Predictive Flood Uncertainty Associated with the Overtopping Rates of Vertical Seawall on Coral Reef Topography
Abstract
1. Introduction
2. Methods
2.1. Numerical Model
2.2. Estimation of Wave Parameters
2.3. Physical Model Experiment
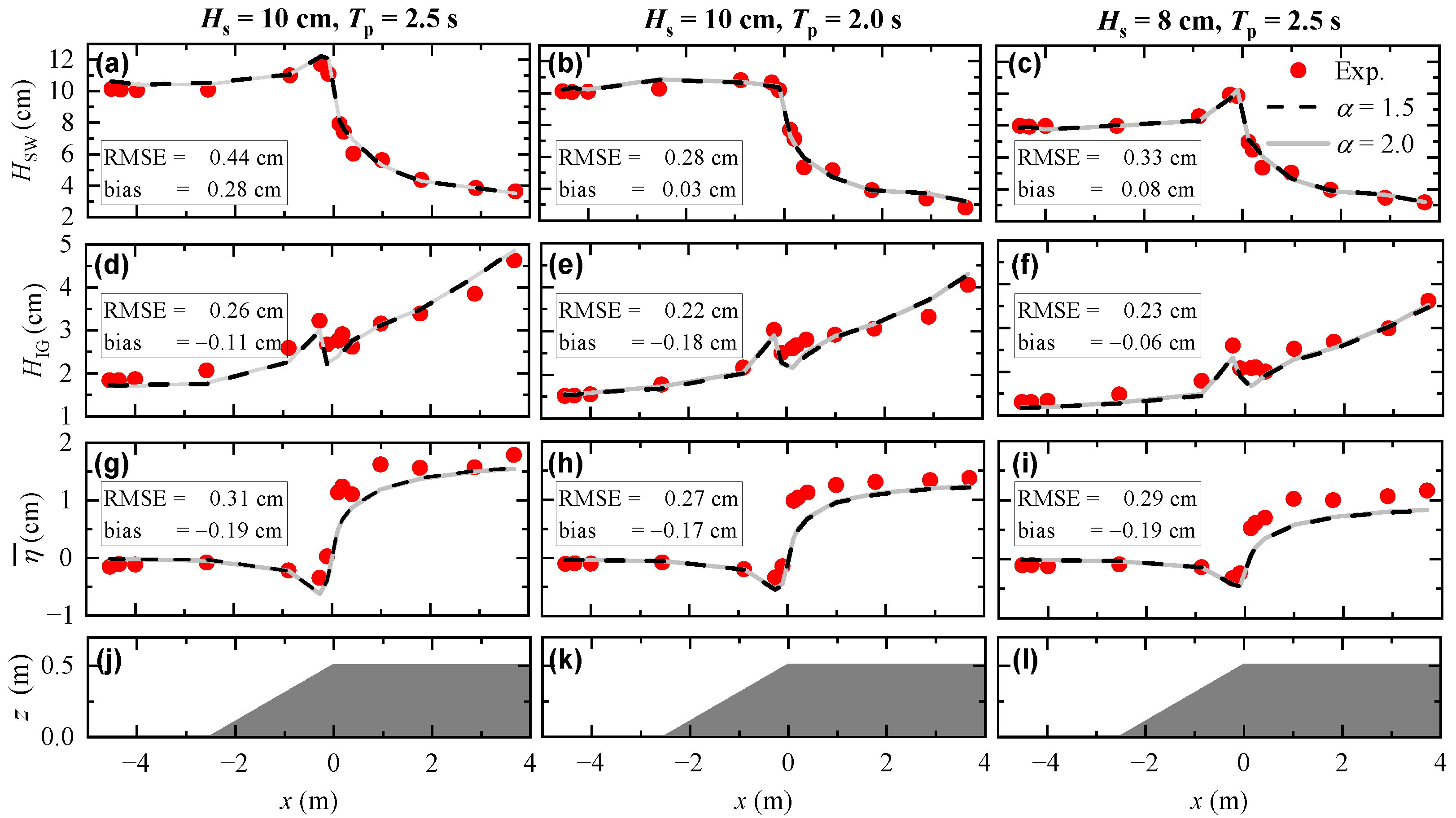
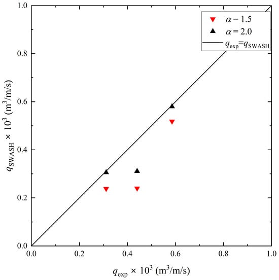
2.4. Validation of Numerical Model
2.5. Design of Numerical Experiment
3. Results and Discussion
3.1. Cross-Reef Variation in Wave Height and Spectrum
3.2. Effect of Number of Frequency Bins
3.3. Effect of Spectral Width
3.4. Effect of Wave Groupiness Factor
4. Conclusions
Author Contributions
Funding
Data Availability Statement
Conflicts of Interest
References
- Cai, R.; Tan, H. Progress on the evolutionary characteristics and climatic causes for warming and marine heatwaves in the coastal china seas. Chin. J. Atmos. Sci. 2024, 48, 121–146. (In Chinese) [Google Scholar] [CrossRef]
- Ferrario, F.; Beck, M.W.; Storlazzi, C.D.; Micheli, F.; Shepard, C.C.; Airoldi, L. The effectiveness of coral reefs for coastal hazard risk reduction and adaptation. Nat. Commun. 2014, 5, 3794. [Google Scholar] [CrossRef] [PubMed]
- Costa, M.B.; Araújo, M.; Araújo, T.C.; Siegle, E. Influence of reef geometry on wave attenuation on a Brazilian coral reef. Geomorphology 2016, 253, 318–327. [Google Scholar] [CrossRef]
- Roeber, V.; Bricker, J. Destructive tsunami-like wave generated by surf beat over a coral reef during Typhoon Haiyan. Nat. Commun. 2015, 6, 7854. [Google Scholar] [CrossRef] [PubMed]
- Hoeke, R.; McInnes, K.; Kruger, J.; McNaught, R.; Hunter, J.; Smithers, S. Widespread inundation of Pacific islands triggered by distant-source wind-waves. Glob. Planet. Change 2013, 108, 128–138. [Google Scholar] [CrossRef]
- Beck, M.W.; Losada, I.J.; Menéndez, P.; Reguero, B.G.; Díaz-Simal, P.; Fernández, F. The global flood protection savings provided by coral reefs. Nat. Commun. 2018, 9, 2186. [Google Scholar] [CrossRef] [PubMed]
- Li, Y.; Zhang, C.; Chen, S.; Qi, H.; Dai, W.; Zhu, H.; Sui, T.; Zheng, J. Experimental investigation on cross-shore profile evolution of reef-fronted beach. Coast. Eng. 2025, 195, 104653. [Google Scholar] [CrossRef]
- Masselink, G.; McCall, R.; Beetham, E.; Kench, P.; Storlazzi, C. Role of Future Reef Growth on Morphological Response of Coral Reef Islands to Sea-Level Rise. JGR Earth Surf. 2021, 126, e2020JF005749. [Google Scholar] [CrossRef]
