Abstract
This manuscript explores the removal of eosin yellow dye, a toxic color substance contributing to water pollution, from aqueous solutions. For this purpose, iron-zirconia binary oxide (Fe2O3-ZrO2) was functionalized with eugenol oil, a natural phenolic aromatic compound extracted from the clove plant. The functional groups developed in the binary oxide were confirmed by Fourier transform infrared spectroscopy (FT-IR), and its crystal structure was determined via X-ray diffraction (XRD). The grain size analyzed by the XRD pattern was found to be 45 nanometers. The morphological analysis revealed nanoparticles of quasi-spherical type with a size ranging from 4 to 5 nanometers. The consistency between SEAD and XRD further confirmed that the material formed was iron-zirconia binary oxide. The obtained material, which was insoluble in water, was used as an adsorbent. Through the adsorption study of eosin yellow dye, the maximum monolayer adsorption capacity of approximately 91.0 mg/g at 27 °C and pH = 7.0 for the functionalized adsorbent was determined. The process was exothermic, feasible, and spontaneous. At a dose of 1.0 g/L, the adsorbent was responsible for removing more than 90% of eosin yellow with 10–70 mg/L initial concentration, while about 56% removal was achieved at a higher concentration of 150 mg/L at 27 °C and pH = 7.0. These results highlight the potential of functionalized Fe2O3-ZrO2 as an effective adsorbent for water purification applications.
1. Introduction
There is always a discussion about water pollution, although new efforts are being made every day to treat wastewater [1]. The biggest cause of water pollution is the amounts of dyes in water [2]. Since dyes are used in various industrial activities, their production and use are very high [3]. According to an estimate, ~7.0 × 108 Kg of dye is produced every year [4], out of which 36% causes water pollution in the form of wastewater through various industrial activities (such as textile printing, plastics production, leather tanning, and dye manufacturing) [3,4].
Colored wastewater, having dye contents, discharged from industries into natural water bodies leads to several critical issues, such as reduction in sunlight penetration, inhibition of the photosynthesis process, impeding biota growth, and potentially causing toxicity to flora and fauna through metal ion chelation [5]. Most of the dyes are toxic towards the human body and even in some cases have been linked to cancer [6]. In this context, eosin yellow (EY) dye is a highly toxic dye that is widely used and that reaches water through various means and pollutes water [7,8]. The structure of EY is complex, and it is very carcinogenic [8]. This is why researchers recommend treating wastewater containing EY dye.
Among the various means of directly treating colored water, the use of nanoparticles (NPs) as adsorbents is considered a better treatment method [9,10]. Many NPs have already been developed [9,10,11]. The NPs that have been proven to be the best for adsorption applications include ferrite NPs [12]. These NPs are beneficial due to their unique properties (optical, mechanical, chemical, and magnetic) and high surface area [12]. There are many types of ferrite NPs that show efficient removal efficiency, RE (%), towards dyes [13]. The prominent ones among them are copper [14], nickel [15], manganese [16], and strontium ferrite [17].
Notably, the functionalization of the NPs increases the functional groups on the surface of the NPs, which is beneficial for the adsorption of the solute (dyes like EY) [18,19]. Various organic compounds such as acids [20,21], polymers [19], and aromatic compounds [22] have been used to perform the functionalization of NPs. Currently, phenolic aromatic compounds (PACs) are being used for the functionalization of NPs [23]. Earlier, many NPs have been modified through PACs, among which are [24] Fe3O4, MnO, Au, TiO2, ZrO2, CeO2, and Fe3O4. The medicinal activities of these PAC-modified NPs have been reported, although their water treatment application has not been reported much.
These days, natural PACs are considered to be the best and sustainable [24]. Manganese ferrite (MF) also has its own unique structure, so MF is also used for the adsorption process [16]. Because the functionalization of MF with natural PACs has not frequently been shown yet, the MF used in this study was therefore modified with natural PACs.
For this study, eugenol (Eu) was used, which is a natural source of phenolic aromatic compounds [25]. It is biodegradable and can be decomposed by bacteria such as Pseudomonas, Penicillium, and Rhodococcus [26]. It is isolated from various aromatic herbal plants such as clove, basil, cinnamon, and black pepper [25]. However, it can be easily and in large quantities isolated from the clove plant (Eugenia caryophyllata) [25]. Eu has a long shelf life; is non-toxic; and is also antibacterial and anti-fungal, which makes it better for use in water [25,26,27].
In medicinal studies, zinc oxide has been combined with Eu [28]. However, it has not been used as a functionalizing agent of NPs in wastewater treatment. Therefore, the interest of this study is the use of natural PAC in the functionalization of MF NPs. Hence, in this study, MF NPs were modified with Eu and examined for RE (%). This is the first study of its kind. This type of study has never been conducted before.
2. Experimental
2.1. Reagents and Materials
The precursor ferric chloride hexahydrate (FeCl3.6H2O) and zirconium oxy chloride (ZrOCl2) were purchased from Merck, Jeddah, Saudi Arabia. The organic content, eugenol {derived from clove}, for binary oxide functionalization was purchased from a local market in Jeddah, Saudi Arabia. The reaction pH controller, base, sodium hydroxide (NaOH), and hydrochloric acid (HCl) were purchased from Sigma-Aldrich, Jeddah, Saudi Arabia. EY dye (Molecular weight = 691.88 g/mol and λmax at ~516 nm (Figure 1)) was purchased from Merck, Jeddah, Saudi Arabia. All the above listed chemicals are analytical grade and were used without further purification.
Figure 1.
Structure of eosin yellow (reprinted from the literature [7]).
2.2. Preparation of Fe2O3-ZrO2
Reference NPs of Fe2O3-ZrO2 were prepared by an earlier reported method [29]. In brief, 1.0 M of FeCl3·6H2O and 0.1 M of ZrOCl2 were added to 200 mL of double-distilled (DD) water and stirred for half an hour. The solution was then continuously stirred and heated to 60 °C. Next, 8 M NaOH, preheated to the same temperature, was slowly added under continuous stirring to raise the pH of the solution to 10.5. The reaction was maintained for 15 min and then allowed to cool to room temperature (RT). The brownish precipitates were magnetically separated and washed with an excess of water to remove any unreacted content, followed by washing with acetone. Finally, the precipitates were dried at RT for 24 h.
2.3. Preparation of Eu-Fe2O3-ZrO2
To prepare, Eu-Fe2O3-ZrO2, 0.1 M of FeCl3·6H2O, 0.1 M of ZrOCl2, and eugenol were dissolved in ethanol (solvent), followed by the addition of 200 mL of water, and the resulting mixture was stirred for 30 min at 60 °C. The pH of the solution was increased to 10.5 by adding 8 M NaOH at the same temperature (60 °C). The reaction was maintained for 15 min and then allowed to cool to RT. The functionalized NPs were filtered and thoroughly washed with excess water. The resulting precipitates were dried at RT for 24 h before undergoing characterization.
2.4. Instrumentation
Fourier transform infrared (FT-IR) spectra (4000–400 cm−1) in KBr were recorded using a Bruker Alpha spectrometer. X-ray diffraction (XRD) analysis of the synthesized materials was obtained on D8, Advance, Bruker, Germany diffractometer using the Cu-Kα radiation (λ = 1.54 Å). The morphologies and structures of prepared materials were characterized by field emission scanning electron microscopy (SEM/Sigma 300, Xplore 3D) and transmission electron microscopy (TEM) Tecnai T-30 (300 kV FEGTEM) at 80 kV. Thermogravimetric analysis (TGA) was carried out in an inert environment (N2 gas flow) using a Perkin Elmer.
