Next Article in Journal
Unveiling the Multi-Dimensional Vulnerabilities of Flood-Affected Communities in Khyber Pakhtunkhwa, Pakistan
Previous Article in Journal
The Synthesis of Functionalized W5O14 Nanorods for the Adsorption of Bismarck Brown R from Wastewater
 
 
Font Type:
Arial Georgia Verdana
Font Size:
Aa Aa Aa
Line Spacing:
Column Width:
Background:
Article

The Optimization of River Network Water Pollution Control Based on Hydrological Connectivity Measures

1
School of Environmental Science and Engineering, Wuxi University, Wuxi 214105, China
2
Key Lab of Water and Sediment Science of Ministry of Education, School of Environment, Beijing Normal University, Beijing 100875, China
3
Wuxi Municipal Water Conservancy Bureau, Wuxi 214301, China
*
Author to whom correspondence should be addressed.
Water 2025, 17(2), 197; https://doi.org/10.3390/w17020197
Submission received: 29 November 2024 / Revised: 6 January 2025 / Accepted: 10 January 2025 / Published: 13 January 2025

Abstract

Urbanization, driven by socio-economic development, has significantly impacted river ecosystems, particularly in plain city regions, leading to disruptions in river network structure and function. These changes have exacerbated hydrological fluctuations and ecological degradation. This study focuses on the central urban area of Changzhou using a MIKE11 model to assess the effects of four hydrological connectivity strategies—water diversion scheduling, river connectivity, river dredging, and sluice connectivity—across 13 different scenarios. The results show that water diversion, river dredging, and sluice connectivity scenarios provide the greatest improvements in water environmental capacity, with maximum increases of 54.76%, 41.97%, and 25.62%, respectively. The spatial distribution of improvements reveals significant regional variation, with some areas, particularly in Tianning and Zhonglou districts, experiencing declines in environmental capacity under sluice diversion and river-connectivity scenarios. In addition, the Lao Zaogang River is identified as crucial for improving the overall water quality in the network. Based on a multi-objective evaluation, combining environmental and economic factors, the study recommends optimizing water diversion scheduling at sluices (Weicun, Zaogang, and Xiaohe) with flow rates between 20–40 m3/s, enhancing connectivity at key river hubs, and focusing management efforts on the Lao Zaogang and Xinmeng rivers to strengthen hydrological and water quality linkages within the network.

1. Introduction

Rivers are critical to the ecological balance and sustainable development of urban areas, especially in cities with complex river networks [1,2,3]. They provide water, support biodiversity, regulate water quality, and help mitigate the effects of urbanization on hydrological cycles [4,5]. In cities with flat topography, where river systems are more interconnected, the role of rivers in water management becomes even more significant [6,7,8]. The interconnectivity of water bodies in such cities directly impacts surface water hydrology and quality [9,10,11]. A well-functioning river network, in flood control and irrigation, acts as a natural purifier by facilitating water exchange between different parts of the system. Effective management of water quality and flow regulation through these networks is essential for maintaining aquatic ecosystem health, which ultimately supports urban sustainability and resilience [12,13]. However, rapid urbanization and industrialization often subject these rivers to heavy pollution, highlighting the need for targeted planning and engineering interventions to restore and enhance hydrological connectivity. Despite considerable advances in engineering practices, challenges remain in optimizing the design of interventions that balance both hydrological and ecological outcomes [14,15]. Understanding the role of river connectivity in mitigating pollution, improving water quality, and maintaining ecosystem services is, therefore, crucial for fostering sustainable urban development.
In recent decades, extensive research has examined how river network connectivity influences urban water quality and hydrological characteristics [16,17,18]. Engineering approaches, such as water diversion, sluice-and-dam construction, and river dredging, aim to enhance flow dynamics, water quality, and ecological health [19,20]. Meanwhile, the use of pumping stations to transfer cleaner water from external sources has emerged as a promising solution to improve water quality in polluted urban rivers. These approaches also play a key role in improving hydrological connectivity by ensuring adequate flow distribution across the network [21,22]. Despite numerous studies, there is limited comparison of these engineering solutions in terms of both hydrological and water quality outcomes. Especially, the optimization schemes for different hydrological connectivity projects are not yet clear, and the scientific rigor of the constraints used in these projects is often insufficient. Additionally, regional differences in the effectiveness of these interventions remain underexplored. For example, some areas may benefit more from pumping stations, while others may see greater improvements from dredging or sluice diversions. Therefore, a systematic and comprehensive evaluation of different hydrological connectivity engineering strategies, supported by scientifically grounded constraints, is essential for improving river water quality and guiding the optimization of engineering measures in urban river networks.
This study employs an integrated approach that combines hydrological simulations with water environmental capacity models to evaluate the impact of various hydrological connectivity engineering interventions on the water quality and flow dynamics of an urban river network. Unlike traditional case studies that often focus on one or two interventions and have constraints that are too singular, this study simulates 13 distinct scenarios, systematically comparing the effectiveness of multiple strategies, such as pumping station diversion, sluice diversion, river connectivity, and river dredging in improving water quality. Additionally, the study incorporates a multi-objective evaluation framework that assesses not only the environmental benefits of each intervention but also their economic feasibility and operational practicality within the study area. This comprehensive evaluation offers a holistic understanding of how various interventions can be integrated into a broader urban water management strategy. Furthermore, this study accounts for regional disparities in the effectiveness of engineering solutions, an aspect often overlooked in studies that focus solely on aggregate improvements across the entire river network.
The primary objective of this study is to assess the effectiveness of various hydrological connectivity engineering interventions, to quantify improvements in key water quality parameters resulting from these interventions, and to identify the most effective strategies for enhancing the water environment. In addition, the study explores regional variability in the effectiveness of these interventions, recognizing that different districts within the study area may respond differently to specific measures. This regional analysis is essential for developing tailored solutions that address local environmental conditions and community needs. The findings will provide policymakers and urban planners with evidence-based recommendations on how to prioritize and optimize water environmental improvement strategies for river network cities. To support these objectives, the study proposes a multi-objective evaluation framework that integrates both environmental and economic considerations. This framework highlights the importance of sustainable, cost-effective interventions that can deliver long-term benefits for both the environment and urban populations.

