Abstract
The use of treated wastewater (TWW) in agriculture is an important technological alternative for decreasing freshwater consumption and improving soil physicochemical and biological properties. The aim of this study was to investigate how the quality of soil and olive plants was affected by irrigation with TWW, surface water (SW), and blended water (BW), using tap water as the control. Several plant growth, chemical, and microbial parameters, namely plant height, trunk diameter, chlorophyll content, pH, total organic carbon (TOC), total nitrogen (TN), metals, salinity, and microbial population were selected for this purpose. The short-term irrigation of olive plants for 3 years with TWW, BW, and SW increased the electrical conductivity, TOC, TN, phosphorus, and potassium in the soil. There were notable differences in plant height and chlorophyll content observed in the third year of the experiment, with the greatest values found for the TWW-irrigated plants. These differences were attributed to the rise in the TOC and TN in the soil, which promoted rapid plant growth. The reduction in microbial contamination during the cold seasons may indicate the natural control of these harmful pathogens. Accordingly, it can be concluded that the blending of TWW with SW can reduce the negative effects of TWW resulting from the accumulation of TOC, TN, and metals.
1. Introduction
Water scarcity is becoming a global concern, as the Earth faces a water crisis that threatens the environmental sustainability of the planet. Human use is depleting natural resources more rapidly than nature can regenerate, unless human behavior and the unsustainable use of water resources are changed [1]. In response to the problem of water scarcity in many regions of the planet, the policies most world nations are paying increasing attention to are the reuse of treated wastewater (TWW) in agriculture, attempting to reduce the use of freshwater (FW) for irrigation purposes. For example, the new European Urban Wastewater Treatment Directive encourages the reuse of TWW, promoting the transformation of the wastewater treatment sector into a fully circular sector [2]. Furthermore, the Jordanian national water policy for 2023–2040 proposes a reduction in the FW allocation for irrigation in agriculture, with its replacement with TWW [3].
The agricultural use of TWW may actually represent an alternative to lessen FW demand and improve soil quality, potentially eliminating or at least reducing the need for fertigation. However, TWW irrigation faces risks of contamination from hazardous elements, organic micropollutants, and human pathogenic microbes [4,5]. The potential adverse effects on soils, land use, and crops are a major concern for farmers and stakeholders [6]. The inappropriate management of TWW irrigation poses significant risks to public health and the environment due to its microbial and toxic components. Good agricultural practices can reduce the environmental impacts and contamination, but concerns remain about soil quality, crop growth, increased salinity, clay dispersion, and the presence of pathogens [7].
The agricultural reuse of TWW requires strategies, such as improving public awareness, setting national health and environmental standards, and implementing effective utilization plans [8]. Despite the potential for reducing fertilizer costs and promoting higher yields, the demand for reclaimed water in Jordan is generally lower than that for other sources of FW [9]. However, TWW reuse poses risks to agricultural workers, consumers of agricultural goods, and the environment, due to soil and crop contamination, and ground and surface water pollution [4]. The social acceptance of TWW use in agriculture is influenced by local cultural, religious, and socio-economic conditions, as well as economic and technical factors. Social marketing and raising awareness are critical for reducing opposition to TWW irrigation [10].
The Mediterranean region is increasingly adopting TWW irrigation, particularly for olive oil production. This practice plays a crucial role in sustaining and enhancing olive cultivation in the region [11]. A study conducted in Crete, Greece, investigated the effects of TWW irrigation on olive trees. The findings indicated that plant growth was comparable to that of trees irrigated with tap water (TW), with similar nutrient and salt accumulations in the soil. Although the TWW contained higher concentrations of magnesium, calcium, and boron than the TW, it did not significantly impact their levels in the soil [12]. Similarly, a study in Tunisia compared the use of TWW and TW for irrigating olive trees. The results showed an increase in the nutrient and metal content in both the soil and plants, though the levels remained within permissible limits. No significant differences in plant growth were observed, and the absence of E. coli, Streptococcus, and Total coliform in the TWW confirmed its microbial safety for future olive production [13].
In Jordan, the assessment of TWW irrigation for olive trees started in Al-Tafilah, located in southern Jordan. The findings indicated potential drawbacks of TWW irrigation, including an accumulation of toxic metals in the leaves and fruits [14]. Another study in the northern part of Jordan, Ramtha, demonstrated that TWW irrigation negatively affects certain soil chemical properties, specifically electrical conductivity (EC) and Na%, while concurrently enhancing olive tree growth, fruit set, weight, and yield in comparison to rain-fed conditions [15]. A distinct study in the Wadi Musa Region in southern Jordan illustrated that the long-term TWW irrigation of olive trees has resulted in the accumulation of metals, particularly Fe, Mn, Pb, and Zn, in the soil, as well as their absorption by and translocation within various parts of the trees [16].
To mitigate the effects of TWW irrigation, numerous studies have indicated that blending TWW with FW for irrigation provides various advantages, especially regarding resource management, agricultural productivity, and environmental sustainability, as exemplified by a study that evaluated the potential of mixed wastewater for edible crops in hydroponic systems [17]. A separate study assessed the effects of mixing treated wastewater with industrial effluent for irrigating olive trees through a two-year monitoring of the soil and plant characteristics, which indicated elevated nutrient and metal levels, but no substantial variations in plant growth were seen [13].
In accordance with the aforementioned policies, and particularly the Jordanian national water policy for 2023–2040, this study aimed to investigate how irrigation with TWW, surface water, and blended water (BW, a 50% mixture of TWW and SW) affected the quality of soil and olive trees, which were chosen as a representative model for perennial plants in highland areas requiring supplementary irrigation; mixing the TWW with SW instead of with FW was implemented to decrease the FW demand. The campus of the University of Jordan, Amman (latitude 32°00′48.5″ N and longitude 35°52′33.0″ E),is a representative area of the highlands. The location is characterized by a semi-arid climate that is dry and temperate, with hot summers, cool winters, and minimal rainfall concentrated in the winter months. In detail, the cultivar Nabali Baladi was selected as it is a widely used genotype for pickling and olive oil production in Jordan [18], and several plant growth, chemical, and microbial parameters were determined for the plants and/or soil irrigated with the aforementioned waters, in comparison with those with TW used as the control.
2. Materials and Methods
2.1. Irrigation Waters Analysis
In parallel to a previously published study on the effect of irrigation with TWW on the strawberry as a model for annual plants [19], this study was carried out on the olive as a model for perennial crops, using the same water collected monthly: (i) TWW was obtained from Abu-Nusier wastewater treatment plant, where treatment process includes preliminary, primary, and secondary stages. The preliminary treatment involves screening to remove large debris, followed by grit removal. In the primary treatment phase, sedimentation tanks allow for the settling of suspended solids. Secondary treatment is carried out using activated sludge processes, where microorganisms degrade organic matter. The treated effluent is then subjected to disinfection before being discharged. (ii) SW was obtained from the outlet of King Talal Dam’s basin; (iii) BW was a 50% mixture of TWW and SW, and (iv) TW was used as the control.
The different types of irrigation water were analyzed based on several parameters: pH, electrical conductivity (EC, mS cm−1), total suspended solids (TSS, mg L−1), chemical oxygen demand (COD, mg L−1), five-day biochemical oxygen demand (BOD5, mg L−1), and bicarbonate ions (HCO3−, mg L−1), which were measured through acid (HCl) titration. Nitrate (NO3−) levels were determined using a reflectometric technique with test strips, ammonium (NH4+ mg L−1) levels were determined using a fluorometric assay as described by [20], phosphate (PO4−3 mg L−1) levels were determined using molybdenum blue reaction as described by [21], potassium (K mg L−1) was determined based on sodium adsorption ratio described by [22], and chloride ions (Cl− mg L−1) were quantified using Mohr’s titration method. Metals concentrations (mg L−1), including cadmium (Cd), chromium (Cr), copper (Cu), manganese (Mn), lead (Pb), and zinc (Zn), were analyzed using a benchtop inductively coupled plasma emission spectrometer (ICP-OES) (GBC Scientific Equipment Pty Ltd., Victoria, Australia) with argon as the flame gas. The population of fecal bacteria, Escherichia coli, Enterococci spp., and human pathogens (Pseudomonas aeruginosa, Salmonella spp., and Staphylococcus spp.) was estimated by determining colony-forming units (CFU mL−1). This was performed by plating the target bacteria on HiCrome™ universal differential medium (Sigma-Aldrich, St. Louis, MO, USA). The obtained water quality parameters were then compared with Jordanian standards 893-2021 [23], which regulate the use of reclaimed water for irrigating vegetables.
