Evaluating the Spatial and Temporal Transferability of Model Parameters of a Distributed Soil Conservation Service–Soil Moisture Antecedent–Simple Lag and Route Model for South Mediterranean Catchments
Abstract
1. Introduction
- (1)
- Can a simple conceptual hydrological model effectively simulate hydrological behavior under varying spatiotemporal and climatic conditions?
- (2)
- How robust is the model when addressing the challenges posed by poor data quality and limited data availability?
2. Materials and Methods
2.1. Study Area
2.2. The Spatially Distributed Conceptual Rainfall-Runoff Model
2.2.1. The Production Function SCS-SMA Runoff Model
2.2.2. The Transfer Function Simple Lag and Route Model
2.3. Input Data
2.4. The Transferability Evaluation Methodology
2.5. Similarity Assessment Between Donor and Receptor Catchments
2.6. Model Calibration
2.7. Assessing the Spatial and Temporal Transferability
3. Results
3.1. Model Calibration on the Donor Catchments
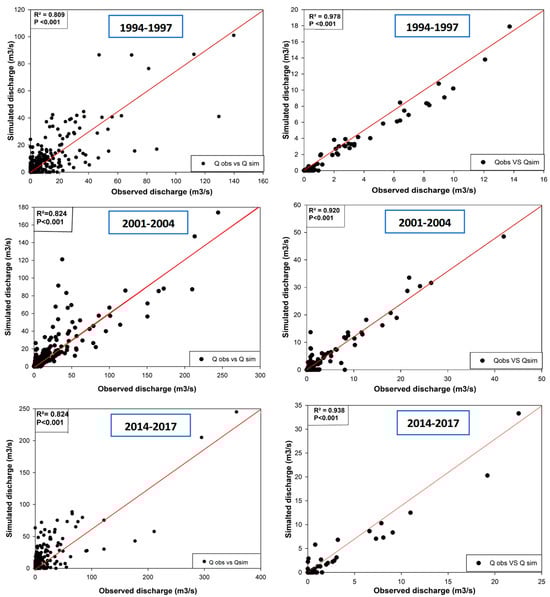
3.2. Temporal Transferability Analysis
3.2.1. Validation of the Period 1994–1997
3.2.2. Validation of the Period 2001–2004
3.2.3. Validation of the Period 2014–2017
3.3. Spatial Transferability of the Rainfall–Runoff Model
3.3.1. Validation on the Bouheurtma Catchment (Left Bank)
3.3.2. Validation on the Siliana Upstream Catchment (Right Bank)
4. Discussion
5. Conclusions
Author Contributions
Funding
Data Availability Statement
Acknowledgments
Conflicts of Interest
Abbreviations
| SCS-SMA-LR | Soil Conservation Service (SCS)–Soil Moisture Antecedent (SMA)–simple Lag and Route (LR) |
| ATHYS | Atelier HYdrologique Spatialisé |
| SWAT | Soil and Water Assessment Tools |
| GR4j | Génie Rural 4 Journalier |
| PET | Potential EvapoTranspiration |
| N | North |
| E | East |
| DGRE | Direction Générale des Ressources en Eau |
| INM | Institut National Météorologique |
| USGS | United States Geological Survey |
| °C | Degree Celsius |
| DGBGTH | Direction Générale des Barrages et des Grands Travaux Hydrauliques |
| BLUE | Best Linear Unbiased Estimator |
| AsterGDEM | Aster Global Digital Elevation Model |
| JSI | Jaccard Similarity Index |
| DSI | Duncan Dissimilarity Index |
| NS | Nash–Sutcliffe efficiency |
| RMSE | Root Mean Square Error |
| KGE | Kling–Gupta efficiency |
| R2 | Pearson correlation coefficient |
| RSR | Ratio of the Root Mean Square Error |
| PBIAS | Percentage Bias |
References
- Kamali, B.; Abbaspour, K.C.; Yang, H. Assessing the Uncertainty of Multiple Input Datasets in the Prediction of Water Resource Components. Water 2017, 9, 709. [Google Scholar] [CrossRef]
- Galletti, A.; Formetta, G.; Majone, B. A Screening Procedure for Identifying Drought Hot-Spots in a Changing Climate. Water 2023, 15, 1731. [Google Scholar] [CrossRef]
- Abbaspour, K.C.; Yang, J.; Maximov, I.; Siber, R.; Bogner, K.; Mieleitner, J.; Zobrist, J.; Srinivasan, R. Modelling Hydrology and Water Quality in the Pre-Alpine/Alpine Thur Watershed Using SWAT. J Hydrol 2007, 333, 413–430. [Google Scholar] [CrossRef]
