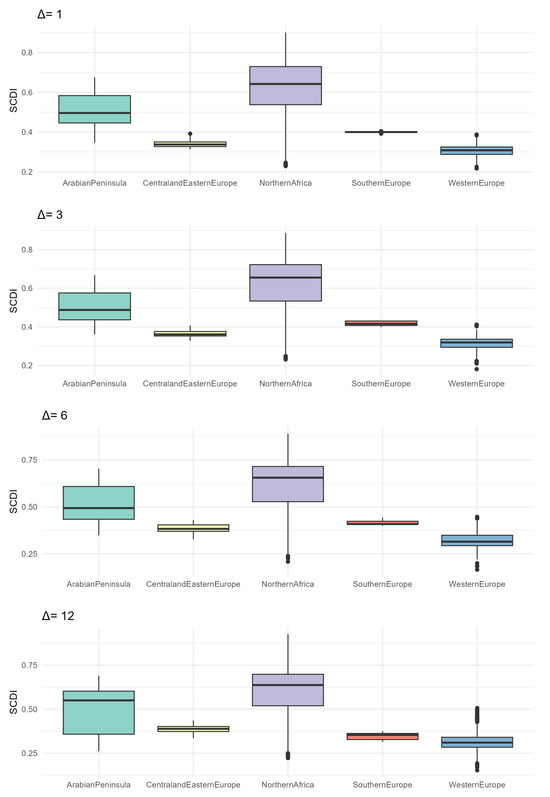
- The SCDI and DSA results reveal that the risk of drought is high on the southern (i.e. Spain, Greece and Türkiye) coasts of different countries in the Mediterranean region. Long-term droughts are especially noted in regions such as North Africa and eastern coast of Mediterranean.
Author Contributions
Funding
Data Availability Statement
Conflicts of Interest
Abbreviations
| DSA | Drought Severity Analysis |
| GES DISC | Goddard Earth Sciences Data and Information Services Center |
| GLDAS | The Global Land Data Assimilation System |
| GWS | Groundwater Storage |
| IPCC | The Intergovernmental Panel on Climate Change |
| SCDI | Simple Coincidence Deficit Index |
| SPI | Standardized Precipitation Index |
References
- Choi, W. Drought; Oxford Bibliographies: New York, NY, USA, 2023. [Google Scholar] [CrossRef]
- Tate, E.L.; Gustard, A. Drought definition: A hydrological perspective. In Drought and Drought Mitigation in Europe; Vogt, J.V., Somma, F., Eds.; Springer: Berlin/Heidelberg, Germany, 2000; Volume 14, pp. 27–40. [Google Scholar] [CrossRef]
- Lloyd-Hughes, B. The impracticality of a universal drought definition. Theor. Appl. Climatol. 2014, 117, 607–611. [Google Scholar] [CrossRef]
- Wilhite, D.A. Drought and Water Crises: Science, Technology, and Management Issues; CRC Press: Boca Raton, FL, USA, 2005. [Google Scholar]
- McMahon, T.A.; Diaz Arenas, A. Methods of computation of low streamflow. In Studies and Reports in Hydrology; UNESCO: Paris, France, 1982; Volume 36. [Google Scholar]
- Beran, M.; Rodier, J.A. Hydrological aspects of drought. In Studies and Reports in Hydrology; UNESCO-WMO: Paris, France, 1985; Volume 39. [Google Scholar]
- Wilhite, D.A. The role of monitoring as a component of preparedness planning: Delivery of information and decision support tools. In Coping with Drought Risk in Agriculture and Water Supply Systems: Drought Management and Policy Development in the Mediterranean; Springer: Berlin/Heidelberg, Germany, 2009. [Google Scholar]
- Eslamian, S. Handbook of Engineering Hydrology: Modeling, Climate Change, and Variability, 1st ed.; CRC Press: Boca Raton, FL, USA, 2014. [Google Scholar]
- Jehanzaib, M.; Kim, T.W. Exploring the influence of climate change-induced drought propagation on wetlands. Ecol. Eng. 2020, 149, 105799. [Google Scholar] [CrossRef]
- Hu, Y.; Feng, M.; Yuan, X. The role of human activities in the weakening of the propagation relationship between meteorological and hydrological droughts in the Heihe River Basin. Hydrol. Process. 2023, 37, 14946. [Google Scholar] [CrossRef]
- Yihdego, Y.; Vaheddoost, B.; Al-Weshah, R.A. Drought indices and indicators revisited. Arab. J. Geosci. 2019, 12, 69. [Google Scholar] [CrossRef]
- Raja, A.; Gopikrishnan, T. Drought analysis using the standardized precipitation evapotranspiration index (SPEI) at different time scales in an arid region. Eng. Technol. Appl. Sci. Res. 2022, 12, 9034–9037. [Google Scholar] [CrossRef]
- Mo, K. Model-based drought indices over the United States. J. Hydrometeorol. 2008, 9, 1212–1230. [Google Scholar] [CrossRef]