2.5. Determination of Point Zero Charge (pH-zpc)
The pH-zpc of Eu-Fe2O3-ZrO2 was determined using the simple salt addition method [29]. In this process, 30 mL of a 0.1 M KNO3 solution was placed in a series of 100 mL Erlenmeyer flasks, with the pH adjusted from 2.0 to 10.0 by adding either 0.1 M HCl or 0.1 M NaOH solutions. The pH of these solutions was recorded, called the initial pH of these solutions, designated as pHi. A total of 0.3 g of Eu-Fe2O3-ZrO2 was added to each flask, having maintained pHi, placed on a water bath shaking incubator at RT for 5 h at 200 rpm. After a certain time of period, the pH values of each flask solution were noted and designated as pHf. The pHi was plotted against pHf. The point of intersection of the two curves provides the pH-zpc. The pH-zpc was measured in triplicate, and the mean value was reported.
3. Adsorption Study
3.1. Preparation of Adsorbate Solutions
A stock solution of EY with a concentration of 1000 mg/L was prepared by dissolving exactly 1 g of the dye in 1000 mL of distilled water. This solution was then further diluted to the required concentrations to investigate the RE (%).
3.2. Batch Adsorption Experiments
Batch experiments were conducted using a series of 100 mL Erlenmeyer flasks, each containing an EY solution and a specified amount of Eu-Fe2O3-ZrO2. The flasks were mechanically agitated in a thermostatic water bath set to 27 °C for predetermined time intervals. Experiments were conducted in 100 mL Erlenmeyer flasks containing 10 mL of EY solution and a specific amount of Eu-Fe2O3-ZrO2. The mixtures were shaken at 200 rpm for 0–2 h at pH 7.0 and temperature at 27 °C. The impact of solution pH was studied by adjusting the pH range of 2.0–12 using 0.1 M HCl or NaOH, and the experiments were performed under the same condition.
The effects of varying EY concentrations, Eu-Fe2O3-ZrO2 dosages, and reaction times were also investigated. The adsorption data obtained from these experiments were utilized to calculate the equilibrium uptake capacity and the RE (%) of EY by using following equations (Equations (1) and (2)) [30]:
where Qe (mg/g) represents the EY adsorbed over m (g) weight of equilibrium Eu-Fe2O3-ZrO2; V (L) represents the volume; and the initial and equilibrium concentrations of EY in mg/L are represented by Co and Ce, respectively.
The solutions were analyzed spectrophotometrically for un-adsorbed EY in the solution. The final (Ce, mg/L) and initial EY concentrations (Co, mg/L) were evaluated by a UV–Visible spectrophotometer at λmax = 516 nm [31]. Each experiment was conducted in triplicate, and the mean value was further used for the analysis. Experimental data were validated through various isotherms and thermodynamic models.
3.3. Thermodynamic Studies
Equations (3)–(5) were used for thermodynamic study. These equations contain thermodynamics variables such as Gibbs free energy (∆G, kj/mol), enthalpy change (∆H, kj/mol), and entropy change (∆S, kj/mol/K). Gibbs free energy provides information about spontaneity and viability, while enthalpy change talks about the energy change in the reaction, i.e., whether the reaction is exothermic or endothermic. Randomness in the adsorption system is known through entropy change [32].
where Kc (L/mg) = equilibrium constant, T (Kelvin) = temperature, and R = gas constant.
3.4. Isotherm Studies
The isotherm analysis was conducted at the temperature of 300 K. The equilibrium data were analyzed using the non-linear forms of both Langmuir and Freundlich isotherms.
The Langmuir principle assumes that maximum adsorption is achieved when a single layer of adsorbate molecules forms on the adsorbent’s surface.
The non-linear mathematical form of the Langmuir equation is given as (Equation (6)) [33]:
Here, Ce (mg/L) represents the equilibrium concentration of EY in solution, and Qe (mg/g) denotes the quantity of EY adsorbed at the equilibrium. Qo (mg/g) represents the adsorption capacity, which is the maximum adsorbate amount adsorbed per unit mass of the adsorbent to form a monolayer on its surface. The constant b (L/mg), known as the Langmuir constant, indicates the affinity between the adsorbent and the adsorbate.
Additionally, a dimensionless equilibrium parameter (RL), also known as the separation factor, was determined using Equation (7) [33]:
The RL value shows the nature of isotherms: irreversible (RL = 0), favorable, (RL < 1), linear (RL = 1), and unfavorable (RL > 1).
Freundlich isotherm characterizes adsorption on both uniform and varied surfaces, as well as multilayer adsorption. The Freundlich model’s linear form is expressed using Equation (8) [33].
Here, KF [(mg/g)(L/mg)1/n] and n are represented as Freundlich constants. KF and n denote the adsorption capacity at unit concentration and intensity, respectively. For adsorption to be favorable, n values should lie between 1 and 10, while a value below 1.0 suggests the adsorbent struggled to adsorb.
3.5. Adsorption Kinetics
Adsorption kinetics was also studied for this study. Four different kinetic models, namely, pseudo first order (PFO), pseudo second order (PSO), Elovich, and Waber–Morris (WM) intraparticle diffusion (IPD), were used to understand the kinetics in the present study.
PFO focuses on the fact that the adsorption process is governed only by active sites present on the surface of the adsorbent. On the contrary, PSO prefers that the adsorption process depends not only on the adsorbent surface but also on the specificity of the adsorbate. Prominently, PFO represents physical adsorption while PSO refers to chemical adsorption [33,34]. The additional model, i.e., Elovich, helps to confirm the chemical adsorption.
In the present study, nonlinear equations were used for these kinetic models, which are provided in Equations (9), (10) and (11), respectively [33].
where k1 (per min) and k2 (g/mg/min) are the PFO and PSO rate constants; Qe and Qt (mg/g) are the adsorption capacity at equilibrium and time t (min); and ɑ (mg/g/min) and β (g/mg) are the rate of adsorption and desorption, respectively.
In the present EY adsorption process, the WM (IPD) model (Equation (12)) was used to confirm the rate-determining step [33,34].
where Kipd (mg/g/min) is the IPD coefficient and C (mg/g) is the thickness of the boundary layer (liquid film formed).
It is quite complicated to find out the rate-determining step of the adsorption process because adsorption involves multi-step processes such as mass transfer, film diffusion (boundary layer formation), and particle diffusion. Therefore, this model has been proven to be quite useful for the multi-step adsorption process.
The WM model states that if the intercept value, i.e., C of the IPD plot, which indicates the thickness of the boundary layer formation on the adsorbent, is found to be zero, then IPD alone is responsible for adsorption. However, if the value of C is greater than zero, then the other step such as film diffusion is also responsible for adsorption along with IPD.
3.6. Regeneration and Reutilization
Regeneration and reuse of adsorbent is very important as this process prevents the spent adsorbent from becoming secondary pollution after the adsorption process. It also reduces the cost of the overall adsorption process. Therefore, the regeneration and reuse of Eu-Fe2O3-ZrO2 for Ey adsorption were also analyzed in this study.
Since the affinity of EY for Eu-Fe2O3-ZrO2 decreases with the increase in alkaline pH, alkaline solution was used for the desorption process. For this, the exhausted Eu-Fe2O3-ZrO2 was re-collected (up to 1.0 g) after the adsorption process, and then it was regenerated with 100 mL solution of 0.4 M of NaOH. For the regeneration, 1.0 g of EY-loaded Eu-Fe2O3-ZrO2 was stirred for 8 h on a magnetic stirrer in a solution of NaOH. It was observed that the EY-loaded Eu-Fe2O3-ZrO2 left color in the solution, which indicates that desorption took place. The Eu-Fe2O3-ZrO2 was then separated from the solution by centrifugation using the centrifuge machine, and the regenerated Eu-Fe2O3-ZrO2 was washed with double-distilled water until the pH of the washed water became neutral, i.e., pH 7. After this, the regenerated Eu-Fe2O3-ZrO2 was dried and re-used further for EY removal from wastewater. This process was performed under the optimized conditions. This process was repeated for several adsorption–desorption cycles.