2. Study Area and Data

This study focuses on the central urban area of Changzhou, which encompasses the four administrative districts of Tianning, Xinbei, Zhonglou, and Wujin [23,24]. The study area is geographically situated within the coordinates 119°08′–120°12′ longitude and 31°09′–32°04′ latitude and is located in the core region of the Yangtze River Delta. The area is characterized by its advanced economy, dense river network, and complex water management system, making it a representative example of a plain city river network.
Changzhou’s river network is a plain river network, exhibiting typical features such as slow flow velocities, variable flow directions, and a complex system of sluices and pumping stations that regulate water flow. These characteristics necessitate sophisticated water management strategies to address flood control, water quality regulation, and ecological balance. The study area is bordered to the north by the Yangtze River and to the east by Taihu Lake, with the Grand Canal (Beijing–Hangzhou Canal) dividing the water system into northern and southern tributaries.
The study area contains a total of 44 primary rivers, which are integral to the region’s hydrological system. These 44 rivers play essential roles in flood control, drainage, irrigation, and the regulation of water quality, serving as critical infrastructure in both the urban and rural parts of the city.
The Desheng River, Xinmeng River, and Zaogang River form the Yangtze River Mainstream Water System, which is directly connected to the Yangtze River, and act as vital channels for water flow and flood management. The Desheng River is one of the main conduits that carry water from the Yangtze River into the local network, helping to maintain water levels across the region. Similarly, the Xinmeng and Zaogang Rivers regulate water flow between the Yangtze and the smaller tributaries within the study area.
The Beijing–Hangzhou Canal is the core waterway within the Lake District Water System. This canal links several major rivers and lakes, facilitating the flow of water between different parts of the region. The network of smaller canals and tributaries branching off from the Beijing–Hangzhou Canal plays an essential role in water distribution, serving as secondary channels for local water management and flood prevention.
Many of these rivers are equipped with sluices and pumping stations that regulate their flow, especially during heavy rainfall or flooding periods. The network of these secondary rivers ensures water distribution throughout the city, reducing the risk of localized flooding and improving the efficiency of water resource management.
It should be noted that the main sources of wastewater discharge in Changzhou are industrial and domestic sewage, with domestic sewage accounting for the largest portion, representing 56% of the total wastewater discharge. Regarding water quality, the compliance rate for water quality standards in river functional areas is only 59%. Additionally, Changzhou’s wastewater treatment infrastructure is underdeveloped, and there is insufficient investment in ecological restoration, which further increases the risk of river water pollution. Consequently, the city faces substantial pollutant discharge, which adversely affects the urban water environment. Moreover, the ongoing urbanization and the construction of sluice gates and dams have led to changes in the river network structure, obstructing the connectivity of waterways, reducing water flow, and deteriorating the overall water environment. These factors have contributed to the further degradation of the river water environment. Based on this problem analysis, this study explores various hydrological connectivity methods as potential measures to improve the water environment.
Hydrological and water quality data for this study were sourced from the Changzhou Hydrology Bureau and the monitoring results from the research team. These data were used to analyze the current state of the river system and its capacity for flood control, water quality regulation, and ecological preservation. The 44 rivers shown in Figure 1 are represented in Table A1 of the Appendix A. The frequency of water quality monitoring is two times per month, and the monitoring section is shown in Table A2 in the Appendix A.

3. Method

In this study, four administrative districts in Changzhou were selected as the research area. Four water management planning scenarios were established, and a MIKE11 model was developed for each scenario to analyze the variations in water environmental capacity. Finally, a multi-objective decision function was used to identify the planning scheme that achieves the greatest environmental improvement with the lowest economic cost. The specific process is illustrated in Figure 2.
It is important to note that the selection of the four scenarios in this study was based on relevant planning decisions made by the water management authorities of Changzhou. For the city of Changzhou, one of the key measures for improving the river network’s water environment is the River Connectivity and Flow Enhancement Project and the Water Diversion for Environmental Improvement Project. In this study, the Water Diversion Scheduling Scheme and River Dredging Scheme are major components of the Water Diversion for Environmental Improvement Project, while the River Connectivity Scheme and Sluice Connectivity Scheme are key components of the River Connectivity and Flow Enhancement Project. The specific setup of these schemes is described in Section 3.1.
The MIKE11 model, developed by the Danish Hydraulic Institute, is a widely utilized simulation tool for hydrodynamic and water quality modeling in recent years. This model was selected for its robust capabilities in simulating hydrodynamic processes in river systems, including water flow, sediment transport, and water quality dynamics. MIKE11 is extensively employed in water management studies due to its flexibility and modular structure, which enables it to model a broad range of physical and environmental processes within complex aquatic systems. These features make it particularly suitable for the objectives of this study, where accurately simulating the impacts of various water management scenarios on river hydrology and water quality is critical.

3.1. Hydrological Connectivity Scenario Schemes

(1)
Water diversion-scheduling scheme
The study area is located in a plain river network with weak hydrodynamics, primarily relying on the Yangtze River for water resource supplementation, water environment improvement, and hydrodynamic regulation. Hydrological connectivity is a critical factor influencing the water environment. To clarify the effects of scheduling models and diversion volumes on the water environment, various water diversion-scheduling schemes are proposed (Table 1). The main sluice gates involved in the scheduling are the Xiaohe Gate, the Weicun Gate, and the Zaogang Gate.
(2)
River connectivity scheme
Based on the future planning of the Changzhou water system connectivity, this study selects the Beigan River, Caoqiao River, Dingheng River, Luheng River, and Taige Canal as the rivers for simulation of connectivity. These rivers represent Scenario 11, with the engineering route shown in Figure 3. During the simulation, the sluice gates and dams located along these rivers are fully opened, and their scheduling rules are removed.
(3)
River-dredging scheme
Enhancing the capacity for flood disaster risk prevention and alleviating the flood control pressure on river embankments are critical measures for improving the hydrological connectivity composite index. The Xinmeng River dredging project is one of the six major projects approved by the State Council in the “Comprehensive Water Environment Management Plan for the Taihu Basin”. This project plays a vital role in improving flood control, drainage capacity, water environmental quality, and water resource utilization within the basin. Additionally, it is expected to accelerate the flow of water in the northwestern region of Taihu Lake, shorten the lake’s water exchange cycle, improve the water environment of Ge Lake and Taihu Lake, and increase flood control standards and water resource supply. The Xinmeng River dredging project involves widening and dredging the existing river channel, extending from the Yangtze River in the north to the Beigan River in the south. The project also connects with Ge Lake through the Beigan River, and further links and expands the Tai-Ge Canal and the Caoqiao River, eventually discharging into Taihu Lake (see Figure 4). The total project length is 116.47 km, with an investment of 13.462 billion yuan. The river mouth will be widened to 128–150 m, and the riverbed will be expanded to 70 m. Upon completion, the Xinmeng River project is expected to significantly impact the hydrological connectivity and water environment of the study area’s river network.
Based on the above analysis, a simulation of the Xinmeng River dredging plan (Scenario 12) was conducted to assess the project’s effect on the improvement of the water environment in the Changzhou River network.
(4)
Sluice connectivity scheme
Field investigations have revealed that the connectivity levels of the Luheng River, Dingheng River, Beitang River, and Hexi River sluices are relatively low (Figure 5). Among these, the Luheng River and Dingheng River sluices are essentially in a state of disconnection. Since the connectivity of the sluices directly affects the hydrology and water quality of the river network, a simulation of sluice connectivity (Scenario 13) was conducted to analyze the impact of improved connectivity on the water environment.