- Brouziyne, Y.; Abouabdillah, A.; Chehbouni, A.; Hanich, L.; Bergaoui, K.; McDonnell, R.; Benaabidate, L. Assessing Hydrological Vulnerability to Future Droughts in a Mediterranean Watershed: Combined Indices-Based and Distributed Modeling Approaches. Water 2020, 12, 2333. [Google Scholar] [CrossRef]
- Tramblay, Y.; Koutroulis, A.; Samaniego, L.; Vicente-Serrano, S.M.; Volaire, F.; Boone, A.; Le Page, M.; Llasat, M.C.; Albergel, C.; Burak, S.; et al. Challenges for drought assessment in the Mediterranean region under future climate scenarios. Earth-Sci. Rev. 2020, 210, 103348. [Google Scholar] [CrossRef]
- McKee, T.B.; Doesken, N.J.; Kleist, J. The relationship of drought frequency and duration of time scales. In Proceedings of the Eighth Conference on Applied Climatology, American Meteorological Society, Anaheim, CA, USA, 17–23 January 1993; pp. 179–186. [Google Scholar]
- Vicente-Serrano, S.M.; Beguería, S.; López-Moreno, J.I. A Multiscalar Drought Index Sensitive to Global Warming: The Standardized Precipitation Evapotranspiration Index. J. Clim. 2010, 23, 1696–1718. [Google Scholar] [CrossRef]
- Cardil, A.; Vega-García, C.; Ascoli, D.; Molina-Terrén, D.M.; Silva, C.A.; Rodrigues, M. How does drought impact burned area in Mediterranean vegetation communities? Sci. Total Environ. 2019, 693, 133603. [Google Scholar] [CrossRef]
- Almeida-Ñauñay, A.F.; Villeta, M.; Quemada, M.; Tarquis, A.M. Assessment of Drought Indexes on Different Time Scales: A Case in Semiarid Mediterranean Grasslands. Remote Sens. 2022, 14, 565. [Google Scholar] [CrossRef]
- Mathbout, S.; Lopez-Bustins, J.A.; Royé, D.; Martin-Vide, J. Mediterranean-Scale Drought: Regional Datasets for Exceptional Meteorological Drought Events during 1975–2019. Atmosphere 2021, 12, 941. [Google Scholar] [CrossRef]
- Lorenzo-Lacruz, J.; Vicente-Serrano, S.; Gonzalez-Hidalgo, J.; López-Moreno, J.; Cortesi, N. Hydrological drought response to meteorological drought in the Iberian Peninsula. Clim. Res. 2013, 58, 117–131. [Google Scholar] [CrossRef]
- Turkes, M.; Turp, M.T.; An, N.; Ozturk, T.; Kurnaz, M.L. Impacts of climate change on precipitation climatology and variability in Turkey. In Water Resources of Turkey; Springer: Berlin/Heidelberg, Germany, 2020; pp. 467–491. [Google Scholar]
- Hertig, E.; Tramblay, Y. Regional downscaling of Mediterranean droughts under past and future climatic conditions. Glob. Planet. Chang. 2017, 151, 36–48. [Google Scholar] [CrossRef]
- Milano, M.; Ruelland, D.; Fernandez, S.; Dezetter, A.; Fabre, J.; Servat, E.; Fritsch, J.-M.; Ardoin-Bardin, S.; Thivet, G. Current state of Mediterranean water resources and future trends under climatic and anthropogenic changes. Hydrol. Sci. J. 2013, 58, 498–518. [Google Scholar] [CrossRef]
- Sanchis-Ibor, C.; Molle, F.; Kuper, M. Irrigation and water governance. In Water Resources in the Mediterranean Region; Elsevier: Amsterdam, The Netherlands, 2020; pp. 77–106. [Google Scholar]
- Zellou, B.; El Moçayd, N.; Bergou, E.H. Towards improved drought prediction in the Mediterranean region–modeling approaches and future directions. Nat. Hazards Earth Syst. Sci. 2023, 23, 3543–3583. [Google Scholar] [CrossRef]
