Two-Dimensional Transient Flow in a Confined Aquifer with a Cut-Off Curtain Due to Dewatering
Abstract
1. Introduction
2. Methods
2.1. Mathematical Model
2.2. Solution
3. Verification
3.1. Comparison with Numerical Solution
3.2. Comparison with Field Test
4. Results and Discussion
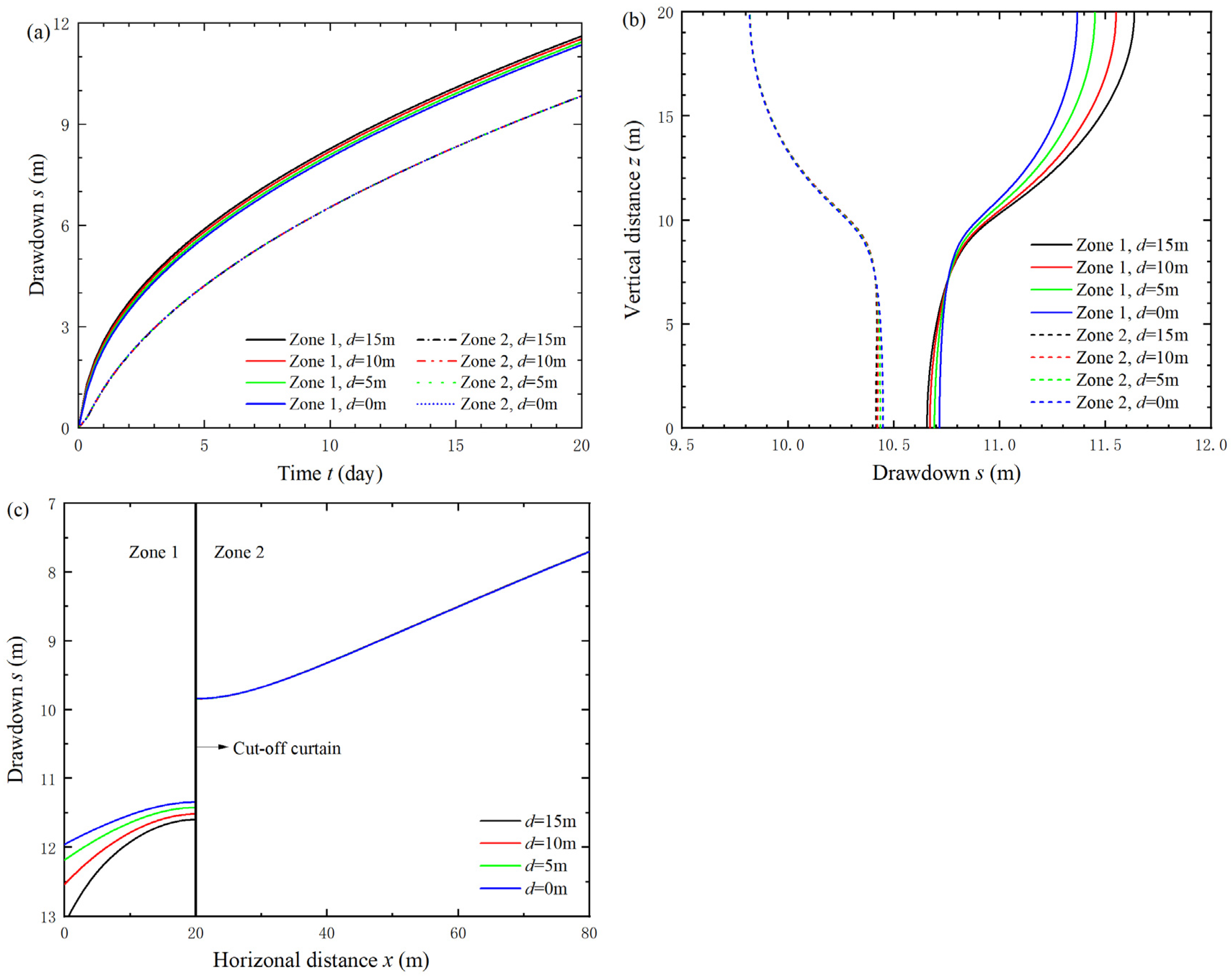
4.1. Effect of Curtain Insertion Depth
4.2. Effect of Well Screen Location
4.3. Effect of Well Screen Length
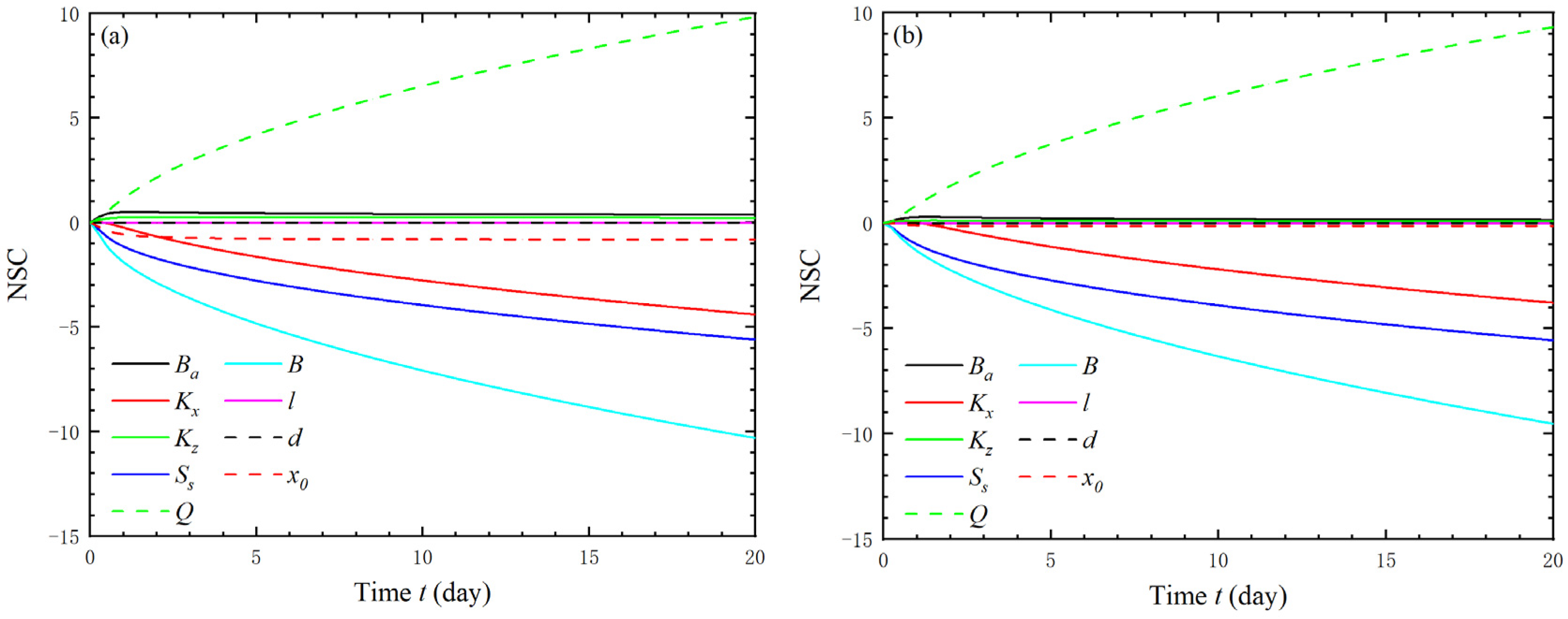
4.4. Sensitivity Analysis
4.5. Limitations of the Present Solution
5. Conclusions
- (1)
- The obtained solution is verified by making comparisons with the numerical solution using the finite element method and field pumping test data and shows its correctness and engineering applicability.
- (2)
- The influence of the cut-off curtain on drawdown within the pit is significant compared with that outside the pit, and the drawdown difference on two sides of the curtain increases as the insertion depth of the cut-off curtain increases.
- (3)
- To achieve better dewatering effects inside the pit, it is advisable to place the well screen near the top of the confined aquifer and maintain a screen length that is equal to or less than the insertion depth of the cut-off curtain.