3.2. Model Simulation

This study primarily uses the hydrodynamic module (HD) and the advection–diffusion module (AD) in MIKE11 to simulate and analyze different scenarios. The details are as follows.
(1)
Model principles
The HD module is based on the Saint-Venant equations, which consist of the mass conservation continuity equation and the momentum conservation energy equation. The discretization is performed using a six-point central implicit scheme, and the numerical solution is obtained via the Thomas algorithm [25]. The basic equations are as follows:
A t + Q x = q
Q t + x a Q 2 A + g A h x + g Q Q X 2 A R = 0
where x is the spatial coordinate (m); t is the time coordinate (s); A is the cross-sectional area of the river (m2); Q is the flow rate at the river cross-section (m3/s); q is the lateral inflow per unit length (positive for inflow, negative for outflow, m3/s); a is the momentum correction factor (dimensionless); g is the gravitational acceleration, m/s2; h is the water level, m; and X is the Chezy coefficient.
The control equation of the AD module is a one-dimensional advection–diffusion equation, which is coupled with the HD module to calculate the hydrodynamic conditions. The basic equation is given as follows:
A C t + Q C x x A D C x = A K C + S
where C is the pollutant concentration (mg/L); D is the longitudinal diffusion coefficient (m²/s); K is the degradation coefficient (1/d); and S is the source or sink concentration (mg/L).
(2)
Model calibration and validation
In this study, the model simulation accuracy is evaluated using the Nash–Sutcliffe efficiency coefficient (Nash–Sutcliffe, ENS) and the relative error (RE) between the observed and simulated values. The calculation formulas are as follows:
E N S = 1 t = 1 n Q t Q m 2 t = 1 n Q t Q ¯ 2
R E = Q m Q t Q t × 100 %
In Formulas (4) and (5), Q t is the measured value of the t time series data; Q m is the simulation value of the t order in the long time series data; Q ¯ is the average value of the measured values in long time series data; and n is the number of measured values. An E N S between and 1 and close to 1 indicate high model reliability; and close to 0 indicates that the simulation results are close to the average level of the observed values. That is, the overall results are credible, but the process simulation error is large. With an E N S less than 0, the model results are not reliable. The value of RE determines the closeness between the measured value and the simulated value. When RE is close to 0, it means that the simulated value is close to the measured value. Specifically, the relative error (RE%) of less than 30% indicates that the MIKE11 model results are considered acceptable for this study.

3.3. Water Environmental Capacity Measurement

Water environmental capacity refers to the maximum permissible pollutant discharge that a water body can accommodate without impairing its environmental functions. It consists of two components: dilution capacity and self-purification capacity [25]. A high value of water environmental capacity generally indicates an increased capacity, meaning the water body can accommodate a greater amount of pollution or stress without harming its ecosystem. Conversely, a lower value suggests a limited ability to absorb additional pollutants, which may lead to adverse environmental effects. Therefore, water environmental capacity can be used to characterize the pollutant load within the river network of Changzhou City across the four scenarios presented in this study, thereby aiding in the identification of the most optimal scenario.
The dilution capacity is given by the following formula:
E d   = 86.4 × S C b × Q r
where E d is dilution capacity, kg/d; S is the water quality standard, mg/L; C b is the river background concentration, mg/L; and Q r is the river flow, m3/s.
The self-purification capacity is represented by the following formula:
E s = 86.4 × S Q t 1 e k L 86400 v
where E s is the self-purification capacity, kg/d; S is the water quality standard, mg/L; Q t is the sum of river flow and wastewater flow, m3/s; L is the length of the reach, m; k is the comprehensive attenuation coefficient, 1/d; and v is the velocity of the river, m/s.
The comprehensive water environmental capacity is the sum of the dilution and self-purification capacities, as expressed by the following formula:
E = E d   + E s
where E is the comprehensive capacity of the water environment, E d   the dilution capacity, and E s the self-purification capacity.

3.4. Multi-Objective Constraint Model

This study employs a multi-objective evaluation method to analyze the environmental benefits and economic costs of different control schemes. The objective is to select the schemes that provide the best improvement in water environment quality at the lowest economic cost. The evaluation method is expressed in Equation (9).
y ( i ) = m a x E i E ¯ S E M i M ¯ S M
In the formula, y(i) is a multi-objective function, i represents different schemes, Ei is the environmental benefit function, and Mi is the economic cost function. The optimal value of y(i) is the ideal state with the highest environmental benefit and the lowest economic cost. E ¯ is the average value of environmental benefits, and M ¯ is the average value of economic costs. In order to facilitate the analysis and comparison of different schemes, the environmental benefits and economic costs of each scheme are standardized without dimensions.
The environmental benefit function is the improvement rate of water environmental capacity, Equation (10):
E i = C E i C E 0 C E i
where CEi is the water environmental capacity after the implementation of plan i, and CE0 is the water environmental capacity before the implementation of the plan.
The economic cost function is divided into three categories: (1) the annual operation and management cost of the gate; (2) water diversion fees; and (3) river excavation costs. The economic cost function is shown in Equation (11), and the important parameters are shown in Table 2.
M i = m × n 100             ( 1 ) 0.126 Q          ( 2 ) v × m v 1,000,000       ( 3 )
where Mi is the economic cost (in million yuan per year); m is the annual operation management fee of gate station (10,000), n is the number of gate stations in the study area; Q is the diversion water flow (m3/s); v is the river-dredging volume (m3), and mv is the dredging cost (CNY/m3).
It should be noted that the sluice management costs are derived from the detailed maintenance and operational expenditure records of the sluices in Changzhou City. The dredging costs are based on the project cost breakdown, and the dredging volumes are obtained from the computational results of the MIKE11 model.

4. Result and Discussion

4.1. Model Calibration Results

The comparison between the simulated water levels produced by the MIKE11 model and the observed water levels indicates a high degree of agreement. As presented in Table 3, the Nash–Sutcliffe efficiency (NSE) coefficients for the Wujin Port and Yapu Port cross-sections during the calibration period were 0.82 and 0.90, respectively. During the verification period, the NSE coefficients for these sections were 0.79 and 0.84, respectively. These results demonstrate that the model achieves a high level of accuracy in simulating water level variations, rendering it suitable for further applications in water level change simulations.
Additionally, as shown in Table 4, the maximum relative error (RE) in flow simulation was observed at Caoqiao Bridge, amounting to 13.77%, while the RE for other cross-sections remained below 6%. These findings suggest that the model can reliably simulate flow variations. Overall, the hydrological simulation results of the MIKE11 model are deemed acceptable and applicable for water quality simulations and scenario analysis.
The calibration process for water quality parameters follows a similar methodology to that of the hydrodynamic parameters. Initially, default values were employed in the model, and adjustments were subsequently made to critical parameters. The resulting simulation values demonstrated a high degree of fit with the observed data. The mean relative error for all key water quality indicators across the river network was below 11%, as illustrated in Figure 6. It should be noted that the average relative error is the average time error, and the calculation formula is shown in Equation (5). This analysis confirms that the model achieves a high degree of accuracy in water quality simulations, making it suitable for conducting scenario-based water quality assessments.

