A Framework for Soil Moisture Downscaling on the Tibetan Plateau Based on Interpretable Deep Learning
Abstract
1. Introduction
2. Materials and Methods
2.1. Study Area and Data
2.1.1. Study Area
2.1.2. SMAP Product
2.1.3. Auxiliary Data
2.1.4. In Situ Observation of Soil Moisture
2.2. Methods
2.2.1. Data Preparation
2.2.2. KAN Model
2.2.3. Artificial Neural Network Model
2.2.4. Evaluation Methods
3. Results
3.1. Evaluation of Downscaled Soil Moisture
3.2. Spatial and Temporal Variation in Downscaled Results of KAN
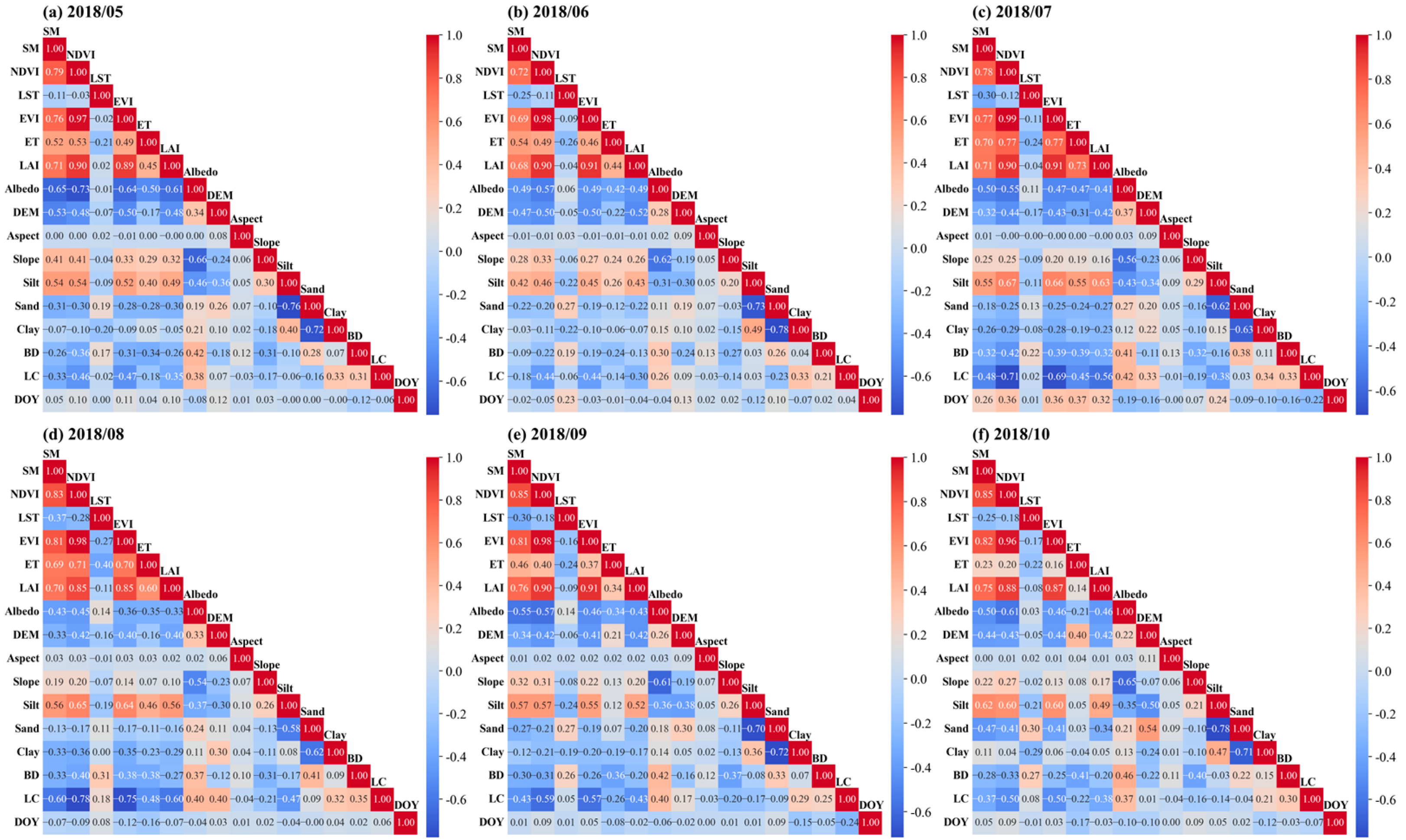
3.3. The Selection of Simplified Variables
3.4. Symbolic Formula Fitting and Accuracy Validation
4. Discussion
4.1. Effects of Auxiliary Variables on Soil Moisture
4.2. Applicability of Symbolic Formulas
4.3. Limitations and Perspectives
5. Conclusions
- (1)
- The KAN model demonstrated superior accuracy in downscaling compared to the ANN model, effectively addressing the overestimation of SM by SMAP product, significantly reducing its RMSE and ubRMSE. The downscaled SM was closest to the measured SM in the Nagri network, had the greatest accuracy improvement in Naqu, but performed slightly poorly in Pali;
- (2)
- While maintaining consistency with the spatial distribution pattern of SMAP products, the downscaled results of KAN effectively compensated for missing data and matched better with the measured SM trends over time. Additionally, the model adeptly captured dynamic changes driven by precipitation;
- (3)
- NDVI, DEM, ET, LST, Silt, Sand, Slope, and EVI were chosen as simplified variables for different months, and symbolic equations were fitted with the KAN model to obtain the SM regression equations for each month. The results of site validation showed that the accuracy of the downscaled results of the formulas was better than that of the SMAP product, proving the advantage of the model in interpretability.
Author Contributions
Funding
Data Availability Statement
Acknowledgments
Conflicts of Interest
References
- Gentine, P.; Green, J.K.; Guérin, M.; Humphrey, V.; Seneviratne, S.I.; Zhang, Y.; Zhou, S. Coupling between the Terrestrial Carbon and Water Cycles—A Review. Environ. Res. Lett. 2019, 14, 083003. [Google Scholar] [CrossRef]
- Seneviratne, S.I.; Corti, T.; Davin, E.L.; Hirschi, M.; Jaeger, E.B.; Lehner, I.; Orlowsky, B.; Teuling, A.J. Investigating Soil Moisture–Climate Interactions in a Changing Climate: A Review. Earth-Sci. Rev. 2010, 99, 125–161. [Google Scholar] [CrossRef]
- Berg, A.; Lintner, B.R.; Findell, K.L.; Malyshev, S.; Loikith, P.C.; Gentine, P. Impact of Soil Moisture–Atmosphere Interactions on Surface Temperature Distribution. J. Clim. 2014, 27, 7976–7993. [Google Scholar] [CrossRef]
