Twin-Peaks Streamflow Timing: Can We Use Forest and Alpine Snow Melt-Out Response to Estimate?
Abstract
1. Introduction
2. Materials and Methods
2.1. Study Area
2.2. Data Preparation
2.3. Data Correlation
2.4. WRF-Snow Model SWE and SDD Distributions
3. Results
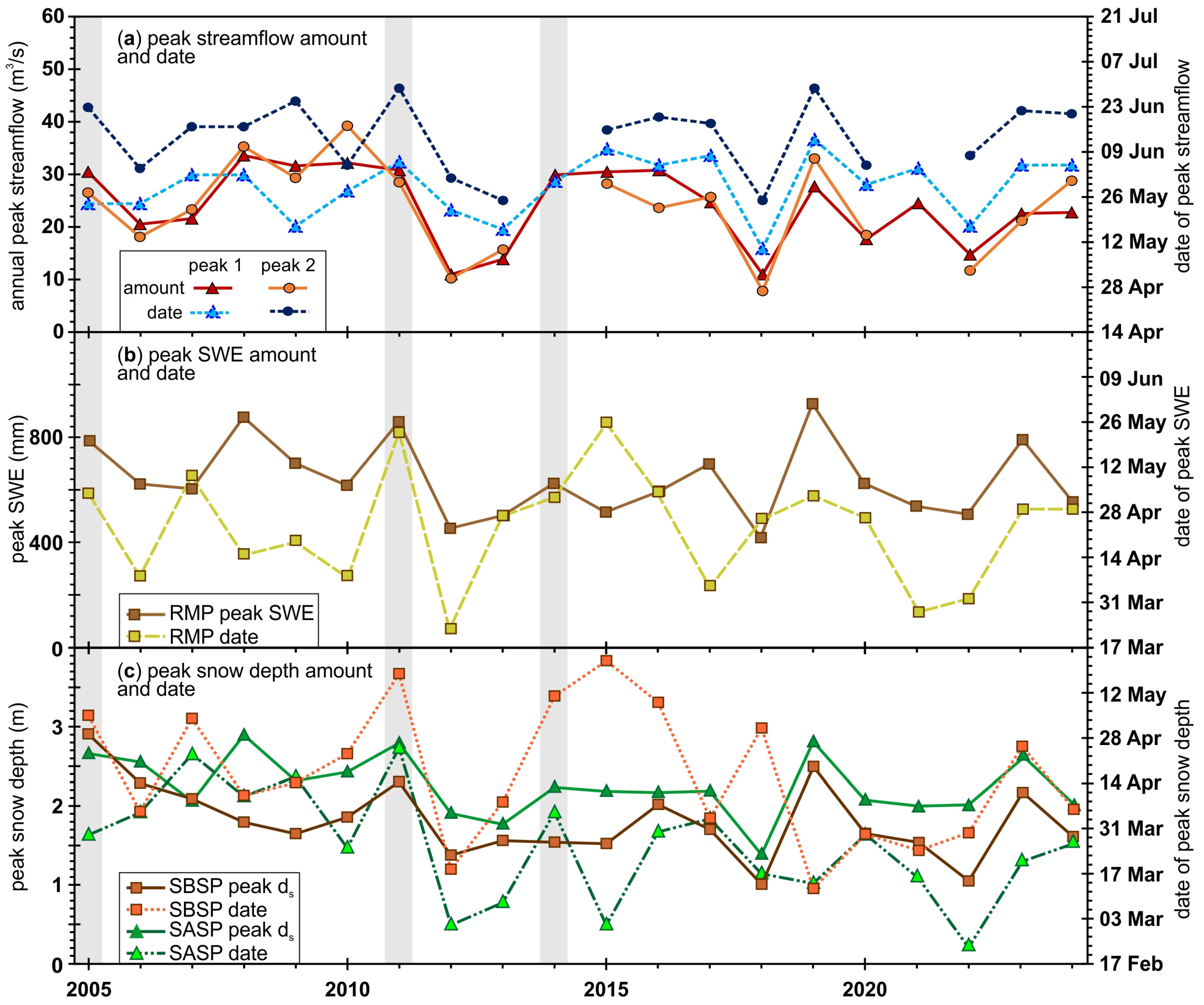
3.1. Peak 1 Streamflow Event
3.2. Peak 2 Streamflow Event
3.3. WRF-Snow Model SDD Distributions
4. Discussion
4.1. Correlations Between Peak Streamflow Date and Snowpack Measurement
4.2. Modeled Peak SWE and SDD Across Space
4.3. Applications
4.4. Additional Factors Impacting Peaks 1 and 2
4.5. Future Studies
Author Contributions
Funding
Data Availability Statement
Acknowledgments
Conflicts of Interest
Abbreviations
| CSAS | Colorado Snow and Avalanche Center |
| ESRI | Environmental Systems Research Institute |
| HUC | Hydrologic Unit Code |
| NRCS | National Resource and Conservation Service |
| NSE | Nash–Sutcliffe Efficiency |
| NWS | National Weather Service |
| RMP | Red Mountain Pass |
| SASP | Swamp Angel Study Plot |
| SBB | Senator Beck Basin |
| SBSP | Senator Beck Study Plot |
| SDD | snow disappearance date |
| SNOTEL | Snowpack Telemetry |
| SWE | snow water equivalent |
| USGS | United States Geological Service |
| WRF | Weather Research and Forecasting Model |
Appendix A. Station and Basin Data Summary

| Watershed | Area (km2) | Mean Elev. (m) | Min. Elev. (m) | Max. Elev. (m) | % Alpine | % Forest |
|---|---|---|---|---|---|---|
| Uncompahgre River Basin | 386 | 2866 | 2096 | 4315 | 69.1 | 30.9 |
| Canyon Creek | 71.7 | 3324 | 2363 | 4315 | 59.5 | 40.5 |
| Red Mountain Creek | 55.2 | 3348 | 2590 | 4109 | 54.4 | 45.6 |
| Upper | 30.3 | 3336 | 2592 | 4094 | 60.8 | 39.2 |
| Bear Creek | 17.6 | 3289 | 2533 | 4038 | 69.5 | 30.5 |
| Red Mountain Pass SNOTEL | Swamp Angel SP | Senator Beck SP | |
|---|---|---|---|
| snow-all-gone | |||
| mean | 7 June | 6 June | 12 June |
| standard deviation (days) | 14 | 13 | 14 |
| range (days) | 55 | 41 | 58 |
| peak SWE/depth amount (mm/m) | |||
| mean (mm/m) | 635 | 2.25 | 1.79 |