2.2. Olive Planting
One-year-old olive cuttings (Olea europaea L. cv. ‘Nabali Baladi’) were obtained from the Ministry of Agriculture, planted in 30 L pots (40 × 40 cm, D × H) containing 20 kg of soil consisting of an equal-volume mixture of peat moss, perlite, and clay loam, and placed for three growing seasons (from January 2017 to December 2019) in a closed environment under a plastic house on the campus of the University of Jordan, Amman.
Randomized complete block design (RCBD) was used to arrange the pots; the plants were irrigated using a drip system with a 16 mm diameter pipe. Each pot had a single drip emitter that was positioned 10 cm from the trunk and released 1 L h−1. Irrigation was performed twice a week using 1–3 L of treatment water per application, depending on plant age and soil field capacity. The soil moisture was monitored by a small tensiometer inserted 10–15 cm deep in a pot for each type of water and monitored daily in hot weather and every 2–3 days in cold weather. If the soil tension exceeded 40 kPa, irrigation was applied until the tension decreased to 20 kPa. Twenty pots were used for replication for each irrigation water type.
2.3. Soil Analysis
To achieve a “zero level” characterization, the soil used for olive cultivation was examined before the irrigation period began and four times a year: in the spring (April), summer (July), autumn (October), and winter (January). For every treatment, samples of the soil were taken from every pot near the drop emitters at a depth of 5–10 cm; the samples were air-dried at room temperature for a week before being utilized for physicochemical parameters analysis, which included soil pH, EC (mS cm−1), total organic compounds (TOCs%), total nitrogen (TN%), P (mg kg−1), K (mg kg−1), Na (mg kg−1), Cl- (mg kg−1), and metals concentrations (Cd, Cr, Cu, Mn, Pb, and Zn mg kg−1), as mentioned elsewhere [19]. Fresh soil samples were used for determination of the CFU g−1 of E. coli and Enterococci spp., P. aeruginosa, Salmonella spp., and Staphylococcus spp., as reported elsewhere [19].
2.4. Growth Evaluation
To compare the growth of olive plants irrigated with different water types, agronomic parameters were measured and monitored. These included plant height, determined using a sewing meter (m) at the tallest point; trunk diameter, measured with calipers 10 cm above the soil surface (cm); and chlorophyll content (µmol m−2) of the leaves of the current year’s shoots, assessed with a chlorophyll content meter (CCM-200; Opti-Sciences, Inc., Hudson, NH, USA). All data were collected non-destructively from all plants, without causing harm or irreversible damage to the plants, four times per year: spring (April), summer (July), autumn (October), and winter (January). Figure 1 illustrates weather conditions during the whole study period 2017–2019.
Figure 1.
Weather conditions during the whole study period 2017–2019. (A) Monthly average, minimum, and maximum temperatures; (B) average monthly rainfall at the Sweileh weather station (CLIM0015, latitude 32°02′47.2″ N and longitude 35°91′50.0″ E, with an altitude of 1086 m), the nearest weather station to the experiment site.
2.5. Leaves’ Microbial and Metals Contamination
Two leaves per plant were collected, from the 4 to 5th leaf, of the current year’s shoot four times per year: spring (April), summer (July), autumn (October), and winter (January). Determination of CFU per cm2 of E. coli., Enterococci spp., P. aeruginosa, Salmonella spp., and Staphylococcus spp. in olive leaves was conducted as explained by [19,24]. In brief, two leaf disks, each 5 mm in diameter, were collected and homogenized in 1 mL of 0.9% NaCl. The resulting suspension was then plated on HiCrome™ Universal Differential Medium (Sigma-Aldrich) to isolate the target bacterial organisms. Following a distilled water wash and a day of drying at room temperature, the leaves were calcined at 450 °C in a muffle oven. To assess the metals contamination, a benchtop ICP-OES was used, as reported elsewhere [19].
2.6. Roots’ Metals Contamination
To assess metals contamination in roots, the roots were sampled four times a year for every treatment. Samples of 0.5 g were taken from every pot from the same location for soil sampling; the samples were air-dried at room temperature for 24 h and calcinated at 450 °C in a muffle oven. The resulting ashes were subjected to digestion with 1 M nitric acid; the resulting suspension was filtered using a 45 µm filter and analyzed by ICP-OES to assess metals contamination.
2.7. Statistical Analysis
SAS 9.4M8 ® software was utilized to conduct an analysis of variance on the obtained data to compare the parameters assessed over the three growth seasons, as recommended for an RCBD. Data are presented as mean ± standard deviation, and the means were considered statistically different at the 0.05 probability level (p < 0.05).
3. Results
3.1. Water Characteristics
The characteristics of the four types of water are summarized in Table 1. The pH values of the BW, TWW, TW, and SW are slightly alkaline, measuring at 7.6, 7.8, 8.0, and 8.4, respectively, all of which fall within the Jordanian regulations for reclaimed water. The EC of the TWW is 6 mS cm−1, which is relatively high for a wastewater treatment plant effluent. While the BW and SW show higher COD and BOD levels compared to the TWW, all the values remain within the acceptable limits for reclaimed water in Jordan. The NO3−, NH4+, and PO4−3 concentrations are generally within the appropriate levels, except for the PO4−3 in the BW and SW, which exceeds regulatory standards.
Table 1.
Physicochemical and microbiological characteristics of the water used in irrigation, ± standard deviation *. TWW = treated wastewater; BW = blended water; SW = surface water; TW = tap water.
The metals concentrations in the SW are elevated, with recorded values of 12, 0.2, 0.3, 0.2, 4, and 9 mg L−1 for Cd, Cr, Cu, Mn, Pb, and Zn, respectively. In comparison, the TWW meets the Jordanian reclaimed water standards, except for occasional exceedances in Cu and Zn. Microbiologically, the SW contains higher concentrations of E. coli, Enterococci spp., P. aeruginosa, Salmonella spp., and Staphylococcus spp. than the TWW, with FCU mL−1 values of 1.7 × 103, 3.3 × 102, 3.3 × 102, 99, and 2.5 × 102, respectively. As a result, the parameter values for the BW generally fall between those of the TWW and SW.
3.2. Soil Characteristics
The physicochemical characteristics of the soil prior to and during irrigation are shown in Table 2. The soil prior to irrigation had a pH of 7.4, a high EC (1 mS cm−1), and a TOC of 24%. In general, the pH, EC, and TOC showed increases during irrigation with the TWW, BW, and SW, reaching the highest values of 7.2, 3.5 mS cm−1, and 53%, respectively, in the third year of the experiment with the TWW. Conversely, the soil was much less affected by the application of TW, which produced a significant increment only for the EC. More specifically, for the pH, the increments from the baseline data were never statistically significant, whereas for the EC and TOC, irrigation with the SW, BW, and especially TWW resulted in significant increases.
Table 2.
Physicochemical characteristics of the soil before and during the experimental period. Values are presented as mean ± standard deviation. TWW = treated wastewater; BW = blended water; SW = surface water; TW = tap water.
The effect of irrigation with the SW, BW, and TWW also produced significant increases in the TN and P concentrations. In particular, irrigation with the TWW resulted in the largest increases, with TN and p values in the third irrigation year of 18% and 45 mg kg−1, respectively, compared with initial values of 3% and 23 mg kg−1.