4. Results and Discussion
4.1. Characterization of Eu-Fe2O3-ZrO2
4.1.1. pH-ZPC Analysis
The functionalized NPs contain several functional groups, such as hydroxyl, carbonyl, and amine, which are responsible for the overall charge on the surface.
pH-ZPC is the point where the charge on the adsorbent surface is almost neutral, i.e., positive and negative charges are equal. When the pH of a solution moves below the pH-ZPC, i.e., towards acidic pH, gradually protonation occurs on the surface, and this protonation increases with the decrease in pHs, due to which the adsorbent surface becomes highly positive. For the current study, the surface of the adsorbent below the pH-ZPC would become positively charged. Similarly, when the pH moves above this ZPC, i.e., moves towards basic pH, the process of deprotonation takes place. In the process of deprotonation, negative charge is generated, and this negative charge changes the charge of the overall surface to negativity. Therefore, above the pH-ZPC, the surface of the adsorbent remains negative.
In the dye adsorption process, the dye molecule is a charged molecule, i.e., it is either positively charged or anionic, and therefore pH-ZPC has a direct effect on the adsorption/removal of the dye molecule. It can be said that below the pH-ZPC where the surface is positively charged, it helps in the adsorption of the negatively charged dye molecule, whereas on the basic surface where the adsorption surface becomes completely negative, the positively charged dye is absorbed better.
For this study, the pH-ZPC value of Eu-Fe2O3-ZrO2 turned out to be close to pH 6.5 (Figure 2), which was obtained through the salt addition method. Therefore, it can be said that the Eu-Fe2O3-ZrO2 surface was reported as neutral at ~6.5, positively charged below pH-zpc (i.e., ~6.5), and negatively charged as pH increased. This suggests that at pH > pH-zpc, cation adsorption will be preferred by Eu-Fe2O3-ZrO2 (Scheme 1). Similar observations have been reported in the literature [9,10].
Figure 2.
Graph of pH-ZPC for Eu-Fe2O3-ZrO2 NPs.
Scheme 1.
Schematic diagram of pH’s effect on the adsorption of EY on Eu-Fe2O3-ZrO2.
4.1.2. FT-IR Analysis
FT-IR spectroscopy is a powerful technique for identifying functional groups within an NP. In this study, FT-IR analysis of Fe2O3-ZrO2 NPs and Eu-Fe2O3-ZrO2 (before and after adsorption) was performed, revealing several characteristic absorption peaks in both the functional group and fingerprint regions, ranging from 4000 cm−1 to 400 cm−1 (Figure 3A–C) [29]. The FT-IR spectrum of Eu-Fe2O3-ZrO2 (Figure 3B) provided some sharp IR peaks from 3550 to 3250 cm−1 that are attributed to hydroxyl/phenolic groups [35,36,37]. Out of these, the sharp peak at 3548 cm−1 is attributed to free or overlapped phenolic groups, while the peaks at 3477 and 3422 cm−1 may be due to intramolecular bonding of hydroxyl groups [29,35]. Another peak at 3233 cm−1 may be attributed to water or free hydroxyl groups on the surface of the composite [35]. The peak at 1632 cm−1 is associated with C=C stretching, and peak at 1622 cm−1 shows bending of hydroxyl groups [35]. The two vibrational peaks at around 2923 cm−1 and 2855 cm−1 for -C-H show stretching of CH3 and CH2 groups, respectively [2,30]. The bands that appeared at 616 and 468 cm−1 might be attributed to O-Fe and O-Zr vibrations, respectively [38]. The FT-IR of the Eu-Fe2O3-ZrO2 was compared with that of bare binary oxide (Figure 3A). It was found that FT-IR analysis of bare binary oxide showed peaks of the hydroxyl group at 3354 cm−1 and 1635 cm−1 due to the moisture adsorbed. In addition, peaks of O-Zr and O-Fe could also be observed in the FT-IR. This comparative study demonstrates the modification of Eu on the surface of the prepared binary oxides. Therefore, the FT-IR spectrum of the resulting dried composite sample displayed characteristics peaks confirming the functionalization of NPs to Eu-Fe2O3-ZrO2. This result was consistent with the previous studies [29,38].
Figure 3.
FT-IR spectra of (A) Fe2O3-ZrO2, (B) Eu-Fe2O3-ZrO2, and (C) Eu-Fe2O3-ZrO2@EY.
In the present study, the FT-IR analysis was also carried out after adsorption of Ey dye using Eu-Fe2O3-ZrO2 (Figure 3C). It was found that after adsorption, the FT-IR of Eu-Fe2O3-ZrO2 showed the same group absorption peaks as before adsorption; however, the intensity of the peaks became slightly reduced and peaks shifted. These shifting in the peaks and reduction in peak intensity confirmed the adsorption of EY dye on the surface of Eu-Fe2O3-ZrO2 through the electrostatic and non-electrostatic (such as H bonding) interaction between the functional groups of Eu-Fe2O3-ZrO2 and charged EY [29].
4.1.3. X-Ray Diffraction (XRD) Analysis
For the structural and phase characterization of the synthesized samples, XRD analysis was conducted over a 2θ range of 10 to 80° (Figure 4A,B). The XRD pattern of the modified binary oxide was also compared with those of the bare binary oxide to confirm the observation.
Figure 4.
XRD pattern of the (A) Fe3O4-ZrO2 and (B) Eu-Fe3O4-ZrO2.
In the pattern of XRD of modified binary oxide (Figure 4B), peaks of both iron oxide and zirconium oxide can be seen. The pattern of the iron oxide is indicated by a red circle, while that of zirconium oxide is indicated by a blue rectangle. Their characteristic 2θ values and corresponding planes are shown as follows: Iron oxide- {(220; 30.95°), (311; 35.56°), (400; 43.53°), (422; 53.37°) (511; 56.73°), and (440, 63.16°)} (JCPDS No. 39-1346) [29]. Zirconium oxide- (−111; 28.32°), (111, 30.95°), (120; 35.56°), (022; 50.55°), and (131; 60.49°) (JCPDS No. 70-1769) [39,40]. It can also be observed in the XRD pattern that the peaks obtained at 30.95° and 35.56° were generated due to the interaction of iron oxide and zirconium oxide [40]. A similar XRD pattern with significant changes in the intensity and slight shifting in the peaks was observed for the bare binary oxide (Figure 4A). These patterns confirmed that the material presently made is a binary oxide of zirconium and iron oxide [40].
There are many forms of iron oxide such as maghemite and magnetite. The actual form of iron oxide in the composite can be determined from the position of the characteristic peak of iron oxide (i.e., the position of 311 planes at 2 thetha value). Therefore, for the current study, to confirm the form of iron oxide in the prepared composite, the position (at 2 thetha value) of the characteristic peak of iron oxide (i.e., of 311 planes) was compared with the standard peak position (i.e., standard 2 thetha value for 311 planes) of iron oxides (35.423° for magnetite, Fe3O4, and 35.631° for maghemite, γ-Fe2O3) [29]. On comparison, it was found that the peak position (i.e., 2θ value) of the iron oxide (2θ = 35.56°) in the prepared composite appeared close to the standard peak position of γ-Fe2O3 (2θ = 35.631°), confirming that the major iron oxide content in the present study was γ-Fe2O3. Similar agreements have been shown in earlier studies as well [29].