4.2. The Impact of Different Scenarios on Water Environmental Capacity

For chemical oxygen demand (CODCr) capacity, as shown in Figure 7, Scenarios 2–9 and 11–13 all lead to a certain degree of improvement in the CODCr capacity of the river network, with the environmental capacity increasing as the upstream water diversion flow increases. Among the various interventions, river-dredging works resulted in the most significant improvement in CODCr capacity. Specifically, the CODCr capacity of the Xinmeng River (R37) increased to 170,000 tons per year (t/a). The Taige River, Caoqiao River, Wujin River, and Yapu River are key rivers that connect the study area’s river network to Taihu Lake. For the Taige River and Caoqiao River, the highest CODCr capacities were achieved in Scenario 12, reaching 18,899 t/a and 32,678 t/a, respectively. For the Wujin River and the Yapu River, the highest CODCr capacities were achieved in Scenario 5, reaching 12,550 t/a and 2319 t/a, respectively.
As shown in Table 5, the average improvement rate of CODCr capacity through pump diversion reached a maximum of 54.76%, while the rate for sluice diversion was only 2.01%. Furthermore, river connectivity projects contributed to the improvement of CODCr capacity, although to a lesser extent compared to river dredging and water diversion schemes, with an average improvement rate of only 0.89%. Specifically, the average improvement rate for CODCr capacity in the river network through dredging works was 26.58%. Thus, river dredging and water diversion scenarios substantially contribute to improving the water environment of Lake Taihu.
For the total phosphorus (TP) capacity, the changes in total phosphorus (TP) capacity in the study area’s river network are similar to those observed for the CODCr capacity. In the water diversion-scheduling scenario, the improvement in TP capacity is directly proportional to the volume of water diverted, meaning that a higher water flow results in a greater improvement. For TP capacity, river-dredging works achieved the greatest increase in TP capacity for the Xinmeng River, with an improvement of 1000 tons per year (t/a). Scenario 12 led to the greatest improvement in TP capacity for the Taige River and Caoqiao River, with increases of 135 t/a and 193 t/a, respectively, corresponding to improvement rates of 93.87% and 82.12%. Scenario 13 resulted in the largest improvement for the Wujin River and Yapu River, with increases of 50.82 t/a and 3.54 t/a, corresponding to improvement rates of 13.13% and 10.33%, respectively.
The average improvement rate for TP capacity via pump diversion reached 51.05%, which was the highest observed. In contrast, sluice diversion showed relatively poor performance, with the highest average improvement rate being only 3.58%. River connectivity schemes, river-dredging projects, and sluice dam connectivity schemes all contributed positively to the reduction of TP concentrations in the rivers and resulted in some improvement in TP capacity. However, the average improvement rate for TP in the river network through the river connectivity scheme was only 1.2%, while the average improvement rates for the river-dredging and sluice-scheduling schemes were 36.99% and 22.29%, respectively.
For the ammonia nitrogen (NH₃-N) capacity, Figure 7 shows that the water diversion-scheduling projects, specifically the pump diversion and sluice diversion scenarios, have a significant effect on improving the ammonia nitrogen (NH₃-N) capacity of the R10 (Desheng River), with the maximum improvements reaching 3568 t/a and 1801 t/a, respectively. As shown in Table 5, the highest average improvement rate for ammonia nitrogen capacity in the river network was 51.32%. At the same time, river connectivity projects, river-dredging works, and sluice dam connectivity schemes all showed lower effectiveness in improving ammonia nitrogen capacity compared to water diversion-scheduling schemes. Notably, the river connectivity project resulted in a negative average improvement rate of −5.21% for the ammonia nitrogen capacity in the river network, indicating a decrease in the overall ammonia nitrogen capacity.
A comprehensive analysis of improving hydrological connectivity contributes to enhancing the overall water environmental capacity of the river network. However, the improvement effects vary across different river sections. To effectively enhance the water environment quality of Taihu Lake, it is crucial to focus on key rivers and develop reasonable water environment management strategies.

4.3. Spatial Variability in Water Environmental Capacity Under Different Scenarios

Section 4.2 analyzed the improvement effects of various schemes on water environmental capacity. It was observed that certain scenarios resulted in a reduction of the water environmental capacity of the river network. In order to investigate the underlying reasons for this decline, this section presents a spatial distribution map of changes in water environmental capacity under different scenarios.
As shown in Figure 8, the water environmental capacity reduction in the scenarios involving diversion scheduling and sluice-gate control, as well as the river connectivity scheme, is primarily concentrated in the Tianning and Zhonglou districts. The proportion of rivers experiencing a decline in water environmental capacity in these areas is 35.23% and 45.45%, respectively. It is noteworthy that the Laozaogang River is located upstream of key structural connection rivers, namely the Luoheng River and the Dingheng River. The structural connectivity of these rivers facilitates the diffusion of pollutants from the Laozaogang River into other waterways. Given that the Laozaogang River has relatively slow flow and poor connectivity, it is unable to sufficiently dilute the pollutant concentration, leading to an increase in the number of rivers with deteriorating water quality under the river connectivity scenario.
The pump diversion and sluice-gate connection schemes in the diversion-scheduling scenario, however, significantly improved the hydrological conditions in the Laozaogang River. Under these scenarios, the proportion of rivers with water environmental capacity risks decreased to 8.52% and 13.64%, respectively. This suggests that improving the hydrological conditions of the Laozaogang River can effectively enhance the water quality of surrounding rivers.
River-dredging projects have played an important role in improving the water environmental capacity of the river network. However, while river-dredging projects are effective in improving the overall water quality, they do not improve the hydrological conditions of the Laozaogang River itself. Unlike the sluice control and river connectivity schemes, the dredging project, as the largest water conservancy project in Jiangsu Province since the 21st century, relies on substantial water diversion to dilute the pollutants in the at-risk rivers [26]. As a result, 9.09% of the rivers in this scenario are at risk of experiencing a decline in water environmental capacity. Furthermore, due to the superior water quality of the Yangtze River compared to the river network in Changzhou [27,28], the diversion of water from the Yangtze River into the Changzhou River network has a positive impact on improving the water quality of the local water environment.
In conclusion, the Laozaogang River is a critical waterway for the improvement of water environmental capacity in the study area. In order to enhance the overall water quality of the river network, it is essential to reduce the pollutant concentration in the Laozaogang River. The impact of different schemes on the spatial distribution of water environmental capacity shows significant regional variability. Due to its poor connectivity and pollutant diffusion issues, the Laozaogang River exhibits a risk of water environmental capacity decline under certain scenarios. The analysis indicates that the pump diversion and sluice-gate connection schemes have a significant positive effect, while the river-dredging project has a limited impact on the Laozaogang River. Therefore, in efforts to improve the water environmental capacity of the study area, it is recommended that a comprehensive regulatory strategy be developed for the Laozaogang River to achieve an overall improvement in regional water quality.