- Tayebzadeh Moghadam, N.; Abbaspour, K.C.; Malekmohammadi, B.; Schirmer, M.; Yavari, A.R. Spatiotemporal Modelling of Water Balance Components in Response to Climate and Landuse Changes in a Heterogeneous Mountainous Catchment. Water Resour. Manag. 2021, 35, 793–810. [Google Scholar] [CrossRef]
- Clark, M.P.; Wilby, R.L.; Gutmann, E.D.; Vano, J.A.; Gangopadhyay, S.; Wood, A.W.; Fowler, H.J.; Prudhomme, C.; Arnold, J.R.; Brekke, L.D. Characterizing Uncertainty of the Hydrologic Impacts of Climate Change. Curr. Clim. Change Rep. 2016, 2, 55–64. [Google Scholar] [CrossRef]
- van der Laan, E.; Nunes, J.P.; Dias, L.F.; Carvalho, S.; Mendonça dos Santos, F. Assessing the Climate Change Adaptability of Sustainable Land Management Practices Regarding Water Availability and Quality: A Case Study in the Sorraia Catchment, Portugal. Sci. Total Environ. 2023, 897, 165438. [Google Scholar] [CrossRef]
- Sivapalan, M.; Blöschl, G.; Zhang, L.; Vertessy, R. Downward Approach to Hydrological Prediction. Hydrol. Process. 2003, 17, 2101–2111. [Google Scholar] [CrossRef]
- Sivelle, V.; Jourde, H.; Bittner, D.; Mazzilli, N.; Tramblay, Y. Assessment of the Relative Impacts of Climate Changes and Anthropogenic Forcing on Spring Discharge of a Mediterranean Karst System. J. Hydrol. 2021, 598, 126396. [Google Scholar] [CrossRef]
- Andrianaki, M.; Shrestha, J.; Kobierska, F.; Nikolaidis, N.P.; Bernasconi, S.M. Assessment of SWAT Spatial and Temporal Transferability for a High-Altitude Glacierized Catchment. Hydrol. Earth Syst. Sci. 2019, 23, 3219–3232. [Google Scholar] [CrossRef]
- Merz, R.; Blöschl, G. Regionalisation of Catchment Model Parameters. J. Hydrol. 2004, 287, 95–123. [Google Scholar] [CrossRef]
- Oudin, L.; Andréassian, V.; Perrin, C.; Michel, C.; Le Moine, N. Spatial Proximity, Physical Similarity, Regression and Ungaged Catchments: A Comparison of Regionalization Approaches Based on 913 French Catchments. Water Resour Res 2008, 44, W03413. [Google Scholar] [CrossRef]
- Pagliero, L.; Bouraoui, F.; Diels, J.; Willems, P.; McIntyre, N. Investigating Regionalization Techniques for Large-Scale Hydrological Modelling. J Hydrol 2019, 570, 220–235. [Google Scholar] [CrossRef] [PubMed]
- Acharki, S.; Taia, S.; Arjdal, Y.; Hack, J. Hydrological Modeling of Spatial and Temporal Variations in Streamflow Due to Multiple Climate Change Scenarios in Northwestern Morocco. Clim. Serv. 2023, 30, 100388. [Google Scholar] [CrossRef]
- Arnold, J.G.; Srinivasan, R.; Muttiah, R.S.; Williams, J.R. Large Area Hydrologic Modeling and Assessment Part I: Model Development1. JAWRA J. Am. Water Resour. Assoc. 1998, 34, 73–89. [Google Scholar] [CrossRef]
- Luzio, M.D.; Srinivasan, R.; Arnold, J.G. Integration of Watershed Tools and Swat Model Into Basins1. JAWRA J. Am. Water Resour. Assoc. 2002, 38, 1127–1141. [Google Scholar] [CrossRef]