- Yao, Y.; Huang, Z.; Monismith, S.G.; Lo, E.Y.M. Characteristics of monochromatic waves breaking over fringing reefs. J. Coast. Res. 2013, 29, 94–104. [Google Scholar] [CrossRef]
- Franklin, G.L.; Torres-Freyermuth, A. On the runup parameterisation for reef-lined coasts. Ocean Model. 2021, 169, 101929. [Google Scholar] [CrossRef]
- Baldock, T.E.; Shabani, B.; Callaghan, D.P.; Hu, Z.; Mumby, P.J. Two-dimensional modelling of wave dynamics and wave forces on fringing coral reefs. Coast. Eng. 2020, 155, 103594. [Google Scholar] [CrossRef]
- Pomeroy, A.; Lowe, R.; Symonds, G.; Van Dongeren, A.; Moore, C. The dynamics of infragravity wave transformation over a fringing reef. J. Geophys. Res. 2012, 117, C11022. [Google Scholar] [CrossRef]
- Nwogu, O.; Demirbilek, Z. Infragravity wave motions and runup over shallow fringing reefs. J. Waterw. Port Coast. Ocean Eng. 2010, 136, 295–305. [Google Scholar] [CrossRef]
- Liu, Y.; Li, S.; Liao, Z.; Liu, K. Physical and numerical modeling of random wave transformation and overtopping on reef topography. Ocean Eng. 2021, 220, 108390. [Google Scholar] [CrossRef]
- Becker, J.M.; Merrifield, M.A.; Yoon, H. Infragravity waves on fringing reefs in the tropical Pacific: Dynamic setup. J. Geophys. Res. Oceans 2016, 121, 3010–3028. [Google Scholar] [CrossRef]
- Cheriton, O.; Storlazzi, C.; Rosenberger, K. Observations of wave transformation over a fringing coral reef and the importance of low-frequency waves and offshore water levels to runup, overwash, and coastal flooding. J. Geophys. Res. Oceans 2016, 121, 3121–3140. [Google Scholar] [CrossRef]
- Cheriton, O.M.; Storlazzi, C.D.; Rosenberger, K.J. In situ observations of wave transformation and infragravity bore development across reef flats of varying geomorphology. Front. Mar. Sci. 2020, 7, 351. [Google Scholar] [CrossRef]
- Liu, Y.; Liao, Z.; Fang, K.; Li, S. Uncertainty of wave runup prediction on coral reef-fringed coasts using SWASH model. Ocean Eng. 2021, 242, 110094. [Google Scholar] [CrossRef]
- Yao, Y.; Yang, X.; Lai, S.H.; Chin, R.J. Predicting tsunami-like solitary wave run-up over fringing reefs using the multi-layer perceptron neural network. Nat. Hazards 2021, 107, 601–616. [Google Scholar] [CrossRef]