4.4. Analysis of Different Scenario Options Based on Environmental and Economic Benefits

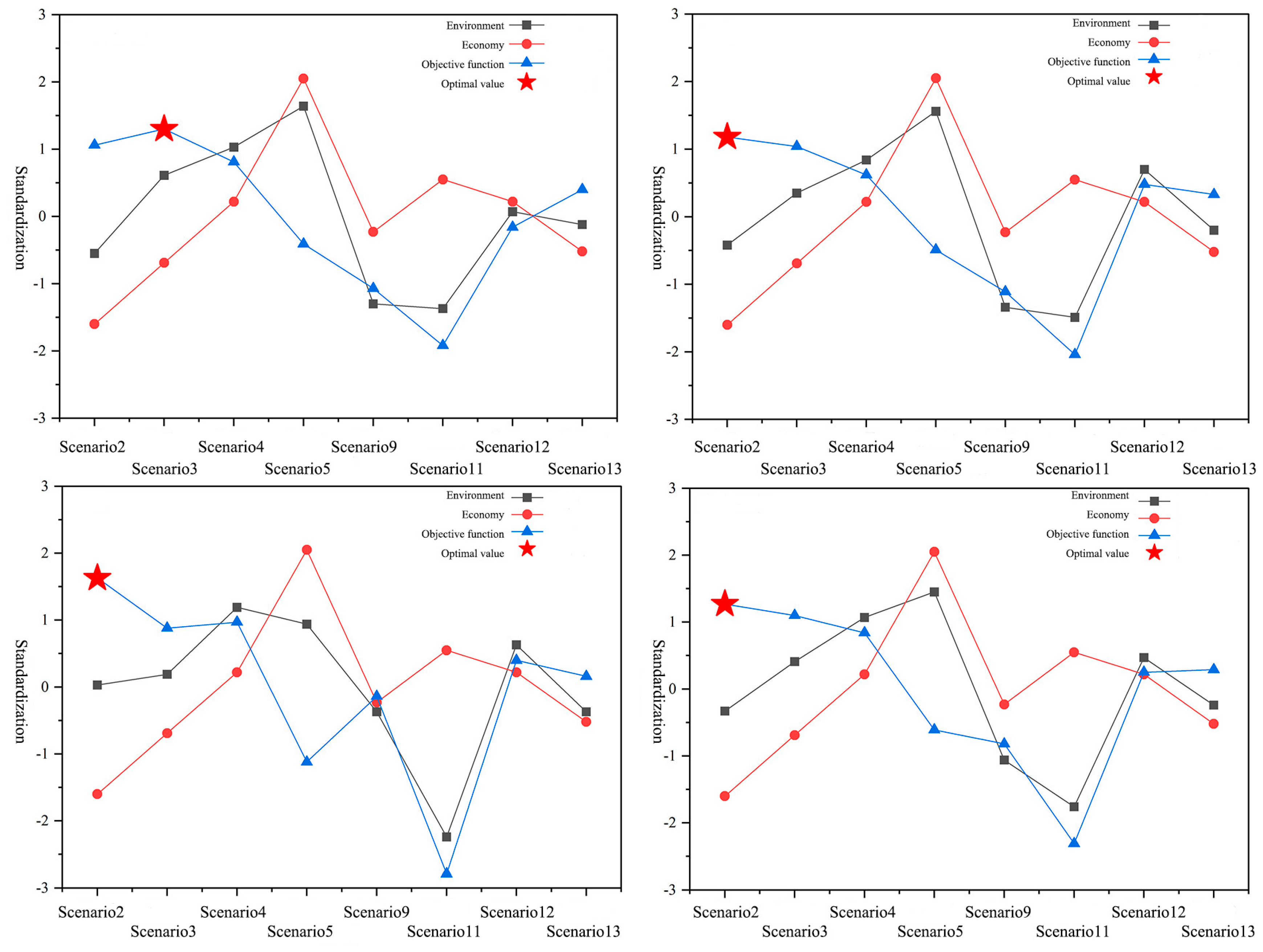
Based on the results of the multi-objective function calculations, this study analyzes the performance of different scenario options, in terms of environmental benefits, economic benefits, and objective function values (see Figure 9). Regarding COD, Scenario 3 exhibits the most favorable environmental–economic benefit, while Scenario 11 shows the least advantageous outcome. For total phosphorus, ammonia nitrogen, and the comprehensive index, Scenario 2 demonstrates the best environmental–economic benefits, with Scenario 11 performing the worst. Therefore, Scenarios 2 and 3 (i.e., with pump flow rates ranging from 20–40 m3/s) are considered the optimal solutions for enhancing the water environmental capacity of the river network.
Although Scenarios 4, 12, and 13 show slightly lower environmental–economic benefits compared to Scenarios 2 and 3, their objective function values are close to those of the optimal solution. Moreover, Scenarios 4, 12, and 13 have shown significant positive effects in improving the water environmental capacity of key inflow rivers to Taihu Lake, such as the Caoqiao River, the Taige Canal, Wujin Port, and Yapu Port. Therefore, Scenarios 4, 12, and 13 can be considered as viable alternative options.
The water diversion scheduling in Changzhou primarily aims to ensure water resource security and improve water environmental quality. Optimizing the water diversion strategy not only enhances the utilization efficiency of water resources but also contributes to the improvement of water environmental quality. It is noteworthy that the main water source for the study area is the Yangtze River, with the water quality in the Changzhou section classified as surface water grade II-III, while the water quality of the Changzhou River network is classified as surface water grade IV to subgrade V. Consequently, utilizing water diversion to improve the water environment of the river network is highly feasible. Previous research results indicate that, when the pump flow rate (at Weicun Gate, Xiaohe Gate, and Zaogang Gate) is within the range of 20–40 m3/s, the optimal environmental–economic benefits can be achieved.

5. Conclusions

The improvement of water environmental quality is a critical factor for the ecological and sustainable development of urban areas. This study employed the MIKE11 and water environmental capacity models to analyze four engineering scenarios, comprising a total of 13 distinct simulations. These simulations focused on the hydrological and water quality responses under each scenario. The analysis of water diversion scheduling indicates that hydrological changes within the river network are positively correlated with upstream water diversion flow. Furthermore, the use of pumping stations demonstrated a more significant impact on the improvement of both hydrological and water environmental conditions compared to the use of sluices. Additionally, the river connectivity and river-dredging schemes were found to be more effective at enhancing the hydrological conditions of the study area’s river network.
The analysis of the river network’s environmental capacity revealed that the highest average improvements in the capacity for chemical oxygen demand (CODCr), total phosphorus (TP), and ammonia nitrogen (NH3-N) were observed in the following scenarios: pumping station diversion (54.76%), sluice diversion (25.49%), river connectivity (1.2%), river dredging (41.97%), and sluice–dam connectivity (25.62%). Further investigation suggests that the impact of different engineering schemes on the water environment exhibits regional disparities. Specifically, the sluice diversion and river connectivity schemes resulted in a decrease in water environmental capacity by 35.23% and 45.45%, respectively, with the most affected regions being Tianning district and Zhonglou district. The study identifies the Laozaogang River as a critical waterway that influences the improvement of the river network’s environmental quality. Therefore, enhancing the water environmental quality of the Laozaogang River emerges as a key measure for improving the ecological conditions of the study area.
Lastly, based on a multi-objective evaluation method that considers both environmental and economic benefits, several regulatory strategies and recommendations for water environmental improvement are proposed:
(1) Optimization of water diversion scheduling: Improving the efficiency of water resource utilization is essential. The primary water source for the study area is the Yangtze River, whose water quality in the Changzhou section is superior to that of the local river network. Therefore, utilizing water diversion as a means to improve the river network’s environmental quality is both feasible and an important strategy for enhancing the water quality within the study area. The results indicate that the highest environmental and economic benefits are achieved when the sluice diversion flow rate ranges between 20–40 m3/s;
(2) Strengthening sluice–dam connectivity: Enhancing the hydrological connectivity within the study area can significantly improve the river network’s water quality. The connectivity of the Dingheng River, Luheng River, Beitang River, and Hexi River hubs should be prioritized to enhance the overall water environmental quality;
(3) Improving the water quality of key waterways: The Laozaogang River, identified as a crucial waterway in the study area, plays a significant role in the overall water quality of the river network. Consequently, targeted measures to improve water quality along this river are essential for achieving broader environmental improvements;
(4) Enhancing connectivity between the Xinmen River and the river network: The dredging of the Xinmen River has proven to be instrumental in improving both the flow and water quality within the river network. Therefore, leveraging the hydrological and water quality regulatory functions of the Xinmen River is recommended as a key strategy for optimizing the study area’s water environment.