Similarly, the concentrations of K, Na, and Cl- gradually increased during irrigation with the TWW, BW, and SW, whereas they were not significantly influenced by the TW. Also, in these cases, the TWW was the irrigation water that most influenced the native soil composition, with the concentrations at the end of this study two times higher than the baseline for K and Na, and as much as seven times higher for Cl−.
Metals (i.e., Cd, Cr, Cu, Mn, Pb, and Zn) were found at varying concentrations in the soil prior to irrigation. The Cd and Cr concentrations gradually increased in the soils after irrigation with the TWW, BW, and SW. However, only the application of the TWW resulted in a significant increase in these two metals, reaching the highest concentrations in the third irrigation year (0.63 and 3.5 mg kg−1, for Cd and Cr, respectively).
The microbial characteristics of the soil before and during irrigation are presented in Table 3. The microbes analyzed were found at different densities in the soil before irrigation and increased after irrigation with the various types of water, except the TW. Similar to previous observations, the TWW showed the highest concentrations, followed by the BW and SW. The highest microbe populations in the TWW-irrigated soil were 9.6 × 103, 8.4 × 102, 7.3 × 102, 6.8 × 102, and 6.4 × 102 CFU g−1 for E. coli, Enterococci spp., P. aeruginosa, Staphylococcus spp., and Salmonella spp., respectively.
Table 3.
Microbiological characteristics of the soil before and during the experimental period. Values are presented as mean ± standard deviation. TWW = treated wastewater; BW = blended water; SW = surface water; TW = tap water.
3.3. Evaluation of Plant Growth Parameters
The effects of the water type on the plant growth parameters are shown in Table 4. As early as the first year of this study, the plants irrigated with the TWW or BW showed a significantly higher height than those irrigated with the SW and TW. This difference increased in the second and third years, when the height of the plants irrigated with the TWW was even statistically higher than those treated with the BW. In detail, the mean plant height of those irrigated with the TWW was 1.62 m, followed by 1.24, 1.17 m, and 1.15 m with the BW, SW, and TW, respectively.
Table 4.
Plant growth parameters before and during the experiment period. Values are presented as mean ± standard deviation. TWW = treated wastewater; BW = blended water; SW = surface water; TW = tap water.
Different considerations apply to the trunk diameter, which showed significantly different values after irrigation with the TW compared to the TWW, BW, and SW, with the latter being very similar and yet not statistically different.
In the first year, the chlorophyll content in the leaves of the plants irrigated with the TWW and BW was significantly different from that of the plants irrigated with the SW, TW, and the zero level. In the second and third years, the differences between the various type of water became more pronounced, with the chlorophyll content reaching a maximum of 61.5 µmol m−2 in the plants irrigated with the TWW, and a minimum of 44.4 µmol m−2 in the plants irrigated with the TW.
3.4. Microbes in Leaves
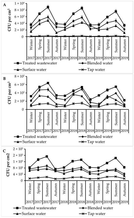
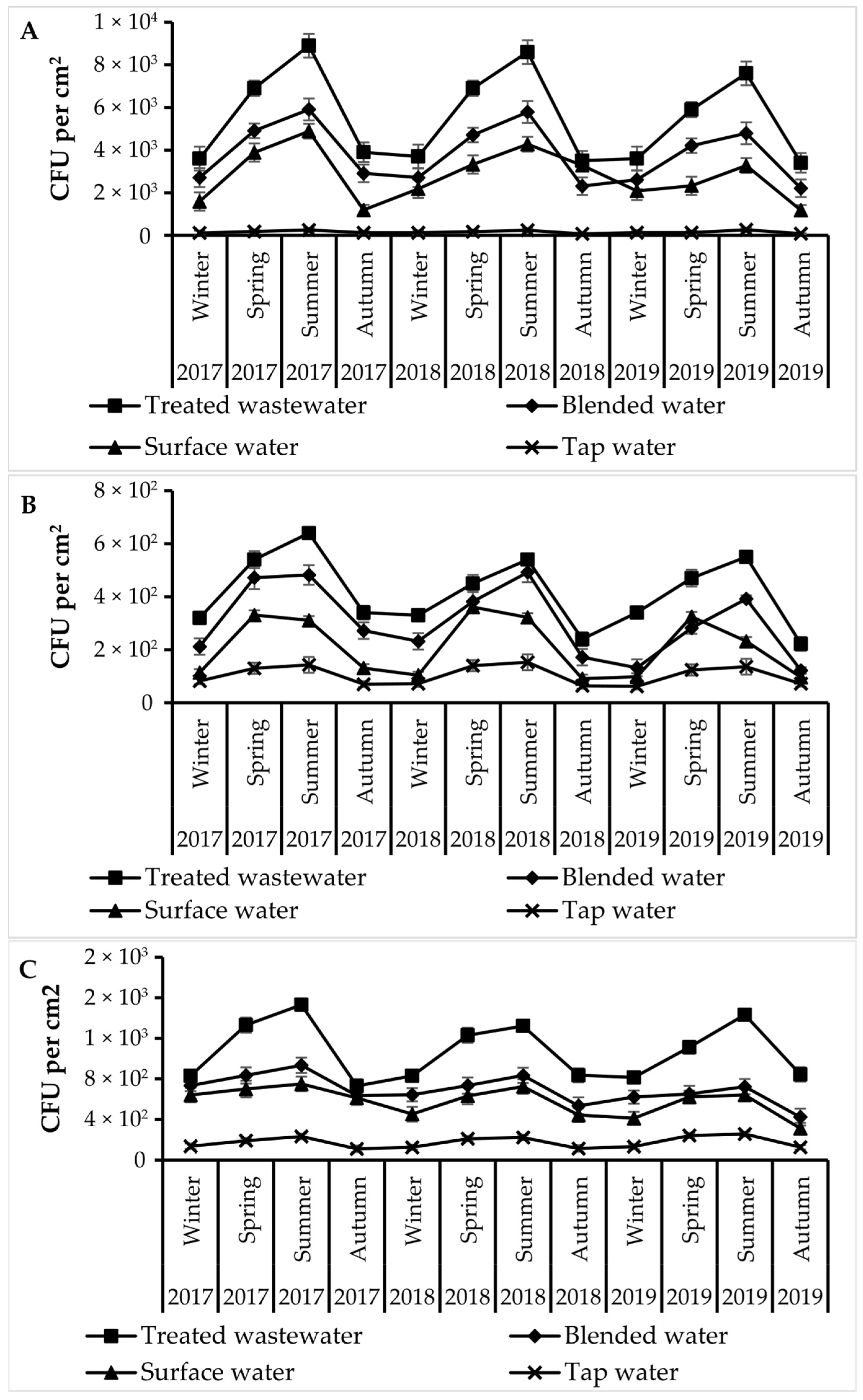
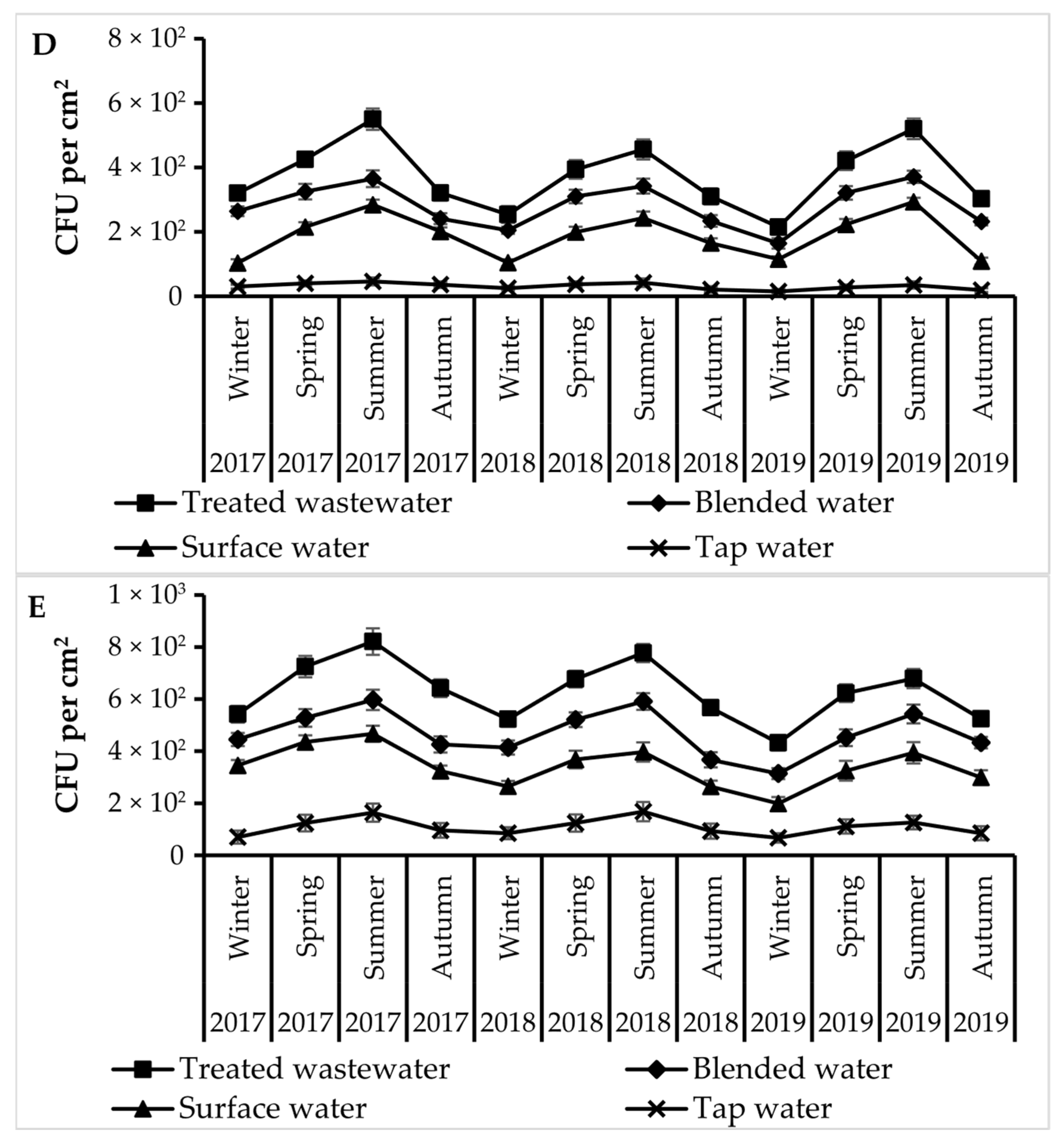
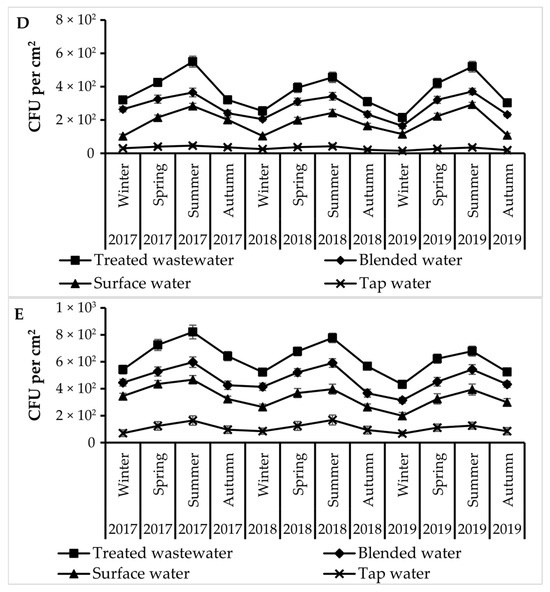