- Nikolova, N.; Radeva, K.; Todorov, L.; Matev, S. Drought Dynamics and Drought Hazard Assessment in Southwest Bulgaria. Atmosphere 2024, 15, 888. [Google Scholar] [CrossRef]
- Zhao, Y.; Zhang, J.; Bai, Y.; Zhang, S.; Yang, S.; Henchiri, M.; Seka, A.M.; Nanzad, L. Drought monitoring and performance evaluation based on machine learning fusion of multi-source remote sensing drought factors. Remote Sens. 2022, 14, 6398. [Google Scholar] [CrossRef]
- Vogt, J.V.; Niemeyer, S.; Somma, F.; Beaudin, I.; Viau, A.A. Drought monitoring from space. In Drought and Drought Mitigation in Europe; Vogt, J.V., Somma, F., Eds.; Springer: Berlin/Heidelberg, Germany, 2000; Volume 14, pp. 131–142. [Google Scholar] [CrossRef]
- Choi, M.; Jacobs, J.M.; Anderson, M.C.; Bosch, D.D. Evaluation of drought indices via remotely sensed data with hydrological variables. J. Hydrol. 2013, 476, 265–273. [Google Scholar] [CrossRef]
- Sur, C.; Hur, J.; Kim, K.; Choi, W.; Choi, M. An evaluation of satellite-based drought indices on a regional scale. Int. J. Remote Sens. 2015, 36, 5593–5612. [Google Scholar] [CrossRef]
- Jafari, S.M.; Nikoo, M.R.; Dehghani, M.; Alijanian, M. Evaluation of two satellite-based products against ground-based observation for drought analysis in the southern part of Iran. Nat. Hazards 2020, 102, 1249–1267. [Google Scholar] [CrossRef]
- Liu, X.; Feng, X.; Ciais, P.; Fu, B.; Hu, B.; Sun, Z. GRACE satellite-based drought index indicating increased impact of drought over major basins in China during 2002–2017. Agric. For. Meteorol. 2020, 291, 108057. [Google Scholar] [CrossRef]
- Mahmoudi, P.; Rigi, A.; Kamak, M.M. Evaluating the sensitivity of precipitation-based drought indices to different lengths of record. J. Hydrol. 2019, 579, 124181. [Google Scholar] [CrossRef]
- Svensson, C.; Hannaford, J.; Prosdocimi, I. Statistical distributions for monthly aggregations of precipitation and streamflow in drought indicator applications. Water Resour. Res. 2017, 53, 999–1018. [Google Scholar] [CrossRef]
- Roushangar, K.; Ghasempour, R.; Kirca, V.O.; Demirel, M. Hybrid point and interval prediction approaches for drought modeling using ground-based and remote sensing data. Hydrol. Res. 2021, 52, 1469–1489. [Google Scholar] [CrossRef]
- Barlow, M.; Zaitchik, B.; Paz, S.; Black, E.; Evans, J.; Hoell, A. A Review of Drought in the Middle East and Southwest Asia. J. Clim. 2016, 29, 8547–8574. [Google Scholar] [CrossRef]
- Barlow, M.; Cullen, H.; Lyon, B. Drought in Central and Southwest Asia: La Niña, the Warm Pool, and Indian Ocean Precipitation. J. Clim. 2002, 15, 697–700. [Google Scholar] [CrossRef]
- Fathi-Taperasht, A.; Shafizadeh-Moghadam, H.; Kouchakzadeh, M. MODIS-based evaluation of agricultural drought, water use efficiency and post-drought in Iran; considering the influence of heterogeneous climatic regions. J. Clean. Prod. 2022, 374, 133836. [Google Scholar] [CrossRef]
- Fathi-Taperasht, A.; Shafizadeh-Moghadam, H.; Sadian, A.; Xu, T.; Nikoo, M.R. Drought-induced vulnerability and resilience of different land use types using time series of MODIS-based indices. Int. J. Disaster Risk Reduct. 2023, 91, 103703. [Google Scholar] [CrossRef]