Author Contributions

J.B.: Software, Writing: original draft, Writing: review and editing. C.L.: Methodology, Supervision. T.X. and T.W.: Conceptualization, Data curation, Software. J.D., X.L., H.C., W.S. and M.S.: Data curation, Validation. All authors have read and agreed to the published version of the manuscript.

Funding

This research was funded by the Natural Science Foundation of Jiangsu Province (BK20230174), the National Natural Science Foundation of China (52070023, 82101339), the Foundation of Basic Science (Natural Science) research in Jiangsu Province (22KJB570008), the National Key Research and Development Program of China (2022YFC3202001), and the Wuxi University Research Start-up Fund for Introduced Talents (552424056).

Data Availability Statement

The original contributions presented in the study are included in the article; further inquiries can be directed to the corresponding author. The authors do not have permission to share data.

Acknowledgments

We would like to extend special thanks to the editor and the reviewers for their valuable comments for greatly improving the quality of this research.

Conflicts of Interest

The authors declare that they have no known competing financial interests or personal relationships that could have appeared to influence the work reported in this paper.

Appendix A

Table A1. River code and name.
Table A1. River code and name.
Rivers CodeRiver Name
R1Beitang River
R2Beitongzi River
R3Biandan River
R4Butai River
R5Cailing River
R6Caoqiao River
R7Caotang River
R8Changbei River
R9Datong River
R10Desheng River
R11Dingtang River
R12Fenghuang River
R13Guan River
R14Hengtang River
R15Hexi River
R16Houyu River
R17Beijing–Hangzhou River
R18Beijing–Hangzhou urban river
R19Jinong River
R20Laozaogang River
R21Laozaogang western river
R22Li River
R23Lijia River
R24Lingqing River
R25Mengjin River
R26Nantongzi River
R27Nanyun River
R28Sanshan River
R29Shiliheng River
R30Taige River
R31Wujin River
R32Wunan River
R33Wuyi River
R34Xiaxi River
R35Xili River
R36Xinlong River
R37Xinmeng River
R38Xinwuyi River
R39Xinzaogang River
R40Xinzaogang eastern river
R41Yapu River
R42Yongan River
R43Zengchan River
R44Zhengping River
Table A2. Monitoring section.
Table A2. Monitoring section.
NumberMonitoring SectionRiver Name
1Xinshi streetBeijing–Hangzhou River
2Shuimen bridgeBeijing–Hangzhou River
3HenglinBeijing–Hangzhou River
4Tianning bridgeBeijing–Hangzhou urban river
5Xin gateBeijing–Hangzhou urban river
6Beitang bridgeBeitang River
7ZhengluBeitang River
8Caocun bridgeBeitongzi River
9Houyu bridgeBiandan River
10Xinjie bridgeButai River
11XiameiCailing River
12Cao bridgeCaoqiao River
13Chengzhang bridgeCaotang River
14Chaoyang bridgeChangbei River
15Desheng bridgeDesheng River
16Weicun bridgeDesheng River
17Shijia bridgeDingtang River
18Xinmenglu bridgeFenghuang River
19Dongmen bridgeGuan River
20Gaoshi bridgeHengtang River
21Kangzhuang bridgeHexi River
22Yunxiang bridgeHouyu River
23Beigang bridgeJinong River
24Changjiang East RoadLaozaogang western river
25Li River bridgeLi River
26Lixi bridgeLijia River
27Xingang bridgeLingqing River
28Mengjin bridgeMengjin River
29Yaodu bridgeMengjin River
30Zhangjia bridgeNantongzi River
31Xuantang bridgeNanyun River
32Niutang bridgeNanyun River
33Hengshan bridgeSanshan River
34Tangzhuang bridgeShiliheng River
35Hongqi bridgeTaige River
36Yuncun bridgeTaige River
37Huangnian bridgeTaige River
38Cidu bridgeWujin River
39DaixiWujin River
40Xuenian bridgeWujin River
41Yongan estuaryWunan River
42Tangyang bridgeWuyi River
43Zai bridgeWuyi River
44Jiaze bridgeXiaxi River
45Huadu bridgeXili River
46Xinlong bridgeXinlong River
47Tongjiang bridgeXinmeng River
48LuoxiXinmeng River
49Housu bridgeXinwuyi River
50Feilong bridgeXinzaogang eastern river
51Jiu bridgeXinzaogang River
52LonghutangXinzaogang River
53Yapu bridgeYapu River
54Yapugang bridgeYapu River
55Junmin bridgeZengchan River
56Zhengping bridgeZhengping River