- (4)
- Regardless of whether the observation is made inside or outside the curtain, the drawdown is very sensitive to changes in parameters Q, B, Ss, and Kx, and drawdowns inside the pit and near the cut-off curtain outside the pit are sensitive to Kz, x0, and Ba.
- (5)
- The parameter of the open interval in the aquifer produces a positive influence on the drawdown outside the pit and has a negative effect on the drawdown inside the pit. Additionally, the well structure parameters l and d have no impact on drawdown outside the cut-off curtain.
Author Contributions
Funding
Data Availability Statement
Conflicts of Interest
Appendix A
References
- Theis, C.V. The relation between the lowering of the piezometric surface and the rate and duration of discharge of a well using ground-water storage. Trans. Am. Geophys. Union 1935, 16, 519–524. [Google Scholar] [CrossRef]
- Hantush, M.S. Hydraulics of wells. Adv. Hydrosci. 1964, 1, 281–432. [Google Scholar]
- Neuman, S.P.; Witherspoon, P. Theory of flow in a confined two aquifer system. Water Resour. Res. 1969, 5, 803–816. [Google Scholar] [CrossRef]
- Moench, A.F. Transient flow to a large-diameter well in an aquifer with storative semiconfining layers. Water Resour. Res. 1985, 21, 1121–1131. [Google Scholar] [CrossRef]
- Bear, J. Hydraulics of Groundwater; McGraw-Hill: Dover, NY, USA, 2007. [Google Scholar]
- Perina, T.; Lee, T.C. General well function for pumping from a confined, leaky, or unconfined aquifer. J. Hydrol. 2006, 317, 239–260. [Google Scholar] [CrossRef]
- Lin, Y.C.; Yang, S.Y.; Fen, C.S.; Yeh, H.D. A general analytical model for pumping tests in radial finite two-zone confined aquifers with Robin-type outer boundary. J. Hydrol. 2016, 540, 1162–1175. [Google Scholar] [CrossRef]
- Feng, Q.G.; Zhan, H.B. Two-region flow caused by pumping at a partial penetration well in a leaky confined aquifer. Int. J. Numer. Anal. Methods Geomech. 2023, 47, 717–735. [Google Scholar] [CrossRef]
- Pujades, E.; Carrera, J.; Jurado, A.; Vázquez-Suñé, E.; Vilarrasa, V.; Mascuñano-Salvador, E. Hydraulic characterization of diaphragm walls for cut and cover tunnelling. Eng. Geol. 2012, 125, 1–10. [Google Scholar] [CrossRef]
- Shen, S.L.; Xu, Y.S. Numerical evaluation of land subsidence induced by groundwater pumping. Can. Geotech. J. 2011, 48, 1378–1392. [Google Scholar] [CrossRef]
- Tan, Y.; Lu, Y.; Wang, D.L. Deep excavation of the gate of the orient in Suzhou stiff clay: Composite earth-retaining systems and dewatering plans. J. Geotech. Geoenviron. 2018, 144, 05017009. [Google Scholar] [CrossRef]
- Wang, J.X.; Liu, X.T.; Liu, S.L.; Zhu, Y.F.; Pan, W.Q.; Zhou, J. Physical model test of transparent soil on coupling effect of cut-off wall and pumping wells during foundation pit dewatering. Acta Geotech. 2019, 14, 141–162. [Google Scholar] [CrossRef]
- Zeng, C.F.; Wang, S.; Xue, X.L.; Zheng, G.; Mei, G.X. Evolution of deep ground settlement subject to groundwater drawdown during dewatering in a multi-layered aquifer-aquitard system: Insights from numerical modelling. J. Hydrol. 2021, 603, 127078. [Google Scholar] [CrossRef]
- Zheng, G.; Cao, J.R.; Cheng, X.S.; Ha, D.; Wang, F.J. Experimental study on the artificial recharge of semiconfined aquifers involved in deep excavation engineering. J. Hydrol. 2018, 557, 868–877. [Google Scholar] [CrossRef]
