Prediction of Scouring Hole Morphology Induced by Underwater Jets Using CFD–DEM Simulation
Abstract
1. Introduction
2. Numerical Model
2.1. Governing Equations for Fluid
2.2. Turbulence Model
2.3. Governing Equations for Particles
2.4. Solid–Liquid Interphase Force Models
3. Model Validation
3.1. Model Establishment
3.2. Boundary Conditions
3.3. Validation Results
4. Scour Hole Morphology Prediction Model
4.1. Key Physical Parameters and Model Assumptions
- (a)
- The maximum shear velocity is correlated with the jet velocity v and average shear velocity , i.e., .
- (b)
- The shear stress depends on and . When , it is assumed that .
4.2. Derivation of Scour Hole Depth Prediction Formula
4.3. Derivation of the Scour Hole Width Prediction Formula
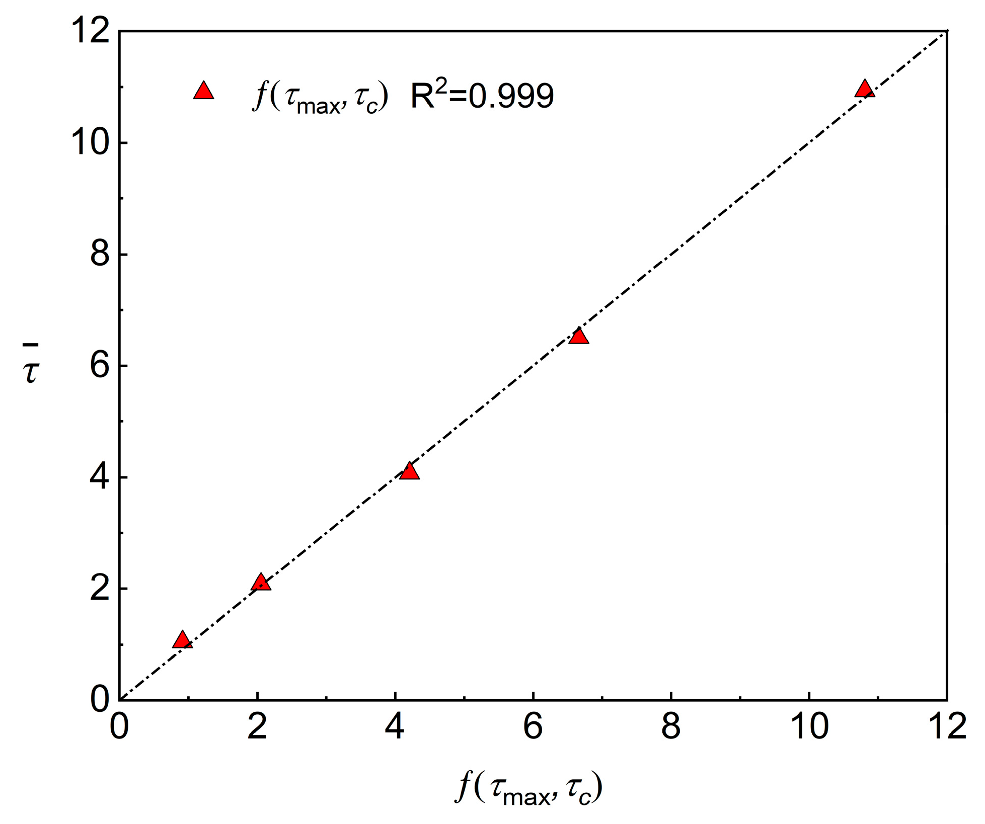
4.4. Assumption Verification
4.5. Prediction Model Validation
5. Conclusions
Author Contributions
Funding
Data Availability Statement
Conflicts of Interest
References
- Liu, J.; Zhang, W.; Shen, Y.; Wang, X. Dramatic sediment load changes and sedimentation characteristics upstream of the Three Gorges Dam due to the large reservoirs construction. Front. Earth Sci. 2024, 18, 565–578. [Google Scholar] [CrossRef]
- Castro, P.W. Sediment management at the water intake of hydropower plants. Arab. J. Geosci. 2022, 15, 1118. [Google Scholar] [CrossRef]
- Liu, J.; Li, S.; Tian, Y.; Zhao, S.; Hu, H. Experimental study on submerged stationary jet in stiff cohesive soil. Ocean. Eng. 2025, 330, 121152. [Google Scholar] [CrossRef]
- Liu, H.; Liu, R.; Bai, S.; Chen, Y.; Liu, L. Efficient Productivity-Aware Control Parameter Optimization in Cutter Suction Dredger Construction Using Machine Learning with Parallel Global Search. Water 2024, 16, 3067. [Google Scholar] [CrossRef]
- Barik, C.R.; Vijayan, K.; Sha, O.P.; Shrivastava, K. Hybrid modelling and analysis of cutter suction dredger using hardware and software in the loop. J. Ocean. Eng. Mar. Energy 2024, 10, 523–536. [Google Scholar] [CrossRef]
- Long, Z.; Fan, S.; Gao, Q.; Wei, W.; Jiang, P. Replacement of Fault Sensor of Cutter Suction Dredger Mud Pump Based on MCNN Transformer. Appl. Sci. 2024, 14, 4186. [Google Scholar] [CrossRef]
- Neumann, S.; Kirichek, A.; van Hassent, A. Agitation dredging of silt and fine sand with Water Injection Dredging, Tiamat and Underwater Plough: A case study in the Port of Rotterdam. J. Soil. Sediment. 2024, 24, 3877–3886. [Google Scholar] [CrossRef]
- Taştan, K.; Koçak, P.P.; Yildirim, N. Effect of the Bed-Sediment Layer on the Scour Caused by a Jet. Arab. J. Sci. Eng. 2016, 41, 4029–4037. [Google Scholar] [CrossRef]
- Aderibigbe, O.O.; Rajaratnam, N. Erosion of loose beds by submerged circular impinging vertical turbulent jets. J. Hydraul. Res. 1996, 34, 19–33. [Google Scholar] [CrossRef]
- Yeh, P.; Chang, K.; Henriksen, J.; Edge, B.; Chang, P.; Silver, A.; Vargas, A. Large-scale laboratory experiment on erosion of sand beds by moving circular vertical jets. Ocean. Eng. 2009, 36, 248–255. [Google Scholar] [CrossRef]