- Perrin, C.; Michel, C.; Andréassian, V. Improvement of a Parsimonious Model for Streamflow Simulation. J. Hydrol. 2003, 279, 275–289. [Google Scholar] [CrossRef]
- Karki, N.; Shakya, N.M.; Pandey, V.P.; Devkota, L.P.; Pradhan, A.M.S.; Lamichhane, S. Comparative Performance of Regionalization Methods for Model Parameterization in Ungauged Himalayan Watersheds. J. Hydrol. Reg. Stud. 2023, 47, 101359. [Google Scholar] [CrossRef]
- Hartmann, A.; Goldscheider, N.; Wagener, T.; Lange, J.; Weiler, M. Karst Water Resources in a Changing World: Review of Hydrological Modeling Approaches. Rev. Geophys. 2014, 52, 218–242. [Google Scholar] [CrossRef]
- Yang, W.; Chen, H.; Xu, C.Y.; Huo, R.; Chen, J.; Guo, S. Temporal and Spatial Transferabilities of Hydrological Models under Different Climates and Underlying Surface Conditions. J. Hydrol. 2020, 591, 125276. [Google Scholar] [CrossRef]
- Thirel, G.; Andréassian, V.; Perrin, C. On the Need to Test Hydrological Models under Changing Conditions. Hydrol. Sci. J. 2015, 60, 1165–1173. [Google Scholar] [CrossRef]
- Choubin, B.; Solaimani, K.; Rezanezhad, F.; Habibnejad Roshan, M.; Malekian, A.; Shamshirband, S. Streamflow Regionalization Using a Similarity Approach in Ungauged Basins: Application of the Geo-Environmental Signatures in the Karkheh River Basin, Iran. Catena 2019, 182, 104128. [Google Scholar] [CrossRef]
- Hachemi, K.; Amrouni, Y.; Daoudi, M.; Bamousa, A.O. Diachronic Study of the Great Sebkha of Oran (Western Algeria) Based on SAR Radar Images (1992–2011). J. Taibah Univ. Sci. 2020, 14, 1433–1446. [Google Scholar] [CrossRef]
- Sellami, H.; Jeunesse, I.L.; Benabdallah, S.; Baghdadi, N.; Vanclooster, M. Uncertainty Analysis in Model Parameters Regionalization: A Case Study Involving the SWAT Model in Mediterranean Catchments (Southern France). Hydrol. Earth Syst. Sci. 2014, 18, 2393–2413. [Google Scholar] [CrossRef]
- Senent-Aparicio, J.; Jimeno-Sáez, P.; Martínez-España, R.; Pérez-Sánchez, J. Novel Approaches for Regionalising SWAT Parameters Based on Machine Learning Clustering for Estimating Streamflow in Ungauged Basins. Water Resour. Manag. 2024, 38, 423–440. [Google Scholar] [CrossRef]
- Li, Q.; Peng, Y.; Wang, G.; Wang, H.; Xue, B.; Hu, X. A Combined Method for Estimating Continuous Runoff by Parameter Transfer and Drainage Area Ratio Method in Ungauged Catchments. Water 2019, 11, 1104. [Google Scholar] [CrossRef]
- Roth, V.; Nigussie, T.K.; Lemann, T. Model Parameter Transfer for Streamflow and Sediment Loss Prediction with SWAT in a Tropical Watershed. Environ. Earth Sci. 2016, 75, 1321. [Google Scholar] [CrossRef]
- Bouvier, C.; DelClaux, F. ATHYS: A Hydrological Environment for Spatial Modelling and Coupling with GIS. In Proceedings of the Vienna Conference, Vienna, Austria, 16–19 April 1996; Volume 235, pp. 19–27. [Google Scholar]
- Louis, R.; Zech, Y.; Joseph, A.; Gonomy, N.; Soares-Frazao, S. Flood Modeling of the June 2023 Flooding of Léogâne City by the Overflow of the Rouyonne River in Haiti. Water 2024, 16, 2594. [Google Scholar] [CrossRef]