- Wang, C.; Fu, B.; Zhang, L.; Xu, Z. Soil Moisture–Plant Interactions: An Ecohydrological Review. J. Soils Sediments 2019, 19, 1–9. [Google Scholar] [CrossRef]
- Liu, L.; Gudmundsson, L.; Hauser, M.; Qin, D.; Li, S.; Seneviratne, S.I. Soil Moisture Dominates Dryness Stress on Ecosystem Production Globally. Nat. Commun. 2020, 11, 4892. [Google Scholar] [CrossRef]
- Forgotson, C.; O’Neill, P.E.; Carrera, M.L.; Bélair, S.; Das, N.N.; Mladenova, I.E.; Bolten, J.D.; Jacobs, J.M.; Cho, E.; Escobar, V.M. How Satellite Soil Moisture Data Can Help to Monitor the Impacts of Climate Change: SMAP Case Studies. IEEE J. Sel. Top. Appl. Earth Obs. Remote Sens. 2020, 13, 1590–1596. [Google Scholar] [CrossRef]
- Whan, K.; Zscheischler, J.; Orth, R.; Shongwe, M.; Rahimi, M.; Asare, E.O.; Seneviratne, S.I. Impact of Soil Moisture on Extreme Maximum Temperatures in Europe. Weather Clim. Extrem. 2015, 9, 57–67. [Google Scholar] [CrossRef]
- Dobriyal, P.; Qureshi, A.; Badola, R.; Hussain, S.A. A Review of the Methods Available for Estimating Soil Moisture and Its Implications for Water Resource Management. J. Hydrol. 2012, 458, 110–117. [Google Scholar] [CrossRef]
- Holsten, A.; Vetter, T.; Vohland, K.; Krysanova, V. Impact of Climate Change on Soil Moisture Dynamics in Brandenburg with a Focus on Nature Conservation Areas. Ecol. Model. 2009, 220, 2076–2087. [Google Scholar] [CrossRef]
- Gao, X.; Wu, P.; Zhao, X.; Wang, J.; Shi, Y. Effects of land use on soil moisture variations in a semi-arid catchment: Implications for land and agricultural water management. Land Degrad Dev 2014, 25, 163–172. [Google Scholar] [CrossRef]
- Robinson, D.A.; Campbell, C.S.; Hopmans, J.W.; Hornbuckle, B.K.; Jones, S.B.; Knight, R.; Ogden, F.; Selker, J.; Wendroth, O. Soil Moisture Measurement for Ecological and Hydrological Watershed-Scale Observatories: A Review. Vadose Zone J. 2008, 7, 358–389. [Google Scholar] [CrossRef]
- Wu, X.; Guo, P.; Sun, Y.; Liang, H.; Zhang, X.; Bai, W. Recent Progress on Vegetation Remote Sensing Using Spaceborne GNSS-Reflectometry. Remote Sens. 2021, 13, 4244. [Google Scholar] [CrossRef]
- Sheffield, J.; Wood, E.F.; Pan, M.; Beck, H.; Coccia, G.; Serrat-Capdevila, A.; Verbist, K. Satellite Remote Sensing for Water Resources Management: Potential for Supporting Sustainable Development in Data-Poor Regions. Water Resour. Res. 2018, 54, 9724–9758. [Google Scholar] [CrossRef]
- Peng, J.; Loew, A.; Merlin, O.; Verhoest, N.E.C. A Review of Spatial Downscaling of Satellite Remotely Sensed Soil Moisture. Rev. Geophys. 2017, 55, 341–366. [Google Scholar] [CrossRef]