- Sutherland, B.R.; Dalziel, S. Bedload transport by a vertical jet impinging upon sediments. Phys. Fluids 2014, 26, 35103. [Google Scholar] [CrossRef]
- Fan, W.; Bao, W.; Cai, Y.; Xiao, C.; Zhang, Z.; Pan, Y.; Chen, Y.; Liu, S. Experimental Study on the Effects of a Vertical Jet Impinging on Soft Bottom Sediments. Sustainability 2020, 12, 3775. [Google Scholar] [CrossRef]
- Pham Van Bang, D.; Uh Zapata, M.; Gauthier, G.; Gondret, P.; Zhang, W.; Nguyen, K.D. Two-Phase Flow Modeling for Bed Erosion by a Plane Jet Impingement. Water 2022, 14, 3290. [Google Scholar] [CrossRef]
- Lee, C.; Low, Y.M.; Chiew, Y. Multi-dimensional rheology-based two-phase model for sediment transport and applications to sheet flow and pipeline scour. Phys. Fluids 2016, 28, 053305. [Google Scholar] [CrossRef]
- Boroomand, M.R.; Salehi Neyshabouri, S.A.A.; Aghajanloo, K. Numerical simulation of sediment transport and scouring by an offset jet. Can. J. Civil. Eng. 2007, 34, 1267–1275. [Google Scholar] [CrossRef]
- Navasa, M.; Yuan, J.; Sundén, B. Computational fluid dynamics approach for performance evaluation of a solid oxide electrolysis cell for hydrogen production. Appl. Energy 2015, 137, 867–876. [Google Scholar] [CrossRef]
- Mi, H.; Wang, C.; Jia, X.; Hu, B.; Wang, H.; Wang, H.; Zhu, Y. Hydraulic Characteristics of Continuous Submerged Jet Impinging on a Wall by Using Numerical Simulation and PIV Experiment. Sustainability 2023, 15, 5159. [Google Scholar] [CrossRef]
- Yan, C.; McDonald, J.G. Hyperbolic equivalent k-ϵ and k-ω turbulence models for moment-closures. J. Comput. Phys. 2023, 476, 111881. [Google Scholar] [CrossRef]
- Cundall, P.A.; Strack, O.D. A discrete numerical model for granular assemblies. Geotechnique 1979, 29, 47–65. [Google Scholar] [CrossRef]
- Plassiard, J.; Belheine, N.; Donzé, F. A spherical discrete element model: Calibration procedure and incremental response. Granul. Matter 2009, 11, 293–306. [Google Scholar] [CrossRef]
- Cleary, P.W.; Sawley, M.L. DEM modelling of industrial granular flows: 3D case studies and the effect of particle shape on hopper discharge. Appl. Math. Model. 2002, 26, 89–111. [Google Scholar] [CrossRef]
- Thornton, C.; Antony, S.J. Quasi-static shear deformation of a soft particle system. Powder Technol. 2000, 109, 179–191. [Google Scholar] [CrossRef]
- Yu, S.; Adams, M.; Gururajan, B.; Reynolds, G.; Roberts, R.; Wu, C. The effects of lubrication on roll compaction, ribbon milling and tabletting. Chem. Eng. Sci. 2013, 86, 9–18. [Google Scholar] [CrossRef]
- Lu, M.; McDowell, G.R. The importance of modelling ballast particle shape in the discrete element method. Granul. Matter 2006, 9, 69–80. [Google Scholar] [CrossRef]
- Batista, J.N.M.; Béttega, R. Evaluation of the effect of cone geometry on spouted bed fluid dynamics by CFD-DEM simulation. Dry. Technol. 2022, 40, 2073–2086. [Google Scholar] [CrossRef]
- Zhu, H.P.; Zhou, Z.Y.; Yang, R.Y.; Yu, A.B. Discrete particle simulation of particulate systems: Theoretical developments. Chem. Eng. Sci. 2007, 62, 3378–3396. [Google Scholar] [CrossRef]