- Zhai, J.; Mondal, S.K.; Fischer, T.; Wang, Y.; Su, B.; Huang, J.; Tao, H.; Wang, G.; Ullah, W.; Uddin, M.J. Future drought characteristics through a multi-model ensemble from CMIP6 over South Asia. Atmos. Res. 2020, 246, 105111. [Google Scholar] [CrossRef]
- Kim, D.W.; Byun, H.R. Future pattern of Asian drought under global warming scenario. Theor. Appl. Climatol. 2009, 98l, 137–150. [Google Scholar] [CrossRef]
- Miao, L.; Li, S.; Zhang, F.; Chen, T.; Shan, Y.; Zhang, Y. Future Drought in the Dry Lands of Asia Under the 1.5 and 2.0 °C Warming Scenarios. Earth’s Future 2020, 8, e2019EF001337. [Google Scholar] [CrossRef]
- Zhang, C. Moisture sources for precipitation in Southwest China in summer and the changes during the extreme droughts of 2006 and 2011. J. Hydrol. C 2020, 591, 125333. [Google Scholar] [CrossRef]
- Beaudoing, H.; Rodell, M. NASA/GSFC/HSL. In GLDAS Noah Land Surface Model L4 Monthly 0.25 × 0.25 Degree V2.1; Goddard Earth Sciences Data and Information Services Center (GES DISC): Greenbelt, ML, USA, 2020. [Google Scholar] [CrossRef]
- Rodell, M.; Houser, P.R.; Jambor, U.; Gottschalck, J.; Mitchell, K.; Meng, C.J.; Arsenault, K.; Cosgrove, B.; Radakovich, J.; Bosilovich, M.; et al. The Global Land Data Assimilation System. Bull. Am. Meteorol. Soc. 2004, 85, 381–394. [Google Scholar] [CrossRef]
- Bai, P.; Liu, X.; Yang, T.; Liang, K.; Liu, C. Evaluation of streamflow simulation results of land surface models in GLDAS on the Tibetan Plateau. J. Geophys. Res. Atmos. 2016, 121, 12180–12197. [Google Scholar] [CrossRef]
- Zhang, J.; Wang, W.; Wei, J. Assessing land-atmosphere coupling using soil moisture from the global land data assimilation system and observational precipitation. J. Geophys. Res. Atmos. 2008, 113, 2008JD009807. [Google Scholar] [CrossRef]
- Sun, X.; Lai, P.; Wang, S.; Song, L.; Ma, M.; Han, X. Monitoring of extreme agricultural drought of the past 20 years in southwest china using gldas soil moisture. Remote Sens. 2022, 14, 1323. [Google Scholar] [CrossRef]
- Rzepecka, Z.; Biryło, M. Groundwater storage changes derived from grace and gldas on smaller river basins-A case study in poland. Geosciences 2020, 10, 124. [Google Scholar] [CrossRef]
- Wang, F.; Wang, L.; Koike, T.; Zhou, H.; Yang, K.; Wang, A.; Li, W. Evaluation and application of a fine-resolution global data set in a semiarid mesoscale river basin with a distributed biosphere hydrological model. J. Geophys. Res. Atmos. 2011, 116, 2011jd015990. [Google Scholar] [CrossRef]
- Wang, W.; Cui, W.; Wang, X.; Chen, X. Evaluation of GLDAS-1 and GLDAS-2 Forcing Data and Noah Model Simulations over China at the Monthly Scale. J. Hydrometeorol. 2016, 17, 2815–2833. [Google Scholar] [CrossRef]
- Qi, W.; Liu, J.; Yang, H.; Zhu, X.; Tian, Y.; Jiang, X.; Huang, X.; Feng, L. Large Uncertainties in Runoff Estimations of GLDAS Versions 2.0 and 2.1 in China. Earth Space Sci. 2020, 7, e2019EA000829. [Google Scholar] [CrossRef]
- Blankenau, P.A.; Kilic, A.; Allen, R. An evaluation of gridded weather data sets for the purpose of estimating reference evapotranspiration in the United States. Agric. Water Manag. 2020, 242, 106376. [Google Scholar] [CrossRef]