- Bouadila, A.; Bouizrou, I.; Aqnouy, M.; En-nagre, K.; El Yousfi, Y.; Khafouri, A.; Hilal, I.; Abdelrahman, K.; Benaabidate, L.; Abu-Alam, T.; et al. Streamflow Simulation in Semiarid Data-Scarce Regions: A Comparative Study of Distributed and Lumped Models at Aguenza Watershed (Morocco). Water 2023, 15, 1602. [Google Scholar] [CrossRef]
- Miller, J.D.; Vischel, T.; Fowe, T.; Panthou, G.; Wilcox, C.; Taylor, C.M.; Visman, E.; Coulibaly, G.; Gonzalez, P.; Body, R.; et al. A Modelling-Chain Linking Climate Science and Decision-Makers for Future Urban Flood Management in West Africa. Reg. Environ. Change 2022, 22, 93. [Google Scholar] [CrossRef]
- Aqnouy, M.; Ahmed, M.; Ayele, G.T.; Bouizrou, I.; Bouadila, A.; Stitou El Messari, J.E. Comparison of Hydrological Platforms in Assessing Rainfall-Runoff Behavior in a Mediterranean Watershed of Northern Morocco. Water 2023, 15, 447. [Google Scholar] [CrossRef]
- Gara, A.; Gader, K.; Khlifi, S.; Vanclooster, M.; Jendoubi, D.; Bouvier, C. The Added Value of Spatially Distributed Meteorological Data for Simulating Hydrological Processes in a Small Mediterranean Catchment. Acta Geophys. 2019, 68, 133–153. [Google Scholar] [CrossRef]
- Guermazi, E.; Milano, M.; Reynard, E. Performance Evaluation of Satellite-Based Rainfall Products on Hydrological Modeling for a Transboundary Catchment in Northwest Africa. Theor. Appl. Climatol. 2019, 138, 1695–1713. [Google Scholar] [CrossRef]
- Gader, K.; Gara, A.; Vanclooster, M.; Khlifi, S.; Slimani, M. Drought Assessment in a South Mediterranean Transboundary Catchment. Hydrol. Sci. J. 2020, 65, 1300–1315. [Google Scholar] [CrossRef]
- Bouraoui, F.; Benabdallah, S.; Jrad, A.; Bidoglio, G. Application of the SWAT Model on the Medjerda River Basin (Tunisia). Phys. Chem. Earth Parts A/B/C 2005, 30, 497–507. [Google Scholar] [CrossRef]
- Fehri, R.; Khlifi, S.; Vanclooster, M. Disaggregating SDG-6 Water Stress Indicator at Different Spatial and Temporal Scales in Tunisia. Sci. Total Environ. 2019, 694, 133766. [Google Scholar] [CrossRef] [PubMed]
- Bergaoui, M.; Alouini, A. Characterisation of Meteorological and Hydrological Drought: The Case of the Siliana Catchment Basin in Tunisia. Sci. Chang. Planétaires Sécheresse 2002, 12, 205–213. [Google Scholar]
- El Ghoul, I.; Sellami, H.; Khlifi, S.; Vanclooster, M. Impact of Land Use Land Cover Changes on Flow Uncertainty in Siliana Watershed of Northwestern Tunisia. Catena 2023, 220, 106733. [Google Scholar] [CrossRef]
- Bouvier, C.; Bouchenaki, L.; Tramblay, Y. Comparison of SCS and Green-Ampt Distributed Models for Flood Modelling in a Small Cultivated Catchment in Senegal. Geosciences 2018, 8, 122. [Google Scholar] [CrossRef]
- Maref, N.; Seddini, A. Modeling of Flood Generation in Semi-Arid Catchment Using a Spatially Distributed Model: Case of Study Wadi Mekerra Catchment (Northwest Algeria). Arab. J. Geosci. 2018, 11, 116. [Google Scholar] [CrossRef]