| standard deviation (mm/m) | 147 | 0.40 | 0.49 |
| range (mm/m) | 508 | 1.52 | 1.92 |
| peak SWE/depth date | |||
| mean | 22 April | 25 March | 16 April |
| standard deviation (days) | 18 | 18 | 22 |
| range (days) | 64 | 62 | 71 |

| Watershed | Region | 2005 | 2011 | ||
|---|---|---|---|---|---|
| Mean SDD | SDD Range (Days) | Mean SDD | SDD Range (Days) | ||
| Canyon Creek | Alpine | 25 Jun ± 16 days | 132 | 29 Jun ± 14 days | 157 |
| Forest | 27 May ± 18 days | 110 | 5 Jun ± 22 days | 131 | |
| Red Mountain Creek | Alpine | 22 Jun ± 15 days | 93 | 27 Jun ± 13 days | 97 |
| Forest | 3 Jun ± 12 days | 93 | 14 Jun ± 12 days | 97 | |
| Upper | Alpine | 23 Jun ±12 days | 84 | 29 Jun ± 11 days | 79 |
| Forest | 7 Jun ±12 days | 85 | 19 Jun ± 12 days | 91 | |
| Bear Creek | Alpine | 21 Jun ± 11 days | 78 | 27 Jun ± 10 days | 125 |
| Forest | 6 Jun ± 12 days | 78 | 18 Jun ± 13 days | 87 | |
References
- Barnett, T.P.; Adam, J.C.; Lettenmaier, D.P. Potential Impacts of a Warming Climate on Water Availability in Snow-Dominated Regions. Nature 2005, 438, 303–309. [Google Scholar] [CrossRef] [PubMed]
- Dozier, J.; Bair, E.H.; Davis, R.E. Estimating the Spatial Distribution of Snow Water Equivalent in the World’s Mountains. WIREs Water 2016, 3, 461–474. [Google Scholar] [CrossRef]
- Serreze, M.C.; Clark, M.P.; Armstrong, R.L.; McGinnis, D.A.; Pulwarty, R.S. Characteristics of the Western United States Snowpack from Snowpack Telemetry (SNOTEL) Data. Water Resour. Res. 1999, 35, 2145–2160. [Google Scholar] [CrossRef]
- Clow, D.W. Changes in the Timing of Snowmelt and Streamflow in Colorado: A Response to Recent Warming. J. Clim. 2010, 23, 2293–2306. [Google Scholar] [CrossRef]
- Stewart, I.T.; Cayan, D.R.; Dettinger, M.D. Changes toward Earlier Streamflow Timing across Western North America. J. Clim. 2005, 18, 1136–1155. [Google Scholar] [CrossRef]
- Stewart, I.T.; Cayan, D.R.; Dettinger, M.D. Changes in snowmelt runoff timing in western North America under a business as usual climate change scenario. Clim. Change 2004, 62, 217–232. [Google Scholar] [CrossRef]