4.1.4. Microscopic Analysis
For further analysis, scanning electron microscopy (SEM) was utilized to image the surface and examine the morphology of the Eu-Fe2O3-ZrO2 composite. The SEM images (Figure 5) suggested that Eu-Fe2O3-ZrO2 has irregular-shaped particles (mostly quasi-spherical) with various sizes. The aggregated particles can further be observed by SEM images. Aggregation might be the result of the electrostatic/non-electrostatic interaction between functionalized particles. Therefore, the surface of Eu-Fe2O3-ZrO2 was heterogeneous, as can be predicted by SEM images. The roughness of the particles suggested the modification of Fe2O3-ZrO2 NPs by Eu.
Figure 5.
The SEM image of Eu-Fe2O3-ZrO2 at 2 and 4k magnification.
The quasi-spherical-type particles along with the Eu loading can clearly be seen in TEM images as well (Figure 6A,B). TEM analysis also suggested the particle sizes were in the nano-range, with some aggregations that led to the various sizes of NPs. The SEAD pattern connected to the TEM microscope revealed strong agreement with the current observation (Figure 6C).
Figure 6.
The TEM images (A,B) of Eu-Fe2O3-ZrO2 at different magnifications, and (C) the SEAD pattern of Eu-Fe2O3-ZrO2.
4.1.5. Thermal Analysis
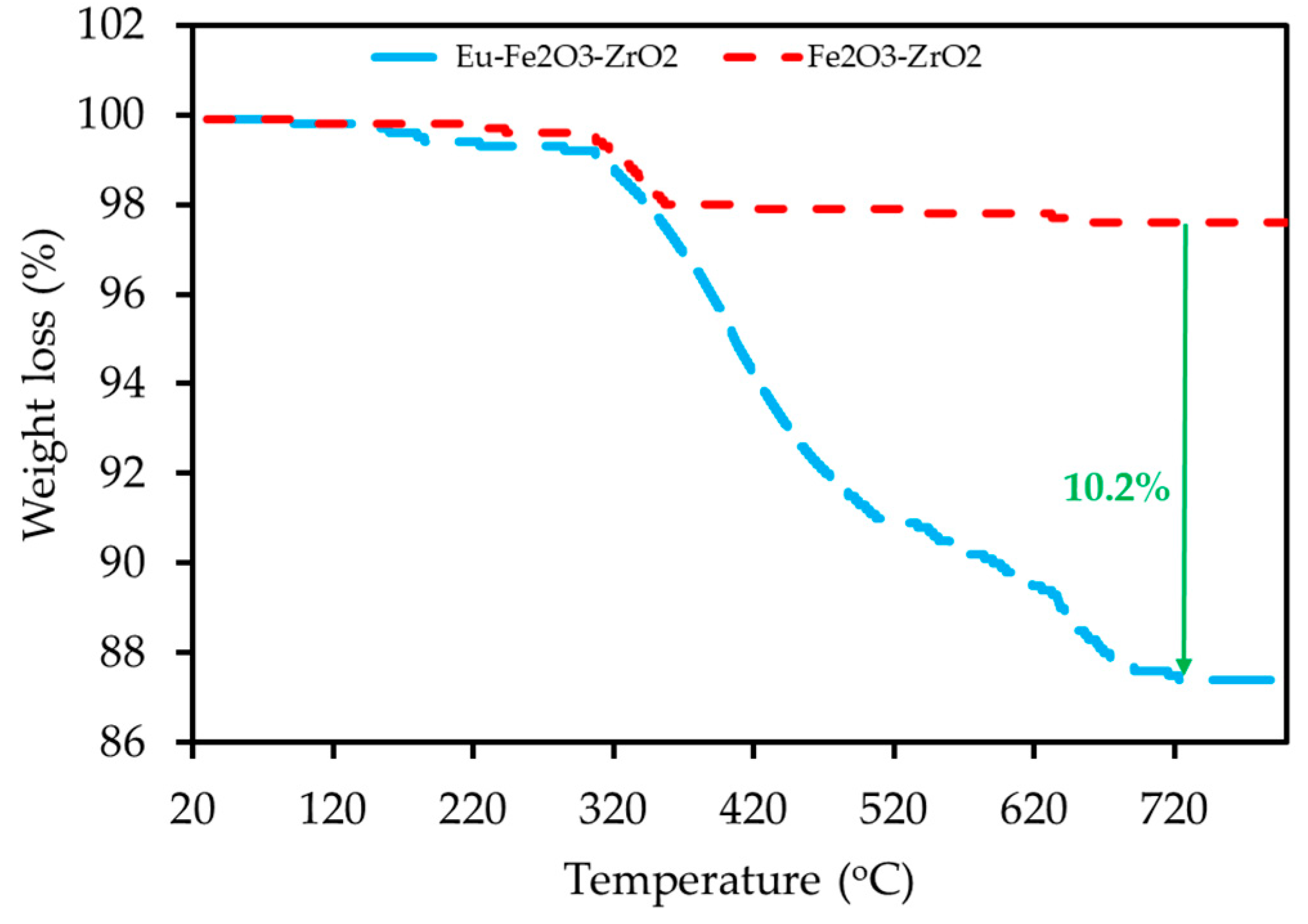
The TG graph is shown in Figure 7. The TG graph shows the thermal effect on bare binary oxide and functionalized binary oxide in the temperature range of 30–800 °C. This analysis also helps to determine the amount of eugenol on the binary oxide surface. Not much decomposition was seen in the TG graph of bare binary oxide, and only ~2.3% weight loss can be seen on the temperature up to 800 °C. This weight loss could have been due to the evaporation of water adsorbed on the bare binary oxide. This water molecule was responsible for the hydroxyl group, which can also be confirmed by the FT-IR analysis of binary oxide. The modified binary oxide showed more weight loss than the bare binary oxide, and this weight loss occurred in two major regions. The first region (100–300 °C) was due to the dehydration of water adsorbed on the surface [37], and then the second decomposition happened above 300 °C due to the decomposition of the Eu present in the composite [41]. Therefore, it can be said that the binary oxide formed in the present study was significantly attached to the functional groups of Eu. The total weight loss of Eu-Fe2O3-ZrO2 was only ~12.5%.
Figure 7.
TGA graph of Fe2O3-ZrO2 and Eu-Fe2O3-ZrO2.
4.2. Results of Batch Adsorption Experiments
Batch experiments were performed with different amounts of Eu-Fe2O3-ZrO2, at 0.2, 0.4, 0.6, 0.8, 1.0, and 1.2 g/L (Figure 8a), to optimize the minimum amount of Eu-Fe2O3-ZrO2 for higher removal of EY from aqueous solution (10.0 mg/L). The Eu-Fe2O3-ZrO2 amount variation trends for removal of EY from its initial concentrations, i.e., 10.0 mg/L, have shown the ~99% RE of Eu-Fe2O3-ZrO2 for EY at a 1.0 g/L amount of adsorbent, and then reached the equilibrium. As it can be seen that with the increase in adsorbent dose, the RE (%) also increased, for an initial adsorbent dose of 0.2 g/L, an RE (%) of approximately 15 mg/g was noticed, which gradually increased and removed almost all color from water at 1.0 g/L. It is a natural phenomenon that for a fixed dye concentration that as the adsorbent content increases, the surface area increases, thereby increasing the RE (%). A total of 1.0 g/L Eu-Fe2O3-ZrO2 was considered an optimum dosage for further RE (%) optimization.
Figure 8.
Effect of (a) adsorbent dose, (b) contact time, (c) solution pH, and (d) temperature and concentrations on to the RE (%) of Eu-Fe2O3-ZrO2 for EY removal.