References

  1. Li, F.; Liu, X.; Zhang, X.; Zhao, D.; Liu, H.; Zhou, C.; Wang, R. Urban Ecological Infrastructure: An Integrated Network for Ecosystem Services and Sustainable Urban Systems. J. Clean. Prod. 2017, 163, S12–S18. [Google Scholar] [CrossRef]
  2. Qi, X.; Zhang, Z.; Jing, J.; Hu, W.; Zhao, X. Regional Planning for Ecological Protection of Rivers in Highly Urbanized Areas. Ecol. Indic. 2023, 149, 110158. [Google Scholar] [CrossRef]
  3. Zhu, Q.; Fang, K.; Zhu, D.; Li, X.; Chen, X.; Han, S.; Chen, F.; Gao, C.; Sun, J.; Tang, R.; et al. Simulation and Analysis of Water Quality Improvement Measures for Plain River Networks Based on Infoworks ICM Model: Case Study of Baoying County, China. Water 2024, 16, 2698. [Google Scholar] [CrossRef]
  4. Raquel Calapez, A.; Serra, S.R.Q.; Mortágua, A.; Almeida, S.F.P.; João Feio, M. Unveiling Relationships between Ecosystem Services and Aquatic Communities in Urban Streams. Ecol. Indic. 2023, 153, 110433. [Google Scholar] [CrossRef]
  5. Liu, B.; Zhang, F.; Qin, X.; Wu, Z.; Wang, X.; He, Y. Spatiotemporal Assessment of Water Security in China: An Integrated Supply-Demand Coupling Model. J. Clean. Prod. 2021, 321, 128955. [Google Scholar] [CrossRef]
  6. Mallareddy, M.; Thirumalaikumar, R.; Balasubramanian, P.; Naseeruddin, R.; Nithya, N.; Mariadoss, A.; Eazhilkrishna, N.; Choudhary, A.K.; Deiveegan, M.; Subramanian, E.; et al. Maximizing Water Use Efficiency in Rice Farming: A Comprehensive Review of Innovative Irrigation Management Technologies. Water 2023, 15, 1802. [Google Scholar] [CrossRef]
  7. Zhang, S.; Zheng, H.; Tratnyek, P.G. Advanced Redox Processes for Sustainable Water Treatment. Nat. Water 2023, 1, 666–681. [Google Scholar] [CrossRef]
  8. Ahmed, A.A.; Sayed, S.; Abdoulhalik, A.; Moutari, S.; Oyedele, L. Applications of Machine Learning to Water Resources Management: A Review of Present Status and Future Opportunities. J. Clean. Prod. 2024, 441, 140715. [Google Scholar] [CrossRef]
  9. Wang, W.; Chen, Y.; Wang, W.; Zhu, C.; Chen, Y.; Liu, X.; Zhang, T. Water Quality and Interaction between Groundwater and Surface Water Impacted by Agricultural Activities in an Oasis-Desert Region. J. Hydrol. 2023, 617, 128937. [Google Scholar] [CrossRef]
  10. Qu, S.; Wang, C.; Yang, N.; Duan, L.; Yu, R.; Zhang, K.; Li, M.; Sun, P. Large-Scale Surface Water-Groundwater Origins and Connectivity in the Ordos Basin, China: Insight from Hydrogen and Oxygen Isotopes. Environ. Res. 2023, 236, 116837. [Google Scholar] [CrossRef]
  11. Li, L.; Knapp, J.L.A.; Lintern, A.; Ng, G.-H.C.; Perdrial, J.; Sullivan, P.L.; Zhi, W. River Water Quality Shaped by Land–River Connectivity in a Changing Climate. Nat. Clim. Chang. 2024, 14, 225–237. [Google Scholar] [CrossRef]
  12. Giri, S. Water Quality Prospective in Twenty First Century: Status of Water Quality in Major River Basins, Contemporary Strategies and Impediments: A Review. Environ. Pollut. 2021, 271, 116332. [Google Scholar] [CrossRef] [PubMed]
  13. Ji, X.; Shu, L.; Chen, W.; Chen, Z.; Shang, X.; Yang, Y.; Dahlgren, R.A.; Zhang, M. Nitrate Pollution Source Apportionment, Uncertainty and Sensitivity Analysis across a Rural-Urban River Network Based on δ15N/δ18O-NO3−Isotopes and SIAR Modeling. J. Hazard. Mater. 2022, 438, 129480. [Google Scholar] [CrossRef] [PubMed]
  14. Zhao, Z.; Wang, H.; Zhang, Y.; Deng, C.; Xie, Q.; Wang, C. Problems and Countermeasures of River Management in the Process of Rapid Urbanization in China. Water 2020, 12, 2260. [Google Scholar] [CrossRef]
  15. Wu, Y.; Zong, T.; Shuai, C.; Jiao, L. How Does New-Type Urbanization Affect Total Carbon Emissions, per Capita Carbon Emissions, and Carbon Emission Intensity? An Empirical Analysis of the Yangtze River Economic Belt, China. J. Environ. Manag. 2024, 349, 119441. [Google Scholar] [CrossRef]
  16. Wang, Y.; Wang, W.; Liu, L.; Wang, R.; Tang, X.; Li, Y.; Li, X. Spatial Heterogeneity of the Effects of River Network Patterns on Water Quality in Highly Urbanized City. Sci. Total Environ. 2024, 937, 173549. [Google Scholar] [CrossRef]
  17. Li, X.; Mo, X.; Zhang, C.; Wang, Q.; Xu, L.; Ren, Z.; McCarty, G.W.; Cui, B. Unraveling the Impacts of River Network Connectivity on Ecological Quality Dynamics at a Basin Scale. Remote Sens. 2024, 16, 2370. [Google Scholar] [CrossRef]
  18. Liu, T.; Jia, P.; Hu, C.; Zhang, B.; Zhang, A. Research on the Connectivity of Urban River Network–Wetland and Water Quality Simulation. Water Sci. Technol. 2024, 89, 2416–2428. [Google Scholar] [CrossRef]
  19. Yang, S.; Wan, R.; Yang, G.; Li, B. A Novel Framework to Assess the Hydrological Connectivity of Lake Wetlands in Plain River Networks with Dense Hydraulic Facilities: Comparing Natural and Disturbed States over a Century. J. Hydrol. 2024, 630, 130787. [Google Scholar] [CrossRef]
  20. Lan, F.; Haisen, W.; Yan, Y. Spatial–Temporal Variations of Water Quality in Urban Rivers after Small Sluices Construction: A Case in Typical Regions of the Taihu Lake Basin. Int. J. Environ. Res. Public Health 2022, 19, 12453. [Google Scholar] [CrossRef]
  21. Yang, S.; Liang, M.; Qin, Z.; Qian, Y.; Li, M.; Cao, Y. A Novel Assessment Considering Spatial and Temporal Variations of Water Quality to Identify Pollution Sources in Urban Rivers. Sci. Rep. 2021, 11, 8714. [Google Scholar] [CrossRef] [PubMed]
  22. Yang, L.; Wang, Y.; Wang, Y.; Wang, S.; Yue, J.; Guan, G.; Guo, Y.; Zhang, Y.; Zhang, Q. Water Quality Improvement Project for Initial Rainwater Pollution and Its Performance Evaluation. Environ. Res. 2023, 237, 116987. [Google Scholar] [CrossRef] [PubMed]
  23. Bu, J.; Li, C.; Wang, X.; Zhang, Y.; Yang, Z. Assessment and Prediction of the Water Ecological Carrying Capacity in Changzhou City, China. J. Clean. Prod. 2020, 277, 123988. [Google Scholar] [CrossRef]
  24. Bu, J.; Zhang, S.; Li, C.; Xu, X.; Wang, X.; Liu, Q.; Wang, X. A Longitudinal Functional Connectivity Comprehensive Index for Multi-Sluice Flood Control System in Plain Urban River Networks. J. Hydrol. 2022, 613, 128362. [Google Scholar] [CrossRef]
  25. Bu, J.; Zhang, S.; Wang, X.; Li, C.; Wang, X.; Liu, Q.; Xu, X.; Wang, X. Study on the Influence of Industrial Structure Optimization on Water Environment and Economy: A Case Study of Changzhou City. Front. Earth Sci. 2023, 10, 961299. [Google Scholar] [CrossRef]
  26. Tao, F.; Pi, Y.; Zhang, M.; Yuan, C.; Deng, M. Hidden Danger Association Mining for Water Conservancy Projects Based on Task Scenario-Driven. Water 2023, 15, 2814. [Google Scholar] [CrossRef]
  27. Hu, H.; Zhou, G.; Tong, S.; Hu, T. Pollution Characteristics and Eutrophication Assessment in Plain River Network Areas: A Case Study of the Beijing–Hangzhou Grand Canal (Changzhou Section). Water 2024, 16, 3353. [Google Scholar] [CrossRef]
  28. Dong, W.; Zhang, Y.; Zhang, L.; Ma, W.; Luo, L. What Will the Water Quality of the Yangtze River Be in the Future? Sci. Total Environ. 2023, 857, 159714. [Google Scholar] [CrossRef]
Figure 1. Geographical location of Changzhou city.
Figure 1. Geographical location of Changzhou city.
Water 17 00197 g001
Figure 2. Flow chart.
Figure 2. Flow chart.
Water 17 00197 g002
Figure 3. Route of hydrological connectivity engineering. Note: the green segments represent the river connectivity channels in the engineering plan.
Figure 3. Route of hydrological connectivity engineering. Note: the green segments represent the river connectivity channels in the engineering plan.
Water 17 00197 g003
Figure 4. Extension of dredging project in Xinmeng River. Note: the green segments represent the river connectivity channels in the engineering plan.
Figure 4. Extension of dredging project in Xinmeng River. Note: the green segments represent the river connectivity channels in the engineering plan.
Water 17 00197 g004
Figure 5. Connecting points of sluices.
Figure 5. Connecting points of sluices.
Water 17 00197 g005
Figure 6. Average relative error of river network water quality in the study area.
Figure 6. Average relative error of river network water quality in the study area.
Water 17 00197 g006
Figure 7. Water environmental capacity of river network under different scenarios in Changzhou city (t/a).
Figure 7. Water environmental capacity of river network under different scenarios in Changzhou city (t/a).
Water 17 00197 g007
Figure 8. Spatial distribution of river environmental capacity under different scenarios (green rivers indicate an improvement in water environmental capacity, while black rivers indicate a decrease in water environmental capacity).
Figure 8. Spatial distribution of river environmental capacity under different scenarios (green rivers indicate an improvement in water environmental capacity, while black rivers indicate a decrease in water environmental capacity).
Water 17 00197 g008
Figure 9. Environment, economy, and objective function values under different scenarios.
Figure 9. Environment, economy, and objective function values under different scenarios.
Water 17 00197 g009
Table 1. Scheduling scheme.
Table 1. Scheduling scheme.
Scenario Flow (m3/s) Type
Scenario 10--
Scenario 220Pump Diversion
Scenario 340Pump Diversion
Scenario 460Pump Diversion
Scenario 5100Pump Diversion
Scenario 620Gate Diversion
Scenario 740Gate Diversion
Scenario 860Gate Diversion
Scenario 9100Gate Diversion
Scenario 10Actual Scenario--
Note: “Actual Scenario” refers to the real water diversion flows managed by the gate management units at Xiaohe Gate, Weicun Gate, and Zaogang Gate. The sluice gates involved in the scheduling are located along the Yangtze River, including the Weicun Gate, Zaogang Gate, and Xiaohe Gate. In Scenarios 2–5, “pump diversion” refers to the closure of all sluice gates along the river, with pumps operating 24 h a day to divert water from the Yangtze River into the Changzhou water system. In Scenarios 6–9, “gate diversion” refers to opening the sluice gates based on the actual tidal water level of the Yangtze River, with the gates open for 6–8 h daily to divert water into the Changzhou water system. Scenario 1 represents a situation where the sluice gates are closed, and the upstream diversion flow is 0 m3/s. Scenario 10 represents the actual flow in the study area’s water system.
Table 2. Important parameters of economic cost function.
Table 2. Important parameters of economic cost function.
Key ParametersValueUnit
Dingheng River dredging volume465,480m3
Luheng River dredging volume 909,730 m3
Caoqiao River dredging volume 1,846,500 m3
Taige River dredging volume 1,808,910 m3
Beigan River dredging volume 684,920 m3
Dredging cost (per m3) 30 CNY/m3
Sluice management cost (annual) 250,000 CNY/year
Note: “CNY” stands for Chinese Yuan, which is the official currency of the People’s Republic of China.
Table 3. Calibration and verification errors of Wujin and Yapu.
Table 3. Calibration and verification errors of Wujin and Yapu.
SectionCalibrationVerification
Wujin Port0.820.79
Yapu Port0.900.84
Table 4. Relative error (RE) of discharge simulations across cross-sections.
Table 4. Relative error (RE) of discharge simulations across cross-sections.
SectionRE (%)
Buyi Bridge3.02
Caoqiao13.77
Jiuli2.74
Henglin5.60
Wujin Port3.59
Table 5. Improvement rate of water environmental capacity of river network under different schemes.
Table 5. Improvement rate of water environmental capacity of river network under different schemes.
Scenario CODCr (%)TP (%)NH3-N (%)
Minimum Value Average Maximum Value Minimum Value Average Maximum Value Minimum Value Average Maximum Value
Scenario 1 −93−447.31−72.99−50.864.83−50.89−32.086.09
Scenario 2−2.3115.5546.79−1.2318.5845.690.7632.1483.22
Scenario 3−2.336.2869.83−8.2331.2464.72−0.9034.8290.94
Scenario 4−5.0443.8576.09−2.5339.2578.62−3.3651.3294.01
Scenario 5−10.5454.7689.01−7.0451.0590.82−10.9247.0896.80
Scenario 6−56.54−7.9610.97−26.92−0.5024.10−24.8311.9946.71
Scenario 7−45.46−3.4813.04−21.10−1.0535.66−4.7013.2253.04
Scenario 8−32.13−4.1331.51−19.00−0.9236.19−4.6613.5065.60
Scenario 9−46.172.0149.63−14.463.5849.87−4.4525.4975.42
Scenario 11−21.470.8937.97−28.771.2031.70−39.07−5.2125.84
Scenario 12−5.5026.5894.71−0.8236.9995.93−5.1041.9781.28
Scenario 13−7.8423.1840.45−7.9922.2978.53−18.7525.6272.85
Disclaimer/Publisher’s Note: The statements, opinions and data contained in all publications are solely those of the individual author(s) and contributor(s) and not of MDPI and/or the editor(s). MDPI and/or the editor(s) disclaim responsibility for any injury to people or property resulting from any ideas, methods, instructions or products referred to in the content.