- Zhou, L.; Pan, S.; Wang, J.; Vasilakos, A.V. Machine Learning on Big Data: Opportunities and Challenges. Neurocomputing 2017, 237, 350–361. [Google Scholar] [CrossRef]
- Im, J.; Park, S.; Rhee, J.; Baik, J.; Choi, M. Downscaling of AMSR-E Soil Moisture with MODIS Products Using Machine Learning Approaches. Environ. Earth Sci. 2016, 75, 1–19. [Google Scholar] [CrossRef]
- Shangguan, Y.; Min, X.; Shi, Z. Inter-Comparison and Integration of Different Soil Moisture Downscaling Methods over the Qinghai-Tibet Plateau. J. Hydrol. 2023, 617, 129014. [Google Scholar] [CrossRef]
- Guidotti, R.; Monreale, A.; Ruggieri, S.; Turini, F.; Giannotti, F.; Pedreschi, D. A Survey of Methods for Explaining Black Box Models. ACM Comput. Surv. 2019, 51, 1–42. [Google Scholar] [CrossRef]
- Hassija, V.; Chamola, V.; Mahapatra, A.; Singal, A.; Goel, D.; Huang, K.; Scardapane, S.; Spinelli, I.; Mahmud, M.; Hussain, A. Interpreting Black-Box Models: A Review on Explainable Artificial Intelligence. Cogn. Comput. 2024, 16, 45–74. [Google Scholar] [CrossRef]
- Liu, Z.; Wang, Y.; Vaidya, S.; Ruehle, F.; Halverson, J.; Soljačić, M.; Hou, T.Y.; Tegmark, M. KAN: Kolmogorov-Arnold Networks. arXiv 2024, arXiv:2404.19756. [Google Scholar]
- Liu-Zeng, J.; Tapponnier, P.; Gaudemer, Y.; Ding, L. Quantifying Landscape Differences across the Tibetan Plateau: Implications for Topographic Relief Evolution. J. Geophys. Res. 2008, 113, 2007JF000897. [Google Scholar] [CrossRef]
- Tada, R.; Zheng, H.; Clift, P.D. Evolution and Variability of the Asian Monsoon and Its Potential Linkage with Uplift of the Himalaya and Tibetan Plateau. Prog. Earth Planet. Sci. 2016, 3, 4. [Google Scholar] [CrossRef]
- Chen, X.; An, S.; Inouye, D.W.; Schwartz, M.D. Temperature and Snowfall Trigger Alpine Vegetation Green-up on the World’s Roof. Glob. Change Biol. 2015, 21, 3635–3646. [Google Scholar] [CrossRef] [PubMed]
- Zhao, D.; Wu, S.; Yin, Y.; Yin, Z.-Y. Vegetation Distribution on Tibetan Plateau under Climate Change Scenario. Reg Env. Change 2011, 11, 905–915. [Google Scholar] [CrossRef]
- Qu, B.; Zhang, Y.; Kang, S.; Sillanpää, M. Water Quality in the Tibetan Plateau: Major Ions and Trace Elements in Rivers of the “Water Tower of Asia”. Sci. Total Environ. 2019, 649, 571–581. [Google Scholar] [CrossRef]
- Jin, M.; Zheng, X.; Jiang, T.; Li, X.; Li, X.; Zhao, K. Evaluation and Improvement of SMOS and SMAP Soil Moisture Products for Soils with High Organic Matter over a Forested Area in Northeast China. Remote Sens. 2017, 9, 387. [Google Scholar] [CrossRef]
