Hydro-Sedimentary Dynamics and Channel Evolution in the Mid-Huai River Under Changing Environments: A Case Study of the Wujiadu-Xiaoliuxiang Reach
Abstract
1. Introduction
2. Materials and Methods
2.1. Study Area
2.2. Data
2.2.1. Hydrological and Sediment Data
2.2.2. Channel Topography and Cross-Sectional Data
2.2.3. Remote Sensing Data
2.3. Methods
2.3.1. Trend Analysis
2.3.2. Change-Point Analysis
2.3.3. Double Mass Curve Analysis
3. Results
3.1. Temporal Variations in Streamflow and Sediment Load
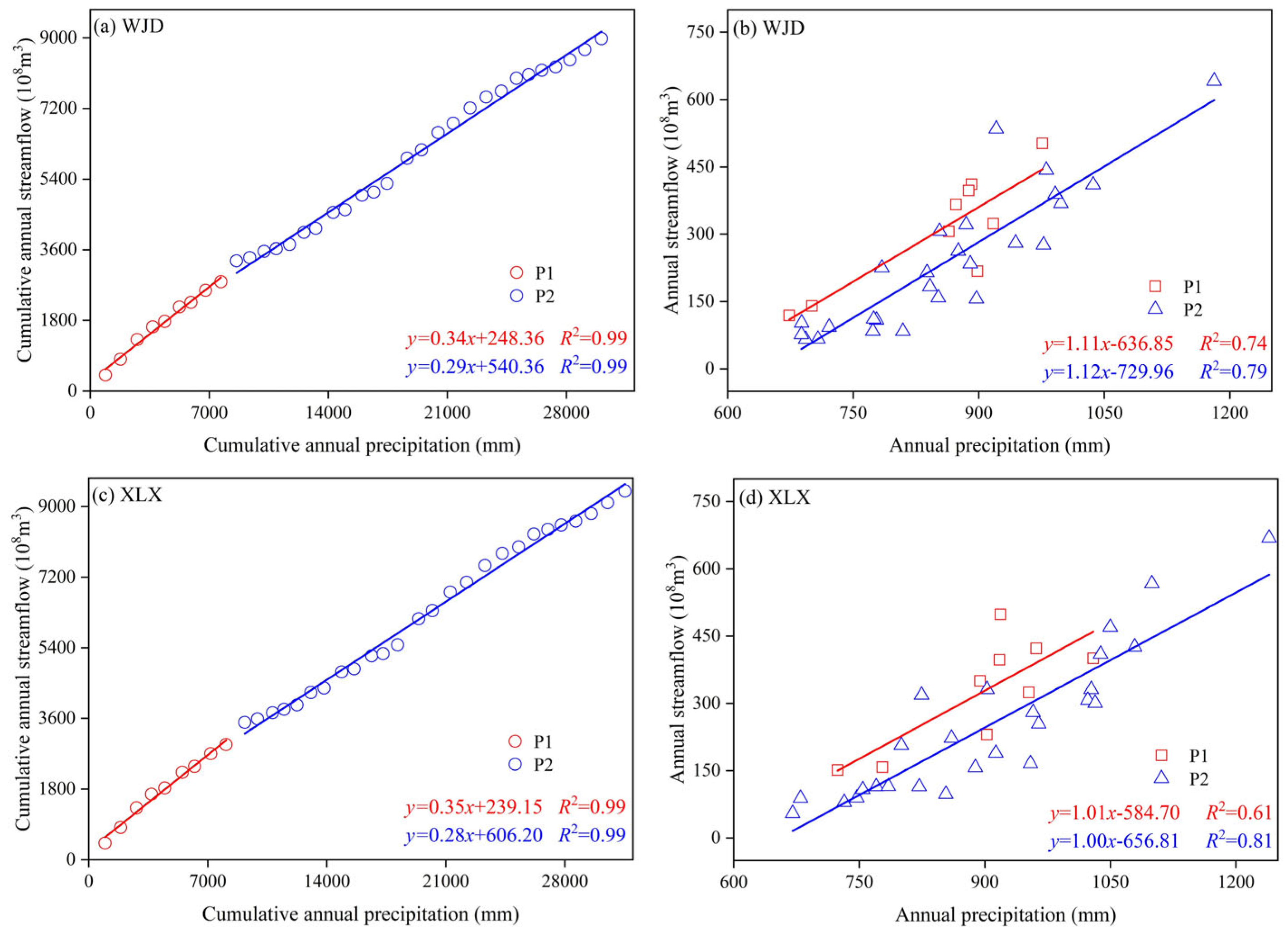
3.2. Changes in the Streamflow-Sediment Relationship
3.3. The Influence of Environmental Factors on the Streamflow-Sediment Regime
3.4. Channel Morphological Response to Environmental Changes
4. Discussion
4.1. Causes of Sediment Load Reduction in the Mid-Huai River
4.2. Channel Adjustments in Response to Sediment Load Reduction
4.3. Implications and Limitations
5. Conclusions
- (1)
- Over the study period (1982–2016), the WJD–XLX reach experienced a significant decoupling of its streamflow-sediment regime, with a dramatically sharper decline in sediment load than in streamflow, fundamentally altering their natural synergy.
- (2)
- The sediment reduction in the study reach was predominantly driven by human activities, notably ecological restoration, channel engineering, and sand mining, while the contribution from climatic factors was comparatively minor.
- (3)
- As sediment supply declined, the WJD–XLX reach experienced overall channel erosion, but the adjustment patterns diverged due to local conditions. At WJD, clear-water erosion combined with sand mining transformed the cross-section into a V-shape, whereas at XLX, the reverse slope reduced flow energy, helping to preserve a more stable U-shaped profile.
Author Contributions
Funding
Data Availability Statement
Conflicts of Interest
References
- Ma, C.; Qiu, D.; Mu, X.; Gao, P. Morphological Evolution Characteristics of River Cross-Sections in the Lower Weihe River and Their Response to Streamflow and Sediment Changes. Water 2022, 14, 3419. [Google Scholar] [CrossRef]
- Liu, W.; Wang, S.; Sang, Y.-F.; Ran, L.; Ma, Y. Effects of large upstream reservoir operations on cross-sectional changes in the channel of the lower Yellow River reach. Geomorphology 2021, 387, 107768. [Google Scholar] [CrossRef]
- Li, L.; Lu, X.; Chen, Z. River channel change during the last 50 years in the middle Yangtze River, the Jianli reach. Geomorphology 2007, 85, 185–196. [Google Scholar] [CrossRef]
- Khaleghi, S.; Surian, N. Channel Adjustments in Iranian Rivers: A Review. Water 2019, 11, 672. [Google Scholar] [CrossRef]