Share and Cite

MDPI and ACS Style

Bu, J.; Li, C.; Xu, T.; Wang, T.; Da, J.; Li, X.; Chen, H.; Song, W.; Sun, M. The Optimization of River Network Water Pollution Control Based on Hydrological Connectivity Measures. Water 2025, 17, 197. https://doi.org/10.3390/w17020197

AMA Style

Bu J, Li C, Xu T, Wang T, Da J, Li X, Chen H, Song W, Sun M. The Optimization of River Network Water Pollution Control Based on Hydrological Connectivity Measures. Water. 2025; 17(2):197. https://doi.org/10.3390/w17020197

Chicago/Turabian Style

Bu, Jiuhe, Chunhui Li, Tian Xu, Tao Wang, Jinrong Da, Xiaoyun Li, Hao Chen, Weixin Song, and Mengjia Sun. 2025. "The Optimization of River Network Water Pollution Control Based on Hydrological Connectivity Measures" Water 17, no. 2: 197. https://doi.org/10.3390/w17020197

APA Style

Bu, J., Li, C., Xu, T., Wang, T., Da, J., Li, X., Chen, H., Song, W., & Sun, M. (2025). The Optimization of River Network Water Pollution Control Based on Hydrological Connectivity Measures. Water, 17(2), 197. https://doi.org/10.3390/w17020197

Note that from the first issue of 2016, this journal uses article numbers instead of page numbers. See further details here.

Article Metrics

Back to TopTop