The populations of E. coli, Enterococci spp., P. aeruginosa, Salmonella spp., and Staphylococcus spp. were determined on the olive trees’ leaves. The highest population was detected on the leaves of the plants irrigated with the TWW, followed by the plants irrigated with the BW and SW, and the lowest was on the plants irrigated with the TW. During the experiment, all the analyzed microorganisms displayed a similar population growth pattern, with a decline in the fall and winter and an increase in the spring and summer (Figure 2A–E). The predominant bacteria detected on the olive leaves, regardless of the water type, were E. coli, followed by P. aeruginosa and Staphylococcus spp., with Enterococci spp. and Salmonella spp. having the lowest population density.

Figure 2.
The impact of water type on microbes’ populations on leaves’ surfaces. (A) E. coli; (B) Enterococci spp.; (C) Pseudomonas aeruginosa; (D) Salmonella spp.; (E) Staphylococcus spp.
The highest E. coli population, with 8.9 × 103 CFU per cm2 in Summer 2017, was detected on the leaves of the plants irrigated with the TWW, followed by the leaves of the plants irrigated with the TWW, with 8.6 × 103 and 7.6 × 103 CFU per cm2, in Summer 2018 and Summer 2019, respectively, while the lowest abundance was found on the leaves of the plants irrigated with the TW, with 70 CFU per cm2 (Figure 2A). The Enterococci spp. were determined to be most abundant on the leaves of the plants irrigated with the TWW, with 6.4 × 102 CFU per cm2 in Summer 2017, while the lowest abundance was found on the leaves of the plants irrigated with, with 62 CFU per cm2 in Winter 2019 (Figure 2B). The highest population of P. aeruginosa, with 1.5 × 103 CFU per cm2 in Summer 2017, was detected on the leaves of the plants irrigated with the TWW, and the lowest, with 1.1 × 102 CFU per cm2 in Fall 2017, was on the leaves of the plants irrigated with the TW (Figure 2C). The highest population of Salmonella spp., with 5.5 × 102 CFU per cm2 in Summer 2017, was detected on the leaves of the TWW-irrigated plants, followed by Summer 2019 and 2018, and the lowest, with 15 CFU per cm2 in Winter 2019, was on the leaves of the plants irrigated with the TW (Figure 2D). The highest population of Staphylococcus spp., with 8.2 × 102 in Summer 2017, was detected on the leaves of the plants irrigated with the TWW, and the lowest, with 67 in Winter 2019, was on the leaves of the plants irrigated with the TW (Figure 2E).
3.5. Metals in the Plants
Over the three-year period, the concentrations of Cd, Cr, Cu, Mn, Pb, and Zn in the olive leaves and roots were estimated. The data revealed that the metals accumulated in the olive leaves regardless of the irrigation water type utilized. However, significant differences in the metals concentrations were observed in the leaves of the TW-irrigated plants when compared to those irrigated with the TWW, BW, and SW, except for Zn. In the third year of the experiment, significant differences were found in the accumulations of Cd, Cr, and Mn in the leaves of the TWW-, BW-, and SW-irrigated plants, with the TWW-irrigated plants showing the highest accumulation (1.4, 1.7, and 29.5 mg kg−1 for Cd, Cr, and Mn, respectively), followed by the BW- and SW-irrigated plants. The accumulation of Cu in the leaves of the plants irrigated with the TWW and SW differed significantly, but there were no differences between the plants irrigated with the TWW and BW, or between the plants irrigated with the BW and SW. Over the three years, there was no significant difference in Pb accumulation in the TWW-, BW-, and SW-irrigated plants (Table 5). It is important to note that the olive leaves did not show Na toxicity symptoms, as did the strawberry leaves in the previous research [19].
Table 5.
Metals concentrations (mg kg−1) in the olive leaves during the experiment period. Values are presented as mean ± standard deviation *. TWW = treated wastewater; BW = blended water; SW = surface water; TW = tap water.