- Hu, X.; Chen, Z.; Yang, X.; Li, L.; Wu, D.; Ma, Y.; Liu, Y. An investigation of scouring mechanism and equilibrium state by the submerged jet using synthesized oblique velocity. Ocean. Eng. 2025, 316, 119938. [Google Scholar] [CrossRef]
- Chen, J.; Zhang, G.; Si, J.; Shi, H.; Wang, X. Experimental investigation of scour of sand beds by submerged circular vertical turbulent jets. Ocean. Eng. 2022, 257, 111625. [Google Scholar] [CrossRef]
- Bosman, A.; Bollaert, E.; Basson, G. Bedrock Scour by Developed Rectangular Jet Impingement in Shallow Plunge Pools. Water 2024, 16, 3432. [Google Scholar] [CrossRef]
- Wang, Z.; Pan, J.; Zhai, B.; Zhao, Y.; Jin, Y. Solitary wave-induced 2D seepage effects on sediment incipient motion. Appl. Ocean. Res. 2025, 155, 104456. [Google Scholar] [CrossRef]
- Yao, X.; Wang, W.; Ma, G.; Zhang, H.; Chen, Y.; Qu, Z.; Zhang, W.; Lu, J.; Zhang, M. Experimental research on jet induced tail cavities attached to underwater vehicles considering the influence of tail wings. Ocean. Eng. 2024, 295, 116667. [Google Scholar] [CrossRef]
- Hoffmans, G.J.C.M. Jet Scour in Equilibrium Phase. J. Hydraul. Eng. 1998, 124, 430–437. [Google Scholar] [CrossRef]
- Wang, L.; Bruce, W.; Melville, M.A.; Whittaker, C.N.; Guan, D. Temporal Evolution of Clear-Water Scour Depth at Submerged Weirs. J. Hydraul. Eng. 2020, 146, 06020001. [Google Scholar] [CrossRef]
- Zhao, X.; Chen, D.; Zhao, L.; Zhang, W.; Wang, Z.; Wu, C. Experimental research on mechanism of scour by submerged jets in consolidated clay. Ain Shams Eng. J. 2025, 16, 103356. [Google Scholar] [CrossRef]
- Zhang, Y.X.; Hu, J.; Zhu, J.L.; Li, Y.X. Experimental Investigation of Plume Diffusion Behavior of LNG Accident Release Underwater. J. Phys. Conf. Ser. 2022, 2186, 12024. [Google Scholar] [CrossRef]
- Yang, Y.; Gao, S.; Wang, Y.P.; Jia, J.; Xiong, J.; Zhou, L. Revisiting the problem of sediment motion threshold. Cont. Shelf Res. 2019, 187, 103960. [Google Scholar] [CrossRef]
- Rüther, N.; Aleixo, R.; Guerrero, M.; Sørås, S.; Stokseth, S. Towards an establishment of a rating curve for suspended sediment transport by means of ADCP measurements. E3S Web Conf. 2018, 40, 4024. [Google Scholar] [CrossRef]
- Zhang, Z.; Kuang, J.; Chen, G.; Zeng, H.; Huang, B.; Liu, Z. Numerical study on trenching performances of the underwater jet flow for submarine cable laying. Appl. Ocean. Res. 2024, 150, 104140. [Google Scholar] [CrossRef]
- Shvidchenko, A.B.; Pender, G.; Hoey, T.B. Critical shear stress for incipient motion of sandgravel streambeds. Water Resour. Res. 2001, 37, 2273–2283. [Google Scholar] [CrossRef]
- Khosravi, K.; Chegini, A.H.N.; Mao, L.; Rodriguez, J.F.; Saco, P.M.; Binns, A.D. Experimental Analysis of Incipient Motion for Uniform and Graded Sediments. Water 2021, 13, 1874. [Google Scholar] [CrossRef]
- Chen, H.; Teng, X.; Zhang, Z.; Zhu, F.; Wang, J.; Zhang, Z. Numerical Analysis of the Influence of the Impinging Distance on the Scouring Efficiency of Submerged Jets. Fluid Dyn. Mater. Process. 2024, 20, 429–445. [Google Scholar] [CrossRef]