The EY adsorbed over Eu-Fe2O3-ZrO2 into two stages: the first stage included rapid adsorption, while the second stage had a slower rate of adsorption (Figure 8b). The RE (%) of EY over Eu-Fe2O3-ZrO2 increased up to 99% (from ~78% at 20 min) as the contact duration was prolonged from 0 to 50 min. It can be seen that the EY adsorption became slower after 20 min and reached equilibrium after 50 min. This occurred as a result of Eu-Fe2O3-ZrO2 becoming free during the first contact phase (0–20 min), and as time passed, the available sites were filled; thus, at the initial stage there was higher uptake capacity, and this was lower after a certain period of time.
The pH range of 2.0 to 10.0 was chosen to provide the ideal pH for removal of EY, as shown in Figure 8c. The surface of adsorbent turned negatively charged at very high pH, as a result of excessive deprotonation, which increased the conflict for binding sites among OH- and EY [29,30]. As a result, at a higher pH, EY RE (%) decreased. However, at lower pH, H3O+ ions increased due to protonation in the addition of acid [29,33], which made the surface positively charged and the uptake of EY to become high. This can easily be understood by the pH-zpc value of Eu-Fe2O3-ZrO2, i.e., 6.5; below this pH-zpc, the positively charged surface enhances strong electrostatic attraction for anionic EY, with resultant higher EY RE (%) in acidic pHs. Above the pHs of pH-zpc (6.5), the surface might therefore be negatively charged, and a sudden repulsion of anionic dye, EY, would occur, thus leading to lower RE (%). Therefore, pH 2–7 was considered as a suitable pH for EY sorption onto Eu-Fe2O3-ZrO2. Since high RE (%) was shown to be even at pH = 7, pH = 7 was selected for this study.
4.3. Thermodynamics and Isotherm Modeling
Thermodynamics and isothermal studies are very important for any adsorption study as their study helps in understanding the mechanism of the adsorption process and also explains the interaction between adsorbent and adsorbate [30]. Hence, thermodynamics and isothermal studies have been carried out in detail in this study as well. For these studies, it is necessary to study the effect of concentration and temperature of the solution on the removal of EY.
For the present study, the effect of temperature and concentration can be explained through a combined plot (Figure 8d). It can be observed from the figure that as the concentration increased, the RE (%) decreased. While about 99% of EY was removed at 10 mg/L at 27 °C, it reduced to only 56% when the concentration of EY reached 150 mg/L. It is a common phenomenon that as the concentration increases, the RE (%) decreases for a certain quantity of adsorbent (1.0 g/L), representing the selected adsorptive surface region [29]. However, for the present study, a 56% RE at 150 mg/L showed a good RE (%).
Notably, when the temperature increased from 27 °C (300 K) to 45 °C (318 K), it was observed that initially from 27 to 35 °C (308 K), the RE (%) did not decrease much, but as soon as the temperature reached 45 °C, the RE (%) decreased significantly. For the solution of 10 mg/L concentration of EY, at a lower temperature, i.e., 27 °C, 99% of EY was removed with 1.0 g/L, whereas at 45 °C, it reduced to only 87%, which can be seen in Figure 8d. Similarly, at a higher concentration (150 mg/L), with an increase in temperature, from 27 to 45 °C, RE (%) remained at only 50%. The main reason is that the exothermic adsorption process is favored by low temperatures. At higher temperatures, non-electrostatic and weak physical bonds can break, which leads to a decrease in RE (%) with temperature. The data obtained through temperature and concentration effects were fitted to thermodynamic and isothermal models, and the results were analyzed.
For the present study, a thermodynamic plot (Figure 9) was plotted, through which negative Gibbs free energy values (−11.830, −9.765, −5.138 (kJ/mol)) were found at 300, 308, and 318K, respectively. Negative Gibbs free energy indicates that the present adsorption process is feasible and spontaneous. The negative value kept decreasing with the increase in temperature, which indicates that the feasibility was decreasing with elevating temperature. Enthalpy was also found to be negative (−124.81 kJ/mol), which indicates the exothermic process. Entropy value was found to be negative (−0.375 kJ/K/mol), indicating minimal randomness in the adsorption system. Such results can be compared with many previous studies that show agreement with this [29,33].
Figure 9.
Plot of thermodynamics for EY adsorption onto the Eu-Fe2O3-ZrO2.
The results of isotherms are presented in Table 1, alongside the error functions (sum of residual square, SSR, and chi-squared, χ2).
Table 1.
Non-linear isotherm parameters for EY adsorption on to the Eu-Fe2O3-ZrO2.
It can be observed from the non-linear plots of the isotherm (Figure 10) that the Langmuir modelled equilibrium adsorption capacity (calculated Qe) showed good agreement with the experimental Qe values. Therefore, both the error functions were found to be lower for the Langmuir plot as compared to the Freundlich plot, indicating that the Langmuir isotherm fits the EY adsorption data very well (Figure 10). This implies that EY adsorption to Eu-Fe2O3-ZrO2 may involve monolayer and chemical mechanisms [29,33]. The maximum monolayer adsorption capacity (Qo) obtained through the Langmuir isotherm was measured to be 91.0 mg/g. The current Qo value was much better than many of the reported adsorbents, revealing a high adsorption capacity of Eu-Fe2O3-ZrO2 for EY dyes. The RL value for Eu-Fe2O3-ZrO2, ranging from 0 to 1, indicates that the EY sorption process was favorable [29].
Figure 10.
Non-linear isotherm plots for EY adsorption on Eu-Fe2O3-ZrO2.
The n value measured through the Freundlich isotherm plot, which was in the range of 1 to 10, also showed the favorability of the present EY adsorption process. It was further found that the value of 1/n was almost close to zero, which demonstrates the chemical adsorption of the EY on the heterogeneous surface of the Eu-Fe2O3-ZrO2. These observations showed good agreement with previous literature.
4.4. Kinetic Modeling
Kinetic non-linear plots are provided in Figure 11, which show that the average experimental adsorption equilibrium capacity (Qe, exp) showed predominantly good agreement with the average equilibrium adsorption capacity (Qe, cal) derived by the PSO kinetic model; therefore, the values of both the error functions (SSR and χ2) for the PSO plot were found to be less than that of the PFO (Table 2). In addition, the value of rate constant (K) for the PSO (K2) was found to be much lower than that for the PFO rate constant (K1). Hence, the fitting of the PSO kinetic plot and lower K value suggest that the EY adsorption kinetics followed the PSO model. The fitting of the PSO model strengthens the confirmation of the chemical nature of the present adsorption process. The chemical adsorption was further confirmed by using the Elovich kinetic model, which showed good agreement with the experimental equilibrium adsorption capacity values (with lower SSR and χ2). Additionally, the value of ɑ (rate of adsorption) derived by the Elovich model was found to be much higher than β (rate of desorption) (Table 2), which verifies the favorability of EY adsorption onto the adsorbent surface [29].
Figure 11.
Non-linear plot of adsorption kinetic for EY adsorption on the Eu-Fe2O3-ZrO2 surface.
Table 2.
Results of the kinetic study.
It can be seen from the WM (IPD) plot that the plot did not fit very well to the experimental data, and it also showed a positive C value (Table 2), which revealed that the film diffusion along with IPD played a major role in the EY adsorption on the Eu-Fe2O3-ZrO2 surface [33]. Therefore, the kinetics study in the present study confirmed that the removal of EY in the present study occurred through chemical adsorption on the surface of the Eu-Fe2O3-ZrO2.