- Araki, R.; Mu, Y.; McMillan, H. Evaluation of GLDAS soil moisture seasonality in arid climates. Hydrol. Sci. J. 2023, 68, 1109–1126. [Google Scholar] [CrossRef]
- Broxton, P.D.; Zeng, X.; Dawson, N. Why Do Global Reanalyses and Land Data Assimilation Products Underestimate Snow Water Equivalent? J. Hydrometeorol. 2016, 17, 2743–2761. [Google Scholar] [CrossRef]
- Xoplaki, E.; Trigo, R.; García-Herrera, R.; Barriopedro, D.; D’Andrea, F.; Fischer, E.; Gimeno, L.; Gouveia, C.; Hernández, E.; Kuglitsch, F.G.; et al. Large-Scale Atmospheric Circulation Driving Extreme Climate Events in the Mediterranean and Its Related Impacts; Elsevier: Amsterdam, The Netherlands, 2012; pp. 347–417. [Google Scholar] [CrossRef]
- MedECC. Summary for policymakers. In Climate and Environmental Change in the Mediterranean Basin—Current Situation and Risks for the Future. First Mediterranean Assessment Report; Cramer, W., Guiot, J., Marini, K., Eds.; Union for the Mediterranean, Plan Bleu, UNEP/MAP: Marseille, France, 2020; pp. 11–40. [Google Scholar] [CrossRef]
- Avanzi, F.; Rungee, J.; Maurer, T.; Bales, R.; Ma, Q.; Glaser, S.; Conklin, M. Climate elasticity of evapotranspiration shifts the water balance of Mediterranean climates during multi-year droughts. Hydrol. Earth Syst. Sci. 2020, 24, 4317–4337. [Google Scholar] [CrossRef]
- Castle, S.; Thomas, B.; Reager, J.; Rodell, M.; Swenson, S.; Famiglietti, J. Groundwater depletion during drought threatens future water security of the Colorado River Basin. Geophys. Res. Lett. 2014, 41, 5904–5911. [Google Scholar] [CrossRef] [PubMed]
- Yin, J.; Medellín-Azuara, J.; Escriva-Bou, A. Groundwater levels hierarchical clustering and regional groundwater drought assessment in heavily drafted aquifers. Hydrol. Res. 2022, 53, 1031–1046. [Google Scholar] [CrossRef]
- Sarris, D.; Christodoulakis, D.; Körner, C. Impact of recent climatic change on growth of low elevation eastern mediterranean forest trees. Clim. Chang. 2010, 106, 203–223. [Google Scholar] [CrossRef]
- Guiot, J.; Kaniewski, D. The Mediterranean Basin and southern Europe in a warmer world: What can we learn from the past? Front. Earth Sci. 2015, 3, 28. [Google Scholar] [CrossRef]
- Hodell, D.A.; Brenner, M.; Curtis, J.H.; Guilderson, T. Solar Forcing of Drought Frequency in the Maya Lowlands. Science 2001, 292, 1367–1370. [Google Scholar] [CrossRef]
- Santos, J.F.; Pulido-Calvo, I.; Portela, M.M. Spatial and temporal variability of droughts in Portugal. Water Resour. Res. 2010, 46, 2009WR008071. [Google Scholar] [CrossRef]
- Zhang, R.; Zhang, T.; Kelgenbayev, N.; He, Q.; Maisupova, B.; Mambetov, B.T.; Chen, F.; Dosmanbetov, D.; Shang, H.; Yu, S.; et al. A 189-year tree-ring record of drought for the Dzungarian Alatau, arid Central Asia. J. Asian Earth Sci. 2017, 148, 305–314. [Google Scholar] [CrossRef]
- Şahin, A.U.; Ozkaya, A. Identification of sinkhole-prone zones by successive coincidence deficit index analysis. Hydrol. Process. 2024, 38, e15208. [Google Scholar] [CrossRef]
- Tan, X.; Liu, B.; Tan, X. Long-term water imbalances of watersheds resulting from biases in hydroclimatic data sets for water budget analyses. Water Resour. Res. 2022, 58, e2021WR031209. [Google Scholar] [CrossRef]