- Dai, Z.; Liu, J.T. Impacts of large dams on downstream fluvial sedimentation: An example of the Three Gorges Dam (TGD) on the Changjiang (Yangtze River). J. Hydrol. 2013, 480, 10–18. [Google Scholar] [CrossRef]
- de Musso, N.M.; Capolongo, D.; Caldara, M.; Surian, N.; Pennetta, L. Channel Changes and Controlling Factors over the Past 150 Years in the Basento River (Southern Italy). Water 2020, 12, 307. [Google Scholar] [CrossRef]
- Kiss, T.; Fiala, K.; Sipos, G. Alterations of channel parameters in response to river regulation works since 1840 on the Lower Tisza River (Hungary). Geomorphology 2008, 98, 96–110. [Google Scholar] [CrossRef]
- He, Y.C.; Li, Z.W.; Xia, J.Q.; Deng, S.S.; Zhou, Y.J. Channel Morphological Characteristics and Morphodynamic Processes of Large Braided Rivers in Response to Climate-Driven Water and Sediment Flux Change in the Qinghai-Tibet Plateau. Water Resour. Res. 2024, 60, e2023WR036126. [Google Scholar] [CrossRef]
- Bi, N.; Sun, Z.; Wang, H.; Wu, X.; Fan, Y.; Xu, C.; Yang, Z. Response of channel scouring and deposition to the regulation of large reservoirs: A case study of the lower reaches of the Yellow River (Huanghe). J. Hydrol. 2019, 568, 972–984. [Google Scholar] [CrossRef]
- Xia, H.; Zhao, J.; Qin, Y.; Yang, J.; Cui, Y.; Song, H.; Ma, L.; Jin, N.; Meng, Q. Changes in Water Surface Area during 1989–2017 in the Huai River Basin using Landsat Data and Google Earth Engine. Remote Sens. 2019, 11, 1824. [Google Scholar] [CrossRef]
- He, Y.; Ye, J.; Yang, X. Analysis of the spatio-temporal patterns of dry and wet conditions in the Huai River Basin using the standardized precipitation index. Atmos. Res. 2015, 166, 120–128. [Google Scholar] [CrossRef]
- Sun, P.; Wen, Q.; Zhang, Q.; Singh, V.P.; Sun, Y.; Li, J. Nonstationarity-based evaluation of flood frequency and flood risk in the Huai River basin, China. J. Hydrol. 2018, 567, 393–404. [Google Scholar] [CrossRef]
- Gao, C.; Zhang, Z.; Zhai, J.; Qing, L.; Mengting, Y. Research on meteorological thresholds of drought and flood disaster: A case study in the Huai River Basin, China. Stoch. Environ. Res. Risk Assess. 2014, 29, 157–167. [Google Scholar] [CrossRef]
- Wang, L.; Han, X.; Zhang, Y.; Zhang, Q.; Wan, X.; Liang, T.; Song, H.; Bolan, N.; Shaheen, S.M.; White, J.R.; et al. Impacts of land uses on spatio-temporal variations of seasonal water quality in a regulated river basin, Huai River, China. Sci. Total. Environ. 2023, 857, 159584. [Google Scholar] [CrossRef]
- Shi, H.L.; Hu, C.H.; Wang, Y.G.; Tian, Q.Q. Variation trend and cause of runoff and sediment load variations in Huaihe River. J. Hydraul. Eng. 2012, 43, 571–579. (In Chinese) [Google Scholar] [CrossRef]