- Liu, Y.; Li, S.; Zhao, X.; Hu, C.; Fan, Z.; Chen, S. Artificial neural network prediction of overtopping rate for impermeable vertical seawalls on coral reefs. J. Waterw. Port Coast. Ocean Eng. 2020, 146, 04020015. [Google Scholar] [CrossRef]
- Qin, Y.; Su, C.; Chu, D.; Zhang, J.; Song, J. A review of application of machine learning in storm surge problems. J. Mar. Sci. Eng 2023, 11, 1729. [Google Scholar] [CrossRef]
- Liu, Y.; Li, S.; Chen, S.; Hu, C.; Fan, Z.; Jin, R. Random wave overtopping of vertical seawalls on coral reefs. Appl. Ocean Res. 2020, 100, 102166. [Google Scholar] [CrossRef]
- Chen, S.; Zhang, C.; Wang, Z.; Zheng, J.; Chen, H. Experiment on wave overtopping of a vertical seawall on coral reefs in large wave flume. Chin. Sci. Bull. 2019, 64, 3049–3058. [Google Scholar] [CrossRef]
- Williams, H.E.; Briganti, R.; Pullen, T. The role of offshore boundary conditions in the uncertainty of numerical prediction of wave overtopping using non-linear shallow water equations. Coast. Eng. 2014, 89, 30–44. [Google Scholar] [CrossRef]
- Schäffer, H.A. Second-order wavemaker theory for irregular waves. Ocean Eng. 1996, 23, 47–88. [Google Scholar] [CrossRef]
- Zijlema, M.; Stelling, G.; Smit, P. SWASH: An operational public domain code for simulating wave fields and rapidly varied flows in coastal waters. Coast. Eng. 2011, 58, 992–1012. [Google Scholar] [CrossRef]
- Rijnsdorp, D.P.; Smit, P.B.; Zijlema, M. Non-hydrostatic modelling of infragravity waves under laboratory conditions. Coast. Eng. 2014, 85, 30–42. [Google Scholar] [CrossRef]
- Liu, Y.; Yao, Y.; Liao, Z.; Li, S.; Zhang, C.; Zou, Q. Fully nonlinear investigation on energy transfer between long waves and short-wave groups over a reef. Coast. Eng. 2023, 179, 104240. [Google Scholar] [CrossRef]
- Suzuki, T.; Altomare, C.; Veale, W.; Verwaest, T.; Trouw, K.; Troch, P.; Zijlema, M. Efficient and robust wave overtopping estimation for impermeable coastal structures in shallow foreshores using SWASH. Coast. Eng. 2017, 122, 108–123. [Google Scholar] [CrossRef]
- Liu, Y.; Li, S. Variation of wave groupiness across a fringing reef. J. Waterw. Port Coast. Ocean Eng. 2018, 144, 04018022. [Google Scholar] [CrossRef]
- Mansard, E.; Funke, E.R. The measurement of incident and reflected spectra using a least squares method. In Proceedings of the 17th International Conference on Coastal Engineering, Reston, VA, USA, March 1980; pp. 154–172. [Google Scholar]