- Knowles, N.; Dettinger, M.D.; Cayan, D.R. Trends in Snowfall versus Rainfall in the Western United States. J. Clim. 2006, 19, 4545–4559. [Google Scholar] [CrossRef]
- Fassnacht, S.R.; López-Moreno, J.I. Patterns of Trends in Niveograph Characteristics across the Western United States from Snow Telemetry Data. Front. Earth Sci. 2020, 14, 315–325. [Google Scholar] [CrossRef]
- Brown, R.D. Northern Hemisphere Snow Cover Variability and Change, 1915–1997. J. Clim. 2000, 13, 2339–2355. [Google Scholar] [CrossRef]
- Kunkel, K.E.; Robinson, D.A.; Champion, S.; Yin, X.; Estilow, T.; Frankson, R.M. Trends and Extremes in Northern Hemisphere Snow Characteristics. Curr. Clim. Chang. Rep. 2016, 2, 65–73. [Google Scholar] [CrossRef]
- Musselman, K.N.; Clark, M.P.; Liu, C.; Ikeda, K.; Rasmussen, R. Slower Snowmelt in a Warmer World. Nat. Clim. Chang. 2017, 7, 214–219. [Google Scholar] [CrossRef]
- Pfohl, A.K.D.; Fassnacht, S.R. Evaluating Methods of Streamflow Timing to Approximate Snowmelt Contribution in High-Elevation Mountain Watersheds. Hydrology 2023, 10, 75. [Google Scholar] [CrossRef]
- Uncompahgre Watershed Partnership. Uncompahgre Watershed Plan. Available online: https://www.uncompahgrewatershed.org/reports-plans/ (accessed on 24 May 2025).
- Fassnacht, S.R. Upper versus Lower Colorado River Sub-basin Streamflow: Characteristics, Runoff Estimation and Model Simulation. Hydrol. Process. 2006, 20, 2187–2205. [Google Scholar] [CrossRef]
- Fassnacht, S.R.; Deitemeyer, D.C.; Venable, N.B.H. Capitalizing on the Daily Time Step of Snow Telemetry Data to Model the Snowmelt Components of the Hydrograph for Small Watersheds. Hydrol. Process. 2014, 28, 4654–4668. [Google Scholar] [CrossRef]
- Sheeder, S.A.; Ross, J.D.; Carlson, T.N. Dual Urban and Rural Hydrograph Signals in Three Small Watersheds. J. Am. Water Resour. Assoc. 2002, 38, 1027–1040. [Google Scholar] [CrossRef]
- U.S. Geological Survey. USGS Water Data for the Nation. Available online: https://waterdata.usgs.gov/nwis/ (accessed on 24 May 2025).