- Yin, S.; Gao, G.; Huang, A.; Li, D.; Ran, L.; Nawaz, M.; Xu, Y.J.; Fu, B. Streamflow and sediment load changes from China’s large rivers: Quantitative contributions of climate and human activity factors. Sci. Total Environ. 2023, 876, 162758. (In Chinese) [Google Scholar] [CrossRef]
- Yang, C.; Lin, Z.; Yu, Z.; Hao, Z.; Liu, S. Analysis and Simulation of Human Activity Impact on Streamflow in the Huaihe River Basin with a Large-Scale Hydrologic Model. J. Hydrometeorol. 2010, 11, 810–821. [Google Scholar] [CrossRef]
- Yu, B.-y.; Wu, P.; Sui, J.-y.; Yang, X.-j.; Ni, J. Fluvial geomorphology of the Middle Reach of the Huai River. Int. J. Sediment Res. 2014, 29, 24–33. [Google Scholar] [CrossRef]
- Ni, J.; Yu, B.; Wu, P. A Numerical Study of the Flow and Sediment Interaction in the Middle Reach of the Huai River. Water 2021, 13, 2041. [Google Scholar] [CrossRef]
- Yu, B.Y.; Wu, P.; Sui, J.; Ni, J.; Whitcombe, T. Variation of Runoff and Sediment Transport in the Huai River—A Case Study. J. Environ. Inform. 2020, 35, 138–147. [Google Scholar] [CrossRef]
- Gao, C.; Ruan, T. The influence of climate change and human activities on runoff in the middle reaches of the Huaihe River Basin, China. J. Geogr. Sci. 2017, 28, 79–92. [Google Scholar] [CrossRef]
- Zhou, Y.; Zhang, Y.; Liang, T.; Wang, L. Shifting of phytoplankton assemblages in a regulated Chinese river basin after streamflow and water quality changes. Sci. Total. Environ. 2019, 654, 948–959. [Google Scholar] [CrossRef]
- Zhang, Y.; Xia, J.; Shao, Q.; Zhai, X. Water quantity and quality simulation by improved SWAT in highly regulated Huai River Basin of China. Stoch. Environ. Res. Risk Assess. 2011, 27, 11–27. [Google Scholar] [CrossRef]
- Yu, B.Y.; Yu, Y.S.; Ni, J. Analysis on erosion and deposition in Wujiadu–Xiaoliuxiang reach of the main stem Huaihe River. J. Sediment Res. 2009, 4, 12–16. (In Chinese) [Google Scholar] [CrossRef]
- Funk, C.; Peterson, P.; Landsfeld, M.; Pedreros, D.; Verdin, J.; Shukla, S.; Husak, G.; Rowland, J.; Harrison, L.; Hoell, A.; et al. The climate hazards infrared precipitation with stations—A new environmental record for monitoring extremes. Sci. Data 2015, 2, 150066. [Google Scholar] [CrossRef]
- Hersbach, H.; Bell, B.; Berrisford, P.; Hirahara, S.; Horányi, A.; Muñoz-Sabater, J.; Nicolas, J.; Peubey, C.; Radu, R.; Schepers, D.; et al. The ERA5 global reanalysis. Q. J. R. Meteorol. Soc. 2020, 146, 1999–2049. [Google Scholar] [CrossRef]
- Running, S.; Mu, Q.; Zhao, M.; Moreno, A. MODIS/Terra Net Evapotranspiration Gap-Filled 8-Day L4 Global 500m SIN Grid V061; NASA: Washington, DC, USA, 2021. [CrossRef]