- Tramblay, Y.; Bouvier, C.; Ayral, P.-A.; Marchandise, A. Impact of Rainfall Spatial Distribution on Rainfall-Runoff Modelling Efficiency and Initial Soil Moisture Conditions Estimation. Nat. Hazards Earth Syst. Sci. 2011, 11, 157–170. [Google Scholar] [CrossRef]
- Coustau, M.; Bouvier, C.; Borrell-Estupina, V.; Jourde, H. Natural Hazards and Earth System Sciences Flood Modelling with a Distributed Event-Based Parsimonious Rainfall-Runoff Model: Case of the Karstic Lez River Catchment. Hazards Earth Syst. Sci 2012, 12, 1119–1133. [Google Scholar] [CrossRef]
- Oudin, L.; Hervieu, F.; Michel, C.; Perrin, C.; Andréassian, V.; Anctil, F.; Loumagne, C. Which Potential Evapotranspiration Input for a Lumped Rainfall–Runoff Model?: Part 2—Towards a Simple and Efficient Potential Evapotranspiration Model for Rainfall–Runoff Modelling. J. Hydrol. 2005, 303, 290–306. [Google Scholar] [CrossRef]
- Patil, S.D.; Stieglitz, M. Comparing Spatial and Temporal Transferability of Hydrological Model Parameters. J. Hydrol. 2015, 525, 409–417. [Google Scholar] [CrossRef]
- Yalcin, E. Quantifying Climate Change Impacts on Hydropower Production under CMIP6 Multi-Model Ensemble Projections Using SWAT Model. Hydrol. Sci. J. 2023, 68, 1915–1936. [Google Scholar] [CrossRef]
- Cherif, R.; Gargouri Ellouze, E. Flow Signatures and Basin Parameters for Hierarchical Tunisian Catchments Clustering and Similarity Assessement. In Proceedings of the 22nd EGU General Assembly, Vienna, Austria, 4–8 May 2020; p. 492. [Google Scholar]
- Mounirou, L.A.; Yonaba, R.; Koïta, M.; Paturel, J.E.; Mahé, G.; Yacouba, H.; Karambiri, H. Hydrologic Similarity: Dimensionless Runoff Indices across Scales in a Semi-Arid Catchment. J. Arid. Environ. 2021, 193, 104590. [Google Scholar] [CrossRef]
- Ali, G.; Tetzlaff, D.; Soulsby, C.; McDonnell, J.J.; Capell, R. A Comparison of Similarity Indices for Catchment Classification Using a Cross-Regional Dataset. Adv. Water Resour. 2012, 40, 11–22. [Google Scholar] [CrossRef]
- Cheng, Z.; Yu, B. Simple Hydrological Models for Assessing the Impact of Forest Cover Change on Streamflow for Large Catchments with a Dry Tropical Climate. Hydrol. Sci. J. 2024, 69, 407–425. [Google Scholar] [CrossRef]
- Zhang, Y.; Chiew, F.H.S. Relative Merits of Different Methods for Runoff Predictions in Ungauged Catchments. Water Resour. Res. 2009, 45, 7412. [Google Scholar] [CrossRef]
- Jaccard, P. The Distribution of The Flora in the Alpine Zone.1. New Phytol. 1912, 11, 37–50. [Google Scholar] [CrossRef]
- Yin, Y.; Yasuda, K. Similarity Coefficient Methods Applied to the Cell Formation Problem: A Comparative Investigation. Comput. Ind. Eng. 2005, 48, 471–489. [Google Scholar] [CrossRef]
- Duncan, M.J.; Suren, A.M.; Brown, S.L.R. Assessment of Streambed Stability in Steep, Bouldery Streams: Development of a New Analytical Technique. J. North Am. Benthol. Soc. 2015, 18, 445–456. [Google Scholar] [CrossRef]