- Ye, B.; Yang, D.; Ma, L. Effect of precipitation bias correction on water budget calculation in upper Yellow River, China. Environ. Res. Lett. 2012, 7, 025201. [Google Scholar] [CrossRef]
- Al-Sudani, H. Derivation mathematical equations to estimate water surplus and groundwater recharge in Iraq. Appl. Water Sci. 2020, 10, 97. [Google Scholar] [CrossRef]
- Zhang, W.; Zhou, T.; Zhang, L. Wetting and greening Tibetan Plateau in early summer in recent decades. J. Geophys. Res. Atmos. 2017, 122, 5808–5822. [Google Scholar] [CrossRef]
- Dierauer, J.; Zhu, C. Drought in the twenty-first century in a water-rich region: Modeling study of the Wabash River watershed, USA. Water 2020, 12, 181. [Google Scholar] [CrossRef]
- Wada, Y.; Beek, L.; Wanders, N.; Bierkens, M. Human water consumption intensifies hydrological drought worldwide. Environ. Res. Lett. 2013, 8, 034036. [Google Scholar] [CrossRef]
- Mao, J.; Shi, X.; Thornton, P.E.; Hoffman, F.M.; Zhu, Z.; Myneni, R.B. Global Latitudinal-Asymmetric Vegetation Growth Trends and Their Driving Mechanisms: 1982–2009. Remote Sens. 2013, 5, 1484. [Google Scholar] [CrossRef]
- Meyer, I.; Davies, G.R.; Vogt, C.; Kuhlmann, H.; Stuut, J.B.W. Changing rainfall patterns in NW Africa since the Younger Dryas. Aeolian Res. 2013, 10, 111–123. [Google Scholar] [CrossRef]
- Zhang, X.; Zwiers, F.; Hegerl, G.C.; Lambert, F.H.; Gillett, N.P.; Solomon, S.; Stott, P.A. Detection of human influence on twentieth-century precipitation trends. Nature 2007, 448, 461–465. [Google Scholar] [CrossRef] [PubMed]
- Masih, I.; Maskey, S.; Mussá, F.E.F.; Trambauer, P. A review of droughts on the African continent: A geospatial and long-term perspective. Hydrol. Earth Syst. Sci. 2014, 18, 3635–3649. [Google Scholar] [CrossRef]
- Alahacoon, N.; Edirisinghe, M.; Simwanda, M.; Perera, E.N.C.; Nyirenda, V.R.; Ranagalage, M. Rainfall Variability and Trends over the African Continent Using TAMSAT Data (1983–2020): Towards Climate Change Resilience and Adaptation. Remote Sens. 2022, 14, 96. [Google Scholar] [CrossRef]
- Ahmadalipour, A.; Moradkhani, H.; Castelletti, A.; Magliocca, N. Future drought risk in Africa: Integrating vulnerability, climate change, and population growth. Sci. Total Environ. 2019, 662, 672–686. [Google Scholar] [CrossRef]
- Gouveia, C.; Trigo, R.; Beguería, S.; Vicente-Serrano, S. Drought impacts on vegetation activity in the Mediterranean region: An assessment using remote sensing data and multi-scale drought indicators. Glob. Planet. Chang. 2017, 151, 15–27. [Google Scholar] [CrossRef]
- Čadro, S.; Žurovec, J.; Cherni-Cadro, S. Severity, magnitude and duration of droughts in bosnia and herzegovina using standardized precipitation evapotranspiration index (spei). J. Agric. For. 2017, 63, 20. [Google Scholar] [CrossRef]
- Pulido-Calvo, I.; Gutiérrez-Estrada, J.; Sanz-Fernández, V. Drought and ecological flows in the lower Guadiana River Basin (Southwest Iberian Peninsula). Water 2020, 12, 677. [Google Scholar] [CrossRef]