- Wu, Y.X.; Shen, S.L.; Yuan, D.J. Characteristics of dewatering induced drawdown curve under blocking effect of retaining wall in aquifer. J. Hydrol. 2016, 539, 554–566. [Google Scholar] [CrossRef]
- Xu, Y.S.; Shen, S.L.; Ma, L.; Sun, W.J.; Yin, Z.Y. Evaluation of the blocking effect of retaining walls on groundwater seepage in aquifers with different insertion depths. Eng. Geol. 2014, 183, 254–264. [Google Scholar] [CrossRef]
- Pujades, E.; Vazquez-Sune, E.; Carrera, J.; Jurado, A. Dewatering of a deep excavation undertaken in a layered soil. Eng. Geol. 2014, 178, 15–27. [Google Scholar] [CrossRef]
- Zhang, Y.Q.; Wang, J.H.; Chen, J.J.; Li, M.G. Numerical study on the responses of groundwater and strata to pumping and recharge in a deep confined aquifer. J. Hydrol. 2017, 548, 342–352. [Google Scholar] [CrossRef]
- Wang, X.W.; Yang, T.L.; Xu, Y.S.; Shen, S.L. Evaluation of optimized depth of waterproof curtain to mitigate negative impacts during dewatering. J. Hydrol. 2019, 577, 123969. [Google Scholar] [CrossRef]
- Xu, Y.S.; Yan, X.X.; Shen, S.L.; Zhou, A.N. Experimental investigation on the blocking of groundwater seepage from a waterproof curtain during pumped dewatering in an excavation. Hydrogeol. J. 2019, 27, 2659–2672. [Google Scholar] [CrossRef]
- Li, M.G.; Chen, J.J.; Xia, X.H.; Zhang, Y.Q.; Wang, D.F. Statistical and hydro-mechanical coupling analyses on groundwater drawdown and soil deformation caused by dewatering in a multi-aquifer-aquitard system. J. Hydrol. 2020, 589, 125365. [Google Scholar] [CrossRef]
- Zeng, C.F.; Liao, H.; Xue, X.L.; Long, S.C.; Luo, G.J.; Diao, Y.; Li, M.G. Responses of groundwater and soil to dewatering considering the barrier effect of adjacent metro station on multi-aquifers. J. Hydrol. 2022, 612, 128117. [Google Scholar] [CrossRef]
- Zeng, C.F.; Chen, H.B.; Liao, H.; Xue, X.L.; Chen, Q.N.; Diao, Y. Behaviours of Groundwater and Strata during Dewatering of Large-Scale Excavations with a Nearby Underground Barrier. J. Hydrol. 2023, 20, 129400. [Google Scholar] [CrossRef]
- Zhang, X.H.; Wang, X.W.; Xu, Y.S. Influence of filter tube of pumping well on groundwater drawdown during deep foundation pit dewatering. Water 2021, 13, 3297. [Google Scholar] [CrossRef]
- Shen, S.L.; Wu, Y.X.; Misra, A. Calculation of head difference at two sides of a cutoff barrier during excavation dewatering. Comput. Geotech. 2017, 91, 192–202. [Google Scholar] [CrossRef]
- Feng, Q.G.; Cai, B.H.; Feng, X.L.; Yuan, X. Analytical solutions of transient flow model for a partially penetrating well in a finite leaky confined aquifer system. Rock Soil Mech. 2021, 42, 168–176. [Google Scholar]
- Yang, K.F.; Xu, C.J.; Wang, P. Analytical analysis of the groundwater drawdown difference induced by foundation pit dewatering with a suspended cut-off curtain. Appl. Sci. 2022, 12, 10301. [Google Scholar] [CrossRef]
- Feng, Q.G.; Lin, H.M. Transient flow induced by pumping in an anisotropic confined aquifer with a cut-off curtain during excavation dewatering. Comput. Geotech. 2024, 168, 106116. [Google Scholar] [CrossRef]
- Wu, Y.X.; Shen, J.S.; Chen, W.C.; Hino, T. Semi-analytical solution to pumping test data with barrier, wellbore storage, and partial penetration effects. Eng. Geol. 2017, 226, 44–51. [Google Scholar] [CrossRef]
- Lyu, H.M.; Shen, S.L.; Wu, Y.X.; Zhou, A.N. Calculation of groundwater head distribution with a close barrier during excavation dewatering in confined aquifer. Geosci. Front. 2021, 12, 791–803. [Google Scholar] [CrossRef]