- Natural Resources Conservation Service. Natural Resources Conservation Service—U.S. Department of Agriculture. Available online: https://www.nrcs.usda.gov (accessed on 24 May 2025).
- Center for Snow and Avalanche Studies. The Center for Snow & Avalanche Studies. Available online: https://www.snowstudies.org (accessed on 24 May 2025).
- Trujillo, E.; Molotch, N.P. Snowpack Regimes of the Western United States. Water Resour. Res. 2014, 50, 5611–5623. [Google Scholar] [CrossRef]
- Hammond, J.C.; Saavedra, F.A.; Kampf, S.K. Global Snow Zone Maps and Trends in Snow Persistence 2001–2016. Intl. J. Climatol. 2018, 38, 4369–4383. [Google Scholar] [CrossRef]
- ESRI. ArcGIS Hub. Available online: https://hub.arcgis.com/datasets (accessed on 24 May 2025).
- U.S. Geological Survey. National Hydrography Dataset. Available online: http://nhd.usgs.gov (accessed on 24 May 2025).
- Multi-Resolution Land Characteristics Consortium. National Landcover Dataset. Available online: https://www.mrlc.gov/ (accessed on 24 May 2025).
- Hammond, J.C.; Sexstone, G.A.; Putman, A.L.; Barnhart, T.B.; Rey, D.M.; Driscoll, J.M.; Liston, G.E.; Rasmussen, K.L.; McGrath, D.; Fassnacht, S.R.; et al. High Resolution SnowModel Simulations Reveal Future Elevation-Dependent Snow Loss and Earlier, Flashier Surface Water Input for the Upper Colorado River Basin. Earth’s Future 2023, 11, e2022EF003092. [Google Scholar] [CrossRef]
- Skiles, S.M.; Painter, T.H.; Deems, J.S.; Bryant, A.C.; Landry, C.C. Dust Radiative Forcing in Snow of the Upper Colorado River Basin: 2. Interannual Variability in Radiative Forcing and Snowmelt Rates. Water Resour. Res. 2012, 48, 2012WR011986. [Google Scholar] [CrossRef]
- Duncan, C.R. Patterns of Dust-Enhanced Absorbed Energy and Shifts in Melt Timing for Snow of Southwestern Colorado. Master’s Thesis, Colorado State University, Fort Collins, CO, USA, 2020. Available online: https://hdl.handle.net/10217/211991 (accessed on 15 June 2025).
- Fassnacht, S.R.; Duncan, C.R.; Pfohl, A.K.D.; Webb, R.W.; Derry, J.E.; Sanford, W.E.; Reimanis, D.C.; Doskocil, L.G. Drivers of Dust-Enhanced Snowpack Melt-Out and Streamflow Timing. Hydrology 2022, 9, 47. [Google Scholar] [CrossRef]
- Nash, J.E.; Sutcliffe, J.V. River Flow Forecasting through Conceptual Models Part I—A Discussion of Principles. J. Hydrol. 1970, 10, 282–290. [Google Scholar] [CrossRef]
- Moriasi, D.N.; Arnold, J.G.; Van Liew, M.W.; Bingner, R.L.; Harmel, R.D.; Veith, T.L. Model Evaluation Guidelines for Systematic Quantification of Accuracy in Watershed Simulations. Trans. ASABE 2007, 50, 885–900. [Google Scholar] [CrossRef]
- Painter, T.H.; Barrett, A.P.; Landry, C.C.; Neff, J.C.; Cassidy, M.P.; Lawrence, C.R.; McBride, K.E.; Farmer, G.L. Impact of Disturbed Desert Soils on Duration of Mountain Snow Cover. Geophys. Res. Lett. 2007, 34, 2007GL030284. [Google Scholar] [CrossRef]
- Painter, T.H.; Skiles, S.M.; Deems, J.S.; Brandt, W.T.; Dozier, J. Variation in Rising Limb of Colorado River Snowmelt Runoff Hydrograph Controlled by Dust Radiative Forcing in Snow. Geophys. Res. Lett. 2018, 45, 797–808. [Google Scholar] [CrossRef]