The accumulation of metals in the roots has been found to be impacted by the kind of water and the specific metal involved. For example, significant differences were found in the Mn concentrations inside the roots of plants irrigated with various kinds of water. Indeed, the plants irrigated with the TWW showed the highest concentration (7.2 mg kg−1), followed by those irrigated with the BW and SW, while the plants irrigated with the TW exhibited the lowest accumulation (1 mg kg−1). Significant differences in the Cr accumulation concentrations were observed in the roots of the TWW- and BW-irrigated plants, measuring 2.2 and 1.6 mg kg−1, respectively. However, no differences were noted between the SW- and TW-irrigated plants. The accumulation of Cu in the roots of the plants irrigated with the TWW and BW were not significantly different, and there were no differences between the BW- and SW-irrigated plants. The Cd and Pb concentrations in the roots of the TWW-, BW-, and SW-irrigated plants differed from those in the TW-irrigated plants, but there were no differences between them, although the highest concentrations of Cd and Pb (0.4 and 8.5 mg kg−1, respectively) were found in the TWW-irrigated plants. Similarly to the leaves, in the roots there were also no significant differences in the Zn accumulation between the irrigation water types. For the analyzed metals, the leaves accumulated higher concentrations than the roots, with the exception of Cr. Overall, the plants grown under TW irrigation had the lowest accumulation of metals in the roots (Table 6).
Table 6.
Metals concentrations (mg kg−1) in the olive roots during the experiment period. Values are presented as mean ± standard deviation *. TWW = treated wastewater; BW = blended water; SW = surface water; TW = tap water.
4. Discussion
The soil pH was slightly decreased, but not statistically significant, after irrigation with the TWW and BW. This result is in accordance with previous studies that have reported a non-significant pH reduction after irrigation with TWW [13]. However, the decrease in pH after irrigation with the TWW can be attributed to several factors, including elevated levels of bicarbonates and carbonates due to the addition of alkaline substances during the wastewater treatment process; ammonia release from the breakdown of organic nitrogen during treatment [25]; and microbial activity in the soil, stimulated by the nutrients in the treated wastewater, that can produce by-products, such as ammonia, which decrease the pH [26]. Furthermore, the range of soil pH for olive growth is between 7.5 and 8.5 [27]; therefore, the irrigation with the TWW did not compromise the pH conditions suitable for growing olive trees.
An increase in soil EC after irrigation with TWW has already been observed [19,28]. The EC for olive tree growth varies depending on the variety, soil type, irrigation water quality, and overall management practices [29]. Olive trees are moderately tolerant to salinity, and in general, a soil EC range of 1–4 mS cm−1 is considered suitable for olive trees to achieve good growth and fruit production, while exceeding this range can start to affect yield and tree health [11]. After three years of irrigation using the TWW, the EC was 3.5 mS cm−1, and therefore it did not exceed the aforementioned salinity threshold.
The TOC represents the organic carbon component in soil, including decomposed plant and animal debris, soil microorganisms, and organic substances derived from water sources. Irrigation with the TWW, TW, and SW resulted in 1.7–2.4 times the accumulation of TOC in the soil compared to irrigation with the TW. The accumulation of TOC in soil irrigated with treated wastewater has been well documented [12,13,30]. The accumulation of TOC in soil irrigated with TWW provides multiple benefits for soil health, fertility, and agricultural productivity, by introducing organic matter that acts as a nutrient source during decomposition, and promoting the aggregation of soil particles into stable structures, thereby improving soil porosity and increasing water retention capacity [31]. Improving the soil’s water retention ability is especially beneficial in arid and semi-arid areas with limited water supplies. It further acts as a nutrient reservoir for soil microbes, promoting microbial variety and activity, which enhance nutrient cycling, organic matter breakdown, and disease suppression [32].
The accumulation of TN, P, and K in soil irrigated with TWW has also been documented [13,19,33]. The utilization of TWW for irrigation can markedly improve soil fertility by augmenting the levels of TN, P, and K [33]. Many benefits derive from the accumulation of nutrients in soil: (i) N is essential for plant growth, and its presence in soil increases crop yields and fosters vigorous plant development; (ii) P promotes root growth, flowering, and fruiting; and (iii) K enhances disease resistance, fortifies the stalks, and improves fruit quality. The accumulation of these components, as a consequence of irrigation with TWW, aids in preserving soil fertility and plant health, decreases the need for synthetic fertilizers, lowers the input costs for farmers, and mitigates the environmental problems linked to synthetic fertilizers. Nevertheless, excessive fertilization may occur, leading to known environmental problems, such as the eutrophication of surface waters and the contamination of ground water.
The accumulation of Na and Cl in the soils during irrigation with the four water types utilized in this study may be attributed to the disinfection process of the TWW and TW, where Cl was used [19]. The application of TWW for irrigation can lead to the accumulation of Na and Cl in soil [13,33]. This accumulation has both advantages and disadvantages that need to be assessed for sustainable agriculture and soil management. The accumulation of Na and Cl at low concentrations offers advantages, as Na serves as a beneficial nutrient for specific crops by improving osmotic regulation, aiding water absorption, and enhancing water retention in fine-textured soils, which may increase water availability for plants in arid conditions. Cl is an essential element required for photosynthesis, osmotic balance, and disease resistance in plants [34,35]. However, excessive accumulations of Na and Cl can lead to soil salinity and soil sodicity, with the dispersion of soil particles and degradation of the soil structure, thus adversely affecting plant growth by reducing water availability for the roots (osmotic stress) and causing ion toxicity [36]. This diminishes water infiltration, aeration, and root penetration [34,35]. Sodium toxicity can disrupt nutritional absorption, particularly of K and Ca, owing to its competitive uptake characteristics [37]. In order to maximize the benefits and minimize the drawbacks, the various strategies proposed include assessing the salinity and sodicity of the soil, as well as using blended irrigation, mixing TWW with FW to lower salinity and reduce the demand for FW. In fact, the accumulation of sodium and chloride in soils watered with TWW poses specific challenges for crop cultivation, even for salt-tolerant species, such as olives. In our case study, FW was replaced with SW to reduce demand for FW in Jordan and to grow olives as a salt-tolerant crop.
The accumulation of metals in soil following irrigation with TWW has been documented after a prolonged irrigation of lemon and olive farms in Jordan [16,38]. Metals can accumulate in soils that have been irrigated with TWW, BW, and SW, and even in strawberry plants and other food crops after a brief period of irrigation [19,39]. This accumulation results from multiple factors related to the composition of these water sources, soil characteristics, and management practices. TWW frequently contains residual metals that originate from industrial discharges, such as Cd, Pb, Cr, Ni, and Zn [16,33], due to their incomplete removal during wastewater treatment processes. SW frequently receives untreated or partially treated wastewater, agricultural runoff, and urban discharges, all of which can contribute to metals contamination [40]. Soils with a high organic matter content can sequester metals, thereby decreasing their mobility while increasing their accumulation; alkaline soils may facilitate the precipitation and accumulation of metals [41]. The accumulation of metals has significant environmental effects, including (i) soil degradation that affects fertility and microbial activity; (ii) toxicity to plants, resulting in reduced growth and yield; and (iii) uptake by crops that can lead to their entry into the food chain, posing health risks to humans and animals [42]. The implementation of preventive measures, including the monitoring of irrigation water for metals concentrations, regular soil analysis, and amendments to reduce the bioavailability of metals, can reduce the aforementioned risks. In addition, the use of BW can dilute but not eliminate metals concentrations, resulting in gradual accumulation in soil with repeated applications.
The presence of E. coli and Enterococci spp. in soil under TWW irrigation is expected. This phenomenon has been documented in soil irrigated with TWW during experiments with tomatoes, potatoes, and strawberries [19,43,44]. Pathogenic microbes, such as Acinetobacter spp., Pseudomonas spp., Salmonella spp., Shigella spp., and Staphylococcus spp. have been isolated from TWW discharged from the Kherbet Al-Samra wastewater treatment plant [45]. This TWW flows into the King’s Talal Dam, which serves as the source of SW in the current study. Salmonella spp. has been identified in three distinct sources of SW in Jordan: (i) King’s Abdullah Canal, supplied by King’s Talal Dam, which receives TWW from various treatment facilities; (ii) Wadi Shueib, which receives both treated and untreated wastewater’ and (iii) Zarqa River, which feeds into King’s Talal Dam [46,47]. This may elucidate the rise in human pathogens in soils irrigated with TWW, BW, and SW.