- Gardner, R.; Suedel, B.C.; Kane, K.; Moore, D.W.; Allen, K.; Lally, J. A new PIANC guideline for managing environmental risks of navigation infrastructure projects. In PORTS 2019: Port Planning and Development; Jain, P., Stahlman, W.S., III, Eds.; American Society of Civil: Reston, VA, USA, 2019. [Google Scholar] [CrossRef]










| Research | Approach | Adaptation Conditions | Prediction Formula |
|---|---|---|---|
| Aderibigbe et al. (1996) [9] | Theoretical analysis | Scouring depth of jet in air | |
| Yeh et al. (2009) [10] | Experimental data fitting | Depth and width of the scour hole | |
| Taştan et al. (2016) [8] | Theoretical analysis and model verification | Scour depth having angles between 30° and 60° | |
| Fan et al. (2020) [12] | Theoretical analysis and model verification | Depth and width of the sediment resuspension | |
| Pham et al. (2022) [13] | Experimental data fitting | Static scour depth | |
| Liu et al. (2025) [3] | Regression from experimental data | Scour depth |
| Nozzle Diameter | D30 mm | D40 mm | D50 mm | D75 mm | D100 mm |
|---|---|---|---|---|---|
| Nozzle jet velocity v (m/s) | 23.58 | 13.26 | 8.492 | 3.774 | 2.123 |
| Maximum shear velocity (m/s) | 0.20 | 0.16 | 0.13 | 0.09 | 0.06 |
| Average shear velocity (m/s) | 0.091 | 0.071 | 0.058 | 0.0409 | 0.030 |
| Physical Parameters | V1 | V2 | V3 | V4 | V5 |
|---|---|---|---|---|---|
| Jet velocity (m/s) | 23.58 | 13.26 | 8.492 | 3.774 | 2.123 |
| Critical shear stress (Pa) | 1.94 | 1.94 | 1.94 | 1.94 | 1.94 |
| Maximum shear stress (Pa) | 41.18 | 25.27 | 15.85 | 7.59 | 3.22 |
| Average shear stress (Pa) | 10.936 | 6.501 | 4.077 | 2.083 | 1.051 |
Disclaimer/Publisher’s Note: The statements, opinions and data contained in all publications are solely those of the individual author(s) and contributor(s) and not of MDPI and/or the editor(s). MDPI and/or the editor(s) disclaim responsibility for any injury to people or property resulting from any ideas, methods, instructions or products referred to in the content. |
© 2025 by the authors. Licensee MDPI, Basel, Switzerland. This article is an open access article distributed under the terms and conditions of the Creative Commons Attribution (CC BY) license (https://creativecommons.org/licenses/by/4.0/).
Share and Cite
Wang, Y.; Wang, Y.; Zhang, J.; Hu, J.; Duan, Z.; Zhang, Q. Prediction of Scouring Hole Morphology Induced by Underwater Jets Using CFD–DEM Simulation. Water 2025, 17, 2163. https://doi.org/10.3390/w17142163
Wang Y, Wang Y, Zhang J, Hu J, Duan Z, Zhang Q. Prediction of Scouring Hole Morphology Induced by Underwater Jets Using CFD–DEM Simulation. Water. 2025; 17(14):2163. https://doi.org/10.3390/w17142163
Chicago/Turabian StyleWang, Yina, Yang Wang, Jiachen Zhang, Jielong Hu, Zihao Duan, and Qibo Zhang. 2025. "Prediction of Scouring Hole Morphology Induced by Underwater Jets Using CFD–DEM Simulation" Water 17, no. 14: 2163. https://doi.org/10.3390/w17142163
APA StyleWang, Y., Wang, Y., Zhang, J., Hu, J., Duan, Z., & Zhang, Q. (2025). Prediction of Scouring Hole Morphology Induced by Underwater Jets Using CFD–DEM Simulation. Water, 17(14), 2163. https://doi.org/10.3390/w17142163