- Townshend, J.R.G.; Justice, C.O. Analysis of the dynamics of African vegetation using the normalized difference vegetation index. Int. J. Remote Sens. 2007, 7, 1435–1445. [Google Scholar] [CrossRef]
- Ma, F.; Ye, A.; Gong, W.; Mao, Y.; Miao, C.; Di, Z. An estimate of human and natural contributions to flood changes of the Huai River. Glob. Planet. Change 2014, 119, 39–50. [Google Scholar] [CrossRef]
- Wei, Y.; Jiao, J.; Zhao, G.; Zhao, H.; He, Z.; Mu, X. Spatial–temporal variation and periodic change in streamflow and suspended sediment discharge along the mainstream of the Yellow River during 1950–2013. Catena 2016, 140, 105–115. [Google Scholar] [CrossRef]
- Mann, H.B. Nonparametric tests against trend. Econometrica 1945, 13, 245–259. [Google Scholar] [CrossRef]
- Kendall, M.G. Rank Correlation Measures, 4th ed.; Charles Griffin: London, UK, 1975. [Google Scholar]
- Sen, P.K. Estimates of the Regression Coefficient Based on Kendall’s Tau. J. Am. Stat. Assoc. 1968, 63, 1379–1389. [Google Scholar] [CrossRef]
- Pettitt, A.N. A Non-Parametric Approach to the Change-Point Problem. Appl. Stat. 1979, 28, 126–135. [Google Scholar] [CrossRef]
- Gao, G.; Ma, Y.; Fu, B. Multi-temporal scale changes of streamflow and sediment load in a loess hilly watershed of China. Hydrol. Process. 2015, 30, 365–382. [Google Scholar] [CrossRef]
- Zhang, S.; Lu, X.X. Hydrological responses to precipitation variation and diverse human activities in a mountainous tributary of the lower Xijiang, China. Catena 2009, 77, 130–142. [Google Scholar] [CrossRef]
- Sun, J.; Wang, G.; Sun, S.; Chen, S.; Sun, X.; Wang, Y.; Sun, H.; Song, C.; Lin, S.; Hu, Z. Asynchronous changes and driving mechanisms of water-sediment transport in the Jinsha River Basin: Response to climate change and human activities. Catena 2025, 259, 109325. [Google Scholar] [CrossRef]
- Hu, J.; Zhou, X.; Yi, Y.; Li, C.; Wang, X.; Liu, Q.; Mao, J. Hydrological changes in the Upper Yellow River under the impact of upstream cascade reservoirs over the past 70 years. J. Hydrol. 2025, 57, 102105. [Google Scholar] [CrossRef]
- Wu, Y.; Fang, H.; Huang, L.; Ouyang, W. Changing runoff due to temperature and precipitation variations in the dammed Jinsha River. J. Hydrol. 2020, 582, 124500. [Google Scholar] [CrossRef]
- Zhou, Y.; Li, D.; Lu, J.; Yao, S.; Yan, X.; Jin, Z.; Liu, L.; Lu, X.X. Distinguishing the multiple controls on the decreased sediment flux in the Jialing River basin of the Yangtze River, Southwestern China. Catena 2020, 193, 104593. [Google Scholar] [CrossRef]
- Yang, X.J.; Yu, B.Y. Analysis on recent channel evolution of middle reach of Huaihe River. Water Resour. Hydropower Eng. 2011, 42, 49–53. (In Chinese) [Google Scholar] [CrossRef]