While in the first year of the experiment there were no remarkable variations in plant height or trunk diameter among the irrigation treatments, in subsequent years the TWW was clearly the most effective irrigation approach for achieving the greatest plant growth.
These results are in line with previous studies that have shown significant differences among different types of TWW irrigation in terms of olive tree height [12,13]. These findings can be attributed to the rise in the TOC, TN, P, and K, which act as natural fertilizers and promote rapid plant growth by enhancing critical physiological processes, such as photosynthesis and protein synthesis, which stimulate vegetative development. Furthermore, significant differences in the chlorophyll concentration among the plants irrigated with the various water types were most pronounced in the third year. This is consistent with previous studies on the chlorophyll content of leaves of the cultivar “Koroneiki”, where the chlorophyll content was assessed using foliar SPAD [12], a widely accepted method for determining the chlorophyll concentration in leaves [48].
The presence of microbes, such as E. coli, Enterococci spp., P. aeruginosa, Salmonella spp., and Staphylococcus spp., on the leaves of plants that are irrigated with TWW, SW, and BW is a public health concern. The decrease in bacterial populations during the cold seasons, regardless of the irrigation water, may indicate that these harmful pathogens are subject to natural regulation, thereby diminishing the risk during olive cultivation in mid-October in Jordan and minimizing the potential stressors. This loss is due to many environmental and physiological mechanisms, chiefly influenced by environmental stressors (heat, UV radiation, and desiccation), alterations in leaf surface conditions, and antimicrobial defenses [49]. These elements provide a less conducive environment for bacteria, resulting in a natural reduction in their numbers.
Significant differences were found in the accumulation of metals in the leaves and roots of the olive trees depending on the type of water used for their irrigation. The highest accumulation of metals (Mn, Zn, Pb, and Cu) was found in the leaves of plants irrigated with the TWW, compared to those treated with the BW and SW. These results agree with a previous study conducted on TWW-irrigated olive trees in Wadi Musa, where the highest concentrations were observed in the leaves for Mn, Cd, and Pb [16]. It is also noteworthy that the highest Cr concentration found in our study in the leaves of the TWW-irrigated plants was 1.7 mg kg−1, very similar to that reported in the above study of 1.9 mg kg−1.
The concentration of Cr was higher in the roots compared to the leaves. This result is in line with previous studies [13,16], indicating the protective function of the roots as a barrier that restricts the absorption of toxic metals, such as Cd and Cr, as well as essential elements that exhibit phytotoxicity and may be less bioavailable due to soil adsorption [50,51].
The accumulation of different metals in different parts of the olive plants observed in this study, as a result of irrigation with TWW, is characteristic of olives cultivated under these conditions [12]. Olive trees are considered important bio-accumulators of Cu, Pb, and Zn in their tissues when grown in an area polluted by these metals [52]. The olive tree root system interacts with the soil particles and microbes in the rhizosphere, potentially increasing the adsorption of metals [53,54]. The absence of Na toxicity in the olive plants may be related to the ability of olive roots to selectively uptake essential nutrients, such as K and Ca over Na [55].
Blending TWW with SW is a sustainable and economically viable solution to alleviate water scarcity and increase the irrigation water supply, particularly in arid and semi-arid regions. This practice optimizes the use of unconventional water resources, reduces dependence on FW, and mitigates the environmental impacts of discharging untreated wastewater. Economically, blending reduces irrigation costs by utilizing the nutrients in TWW, thereby reducing fertilizer costs while providing a reliable water supply that increases agricultural productivity and stabilizes farmer income. By improving water availability, especially during dry seasons, it supports extended irrigation schedules and strengthens resilience to drought, enabling diversified cropping patterns and greater food security. Furthermore, this approach minimizes the costs associated with FW over-extraction and ecosystem degradation, contributing to long-term resource sustainability.
Despite its advantages, successful implementation of water blending requires addressing key challenges, such as infrastructure investments, public acceptance, and water quality management. Careful monitoring of water quality and adherence to blending ratios tailored to specific crops and soil conditions are essential to minimize the risks of salinity and contamination. By integrating economic, environmental, and agricultural benefits, blending TWW with SW is emerging as a critical tool to address water scarcity, promote efficient resource management, and ensure sustainable agricultural and environmental outcomes.
5. Conclusions
This study assessed the impact of irrigation using TWW, SW, and BW on olive tree growth, soil fertility and salinity, metals contamination, and safety, in comparison to irrigation with TW. Irrigation with TWW, BW, and SW enhanced soil fertility by providing TN, P, and K, as well as macro- and micronutrients. The significant differences in plant height observed in the third year, particularly the higher growth of the TWW-irrigated plants, can be attributed to the increase in the TOC, TN, P, and K, which act as natural fertilizers. TWW can be considered a sustainable management strategy for olive tree irrigation. Blending TWW with SW can reduce the negative effects of TWW resulting from the accumulation of TOC, TN, P, K, and toxic metals. The reduction in microbial contamination during the winter season may indicate the natural control of these harmful pathogens, thereby minimizing the risk during olive cultivation in mid-October in Jordan and minimizing the potential stressors. The olive plants could not achieve fruit set due to this project’s time limitations; hence, a prolonged investigation is recommended for assessing the health risks, microbiological and chemical contamination and transmission, and fruit quality standards.
Author Contributions
All authors made significant and direct intellectual contributions to this work. N.A.-K. participated in designing the experiments involving microbes, plants, and soil, as well as in manuscript writing. L.A.-E. participated in carrying out the experiments. M.T., M.A.-J. and A.J. contributed to the analysis and writing process. E.A.-K. participated in resource allocation, funding acquisition, supervision, and the writing process. M.D.B. participated in the project conceptualization, resource allocation, funding acquisition, project administration, and the writing process. All authors have read and agreed to the published version of the manuscript.
Funding
This research was funded by ERANET MED 13–069, 2014 call; the IRRIGATIO project; PRIMA II, CYCLOLIVE Project ID 1977; and the Deanship of Scientific Research at The University of Jordan, grant Project No. 774/2024.
Data Availability Statement
All the datasets assessed in this study are presented as tables and figures within the manuscript. The data presented in this study are available on request from the corresponding author.
Acknowledgments
We sincerely appreciate the financial support provided by the Jordanian Higher Council for Science and Technology (HCST) for our research activities.
Conflicts of Interest
The authors declare no conflicts of interest. The funders had no role in the design of this study; in the collection, analyses, or interpretation of data; in the writing of the manuscript; or in the decision to publish the results.
Abbreviations
The following abbreviations are used in this manuscript:
| TWW | Treated wastewater |
| SW | Surface water |
| BW | Blended water |
| TW | Tap water |
| FW | Freshwater |
| TOC | Total organic carbon |
| TN | Total nitrogen |
| EC | Electrical conductivity |
| TSS | Total suspended solids |
| COD | Chemical oxygen demand |
| BOD5 | Five-days biochemical oxygen demand |
| CFU | Colony-forming units |
| RCBD | Randomized complete block design |
| ICP-OES | Inductively coupled plasma optical emission spectrometer |
References
- Zhang, D.; Sial, M.S.; Ahmad, N.; Filipe, A.J.; Thu, P.A.; Zia-Ud-Din, M.; Caleiro, A.B. Water scarcity and sustainability in an emerging economy: A management perspective for future. Sustainability 2021, 13, 144. [Google Scholar] [CrossRef]
- EP. European Parliament. P9_TA(2024)0222 Urban Wastewater Treatment. European Parliament Legislative Resolution of 10 April 2024 on the Proposal for a Directive of the European Parliament and of the Council Concerning Urban Wastewater Treatment (Recast) (COM(2022)0541–C9-0363/2022–2022/0345(COD)). 2024. Available online: https://polit-x.de/en/documents/18840772/ (accessed on 10 December 2024).