- Ito, T.; Kubokawa, T. Empirical Best Linear Unbiased Predictors in Multivariate Nested-Error Regression Models. Commun. Stat. Theory Methods 2019, 50, 2224–2249. [Google Scholar] [CrossRef]
- Nash, J.E.; Sutcliffe, J.V. River Flow Forecasting through Conceptual Models Part I—A Discussion of Principles. J. Hydrol. 1970, 10, 282–290. [Google Scholar] [CrossRef]
- Moriasi, D.N.; Arnold, J.G.; Van Liew, M.W.; Bingner, R.L.; Harmel, R.D.; Veith, T.L. Model evaluation guidelines for systematic quantification of accuracy in watershed simulations. Trans. ASABE 2007, 50, 885–900. [Google Scholar] [CrossRef]
- Singh, J.; Knapp, H.V.; Arnold, J.G.; Demissie, M. Hydrological modeling of the iroquois river watershed using hspf and swat. J. Am. Water Resour. Assoc. 2005, 41, 343–360. [Google Scholar] [CrossRef]
- Gupta, H.V.; Kling, H.; Yilmaz, K.K.; Martinez, G.F. Decomposition of the Mean Squared Error and NSE Performance Criteria: Implications for Improving Hydrological Modelling. J. Hydrol. 2009, 377, 80–91. [Google Scholar] [CrossRef]
- Ritter, A.; Muñoz-Carpena, R. Performance Evaluation of Hydrological Models: Statistical Significance for Reducing Subjectivity in Goodness-of-Fit Assessments. J. Hydrol. 2013, 480, 33–45. [Google Scholar] [CrossRef]
- Wöhling, T.; Samaniego, L.; Kumar, R. Evaluating Multiple Performance Criteria to Calibrate the Distributed Hydrological Model of the Upper Neckar Catchment. Environ. Earth Sci. 2013, 69, 453–468. [Google Scholar] [CrossRef]
- Benesty, J.; Chen, J.; Huang, Y.; Cohen, I. Pearson Correlation Coefficient. In Springer Topics in Signal Processing; Springer: Berlin/Heidelberg, Germany, 2009; Volume 2, pp. 1–4. [Google Scholar] [CrossRef]
- Pérez-Sánchez, J.; Senent-Aparicio, J.; Segura-Méndez, F.; Pulido-Velazquez, D.; Srinivasan, R. Evaluating Hydrological Models for Deriving Water Resources in Peninsular Spain. Sustainability 2019, 11, 2872. [Google Scholar] [CrossRef]
- Bornette, G.; Heiler, G. Environmental and Biological Responses of Former Channels to River Incision: A Diachronic Study on the Upper Rh??Ne River. Regul. Rivers Res. Manag. 1994, 9, 79–92. [Google Scholar] [CrossRef]
- Gharbi, M.; Soualmia, A.; Dartus, D.; Masbernat, L. Comparison of 1D and 2D Hydraulic Models for Floods Simulation on the Medjerda Riverin Tunisia. J. Mater. Environ. Sci 2016, 7, 3017–3026. [Google Scholar]
- Lyon, S.W.; Troch, P.A. Development and Application of a Catchment Similarity Index for Subsurface Flow. Water Resour. Res. 2010, 46, W03511. [Google Scholar] [CrossRef]
- Bruno, G.; Avanzi, F.; Alfieri, L.; Libertino, A.; Gabellani, S.; Duethmann, D. Hydrological Model Skills Change with Drought Severity; Insights from Multi-Variable Evaluation. J. Hydrol. 2024, 634, 131023. [Google Scholar] [CrossRef]
- Meng, F.; Sa, C.; Liu, T.; Luo, M.; Liu, J.; Tian, L. Improved Model Parameter Transferability Method for Hydrological Simulation with SWAT in Ungauged Mountainous Catchments. Sustainability 2020, 12, 3551. [Google Scholar] [CrossRef]