- Yu, B.Y.; Lv, L.M.; Yang, X.J.; Ni, J. Research progress of flood outlet and river regulation in the middle reach of the Huaihe River. J. Sediment Res. 2021, 46, 74–80. (In Chinese) [Google Scholar] [CrossRef]
- Yang, X.J.; Hei, P.F. Effect of Artificial Sand Excavation on Fluvial Process of Huaihe River Bengbu to Fushan Reach. J. Basic Sci. Eng. 2011, 19, 78–84. (In Chinese) [Google Scholar]
- Ben, P.; Lu, M.N.; Lu, H.T.; Peng, L. Impact of sand mining on river regime stability and flood control safety in Bengbu section of Huaihe River. Yangtze River 2023, 54, 16–20, 27. (In Chinese) [Google Scholar] [CrossRef]
- Wei, C.; Dong, X.; Ma, Y.; Zhang, K.; Xie, Z.; Xia, Z.; Su, B. Attributing climate variability, land use change, and other human activities to the variations of the runoff-sediment processes in the Upper Huaihe River Basin, China. J. Hydrol. 2024, 56, 101955. [Google Scholar] [CrossRef]
- Yang, S.L.; Zhao, Q.Y.; Belkin, I.M. Temporal variation in the sediment load of the Yangtze river and the influences of human activities. J. Hydrol. 2002, 263, 56–71. [Google Scholar] [CrossRef]
- Yang, H.F.; Yang, S.L.; Xu, K.H.; Milliman, J.D.; Wang, H.; Yang, Z.; Chen, Z.; Zhang, C.Y. Human impacts on sediment in the Yangtze River: A review and new perspectives. Glob. Planet. Change 2018, 162, 8–17. [Google Scholar] [CrossRef]
- Li, T.; Wang, S.; Liu, Y.; Fu, B.; Zhao, W. A retrospective analysis on changes in sediment flux in the Mississippi River system: Trends, driving forces, and implications. J. Soils Sediments 2019, 20, 1719–1729. [Google Scholar] [CrossRef]
- Meade, R.H.; Moody, J.A. Causes for the decline of suspended-sediment discharge in the Mississippi River system, 1940–2007. Hydrol. Process. 2009, 24, 35–49. [Google Scholar] [CrossRef]
- Deng, L.; Shangguan, Z.-p.; Li, R. Effects of the grain-for-green program on soil erosion in China. Int. J. Sediment Res. 2012, 27, 120–127. [Google Scholar] [CrossRef]
- Zeng, Y.; Meng, X.; Wang, B.; Li, M.; Chen, D.; Ran, L.; Fang, N.; Ni, L.; Shi, Z. Effects of soil and water conservation measures on sediment delivery processes in a hilly and gully watershed. J. Hydrol. 2023, 616, 128804. [Google Scholar] [CrossRef]
- Gao, P.; Deng, J.; Chai, X.; Mu, X.; Zhao, G.; Shao, H.; Sun, W. Dynamic sediment discharge in the Hekou-Longmen region of Yellow River and soil and water conservation implications. Sci. Total Environ. 2017, 578, 56–66. [Google Scholar] [CrossRef]
- Rinaldi, M.; Wyżga, B.; Surian, N. Sediment mining in alluvial channels: Physical effects and management perspectives. River Res. Appl. 2005, 21, 805–828. [Google Scholar] [CrossRef]