- Liu, C.; Ikeda, K.; Rasmussen, R.; Barlage, M.; Newman, A.J.; Prein, A.F.; Chen, F.; Chen, L.; Clark, M.; Dai, A.; et al. Continental-scale convection-permitting modeling of the current and future climate of North America. Clim. Dyn. 2017, 49, 71–95. [Google Scholar] [CrossRef]
- Liston, G.E.; Elder, K. A Distributed Snow-Evolution Modeling System (SnowModel). J. Hydrometeorol. 2006, 7, 1259–1276. [Google Scholar] [CrossRef]
- López-Moreno, J.I.; Leppänen, L.; Luks, B.; Holko, L.; Picard, G.; Sanmiguel-Vallelado, A.; Alonso-González, E.; Finger, D.C.; Arslan, A.N.; Gillemot, K.; et al. Intercomparison of measurements of bulk snow density and water equivalent of snow cover with snow core samplers: Instrumental bias and variability induced by observers. Hydrol. Process. 2020, 34, 3120–3133. [Google Scholar] [CrossRef]
- Serreze, M.C.; Clark, M.P.; Frei, A. Characteristics of Large Snowfall Events in the Montane Western United States as Examined Using Snowpack Telemetry (SNOTEL) Data. Water Resour. Res. 2001, 37, 675–688. [Google Scholar] [CrossRef]
- Pagano, T.; Wood, A.; Werner, K.; Tama-Sweet, R. Western U.S. Water Supply Forecasting: A Tradition Evolves. EoS Trans. 2014, 95, 28–29. [Google Scholar] [CrossRef]
- Hock, R. Temperature Index Melt Modelling in Mountain Areas. J. Hydrol. 2003, 282, 104–115. [Google Scholar] [CrossRef]
- Hock, R. Glacier Melt: A Review of Processes and Their Modelling. Prog. Phys. Geogr. Earth Environ. 2005, 29, 362–391. [Google Scholar] [CrossRef]
- Franz, K.J.; Hogue, T.S.; Sorooshian, S. Operational Snow Modeling: Addressing the Challenges of an Energy Balance Model for National Weather Service Forecasts. J. Hydrol. 2008, 360, 48–66. [Google Scholar] [CrossRef]
- Bryant, A.C.; Painter, T.H.; Deems, J.S.; Bender, S.M. Impact of Dust Radiative Forcing in Snow on Accuracy of Operational Runoff Prediction in the Upper Colorado River Basin. Geophys. Res. Lett. 2013, 40, 3945–3949. [Google Scholar] [CrossRef]
- Follum, M.L.; Niemann, J.D.; Fassnacht, S.R. A Comparison of Snowmelt-derived Streamflow from Temperature-index and Modified-temperature-index Snow Models. Hydrol. Process. 2019, 33, 3030–3045. [Google Scholar] [CrossRef]
- Milly, P.C.D.; Betancourt, J.; Falkenmark, M.; Hirsch, R.M.; Kundzewicz, Z.W.; Lettenmaier, D.P.; Stouffer, R.J. Stationarity Is Dead: Whither Water Management? Science 2008, 319, 573–574. [Google Scholar] [CrossRef] [PubMed]
- Dozier, J. Mountain Hydrology, Snow Color, and the Fourth Paradigm. EoS Trans. 2011, 92, 373–374. [Google Scholar] [CrossRef]
- Pagano, T.C.; Garen, D.C. Integration of Climate Information and Forecasts into Western US Water Supply Forecasts. In Climate Variations, Climate Change, and Water Resources Engineering; Garbrecht, J.D., Piechota, T.C., Eds.; American Society of Civil Engineers: Reston, VA, USA, 2006; pp. 86–103. [Google Scholar]
- Kenney, D.; Klien, R.; Goemans, C.; Alvord, C.; Shapiro, J. The Impact of Earlier Spring Snowmelt on Water Rights and Administration: A Preliminary Overview of Issues and Circumstances in the Western States. Western Water Assessment, Boulder, CO. 2008. Available online: https://sciencepolicy.colorado.edu/admin/publication_files/resource-2715-2008.24.pdf (accessed on 15 June 2025).