- MWI. National Water Strategy, 2023–2040; Minisry of Water and Irrigation: Amman, Jordan, 2023. [Google Scholar]
- Al-Hazmi, H.E.; Mohammadi, A.; Hejna, A.; Majtacz, J.; Esmaeili, A.; Habibzadeh, S.; Saeb, M.R.; Badawi, M.; Lima, E.C.; Mąkinia, J. Wastewater reuse in agriculture: Prospects and challenges. Environ. Res. 2023, 236, 116711. [Google Scholar] [CrossRef] [PubMed]
- Renai, L.; Tozzi, F.; Checchini, L.; Del Bubba, M. Chapter Four—Impact of the use of treated wastewater for agricultural need: Behavior of organic micropollutants in soil, transfer to crops, and related risks. In Advances in Chemical Pollution, Environmental Management and Protection; Verlicchi, P., Ed.; Elsevier: Amsterdam, The Netherlands, 2020; Volume 6, pp. 103–135. [Google Scholar]
- Hamdan, M.; Abu-Awwad, A.; Abu-Madi, M. Willingness of farmers to use treated wastewater for irrigation in the West Bank, Palestine. Int. J. Water Resour. Dev. 2022, 38, 497–517. [Google Scholar] [CrossRef]
- Urbano, V.R.; Mendonça, T.G.; Bastos, R.G.; Souza, C.F. Effects of treated wastewater irrigation on soil properties and lettuce yield. Agric. Water Manag. 2017, 181, 108–115. [Google Scholar] [CrossRef]
- Grover, V.I.; Darwish, A.R.; Deutsch, E. Integrated Water Resources Management in Jordan; Economic Research Forum Working Paper No 577; Dokki: Cairo, Egypt, 2010. [Google Scholar]
- Carr, G.; Potter, R.B.; Nortcliff, S. Water reuse for irrigation in Jordan: Perceptions of water quality among farmers. Agric. Water Manag. 2011, 98, 847–854. [Google Scholar] [CrossRef]
- Deh-Haghi, Z.; Bagheri, A.; Fotourehchi, Z.; Damalas, C.A. Farmers’ acceptance and willingness to pay for using treated wastewater in crop irrigation: A survey in western Iran. Agric. Water Manag. 2020, 239, 106262. [Google Scholar] [CrossRef]
- Pedrero, F.; Grattan, S.R.; Ben-Gal, A.; Vivaldi, G.A. Opportunities for expanding the use of wastewaters for irrigation of olives. Agric. Water Manag. 2020, 241, 106333. [Google Scholar] [CrossRef]
- Petousi, I.; Fountoulakis, M.S.; Saru, M.L.; Nikolaidis, N.; Fletcher, L.; Stentiford, E.I.; Manios, T. Effects of reclaimed wastewater irrigation on olive (Olea europaea L. cv. ‘Koroneiki’) trees. Agric. Water Manag. 2015, 160, 33–40. [Google Scholar] [CrossRef]
- Boujelben, N.; Bakari, Z.; Turki, N.; Del Bubba, M.; Elleuch, B. Effects of short-term irrigation of olive (Olea europaea L. cv. ‘Koroneiki’) trees using treated wastewater contaminated with heavy metals. Irrig. Sci. 2024, 42, 863–875. [Google Scholar] [CrossRef]
- Batarseh, M.I.; Rawajfeh, A.; Ioannis, K.K.; Prodromos, K.H. Treated municipal wastewater irrigation impact on olive trees (Olea Europaea L.) at Al-Tafilah, Jordan. Water Air Soil Pollut. 2011, 217, 185–196. [Google Scholar] [CrossRef]
- Ayoub, S.; Al-Shdiefat, S.; Rawashdeh, H.; Bashabsheh, I. Utilization of reclaimed wastewater for olive irrigation: Effect on soil properties, tree growth, yield and oil content. Agric. Water Manag. 2016, 176, 163–169. [Google Scholar] [CrossRef]
- Al-Habahbeh, K.A.; Al-Nawaiseh, M.B.; Al-Sayaydeh, R.S.; Al-Hawadi, J.S.; Albdaiwi, R.N.; Al-Debei, H.S.; Ayad, J.Y. Long-term irrigation with treated municipal wastewater from the Wadi-Musa region: Soil heavy metal accumulation, uptake and partitioning in olive trees. Horticulturae 2021, 7, 152. [Google Scholar] [CrossRef]
- Egbuikwem, P.N.; Mierzwa, J.C.; Saroj, D.P. Assessment of suspended growth biological process for treatment and reuse of mixed wastewater for irrigation of edible crops under hydroponic conditions. Agric. Water Manag. 2020, 231, 106034. [Google Scholar] [CrossRef]
- Ahmad, M.N.; Mehyar, G.F.; Othman, G.A. Nutritional, functional and microbiological characteristics of Jordanian fermented green Nabali Baladi olives. Grasas Aceites 2021, 72, e396. [Google Scholar] [CrossRef]
- Al-Karablieh, N.; Al-Shomali, I.; Al-Elaumi, L.; Tabieh, M.; Al-Karablieh, E.; Al-Jaghbir, M.; Bubba, M.D. The impact of treated wastewater irrigation on strawberry development, fruit quality parameters, and microbial and chemical contaminant transfer: A health risk assessment. Sci. Hortic. 2024, 329, 113014. [Google Scholar] [CrossRef]
- Holmes, R.M.; Aminot, A.; Kérouel, R.; Hooker, B.A.; Peterson, B.J. A simple and precise method for measuring ammonium in marine and freshwater ecosystems. Can. J. Fish. Aquat. Sci. 1999, 56, 1801–1808. [Google Scholar] [CrossRef]
- Nagul, E.A.; McKelvie, I.D.; Worsfold, P.; Kolev, S.D. The molybdenum blue reaction for the determination of orthophosphate revisited: Opening the black box. Anal. Chim. Acta 2015, 890, 60–82. [Google Scholar] [CrossRef] [PubMed]
- Oster, J.; Sposito, G.; Smith, C.J. Accounting for potassium and magnesium in irrigation water quality assessment. Calif. Agric. 2016, 70, 71–76. [Google Scholar] [CrossRef]
- Jordanian Standards 893/2021; Water—Reclaimed Domestic Wastewater: Technical Regulation. Jordan Standards and Metrology Organization: Amman, Jordan, 2021.