4.5. Regeneration and Reutilization
In the present study, the reutilization results showed that the existing adsorption was effective for limited reused cycles. It can be seen that the RE (%) declined by ~25% (99 to ~74%) after the third cycle and was further reduced up to ~24% RE (%) after the fifth cycle (Figure 12A). The main reason for the decreasing RE (%) after each cycle can be the weight loss of the material, incomplete desorption, or loss of functional groups. According to the results, the present adsorbent remains effective for only a few cycles. However, this adsorbent can be fixed by using it in cementing material after adsorption [42,43,44], due to which its environmental impact will not be very high.
Figure 12.
(A) Efficiency of EY adsorption onto the Eu-Fe2O3-ZrO2 after each adsorption–desorption cycle, and (B) the effect of interfering molecules/ions on the removal of EY dye by the Eu-Fe2O3-ZrO2.
4.6. Interfering Ions/Molecule Effect
It is very important to investigate the effect of interfering ions/molecules for any adsorption study because through the analysis of the effect of interfering ions/molecules, the selectivity of any adsorbent can be detected. This is a very important study for the utility of the adsorbent in real water, so the effect of interfering ions was studied in this study as well. In this study, the RE (%) of EY dye in the presence of Congo red (CR); bromophenol blue (BB); and heavy metal ions such as lead (Pb(II)), cadmium (Cd(II)), and zinc (Zn(II)) was investigated. This study was conducted by mixing 10 mL of 10 mg/L EY dye solution with 10 mL of 10 mg/L interfering ion/molecule (1:1 ratio) solution and then observing its RE (%) result under the above optimal conditions. Since pH = 6 was suitable for this adsorption study, pH 6 was used for this study. At this pH, the surface of the Eu-Fe2O3-ZrO2 acquires a positive charge due to protonation. The result can be seen in Figure 12B. From Figure 12B, it can be said that the effect of other anionic dyes (CR and BB) on EY was significantly more than cationic ions. Since EY is an anionic dye, i.e., it has a negative charge in solution, in the presence of negative ions/molecules (i.e., CR and BB), EY competes with these charged molecules/ions for the positive surface of Eu-Fe2O3-ZrO2 and occupies active surface sites, due to which the RE (%) of EY dye decreases substantially. Compared to CR dye, BB dye showed a greater interfering effect because of the smaller size of BB (molecular weight = 669.96) [45] than CR (molecular weight = 696.66) [11], and hence the BB diffusion rate on the adsorbent surface was higher [45]. At the molecular level, BB was a slightly smaller dye than EY (molecular weight = 691.88) [37,46], so the effect of BB on EY adsorption was too large [47,48].
In contrast, positive interfering ions (heavy metal ions) did not have much effect on the RE (%) of EY dye because these positive ions are repelled by the positive adsorbent surface due to their same charges. The trend of the effect of interfering ions on the RE (%) of EY dye was as follows: Pb(II) > Cd(II) > Zn(II). This is because of the interfering ions (heavy metal ions) with higher electronegativities (Pb (2.33) > Cd (1.69) > Zn (1.65)) [47] and smaller hydrated ionic radius (Zn (0.43 nm) > Cd (0.426) > Pb (0.401 nm)) [47] showed a better affinity and diffusion rate toward the adsorbent surface, leading to a higher interference effect on adsorption, although this effect was very small.
4.7. Comparative Analysis
The maximum adsorption capacity (Qmax) obtained for this study was compared with the previous literature, and it was found that the adsorption capacity for Eu-Fe2O3-ZrO2 was significantly higher than the previously reported adsorbent. This comparative study is shown in Table 3.
Table 3.
Comparative study of the adsorption capacity of Eu-Fe2O3-ZrO2 to other reported adsorbents.
5. Conclusions
From the results of this study, it can be concluded that the functionalized iron-zirconia binary oxide prepared in the present study has been proven to be an excellent candidate for the removal of eosin yellow dye from water. A natural phenolic aromatic compound derived from eugenol (clove oil) was used as a stabilizing and functionalizing agent. Eugenol is a non-toxic, biodegradable, good antibacterial liquid that was suitable for binary oxide functionalization. The functionalized nanoparticles were used for the removal of eosin yellow from the concentrations ranging from 10 to 150 mg/L. It was found that an 1.0 g/L amount of adsorbent was capable of removing about 90% of the dye from 10 to 70 mg/L, while at the highest concentration, it removed 56% of the dye. Isothermal and thermodynamic analysis was also carried out for this study, which showed that the adsorption was monolayer, and adsorption capacity was about 91.0 mg/g at low temperature (27 °C) and high temperature (45 °C) as well. The reaction was exothermic and feasible. Future studies will need to test the RE (%) of prepared binary oxide with natural water and also test its stability and reusability.
Author Contributions
Conceptualization, E.A.A. and S.O.; methodology, E.A.A.; formal analysis, R.H.A.; investigation, R.H.A.; writing—original draft preparation, R.H.A.; writing—review and editing, N.M.A., A.A.A.-G., M.K.K. and S.H.; visualization, R.H.A.; supervision, E.A.A.; project administration, E.A.A.; funding acquisition, S.O. All authors have read and agreed to the published version of the manuscript.
Funding
This study was carried out with the partial support (to S.O.) of ‘R&D Program for Forest Science Technology (Project No. RS-2024-00402558)’ provided by Korea Forest Service (Korea Forestry Promotion Institute).
Data Availability Statement
Data will be made available on request.
Conflicts of Interest
The authors declare that they have no known competing financial interests or personal relationships that could have appeared to influence the work reported in this paper.
References