- Nuche, P.; Komac, B.; Camarero, J.; Alados, C. Developmental instability as an index of adaptation to drought stress in a Mediterranean oak. Ecol. Indic. 2014, 40, 68–75. [Google Scholar] [CrossRef][Green Version]
- Preece, C.; Farré-Armengol, G.; Llusià, J.; Peñuelas, J. Thirsty tree roots exude more carbon. Tree Physiol. 2018, 38, 690–695. [Google Scholar] [CrossRef]
- Cook, B.; Anchukaitis, K.; Touchan, R.; Meko, D.; Cook, E. Spatiotemporal drought variability in the Mediterranean over the last 900 years. J. Geophys. Res. Atmos. 2016, 121, 2060–2074. [Google Scholar] [CrossRef] [PubMed]
- Caloiero, T.; Veltri, S.; Caloiero, P.; Frustaci, F. Drought analysis in Europe and in the Mediterranean Basin using the standardized precipitation index. Water 2018, 10, 1043. [Google Scholar] [CrossRef]
- Peel, M.C.; Finlayson, B.L.; McMahon, T.A. Updated world map of the Köppen-Geiger climate classification. Hydrol. Earth Syst. Sci. 2007, 11, 1633–1644. [Google Scholar] [CrossRef]
- Kim, W.M.; González-Roji, S.J.; Raible, C.C. Extratropical circulation associated with Mediterranean droughts during the Last Millennium in CMIP5 simulations. Clim. Past 2023, 19, 2511–2533. [Google Scholar] [CrossRef]
- Kim, W.M.; Raible, C.C. Dynamics of the Mediterranean droughts from 850 to 2099 CE in the Community Earth System Model. Clim. Past 2021, 17, 887–911. [Google Scholar] [CrossRef]
- Kesgin, E.; Yaldız, S.G.; Güçlü, Y.S. Spatiotemporal variability and trends of droughts in the Mediterranean coastal region of Türkiye. Int. J. Climatol. 2024, 44, 1036–1057. [Google Scholar] [CrossRef]
- Royo-Navascues, M.; Martínez del Castillo, E.; Tejedor, E.; Serrano-Notivoli, R.; Longares, L.A.; Saz, M.A.; Novak, K.; de Luis, M. The Imprint of Droughts on Mediterranean Pine Forests. Forests 2022, 13, 1396. [Google Scholar] [CrossRef]
- Rabitz, F. Two problems or one? Climate engineering and conceptual disaggregation. Earth Syst. Gov. 2024, 19, 100202. [Google Scholar] [CrossRef]
- Muri, H.; Kristjánsson, J.E.; Storelvmo, T.; Pfeffer, M.A. The climatic effects of modifying cirrus clouds in a climate engineering framework. J. Geophys. Res. Atmos. 2014, 119, 4174–4191. [Google Scholar] [CrossRef]
- Wilhelm, M.; Davin, E.L.; Seneviratne, S.I. Climate engineering of vegetated land for hot extremes mitigation: An Earth system model sensitivity study. J. Geophys. Res. Atmos. 2015, 120, 2612–2623. [Google Scholar] [CrossRef]
- Zhao, M.; Boll, J. Adaptation of water resources management under climate change. Front. Water 2022, 4, 983228. [Google Scholar] [CrossRef]
- Wendt, D.E.; Bloomfield, J.P.; Van Loon, A.F.; Garcia, M.; Heudorfer, B.; Larsen, J.; Hannah, D.M. Evaluating integrated water management strategies to inform hydrological drought mitigation. Nat. Hazards Earth Syst. Sci. 2021, 21, 3113–3139. [Google Scholar] [CrossRef]
- Kahil, M.T.; Dinar, A.; Albiac, J. Modeling water scarcity and droughts for policy adaptation to climate change in arid and semiarid regions. J. Hydrol. 2015, 522, 95–109. [Google Scholar] [CrossRef]
- Elgendy, M.; Hassini, S.; Coulibaly, P. Review of Climate Change Adaptation Strategies in Water Management. J. Hydrol. Eng. 2024, 29, 03123001. [Google Scholar] [CrossRef]