- Al-Karablieh, N.; Al-Shomali, I.; Al-Elaumi, L.; Hasan, K. Pseudomonas fluorescens NK4 siderophore promotes plant growth and biocontrol in cucumber. J. Appl. Microbiol. 2022, 133, 1414–1421. [Google Scholar] [CrossRef]
- Sathish, K.; Vairavan, C.; Kokila, A.; KB, C.K.; CJ, T.K.; Shankar, M.; Moorthy, A.; Kousalya, V. Evaluating the efficacy of sand filtration for greywater treatment: Impact of column length on water quality and irrigation suitability. Int. J. Environ. Clim. 2024, 14, 172–179. [Google Scholar] [CrossRef]
- Rout, P.R.; Shahid, M.K.; Dash, R.R.; Bhunia, P.; Liu, D.; Varjani, S.; Zhang, T.C.; Surampalli, R.Y. Nutrient removal from domestic wastewater: A comprehensive review on conventional and advanced technologies. J. Environ. Manag. 2021, 296, 113246. [Google Scholar] [CrossRef] [PubMed]
- Bedbabis, S.; Palese, A.M.; Rouina, B.B.; Rhouma, A.L.I.; Gargouri, K.; Boukhris, M. The effect of irrigation with treated wastewater on “chemlali” olive oil quality. J. Food Qual. 2009, 32, 141–157. [Google Scholar] [CrossRef]
- Bakari, Z.; El Ghadraoui, A.; Boujelben, N.; Del Bubba, M.; Elleuch, B. Assessment of the impact of irrigation with treated wastewater at different dilutions on growth, quality parameters and contamination transfer in strawberry fruits and soil: Health risk assessment. Sci. Hortic. 2022, 297, 110942. [Google Scholar] [CrossRef]
- Chartzoulakis, K. The use of saline water for irrigation of olives: Effects on growth, physiology, yield and oil quality. Acta Hortic. 2011, 888, 97–108. [Google Scholar] [CrossRef]
- Bedbabis, S.; Ferrara, G.; Ben Rouina, B.; Boukhris, M. Effects of irrigation with treated wastewater on olive tree growth, yield and leaf mineral elements at short term. Sci. Hortic. 2010, 126, 345–350. [Google Scholar] [CrossRef]
- Mao, J.; Zhang, K.; Chen, B. Linking hydrophobicity of biochar to the water repellency and water holding capacity of biochar-amended soil. Environ. Pollut. 2019, 253, 779–789. [Google Scholar] [CrossRef]
- Dubey, A.; Malla, M.A.; Khan, F.; Chowdhary, K.; Yadav, S.; Kumar, A.; Sharma, S.; Khare, P.K.; Khan, M.L. Soil microbiome: A key player for conservation of soil health under changing climate. Biodivers. Conserv. 2019, 28, 2405–2429. [Google Scholar] [CrossRef]
- Sdiri, W.; AlSalem, H.S.; Al-Goul, S.T.; Binkadem, M.S.; Ben Mansour, H. Assessing the effects of treated wastewater irrigation on soil physico-chemical properties. Sustainability 2023, 15, 5793. [Google Scholar] [CrossRef]
- Kronzucker, H.J.; Coskun, D.; Schulze, L.M.; Wong, J.R.; Britto, D.T. Sodium as nutrient and toxicant. Plant Soil 2013, 369, 1–23. [Google Scholar] [CrossRef]
- Colmenero-Flores, J.M.; Franco-Navarro, J.D.; Cubero-Font, P.; Peinado-Torrubia, P.; Rosales, M.A. Chloride as a beneficial macronutrient in higher plants: New roles and regulation. Int. J. Mol. Sci. 2019, 20, 4686. [Google Scholar] [CrossRef] [PubMed]
- Stavi, I.; Thevs, N.; Priori, S. Soil salinity and sodicity in drylands: A review of causes, effects, monitoring, and restoration measures. Front. Environ. Sci. 2021, 9, 712831. [Google Scholar] [CrossRef]
- Djillali, Y.; Chabaca, M.N.; Benziada, S.; Bouanani, H.; Mandi, L.; Bruzzoniti, M.; Boujelben, N.; Kettab, A. Effect of treated wastewater on strawberry. Desalin. Water Treat 2020, 181, 338–345. [Google Scholar] [CrossRef]
- Albdaiwi, R.N.; Al-Hawadi, J.S.; Al-Rawashdeh, Z.B.; Al-Habahbeh, K.A.; Ayad, J.Y.; Al-Sayaydeh, R.S. Effect of treated wastewater irrigation on the accumulation and transfer of heavy metals in lemon trees cultivated in arid environment. Horticulturae 2022, 8, 514. [Google Scholar] [CrossRef]
- Othman, Y.A.; Al-Assaf, A.; Tadros, M.J.; Albalawneh, A. Heavy metals and microbes accumulation in soil and food crops irrigated with wastewater and the potential human health risk: A metadata analysis. Water 2021, 13, 3405. [Google Scholar] [CrossRef]
- Jiries, A.G.; Hussein, H.H.; Halaseh, Z. The quality of water and sediments of street runoff in Amman, Jordan. Hydrol. Process. 2001, 15, 815–824. [Google Scholar] [CrossRef]
- Hernandez-Soriano, M.C.; Jimenez-Lopez, J.C. Effects of soil water content and organic matter addition on the speciation and bioavailability of heavy metals. Sci. Total Environ. 2012, 423, 55–61. [Google Scholar] [CrossRef]
- Zaynab, M.; Al-Yahyai, R.; Ameen, A.; Sharif, Y.; Ali, L.; Fatima, M.; Khan, K.A.; Li, S. Health and environmental effects of heavy metals. J. King Saud Univ. Sci. 2022, 34, 101653. [Google Scholar] [CrossRef]
- Alkhaza’leh, H.; Abu-Awwad, A.; Alqinna, M. Effect of irrigation with treated wastewater on potatoes’ yields, soil chemical, physical and microbial properties. Jordan J. Earth Environ. Sci. 2023, 14, 135–145. [Google Scholar]
- Al-Lahham, O.; El Assi, N.; Fayyad, M. Impact of treated wastewater irrigation on quality attributes and contamination of tomato fruit. Agric. Water Manag. 2003, 61, 51–62. [Google Scholar] [CrossRef]
- Al-Quraan, N.A.; Abu-Rub, L.I.; Sallal, A.K. Evaluation of bacterial contamination and mutagenic potential of treated wastewater from Al-Samra wastewater treatment plant in Jordan. J. Water Health 2020, 18, 1124–1138. [Google Scholar] [CrossRef]
- Burjaq, S.Z.; Abu-Romman, S.M. Prevalence and antimicrobial resistance of Salmonella spp. from irrigation water in two major sources in Jordan. Curr. Microbiol. 2020, 77, 3760–3766. [Google Scholar] [CrossRef]
- Tarazi, Y.H.; Dwekat, A.F.A.; Ismail, Z.B. Molecular characterization of Salmonella spp. isolates from river and dam water, irrigated vegetables, livestock, and poultry manures in Jordan. Vet. World 2021, 14, 813–819. [Google Scholar] [CrossRef]
- Xiong, D.; Chen, J.; Yu, T.; Gao, W.; Ling, X.; Li, Y.; Peng, S.; Huang, J. SPAD-based leaf nitrogen estimation is impacted by environmental factors and crop leaf characteristics. Sci. Rep. 2015, 5, 13389. [Google Scholar] [CrossRef] [PubMed]
- Silva, I.; Alves, M.; Malheiro, C.; Silva, A.R.R.; Loureiro, S.; Henriques, I.; González-Alcaraz, M.N. Short-term responses of soil microbial communities to changes in air temperature, soil moisture and UV radiation. Genes 2022, 13, 850. [Google Scholar] [CrossRef] [PubMed]
- Angulo-Bejarano, P.I.; Puente-Rivera, J.; Cruz-Ortega, R. Metal and metalloid toxicity in plants: An overview on molecular aspects. Plants 2021, 10, 635. [Google Scholar] [CrossRef]
- Qi, X.; Tam, N.F.-y.; Li, W.C.; Ye, Z. The role of root apoplastic barriers in cadmium translocation and accumulation in cultivars of rice (Oryza sativa L.) with different Cd-accumulating characteristics. Environ. Pollut. 2020, 264, 114736. [Google Scholar] [CrossRef] [PubMed]
- Wilson, B.; Pyatt, F.B. Heavy metal bioaccumulation by the important food plant, Olea europaea L., in an ancient metalliferous polluted area of Cyprus. Bull. Environ. Contam. Toxicol. 2007, 78, 390–394. [Google Scholar] [CrossRef]
- Barra Caracciolo, A.; Terenzi, V. Rhizosphere microbial communities and heavy metals. Microorganisms 2021, 9, 1462. [Google Scholar] [CrossRef] [PubMed]
- Dias, M.C.; Silva, S.; Galhano, C.; Lorenzo, P. Olive tree belowground microbiota: Plant growth-promoting bacteria and fungi. Plants 2024, 13, 1848. [Google Scholar] [CrossRef] [PubMed]
- Melgar, J.C.; Benlloch, M.; Fernández-Escobar, R. Calcium increases sodium exclusion in olive plants. Sci. Hortic. 2006, 109, 303–305. [Google Scholar] [CrossRef]
Disclaimer/Publisher’s Note: The statements, opinions and data contained in all publications are solely those of the individual author(s) and contributor(s) and not of MDPI and/or the editor(s). MDPI and/or the editor(s) disclaim responsibility for any injury to people or property resulting from any ideas, methods, instructions or products referred to in the content. |
© 2025 by the authors. Licensee MDPI, Basel, Switzerland. This article is an open access article distributed under the terms and conditions of the Creative Commons Attribution (CC BY) license (https://creativecommons.org/licenses/by/4.0/).