- Ahamad, A.; Siddiqui, S.E.; Singh, P. (Eds.) Contamination of Water: Health Risk Assessment and Treatment Strategies; Elsevier: Amsterdam, The Netherlands, 2021. [Google Scholar]
- Shehnaz Prasher, I.B.; Ahmad, N.; Ahmed, M.; Raghuwanshi, S.; Kumar, V.; Siddiqui, S.I.; Oh, S. Live Biomass of Rigidoporus vinctus: A sustainable method for decoloration and detoxification of dyes in water. Microorganisms 2023, 11, 1435. [Google Scholar] [CrossRef]
- Christie, R.M. Environmental Aspects of Textile Dyeing; Woodhead Publishing: Cambridge, UK, 2007; ISBN 1845691156. [Google Scholar]
- Kumar, V.; Jamwal, A.; Kumar, V.; Singh, D. Green bioprocess for degradation of synthetic dyes mixture using consortium of laccase-producing bacteria from Himalayan niches. J. Environ. Manag. 2022, 310, 114764. [Google Scholar]
- Al-Tohamy, R.; Ali, S.S.; Li, F.; Okasha, K.M.; Mahmoud, Y.A.G.; Elsamahy, T.; Sun, J. A critical review on the treatment of dye-containing wastewater: Ecotoxicological and health concerns of textile dyes and possible remediation approaches for environmental safety. Ecotoxicol. Environ. Saf. 2022, 231, 113160. [Google Scholar] [CrossRef]
- Siddiqui, S.I.; Allehyani, E.S.; Al-Harbi, S.A.; Hasan, Z.; Abomuti, M.A.; Rajor, H.K.; Oh, S. Investigation of Congo red toxicity towards different living organisms: A review. Processes 2023, 11, 807. [Google Scholar] [CrossRef]
- Derayea, S.M.; Nagy, D.M. Application of a xanthene dye, eosin Y, as spectroscopic probe in chemical and pharmaceutical analysis; a review. Rev. Anal. Chem. 2018, 37, 20170020. [Google Scholar] [CrossRef]
- Rudra Paul, S.; Singh, N.H.; Debnath, A. Quick and enhanced separation of Eosin Yellow dye from aqueous solution by FeCl3 interaction: Thermodynamic study and treatment cost analysis. Int. J. Environ. Anal. Chem. 2024, 104, 2874–2894. [Google Scholar] [CrossRef]
- Fatima, B.; Alwan, B.A.; Siddiqui, S.I.; Ahmad, R.; Almesfer, M.; Khanna, M.K.; Oh, S. Facile synthesis of cu-zn binary oxide coupled cadmium tungstate (Cu-znbo-cp-ct) with enhanced performance of dye adsorption. Water 2021, 13, 3287. [Google Scholar] [CrossRef]
- Fatima, B.; Siddiqui, S.; Ahmed, R.; Chaudhry, S.A. Preparation of functionalized CuO nanoparticles using Brassica rapa leave extract for water purification. Desalin. Water Treat 2019, 164, 192–205. [Google Scholar] [CrossRef]
- Tara, N.; Siddiqui, S.I.; Rathi, G.; Chaudhry, S.A.; Inamuddin; Asiri, A.M. Nano-engineered adsorbent for the removal of dyes from water: A review. Curr. Anal. Chem. 2020, 16, 14–40. [Google Scholar] [CrossRef]
- Kefeni, K.K.; Mamba, B.B.; Msagati, T.A. Application of spinel ferrite nanoparticles in water and wastewater treatment: A review. Sep. Purif. Technol. 2017, 188, 399–422. [Google Scholar] [CrossRef]
- Reddy, D.H.K.; Yun, Y.S. Spinel ferrite magnetic adsorbents: Alternative future materials for water purification? Coord. Chem. Rev. 2016, 315, 90–111. [Google Scholar] [CrossRef]
- Masunga, N.; Mmelesi, O.K.; Kefeni, K.K.; Mamba, B.B. Recent advances in copper ferrite nanoparticles and nanocomposites synthesis, magnetic properties and application in water treatment. J. Environ. Chem. Eng. 2019, 7, 103179. [Google Scholar] [CrossRef]
- Mahmoodi, N.M. Nickel ferrite nanoparticle: Synthesis, modification by surfactant and dye removal ability. Water Air Soil Pollut. 2013, 224, 1419. [Google Scholar] [CrossRef]
- Mahmoodi, N.M.; Banijamali, M.; Noroozi, B. Surface modification and ternary system dye removal ability of manganese ferrite nanoparticle. Fibers Polym. 2014, 15, 1616–1626. [Google Scholar] [CrossRef]
- Sahoo, J.K.; Konar, M.; Rath, J.; Kumar, D.; Sahoo, H. Hexagonal strontium ferrite: Cationic dye adsorption and antibacterial activity. Sep. Sci. Technol. 2020, 55, 415–430. [Google Scholar] [CrossRef]
- Mahmoodi, N.M. Synthesis of amine-functionalized magnetic ferrite nanoparticle and its dye removal ability. J. Environ. Eng. 2013, 139, 1382–1390. [Google Scholar] [CrossRef]
- Mahto, T.K.; Chowdhuri, A.R.; Sahu, S.K. Polyaniline-functionalized magnetic nanoparticles for the removal of toxic dye from wastewater. J. Appl. Polym. Sci. 2014, 131, 40840. [Google Scholar] [CrossRef]
- Ahmed, R.; Siddiqui, S.I.; Al Alwan, B.; Almesfer, M.; Khanna, M.K.; Fatima, B.; Oh, S. Biodegradable acid based nanocomposite-CuO-ZnO-Ni(OH)2/PA: A novel material for water cleansing. J. Clean. Prod. 2022, 341, 130860. [Google Scholar] [CrossRef]
- Ahmad, R.; Alzahrani, E.A.; Dwivedi, P.; Hafeez, S.; Deswal, J.; Fatima, B.; Siddiqui, S.I.; Oh, S. Biodegradable Acid-Based Fe2MnO4 Nanoparticles for Water Remediation. Molecules 2024, 29, 3867. [Google Scholar] [CrossRef]
- Chatterjee, S.; Guha, N.; Krishnan, S.; Singh, A.K.; Mathur, P.; Rai, D.K. Selective and Recyclable Congo Red Dye Adsorption by Spherical Fe3O4 Nanoparticles Functionalized with 1,2,4,5-Benzenetetracarboxylic Acid. Sci. Rep. 2020, 10, 111. [Google Scholar] [CrossRef] [PubMed]
- Huang, X.; Devi, S.; Bordiga, M.; Brennan, C.S.; Xu, B. Phenolic compounds mediated biosynthesis of gold nanoparticles and evaluation of their bioactivities: A review. Int. J. Food Sci. Technol. 2023, 58, 1673–1694. [Google Scholar] [CrossRef]
- Wu, D.; Zhou, J.; Creyer, M.N.; Yim, W.; Chen, Z.; Messersmith, P.B.; Jokerst, J.V. Phenolic-enabled nanotechnology: Versatile particle engineering for biomedicine. Chem. Soc. Rev. 2021, 50, 4432–4483. [Google Scholar] [CrossRef] [PubMed]
- Ulanowska, M.; Olas, B. Biological properties and prospects for the application of eugenol—A review. Int. J. Mol. Sci. 2021, 22, 3671. [Google Scholar] [CrossRef] [PubMed]
- Chen, P.C.; Zhang, H.; Zheng, P. Direct biodegradation of eugenol to coniferyl aldehyde and other higher value-added products by Gibberella fujikuroi ZH-34. Electron. J. Biotechnol. 2019, 38, 32–39. [Google Scholar] [CrossRef]
- National Center for Biotechnology Information. PubChem Compound Summary for CID 3314, Eugenol. 2024. Available online: https://pubchem.ncbi.nlm.nih.gov/compound/Eugenol (accessed on 4 November 2024).