- Cui, C.; Xu, J.; Zeng, J.; Chen, K.-S.; Bai, X.; Lu, H.; Chen, Q.; Zhao, T. Soil Moisture Mapping from Satellites: An Intercomparison of SMAP, SMOS, FY3B, AMSR2, and ESA CCI over Two Dense Network Regions at Different Spatial Scales. Remote Sens. 2017, 10, 33. [Google Scholar] [CrossRef]
- Senanayake, I.P.; Pathira Arachchilage, K.R.; Yeo, I.-Y.; Khaki, M.; Han, S.-C.; Dahlhaus, P.G. Spatial Downscaling of Satellite-Based Soil Moisture Products Using Machine Learning Techniques: A Review. Remote Sens. 2024, 16, 2067. [Google Scholar] [CrossRef]
- Zeng, L.; Hu, S.; Xiang, D.; Zhang, X.; Li, D.; Li, L.; Zhang, T. Multilayer Soil Moisture Mapping at a Regional Scale from Multisource Data via a Machine Learning Method. Remote Sens. 2019, 11, 284. [Google Scholar] [CrossRef]
- Liu, J.; Shangguan, D.; Liu, S.; Ding, Y.; Wang, S.; Wang, X. Evaluation and Comparison of CHIRPS and MSWEP Daily-Precipitation Products in the Qinghai-Tibet Plateau during the Period of 1981–2015. Atmos. Res. 2019, 230, 104634. [Google Scholar] [CrossRef]
- Rao, P.; Wang, F.; Yuan, X.; Liu, Y.; Jiao, Y. Evaluation and Comparison of 11 Sets of Gridded Precipitation Products over the Qinghai-Tibet Plateau. Atmos. Res. 2024, 302, 107315. [Google Scholar] [CrossRef]
- Kolmogorov, A. On the Representation of Continuous Functions of Several Variables by Superpositions of Continuous Functions of a Smaller Number of Variables. Doklady Akademii Nauk SSSR 1956, 108, 179–182. [Google Scholar]
- Yang, L.; Shami, A. On Hyperparameter Optimization of Machine Learning Algorithms: Theory and Practice. Neurocomputing 2020, 415, 295–316. [Google Scholar] [CrossRef]
- Wu, J.; Chen, X.-Y.; Zhang, H.; Xiong, L.-D.; Lei, H.; Deng, S.-H. Hyperparameter Optimization for Machine Learning Models Based on Bayesian Optimization. J. Electron. Sci. Technol. 2019, 17, 26–40. [Google Scholar]
- Holland, J.H. Genetic Algorithms. Sci. Am. 1992, 267, 66–73. [Google Scholar] [CrossRef]
- Ahn, C.W.; Ramakrishna, R.S. Elitism-Based Compact Genetic Algorithms. IEEE Trans. Evol. Comput. 2003, 7, 367–385. [Google Scholar]
- Zupan, J. Introduction to Artificial Neural Network (ANN) Methods: What They Are and How to Use Them. Acta Chim. Slov. 1994, 41, 327. [Google Scholar]
- Agatonovic-Kustrin, S.; Beresford, R. Basic Concepts of Artificial Neural Network (ANN) Modeling and Its Application in Pharmaceutical Research. J. Pharm. Biomed. Anal. 2000, 22, 717–727. [Google Scholar] [CrossRef]
- Bengio, Y. Practical Recommendations for Gradient-Based Training of Deep Architectures. In Neural Networks: Tricks of the Trade; Montavon, G., Orr, G.B., Müller, K.-R., Eds.; Lecture Notes in Computer Science; Springer: Berlin/Heidelberg, Gemrnay, 2012; Volume 7700, pp. 437–478. ISBN 978-3-642-35288-1. [Google Scholar]