- Bhattacharya, R.; Dolui, G.; Das Chatterjee, N. Effect of instream sand mining on hydraulic variables of bedload transport and channel planform: An alluvial stream in South Bengal basin, India. Environ. Earth Sci. 2019, 78, 303. [Google Scholar] [CrossRef]
- Battisacco, E.; Franca, M.J.; Schleiss, A.J. Sediment replenishment: Influence of the geometrical configuration on the morphological evolution of channel-bed. Water Resour. Res. 2016, 52, 8879–8894. [Google Scholar] [CrossRef]
- Brandt, S.A. Classification of geomorphological effects downstream of dams. Catena 2000, 40, 375–401. [Google Scholar] [CrossRef]
- Piégay, H.; Darby, S.E.; Mosselman, E.; Surian, N. A review of techniques available for delimiting the erodible river corridor: A sustainable approach to managing bank erosion. River Res. Appl. 2005, 21, 773–789. [Google Scholar] [CrossRef]
- Zolezzi, G.; Luchi, R.; Tubino, M. Modeling morphodynamic processes in meandering rivers with spatial width variations. Rev. Geophys. 2012, 50, 4005. [Google Scholar] [CrossRef]
- Cheng, N.N.; He, H.M.; Yang, S.Y.; Lu, Y.J.; Jing, Z.W. Impacts of topography on sediment discharge in Loess Plateau, China. Quat. Int. 2017, 440, 119–129. [Google Scholar] [CrossRef]













| Station | Streamflow (108 m3) | Sediment Load (104 t) | ||||||
|---|---|---|---|---|---|---|---|---|
| Mean | Max | Min | Cv | Mean | Max | Min | Cv | |
| WJD | 265.55 | 641.48 | 65.93 | 0.58 | 476.97 | 1341.86 | 17.06 | 0.80 |
| XLX | 268.49 | 668.56 | 54.87 | 0.56 | 517.79 | 1575.27 | 12.70 | 0.87 |
| Station | Trend test | Change point analysis | ||||||
| ZQ | βQ | ZS | βS | TQ | Ts | CQ (%) | CS (%) | |
| WJD | −1.27 | −3.21 | −2.24 * | −15.61 | / | 1991 * | −22.93 | −50.88 |
| XLX | −1.24 | −3.15 | −1.70 * | −11.22 | / | / | −23.70 | −47.04 |
| Station | Streamflow (108 m3) | Sediment Load (104 t) | ||||||
|---|---|---|---|---|---|---|---|---|
| Mean | Max | Min | Cv | Mean | Max | Min | Cv | |
| WJD | 173.89 | 446.03 | 5.20 | 0.67 | 399.58 | 1164.58 | 1.76 | 0.83 |
| XLX | 117.95 | 477.49 | 16.58 | 0.63 | 441.49 | 1283.35 | 4.08 | 0.89 |
| Station | Trend test | Change point analysis | ||||||
| ZQ | βQ | ZS | βS | TQ | Ts | CQ (%) | CS (%) | |
| WJD | −1.07 | −2.49 | −2.10 * | −13.51 | / | 1991 * | −21.83 | −50.06 |
| XLX | −1.14 | −2.22 | −1.68 * | −10.00 | / | / | −20.49 | −43.01 |
| Station | Variables | Statistical Analysis | Trend Test | ||||||
|---|---|---|---|---|---|---|---|---|---|
| Mean | Max | Min | Cv | P1 | P2 | Z | β | ||
| WJD | PRE (mm) | 859.03 | 1181.37 | 673.72 | 0.13 | 853.75 | 860.86 | 0.25 | 0.43 |
| TEMP (°C) | 15.38 | 16.26 | 14.20 | 0.03 | 14.89 | 15.55 | 3.47 *** | 0.03 | |