- Topalović, Ž.; Todorović, A.; Plavšić, J. Evaluating the Transferability of Monthly Water Balance Models under Changing Climate Conditions. Hydrol. Sci. J. 2020, 65, 928–950. [Google Scholar] [CrossRef]
- Hlaing, P.T.; Humphries, U.W.; Waqas, M. Hydrological Model Parameter Regionalization: Runoff Estimation Using Machine Learning Techniques in the Tha Chin River Basin, Thailand. MethodsX 2024, 13, 102792. [Google Scholar] [CrossRef]
- Sharma, A.; Mehan, S.; McDaniel, R.; Arnold, J.; Trooien, T.; Sammons, N.; Amegbletor, L. Assessing SWAT+ Performance in Simulating Drainage Water Management and Parameter Transferability for Watershed-Scale Applications. J. Hydrol. 2024, 637, 131338. [Google Scholar] [CrossRef]
- Sheng, S.; Chen, H.; Guo, F.Q.; Chen, J.; Xu, C.Y.; Guo, S. lian Transferability of a Conceptual Hydrological Model across Different Temporal Scales and Basin Sizes. Water Resour. Manag. 2020, 34, 2953–2968. [Google Scholar] [CrossRef]
- Francipane, A.; Arnone, E.; Noto, L.V. Combining a Data-Driven Approach with Seasonal Forecast Data to Predict Reservoir Water Volume in the Mediterranean Area. Hydrol. Sci. J. 2023, 68, 764–781. [Google Scholar] [CrossRef]
- Liu, Y.; Zhang, J.Y.; Elmahdi, A.; Yang, Q.L.; Guan, X.X.; Liu, C.S.; He, R.M.; Wang, G.Q. Transferability of a Lumped Hydrologic Model, the Xin’anjiang Model Based on Similarity in Climate and Geography. Water Sci. Technol. Water Supply 2021, 21, 2191–2201. [Google Scholar] [CrossRef]









| Data Type | Source | Description |
|---|---|---|
| Discharge flow | DGBGTH (Ministry of Agriculture Tunisia) and DGRE (Ministry of Agriculture Tunisia) | Daily water balance of Lakhmess dam station (1990–2017) Daily discharge flow of the Raghay Plaine station (1990–2017) with missing data from 1 September 2014 to 10 October /2014 Daily water balance of Siliana Dam station (1990–2017) Daily water balance of the Bou Heurtma dam station (2008–2017) |
| Rainfall | DGRE (Ministry of Agriculture Tunisia) | For the Lakhmess catchment: daily rainfall data from 2 rainfall stations (1992–2016) For the Raghay catchment: daily rainfall data from 6 rainfall stations: Chemtou Raoudet, Chemtou Ferme, Feija SM, Raghay, Oued Mliz, and Sraya (1990–2017) For the Siliana Upstream catchment: daily rainfall data from 6 rainfall stations: Makthar PF, Sened Hadded, Sidi Hmada, Lakhmess dam, Siliana Dam, and Siliana INM (1990–2017). For the Bou Heurtma catchment: daily rainfall data from 5 rainfall stations: Ain Beya, Ain Debba, Bni Mtir, Bou Heurtma, and Jantoura (1990–2017). |
| DEM | https://gdex.cr.usgs.gov/gdex/ (accessed on19 June 2014) | 30 m resolution Aster GDEM image, mission of 19 June 2014 |
| Potential Evapotranspiration | National Institute of Meteorology | Siliana climatic station and Jendouba climatic station (1990–2017) |
| Parameters | Raghay | Lakhmes | Optimization’s Value Range |
|---|---|---|---|
| S (mm) | 123.03 | 95.05 | 0–600 |
| Sa/S (dimensionless) | 0.3 | 0.55 | 0–1 |
| ω (dimensionless) | 0.8 | 1 | 0–1 |