- Nadeem, A.A.; Zha, Y.; Shi, L.; Ali, S.; Wang, X.; Zafar, Z.; Afzal, Z.; Tariq, M.A.U.R. Spatial Downscaling and Gap-Filling of SMAP Soil Moisture to High Resolution Using MODIS Surface Variables and Machine Learning Approaches over ShanDian River Basin, China. Remote Sens. 2023, 15, 812. [Google Scholar] [CrossRef]
- Liu, Y.; Jing, W.; Wang, Q.; Xia, X. Generating High-Resolution Daily Soil Moisture by Using Spatial Downscaling Techniques: A Comparison of Six Machine Learning Algorithms. Adv. Water Resour. 2020, 141, 103601. [Google Scholar] [CrossRef]
- Senanayake, I.P.; Yeo, I.-Y.; Walker, J.P.; Willgoose, G.R. Estimating Catchment Scale Soil Moisture at a High Spatial Resolution: Integrating Remote Sensing and Machine Learning. Sci. Total Environ. 2021, 776, 145924. [Google Scholar] [CrossRef]
- Merlin, O.; Malbéteau, Y.; Notfi, Y.; Bacon, S.; Er-Raki, S.; Khabba, S.; Jarlan, L. Performance Metrics for Soil Moisture Downscaling Methods: Application to DISPATCH Data in Central Morocco. Remote Sens. 2015, 7, 3783–3807. [Google Scholar] [CrossRef]
- Rodriguez-Iturbe, I.; D’Odorico, P.; Porporato, A.; Ridolfi, L. On the Spatial and Temporal Links between Vegetation, Climate, and Soil Moisture. Water Resour. Res. 1999, 35, 3709–3722. [Google Scholar] [CrossRef]
- Deng, Y.; Wang, S.; Bai, X.; Luo, G.; Wu, L.; Cao, Y.; Li, H.; Li, C.; Yang, Y.; Hu, Z. Variation Trend of Global Soil Moisture and Its Cause Analysis. Ecol. Indic. 2020, 110, 105939. [Google Scholar] [CrossRef]
- Mertler, C.A.; Vannatta, R.A.; LaVenia, K.N. Advanced and Multivariate Statistical Methods: Practical Application and Interpretation; Routledge: Oxford, UK, 2021. [Google Scholar]
- Lundberg, S. A Unified Approach to Interpreting Model Predictions. arXiv 2017, arXiv:1705.07874. [Google Scholar]
- Marcílio, W.E.; Eler, D.M. From Explanations to Feature Selection: Assessing SHAP Values as Feature Selection Mechanism. In Proceedings of the 2020 33rd SIBGRAPI Conference on Graphics, Patterns and Images (SIBGRAPI), Virtual, 7–10 November 2020; pp. 340–347. [Google Scholar]
- Abbaszadeh, P.; Moradkhani, H.; Zhan, X. Downscaling SMAP Radiometer Soil Moisture Over the CONUS Using an Ensemble Learning Method. Water Resour. Res. 2019, 55, 324–344. [Google Scholar] [CrossRef]
- Feng, X.; Vico, G.; Porporato, A. On the Effects of Seasonality on Soil Water Balance and Plant Growth. Water Resour. Res. 2012, 48, 2011WR011263. [Google Scholar] [CrossRef]
- Sarker, A.M.; Rahman, M.S.; Paul, N.K. Effect of Soil Moisture on Relative Leaf Water Content, Chlorophyll, Proline and Sugar Accumulation in Wheat. J. Agron. Crop Sci. 1999, 183, 225–229. [Google Scholar] [CrossRef]