- Bakhori, S.K.M.; Mahmud, S.; Masudi, S.A.M.; Seeni, A.; Mohamad, D.; Ann, L.C.; Sirelkhatim, A. Cytotoxicity evaluation of ZnO-eugenol (ZOE) using different ZnO structure on human gingival fibroblast. In AIP Conference Proceedings; AIP Publishing: Melville, NY, USA, 2017; Volume 1865. [Google Scholar]
- Siddiqui, S.I.; Chaudhry, S.A. Nanohybrid composite Fe2O3-ZrO2/BC for inhibiting the growth of bacteria and adsorptive removal of arsenic and dyes from water. J. Clean. Prod. 2019, 223, 849–868. [Google Scholar] [CrossRef]
- Narasimharao, K.; Al-Thabaiti, S.; Rajor, H.K.; Mokhtar, M.; Alsheshri, A.; Alfaifi, S.Y.; Siddiqui, S.I.; Abdulla, N.K. Fe3O4@date seeds powder: A sustainable nanocomposite material for wastewater treatment. J. Mater. Res. Technol. 2022, 18, 3581–3597. [Google Scholar] [CrossRef]
- Mittal, A.; Jhare, D.; Mittal, J. Adsorption of hazardous dye Eosin Yellow from aqueous solution onto waste material De-oiled Soya: Isotherm, kinetics and bulk removal. J. Mol. Liq. 2013, 179, 133–140. [Google Scholar] [CrossRef]
- Saha, P.; Chowdhury, S. Insight into adsorption thermodynamics. Thermodynamics 2011, 16, 349–364. [Google Scholar]
- Fatima, B.; Ahmad, R.; Alsebaii, N.M.; Al-Ghamdi, A.A.; Aldahiri, R.H.; Alzahrani, E.A.; Siddiqui, S.I. The Synthesis of Functionalized W5O14 Nanorods for the Adsorption of Bismarck Brown R from Wastewater. Water 2025, 17, 196. [Google Scholar] [CrossRef]
- Bulin, C.; Guo, T.; Bao, J.; Song, J.; Zheng, R. Fabrication of ion imprinted graphene oxide-chitosan membrane cross linked by self polymerized polydopamine for selective adsorption of La (III). Sep. Purif. Technol. 2025, 358, 130317. [Google Scholar] [CrossRef]
- Coates, J. Interpretation of Infrared Spectra, A Practical Approach. In Encyclopedia of Analytical Chemistry; Meyers, R.A., McKelvy, M.L., Eds.; John Wiley & Sons, Inc.: Chichester, UK, 2006. [Google Scholar] [CrossRef]
- Bulin, C.; Guo, T.; Ma, Y. Spectroscopic and statistical physics elucidation for Cu (II) remediation using magnetic bio adsorbent based on Fe3O4-chitosan-graphene oxide. Int. J. Biol. Macromol. 2024, 276, 133895. [Google Scholar] [CrossRef]
- Bulin, C.; Zheng, R.; Guo, T. Fabrication of ion imprinted chitosan-polyethylene glycol-polyvinyl alcohol hybrid membrane for selective recovery of Nd (III). Int. J. Biol. Macromol. 2024, 282, 136845. [Google Scholar] [CrossRef]
- Gugushe, A.S.; Mpupa, A.; Munonde, T.S.; Nyaba, L.; Nomngongo, P.N. Adsorptive Removal of Cd, Cu, Ni and Mn from Environmental Samples Using Fe3O4-Zro2@APS Nanocomposite: Kinetic and Equilibrium Isotherm Studies. Molecules 2021, 26, 3209. [Google Scholar] [CrossRef]
- Mangla, O.; Roy, S. Monoclinic Zirconium Oxide Nanostructures Having Tunable Band Gap Synthesized under Extremely Non-Equilibrium Plasma Conditions. Proceedings 2019, 3, 10. [Google Scholar]
- Bekele, G.; Tsegaye, A.A.; Taddesse, A.M.; Teju, E. A stable electrochemical sensor for the detection of ascorbic acid based on Fe3O4/ZrO2 nano composite modified carbon paste electrode. Bull. Chem. Soc. Ethiop. 2024, 38, 1205–1223. [Google Scholar] [CrossRef]
- Hosseini, M.M.; Kolvari, E.; Koukabi, N.; Ziyaei, M.; Zolfigol, M.A. Zirconia sulfuric acid: An efficient heterogeneous catalyst for the one-pot synthesis of 3,4-dihydropyrimidinones under solvent-free conditions. Catal. Lett. 2016, 146, 1040–1049. [Google Scholar] [CrossRef]
- Liu, J.; Yang, J.; Huo, H.; Lei, L.; Cui, Y.; Wu, Z. Study on the effect of different Fe2O3/ZrO2 ratio on the properties of silicate glass fibers. Adv. Mater. Sci. Eng. 2017, 2017, 9523174. [Google Scholar] [CrossRef]
- Al-Jadiri, R.S.F.; Rahma, N.M.; Eweed, K.M. Producing a new type of cement by adding Zirconium Oxide. In IOP Conference Series: Materials Science and Engineering; IOP Publishing: London, UK, 2018; Volume 454, p. 012149. [Google Scholar]
- Ramalingam, M.; Narayanan, K.; Ayyasamy, M.; Kamaraj, D.; Kumar, S.S.; Agarwal, R.; Singh, P.; Dhaliwal, N.; Joshi, K.; Babu, B.S. Synthesis of nano Fe2O3 cement compositions for concrete shielding. Mater. Today Proc. 2023, in press. [CrossRef]
- Evyan, Y.C.Y.; Michlyn, C.K.; Vikneswary, S.; Chong, M.Y. Absorption efficiency of Bromophenol Blue and Congo Red using King oyster mushroom (Pleurotus eryngii). Curr. Res. Environ. Appl. Mycol. (J. Fungal Biol.) 2021, 11, 294–304. [Google Scholar] [CrossRef]
- Abdulhameed, A.S.; Al Omari, R.H.; Younes, M.K.; Abualhaija, M.; Algburi, S. Highly efficient adsorption of eosin yellow dye from aqueous solutions using polymer-based nanocomposite developed from cross-linked chitosan-citrate and Co2O3 nanoparticles. Surf. Inter. 2024, 54, 105146. [Google Scholar] [CrossRef]
- Akpomie, K.G.; Conradie, J. Biogenic and chemically synthesized Solanum tuberosum peel–silver nanoparticle hybrid for the ultrasonic aided adsorption of bromophenol blue dye. Sci. Rep. 2020, 10, 17094. [Google Scholar] [CrossRef]
- Adeoye, J.B.; Balogun, D.O.; Etemire, O.J.; Ezeh, P.N.; Tan, Y.H.; Mubarak, N.M. Rapid adsorptive removal of eosin yellow and methyl orange using zeolite Y. Sci. Rep. 2023, 13, 21373. [Google Scholar] [CrossRef] [PubMed]
- Okey-Onyesolu, C.F.; Okoye, C.C.; Chime, D.C. Removal of eosin yellow dye from aqueous solution using oil bean seed shells based activated carbons: Equilibrium, kinetics and thermodynamics studies. Int. J. Sci. Eng. Res. 2018, 9, 140–167. [Google Scholar]
- Liu, Y.; Chen, Y.; Shi, Y.; Wan, D.; Chen, J.; Xiao, S. Adsorption of toxic dye Eosin Y from aqueous solution by clay/carbon composite derived from spent bleaching earth. Water Environ. Res. 2021, 93, 159–169. [Google Scholar] [CrossRef] [PubMed]
- Iqbal, M.; Zafar, S.; Khan, M.I.; Shahida, S.; ur Rehman, H.; Iqbal, M.; Shanableh, A.; Javed, T. Utilization of Mangifera indica leaves powder as a cost-effective adsorbent for the removal of eosin yellow from wastewater. Desalination Water Treat. 2023, 306, 236–244. [Google Scholar] [CrossRef]
- Anirudhan, T.S.; Rejeena, S.R. Photocatalytic Degradation of Eosin Yellow Using Poly (pyrrole-co-aniline)-Coated TiO2/Nanocellulose Composite under Solar Light Irradiation. J. Mater. 2015, 2015, 636409. [Google Scholar] [CrossRef]
- Srisamai, P.P.P.; Sudtikoonaseth, P.; Kangwanrangsan, N.; Iamtham, S.; Jiraungkoorsku, W. Efficacy of Eosin dye removal by peanut shell agrowaste adsorbent. Braz. Arch. Biol. Technol. 2021, 64, e21200741. [Google Scholar] [CrossRef]
- Fabian Audu Ugbe, P.O.A.; Abiola Ikudayisi, V. Biosorption of an anionic dye, eosin yellow onto pineapple peels: Isotherm and thermodynamic study. Int. Ann. Sci. 2018, 4, 14–19. [Google Scholar] [CrossRef]
- Ashur, M.A.A.F. Removal of Eosin stain from aqueous solution by rice husk. Plant Arch. 2020, 20, 710–716. [Google Scholar]
- Hasan, A.F.; Abbas, M.N.; Ibrahim, S.A. Removal of eosin stain from aqueous solution by sunflower husk. J. Eng. Sustain. Dev. 2020, 24, 1–10. [Google Scholar] [CrossRef]
Disclaimer/Publisher’s Note: The statements, opinions and data contained in all publications are solely those of the individual author(s) and contributor(s) and not of MDPI and/or the editor(s). MDPI and/or the editor(s) disclaim responsibility for any injury to people or property resulting from any ideas, methods, instructions or products referred to in the content. |
© 2025 by the authors. Licensee MDPI, Basel, Switzerland. This article is an open access article distributed under the terms and conditions of the Creative Commons Attribution (CC BY) license (https://creativecommons.org/licenses/by/4.0/).