| NDVI | 0.18 | 0.24 | 0.14 | 0.14 | 0.16 | 0.19 | 4.47 *** | 0.002 | |
| ET (mm) | 574.66 | 643.22 | 483.26 | 0.06 | / | 574.66 | 2.35 ** | 4.56 | |
| XLX | PRE (mm) | 901.32 | 1239.71 | 674.40 | 0.14 | 897.55 | 902.63 | 0.62 | 1.27 |
| TEMP (°C) | 15.48 | 16.33 | 14.44 | 0.03 | 14.99 | 15.65 | 3.24 *** | 0.03 | |
| NDVI | 0.18 | 0.27 | 0.10 | 0.20 | 0.16 | 0.19 | 3.88 *** | 0.003 | |
| ET (mm) | 596.21 | 684.38 | 482.16 | 0.08 | / | 596.21 | 2.68 *** | 6.09 | |
| Category | Driving Factor | Type of Impact | Relative Influence |
|---|---|---|---|
| Human activities | Sand mining | Direct removal | Dominant |
| Channel dredging | Direct removal | Dominant | |
| Ecological restoration | Reduced sediment yield | High | |
| Land use change | Reduced sediment yield | Moderate | |
| Reservoir operation | Sediment trapping | Low | |
| Climate variability | Pre | Modulate transport capacity Modulate transport capacity Modulate transport capacity | Low |
| TEMP | Low | ||
| ET | Low |
Disclaimer/Publisher’s Note: The statements, opinions and data contained in all publications are solely those of the individual author(s) and contributor(s) and not of MDPI and/or the editor(s). MDPI and/or the editor(s) disclaim responsibility for any injury to people or property resulting from any ideas, methods, instructions or products referred to in the content. |
© 2025 by the authors. Licensee MDPI, Basel, Switzerland. This article is an open access article distributed under the terms and conditions of the Creative Commons Attribution (CC BY) license (https://creativecommons.org/licenses/by/4.0/).
Share and Cite
Cheng, K.; Ni, J.; Zhang, H.; Lu, H.; Wu, P. Hydro-Sedimentary Dynamics and Channel Evolution in the Mid-Huai River Under Changing Environments: A Case Study of the Wujiadu-Xiaoliuxiang Reach. Water 2025, 17, 3147. https://doi.org/10.3390/w17213147
Cheng K, Ni J, Zhang H, Lu H, Wu P. Hydro-Sedimentary Dynamics and Channel Evolution in the Mid-Huai River Under Changing Environments: A Case Study of the Wujiadu-Xiaoliuxiang Reach. Water. 2025; 17(21):3147. https://doi.org/10.3390/w17213147
Chicago/Turabian StyleCheng, Kai, Jin Ni, Hui Zhang, Haitian Lu, and Peng Wu. 2025. "Hydro-Sedimentary Dynamics and Channel Evolution in the Mid-Huai River Under Changing Environments: A Case Study of the Wujiadu-Xiaoliuxiang Reach" Water 17, no. 21: 3147. https://doi.org/10.3390/w17213147
APA StyleCheng, K., Ni, J., Zhang, H., Lu, H., & Wu, P. (2025). Hydro-Sedimentary Dynamics and Channel Evolution in the Mid-Huai River Under Changing Environments: A Case Study of the Wujiadu-Xiaoliuxiang Reach. Water, 17(21), 3147. https://doi.org/10.3390/w17213147