- Pablos, M.; Martínez-Fernández, J.; Piles, M.; Sánchez, N.; Vall-llossera, M.; Camps, A. Multi-Temporal Evaluation of Soil Moisture and Land Surface Temperature Dynamics Using in Situ and Satellite Observations. Remote Sens. 2016, 8, 587. [Google Scholar] [CrossRef]
- Katul, G.G.; Oren, R.; Manzoni, S.; Higgins, C.; Parlange, M.B. Evapotranspiration: A Process Driving Mass Transport and Energy Exchange in the Soil-plant-atmosphere-climate System. Rev. Geophys. 2012, 50, 2011RG000366. [Google Scholar] [CrossRef]
- Rasheed, M.W.; Tang, J.; Sarwar, A.; Shah, S.; Saddique, N.; Khan, M.U.; Imran Khan, M.; Nawaz, S.; Shamshiri, R.R.; Aziz, M. Soil Moisture Measuring Techniques and Factors Affecting the Moisture Dynamics: A Comprehensive Review. Sustainability 2022, 14, 11538. [Google Scholar] [CrossRef]
- Pepin, N.C.; Arnone, E.; Gobiet, A.; Haslinger, K.; Kotlarski, S.; Notarnicola, C.; Palazzi, E.; Seibert, P.; Serafin, S.; Schöner, W.; et al. Climate Changes and Their Elevational Patterns in the Mountains of the World. Rev. Geophys. 2022, 60, e2020RG000730. [Google Scholar] [CrossRef]
- Ma, Y.-J.; Li, X.-Y.; Liu, L.; Yang, X.-F.; Wu, X.-C.; Wang, P.; Lin, H.; Zhang, G.-H.; Miao, C.-Y. Evapotranspiration and Its Dominant Controls along an Elevation Gradient in the Qinghai Lake Watershed, Northeast Qinghai-Tibet Plateau. J. Hydrol. 2019, 575, 257–268. [Google Scholar] [CrossRef]
- Houze, R.A. Orographic Effects on Precipitating Clouds. Rev. Geophys. 2012, 50, 2011RG000365. [Google Scholar] [CrossRef]
- Li, Q.; Ma, M.; Wu, X.; Yang, H. Snow Cover and Vegetation-Induced Decrease in Global Albedo From 2002 to 2016. JGR Atmos. 2018, 123, 124–138. [Google Scholar] [CrossRef]
- Gupta, S.C.; Larson, W.E. Estimating Soil Water Retention Characteristics from Particle Size Distribution, Organic Matter Percent, and Bulk Density. Water Resour. Res. 1979, 15, 1633–1635. [Google Scholar] [CrossRef]
- Xu, J.; Su, Q.; Li, X.; Ma, J.; Song, W.; Zhang, L.; Su, X. A Spatial Downscaling Framework for SMAP Soil Moisture Based on Stacking Strategy. Remote Sens. 2024, 16, 200. [Google Scholar] [CrossRef]
- Reid, I. The Influence of Slope Orientation upon the Soil Moisture Regime, and Its Hydrogeomorphological Significance. J. Hydrol. 1973, 19, 309–321. [Google Scholar] [CrossRef]










| Dataset | Variable | Temporal Resolution | Spatial Resolution | Units |
|---|---|---|---|---|
| MOD13Q1 | NDVI | 16 d | 250 m | - |
| EVI | - | |||
| MOD11A1 | LST | Daily | 1 km | K |
| MOD16A2GF | ET | 8 d | 500 m | kg/m2/8 d |
| MCD15A3H | LAI | 4 d | 500 m | - |