- Cook, B.I.; Ault, T.R.; Smerdon, J.E. Unprecedented 21st Century Drought Risk in the American Southwest and Central Plains. Sci. Adv. 2015, 1, e1400082. [Google Scholar] [CrossRef] [PubMed]
- Williams, A.P.; Cook, E.R.; Smerdon, J.E.; Cook, B.I.; Abatzoglou, J.T.; Bolles, K.; Baek, S.H.; Badger, A.M.; Livneh, B. Large Contribution from Anthropogenic Warming to an Emerging North American Megadrought. Science 2020, 368, 314–318. [Google Scholar] [CrossRef]
- Sexstone, G.A.; Fassnacht, S.R.; López-Moreno, J.I.; Hiemstra, C.A. Subgrid Snow Depth Coefficient of Variation Spanning Alpine to Sub-Alpine Mountainous Terrain. CIG 2022, 48, 79–96. [Google Scholar] [CrossRef]
- Airborne Snow Observatory. Airborne Snow Observatory. Available online: https://www.airbornesnowobservatories.com (accessed on 24 June 2025).
- Jost, G.; Weiler, M.; Gluns, D.R.; Alila, Y. The Influence of Forest and Topography on Snow Accumulation and Melt at the Watershed-Scale. J. Hydrol. 2007, 347, 101–115. [Google Scholar] [CrossRef]
- López-Moreno, J.I.; Revuelto, J.; Gilaberte, M.; Morán-Tejeda, E.; Pons, M.; Jover, E.; Esteban, P.; García, C.; Pomeroy, J.W. The Effect of Slope Aspect on the Response of Snowpack to Climate Warming in the Pyrenees. Theor. Appl. Clim. 2014, 117, 207–219. [Google Scholar] [CrossRef]
- Follum, M.L.; Downer, C.W.; Niemann, J.D.; Roylance, S.M.; Vuyovich, C.M. A radiation-derived temperature-index snow routine for the GSSHA hydrologic model. J. Hydrol. 2015, 529, 723–736. [Google Scholar] [CrossRef]
- Rasmussen, R.M.; Chen, F.; Liu, C.H.; Ikeda, K.; Prein, A.; Kim, J.; Schneider, T.; Dai, A.; Gochis, D.; Dugger, A.; et al. CONUS404: The NCAR–USGS 4-km long-term regional hydroclimate reanalysis over the CONUS. Bull. Am. Meteorol. Soc. 2023, 104, E1382–E1408. [Google Scholar] [CrossRef]
- Barnhart, T.B.; Putman, A.L.; Heldmyer, A.J.; Rey, D.M.; Hammond, J.C.; Driscoll, J.M.; Sexstone, G.A. Evaluating distributed snow model resolution and meteorology parameterizations against streamflow observations: Finer is not always better. Water Resour. Res. 2024, 60, e2023WR035982. [Google Scholar] [CrossRef]
- Lynch, D. Falling. Track 11 on Soundtrack from Twin Peaks; Warner Bros.: Los Angeles, CA, USA, 1990. [Google Scholar]
- Heldmyer, A.; Barnhart, T.B.; Putman, A.L.; Hammond, J.C.; Rey, D.M.; Sexstone, G.A. SnowModel Simulations for the Fraser River, East River, and Senator Beck Basin, Colorado Using Multiple Spatial Resolutions and Meteorology Datasets [Dataset]; U.S. Geological Survey: Reston, VA, USA, 2024. [Google Scholar] [CrossRef]
- Sexstone, G.A.; Hammond, J.C.; Barnhart, T.B. High Resolution Current and Future Climate SnowModel Simulations in the Upper Colorado River; U.S. Geological Survey: Reston, VA, USA, 2023. [Google Scholar] [CrossRef]