- Lashley, C.H.; Roelvink, D.; Van Dongeren, A.; Buckley, M.L.; Lowe, R.J. Nonhydrostatic and surfbeat model predictions of extreme wave run-up in fringing reef environments. Coast. Eng. 2018, 137, 11–27. [Google Scholar] [CrossRef]
- Irías Mata, M.; Van Gent, M.R. Numerical modelling of wave overtopping discharges at rubble mound breakwaters using OpenFOAM®. Coast. Eng. 2023, 181, 104274. [Google Scholar] [CrossRef]
- JTS/T 231-2021; The Technical Code of Modeling Test for Port and Waterway Engineering. China Communications Press: Beijing, China, 2021.











| Test No. | (cm) | Wave Condition | M | Number of Replications | |
|---|---|---|---|---|---|
| 1 | 4.5 | cm, s | 50–900 | 3.3 | 100 |
| 700 | 1–7 | 100 | |||
| 2 | 4.5 | cm, s | 50–900 | 3.3 | 100 |
| 700 | 1–7 | 100 |
Disclaimer/Publisher’s Note: The statements, opinions and data contained in all publications are solely those of the individual author(s) and contributor(s) and not of MDPI and/or the editor(s). MDPI and/or the editor(s) disclaim responsibility for any injury to people or property resulting from any ideas, methods, instructions or products referred to in the content. |
© 2025 by the authors. Licensee MDPI, Basel, Switzerland. This article is an open access article distributed under the terms and conditions of the Creative Commons Attribution (CC BY) license (https://creativecommons.org/licenses/by/4.0/).
Share and Cite
Zhang, H.; Lu, B.; Geng, Y.; Liu, Y. Predictive Flood Uncertainty Associated with the Overtopping Rates of Vertical Seawall on Coral Reef Topography. Water 2025, 17, 2186. https://doi.org/10.3390/w17152186
Zhang H, Lu B, Geng Y, Liu Y. Predictive Flood Uncertainty Associated with the Overtopping Rates of Vertical Seawall on Coral Reef Topography. Water. 2025; 17(15):2186. https://doi.org/10.3390/w17152186
Chicago/Turabian StyleZhang, Hongqian, Bin Lu, Yumei Geng, and Ye Liu. 2025. "Predictive Flood Uncertainty Associated with the Overtopping Rates of Vertical Seawall on Coral Reef Topography" Water 17, no. 15: 2186. https://doi.org/10.3390/w17152186
APA StyleZhang, H., Lu, B., Geng, Y., & Liu, Y. (2025). Predictive Flood Uncertainty Associated with the Overtopping Rates of Vertical Seawall on Coral Reef Topography. Water, 17(15), 2186. https://doi.org/10.3390/w17152186