| MCD43A3 | Albedo | Daily | 500 m | - |
| MCD12Q1 | Land Cover (LC) | Yearly | 500 m | - |
| SRTM | DEM | Static | 90 m | m |
| Slope | degree | |||
| Aspect | degree | |||
| SoilGrids | Sand | Static | 250 m | g/kg |
| Silt | g/kg | |||
| Clay | g/kg | |||
| Bulk Density (BD) | cg/cm3 | |||
| CHIRPS | Precipitation | Daily | 0.05° | mm/d |
| SMAP L3-SM | SM | Daily | 9 km | cm3/cm3 |
| Networks | Number of Stations | Depth | Temporal Resolution | Climate |
|---|---|---|---|---|
| Ngari | 15 | 5 cm | 15 min | Cold arid |
| Pali | 21 | 0–5 cm | 30 min | Cold arid |
| Naqu | 52 | 0–5 cm | 30 min | Cold semi-arid |
| Maqu | 15 | 5 cm | 15 min | Cold humid |
| Month | Simplified Variables | Formulas |
|---|---|---|
| 5 | NDVI, DEM, ET, Sand, Silt | |
| 6 | NDVI, DEM, ET, LST, Slope | |
| 7 | NDVI, ET, DEM, LST, EVI | |
| 8 | NDVI, ET, LST, Silt, DEM | |
| 9 | NDVI, ET, DEM, Slope, Silt | |
| 10 | NDVI, DEM, ET, BD, Silt |
| Month | Formulas |
|---|---|
| 5 | |
| 6 | |
| 7 | |
| 8 | |
| 9 | |
| 10 |
Disclaimer/Publisher’s Note: The statements, opinions and data contained in all publications are solely those of the individual author(s) and contributor(s) and not of MDPI and/or the editor(s). MDPI and/or the editor(s) disclaim responsibility for any injury to people or property resulting from any ideas, methods, instructions or products referred to in the content. |
© 2025 by the authors. Licensee MDPI, Basel, Switzerland. This article is an open access article distributed under the terms and conditions of the Creative Commons Attribution (CC BY) license (https://creativecommons.org/licenses/by/4.0/).
Share and Cite
Miao, Z.; Han, L.; Liu, Z.; Kang, H.; Tuo, F.; Zhang, H.; Gan, S.; Ren, Y.; Hu, G. A Framework for Soil Moisture Downscaling on the Tibetan Plateau Based on Interpretable Deep Learning. Water 2025, 17, 570. https://doi.org/10.3390/w17040570
Miao Z, Han L, Liu Z, Kang H, Tuo F, Zhang H, Gan S, Ren Y, Hu G. A Framework for Soil Moisture Downscaling on the Tibetan Plateau Based on Interpretable Deep Learning. Water. 2025; 17(4):570. https://doi.org/10.3390/w17040570
Chicago/Turabian StyleMiao, Zheyuan, Lei Han, Zhao Liu, Hongliang Kang, Fengwei Tuo, Han Zhang, Shaoan Gan, Yuxuan Ren, and Guiming Hu. 2025. "A Framework for Soil Moisture Downscaling on the Tibetan Plateau Based on Interpretable Deep Learning" Water 17, no. 4: 570. https://doi.org/10.3390/w17040570
APA StyleMiao, Z., Han, L., Liu, Z., Kang, H., Tuo, F., Zhang, H., Gan, S., Ren, Y., & Hu, G. (2025). A Framework for Soil Moisture Downscaling on the Tibetan Plateau Based on Interpretable Deep Learning. Water, 17(4), 570. https://doi.org/10.3390/w17040570