| Location | Snow Variable | Statistic | Peak 1: All | 2009&2012 Removed | Peak 2: All | 2009&2012 Removed |
|---|---|---|---|---|---|---|
| SASP | SDD | R2 | 0.59 | 0.56 | 0.55 | 0.74 |
| NSE | −0.21 | −0.32 | −0.58 | 0.13 | ||
| slope | 0.534 | 0.558 | 0.576 | 0.721 | ||
| 50% of peak depth | R2 | 0.53 | 0.53 | 0.53 | 0.53 | |
| NSE | −2.89 | −2.67 | −7.91 | −4.64 | ||
| slope | 0.575 | 0.623 | 0.701 | 0.849 | ||
| SBSP | SDD | R2 | 0.64 | 0.60 | 0.47 | 0.77 |
| NSE | −2.00 | −2.48 | 0.04 | 0.67 | ||
| slope | 0.540 | 0.583 | 0.520 | 0.744 | ||
| 50% of peak depth | R2 | 0.77 | 0.75 | 0.77 | 0.75 | |
| NSE | 0.46 | 0.55 | −2.88 | 0.31 | ||
| slope | 0.669 | 0.705 | 0.580 | 0.744 | ||
| RMP | SDD | R2 | 0.67 | 0.65 | 0.54 | 0.71 |
| NSE | −0.72 | −0.94 | 0.01 | 0.49 | ||
| slope | 0.605 | 0.630 | 0.611 | 0.742 | ||
| 50% of peak depth | R2 | 0.80 | 0.81 | 0.80 | 0.81 | |
| NSE | 0.40 | 0.56 | −3.21 | 0.32 | ||
| slope | 0.723 | 0.791 | 0.660 | 0.833 |
Disclaimer/Publisher’s Note: The statements, opinions and data contained in all publications are solely those of the individual author(s) and contributor(s) and not of MDPI and/or the editor(s). MDPI and/or the editor(s) disclaim responsibility for any injury to people or property resulting from any ideas, methods, instructions or products referred to in the content. |
© 2025 by the authors. Licensee MDPI, Basel, Switzerland. This article is an open access article distributed under the terms and conditions of the Creative Commons Attribution (CC BY) license (https://creativecommons.org/licenses/by/4.0/).
Share and Cite
Doskocil, L.G.; Fassnacht, S.R.; Barnard, D.M.; Pfohl, A.K.D.; Derry, J.E.; Sanford, W.E. Twin-Peaks Streamflow Timing: Can We Use Forest and Alpine Snow Melt-Out Response to Estimate? Water 2025, 17, 2017. https://doi.org/10.3390/w17132017
Doskocil LG, Fassnacht SR, Barnard DM, Pfohl AKD, Derry JE, Sanford WE. Twin-Peaks Streamflow Timing: Can We Use Forest and Alpine Snow Melt-Out Response to Estimate? Water. 2025; 17(13):2017. https://doi.org/10.3390/w17132017
Chicago/Turabian StyleDoskocil, Lenka G., Steven R. Fassnacht, David M. Barnard, Anna K. D. Pfohl, Jeffrey E. Derry, and William E. Sanford. 2025. "Twin-Peaks Streamflow Timing: Can We Use Forest and Alpine Snow Melt-Out Response to Estimate?" Water 17, no. 13: 2017. https://doi.org/10.3390/w17132017
APA StyleDoskocil, L. G., Fassnacht, S. R., Barnard, D. M., Pfohl, A. K. D., Derry, J. E., & Sanford, W. E. (2025). Twin-Peaks Streamflow Timing: Can We Use Forest and Alpine Snow Melt-Out Response to Estimate? Water, 17(13), 2017. https://doi.org/10.3390/w17132017