| Country | Region | Annual Rainfall (mm) | Annual Ground Water Storage (mm) | ||||||
|---|---|---|---|---|---|---|---|---|---|
| Mean | Std | Min | Max | Mean | Std | Min | Max | ||
| Albania | Central and Eastern Europe | 1060 | 159 | 755 | 1377 | 803 | 106 | 562 | 948 |
| Algeria | Northern Africa | 102 | 24 | 60 | 155 | 390 | 240 | 78 | 1647 |
| Croatia | Central and Eastern Europe | 1067 | 165 | 731 | 1438 | 871 | 294 | 441 | 1964 |
| Cyprus | Southern Europe | 459 | 108 | 282 | 682 | 569 | 14 | 554 | 590 |
| Egypt | Northern Africa | 33 | 10 | 23 | 67 | 297 | 124 | 78 | 930 |
| France | Western Europe | 841 | 82 | 697 | 978 | 1061 | 388 | 416 | 2050 |
| Greece | Southern Europe | 823 | 88 | 677 | 989 | 647 | 139 | 428 | 1210 |
| Israel | Arabian Peninsula | 190 | 34 | 116 | 244 | 602 | 158 | 405 | 914 |
| Italy | Southern Europe | 848 | 113 | 665 | 1078 | 865 | 325 | 515 | 2076 |
| Lebanon | Arabian Peninsula | 379 | 92 | 195 | 530 | 683 | 110 | 543 | 945 |
| Libya | Arabian Peninsula | 52 | 8 | 37 | 68 | 285 | 138 | 79 | 1800 |
| Montenegro | Central and Eastern Europe | 1102 | 175 | 758 | 1405 | 897 | 175 | 581 | 1402 |
| Morocco | Northern Africa | 272 | 79 | 177 | 448 | 512 | 164 | 123 | 1352 |
| Slovenia | Central and Eastern Europe | 1133 | 142 | 878 | 1455 | 989 | 277 | 622 | 1778 |
| Spain | Southern Europe | 655 | 94 | 495 | 830 | 971 | 309 | 268 | 1966 |
| Syria | Arabian Peninsula | 292 | 62 | 179 | 394 | 889 | 476 | 352 | 2017 |
| Tunisia | Northern Africa | 273 | 56 | 155 | 386 | 669 | 392 | 88 | 1713 |
| Turkey | Central and Eastern Europe | 680 | 72 | 545 | 839 | 769 | 268 | 351 | 1836 |
Disclaimer/Publisher’s Note: The statements, opinions and data contained in all publications are solely those of the individual author(s) and contributor(s) and not of MDPI and/or the editor(s). MDPI and/or the editor(s) disclaim responsibility for any injury to people or property resulting from any ideas, methods, instructions or products referred to in the content. |
© 2025 by the authors. Licensee MDPI, Basel, Switzerland. This article is an open access article distributed under the terms and conditions of the Creative Commons Attribution (CC BY) license (https://creativecommons.org/licenses/by/4.0/).
Share and Cite
Akan, G.C.; Şahin, A.U.; Özkaya, A. Identifying Persistent Drought Regions for Mediterranean Basin Using Simple Coincidence Deficit Index Approach. Water 2025, 17, 752. https://doi.org/10.3390/w17050752
Akan GC, Şahin AU, Özkaya A. Identifying Persistent Drought Regions for Mediterranean Basin Using Simple Coincidence Deficit Index Approach. Water. 2025; 17(5):752. https://doi.org/10.3390/w17050752
Chicago/Turabian StyleAkan, Gökçe Ceylan, Abdurrahman Ufuk Şahin, and Arzu Özkaya. 2025. "Identifying Persistent Drought Regions for Mediterranean Basin Using Simple Coincidence Deficit Index Approach" Water 17, no. 5: 752. https://doi.org/10.3390/w17050752
APA StyleAkan, G. C., Şahin, A. U., & Özkaya, A. (2025). Identifying Persistent Drought Regions for Mediterranean Basin Using Simple Coincidence Deficit Index Approach. Water, 17(5), 752. https://doi.org/10.3390/w17050752