- Sun, X.Y.; Jiang, Z.X.; Tong, L.Y.; Sun, J.W.; Cui, J.; Zhou, X.; Liu, S.Y. Optimization of confined aquifer dewatering for long-deep excavation using simulation-optimization method. Undergr. Space 2024, 17, 246–266. [Google Scholar] [CrossRef]
- Tan, W.J.; Kang, H.B.; Xu, J.; Wang, X.D. Analysis of steady groundwater flow in confined aquifer due to long-strip pit dewatering with suspended cut-off curtain. Sustainability 2023, 15, 15699. [Google Scholar] [CrossRef]
- Stehfest, H. Numerical inversion of Laplace transforms. Commun. ACM 1970, 13, 47–49. [Google Scholar] [CrossRef]
- Kabala, Z.J. Sensitivity analysis of a pumping test on a well with wellbore storage and skin. Adv. Water Resour. 2001, 24, 483–504. [Google Scholar] [CrossRef]
- Feng, Q.G.; Luo, Y.; Zhan, H.B. Three-dimensional response to a partially penetration well pumping in a general anisotropic three-layer aquifer system. J. Hydrol. 2020, 585, 124850. [Google Scholar] [CrossRef]
- Huang, Y.C.; Yeh, H.D. The use of sensitivity analysis in on-line aquifer parameter estimation. J. Hydrol. 2007, 335, 406–418. [Google Scholar] [CrossRef]
- Samarinas, N.; Tzimopoulos, C.; Evangelides, C. Fuzzy Numerical Solution to the Unconfined Aquifer Problem under the Boussinesq Equation. Water Supply 2021, 21, 3210–3224. [Google Scholar] [CrossRef]
- Tzimopoulos, C.; Papadopoulos, K.; Samarinas, N.; Papadopoulos, B.; Evangelides, C. Fuzzy Finite Elements Solution Describing Recession Flow in Unconfined Aquifers. Hydrology 2024, 11, 47. [Google Scholar] [CrossRef]
- Chang, C.C.; Chen, C.S. A flowing partially penetrating well in a finite-thickness aquifer: A mixed-type initial boundary value problem. J. Hydrol. 2003, 271, 101–118. [Google Scholar] [CrossRef]








Disclaimer/Publisher’s Note: The statements, opinions and data contained in all publications are solely those of the individual author(s) and contributor(s) and not of MDPI and/or the editor(s). MDPI and/or the editor(s) disclaim responsibility for any injury to people or property resulting from any ideas, methods, instructions or products referred to in the content. |
© 2025 by the authors. Licensee MDPI, Basel, Switzerland. This article is an open access article distributed under the terms and conditions of the Creative Commons Attribution (CC BY) license (https://creativecommons.org/licenses/by/4.0/).
Share and Cite
Li, G.; Lin, H.; Deng, M.; Wang, L.; Wang, J.; Kong, F.; Zhang, Y.; Feng, Q. Two-Dimensional Transient Flow in a Confined Aquifer with a Cut-Off Curtain Due to Dewatering. Water 2025, 17, 601. https://doi.org/10.3390/w17040601
Li G, Lin H, Deng M, Wang L, Wang J, Kong F, Zhang Y, Feng Q. Two-Dimensional Transient Flow in a Confined Aquifer with a Cut-Off Curtain Due to Dewatering. Water. 2025; 17(4):601. https://doi.org/10.3390/w17040601
Chicago/Turabian StyleLi, Guangcheng, Huiming Lin, Min Deng, Lu Wang, Jianxiao Wang, Fanshui Kong, Yushan Zhang, and Qinggao Feng. 2025. "Two-Dimensional Transient Flow in a Confined Aquifer with a Cut-Off Curtain Due to Dewatering" Water 17, no. 4: 601. https://doi.org/10.3390/w17040601
APA StyleLi, G., Lin, H., Deng, M., Wang, L., Wang, J., Kong, F., Zhang, Y., & Feng, Q. (2025). Two-Dimensional Transient Flow in a Confined Aquifer with a Cut-Off Curtain Due to Dewatering. Water, 17(4), 601. https://doi.org/10.3390/w17040601