| ds2 (1/day) | 0 | 0 | 0–1 |
| V0 (m/s) | 1 | 2.50 | 0.01–50 |
| K0 (dimensionless) | 0.67 | 4.53 | 0–100 |
| Data Type | Raghay | Bouheurtma | Lakhmess | Siliana Upstream |
|---|---|---|---|---|
| Drainage density (km/km2) | 3.44 | 3.25 | 4.22 | 3.98 |
| Mean elevation (m) | 661 | 590 | 924 | 949.5 |
| Compactness index (km/km) | 1.57 | 1.61 | 1.207 | 1.273 |
| Average slope (m/m) | 13 | 11 | 17 | 13 |
| Dominant soil (%) | 27 | 22 | 18 | 21 |
| Forest (%) | 35 | 28 | 40 | 32 |
| Crops (%) | 25 | 29 | 17 | 21 |
| Olives (%) | 31 | 35 | 7 | 13 |
| Mean interannual rainfall (mm) | 720 | 660 | 420 | 470 |
| Jaccard Similarity Index (%) | 89.95 | 93.44 | ||
| Duncan Dissimilarity Index (%) | 2.67% | 4.71% | ||
| Drainage area (km) | 362 | 390 | 127 | 1040 |
Disclaimer/Publisher’s Note: The statements, opinions and data contained in all publications are solely those of the individual author(s) and contributor(s) and not of MDPI and/or the editor(s). MDPI and/or the editor(s) disclaim responsibility for any injury to people or property resulting from any ideas, methods, instructions or products referred to in the content. |
© 2025 by the authors. Licensee MDPI, Basel, Switzerland. This article is an open access article distributed under the terms and conditions of the Creative Commons Attribution (CC BY) license (https://creativecommons.org/licenses/by/4.0/).
Share and Cite
Gara, A.; Gader, K.; Khlifi, S.; Bouvier, C.; Ouessar, M.; Vanclooster, M.; Al-Ansari, N.; El-Hendawy, S.; Mattar, M.A. Evaluating the Spatial and Temporal Transferability of Model Parameters of a Distributed Soil Conservation Service–Soil Moisture Antecedent–Simple Lag and Route Model for South Mediterranean Catchments. Water 2025, 17, 569. https://doi.org/10.3390/w17040569
Gara A, Gader K, Khlifi S, Bouvier C, Ouessar M, Vanclooster M, Al-Ansari N, El-Hendawy S, Mattar MA. Evaluating the Spatial and Temporal Transferability of Model Parameters of a Distributed Soil Conservation Service–Soil Moisture Antecedent–Simple Lag and Route Model for South Mediterranean Catchments. Water. 2025; 17(4):569. https://doi.org/10.3390/w17040569
Chicago/Turabian StyleGara, Ahlem, Khouloud Gader, Slaheddine Khlifi, Christophe Bouvier, Mohamed Ouessar, Marnik Vanclooster, Nadhir Al-Ansari, Salah El-Hendawy, and Mohamed A. Mattar. 2025. "Evaluating the Spatial and Temporal Transferability of Model Parameters of a Distributed Soil Conservation Service–Soil Moisture Antecedent–Simple Lag and Route Model for South Mediterranean Catchments" Water 17, no. 4: 569. https://doi.org/10.3390/w17040569
APA StyleGara, A., Gader, K., Khlifi, S., Bouvier, C., Ouessar, M., Vanclooster, M., Al-Ansari, N., El-Hendawy, S., & Mattar, M. A. (2025). Evaluating the Spatial and Temporal Transferability of Model Parameters of a Distributed Soil Conservation Service–Soil Moisture Antecedent–Simple Lag and Route Model for South Mediterranean Catchments. Water, 17(4), 569. https://doi.org/10.3390/w17040569

