Evaluation of IMERG Precipitation Product Downscaling Using Nine Machine Learning Algorithms in the Qinghai Lake Basin
Abstract
1. Introduction
2. Materials and Methods
2.1. Study Area
2.2. Data Sources and Processing
2.3. Downscaling Methodology and Residual Correction
2.4. Machine-Learning Algorithms
2.5. Validation
2.5.1. Model Performance Validation
2.5.2. Accuracy Assessment of Downscaled Precipitation Datasets
2.5.3. Formulations
3. Results
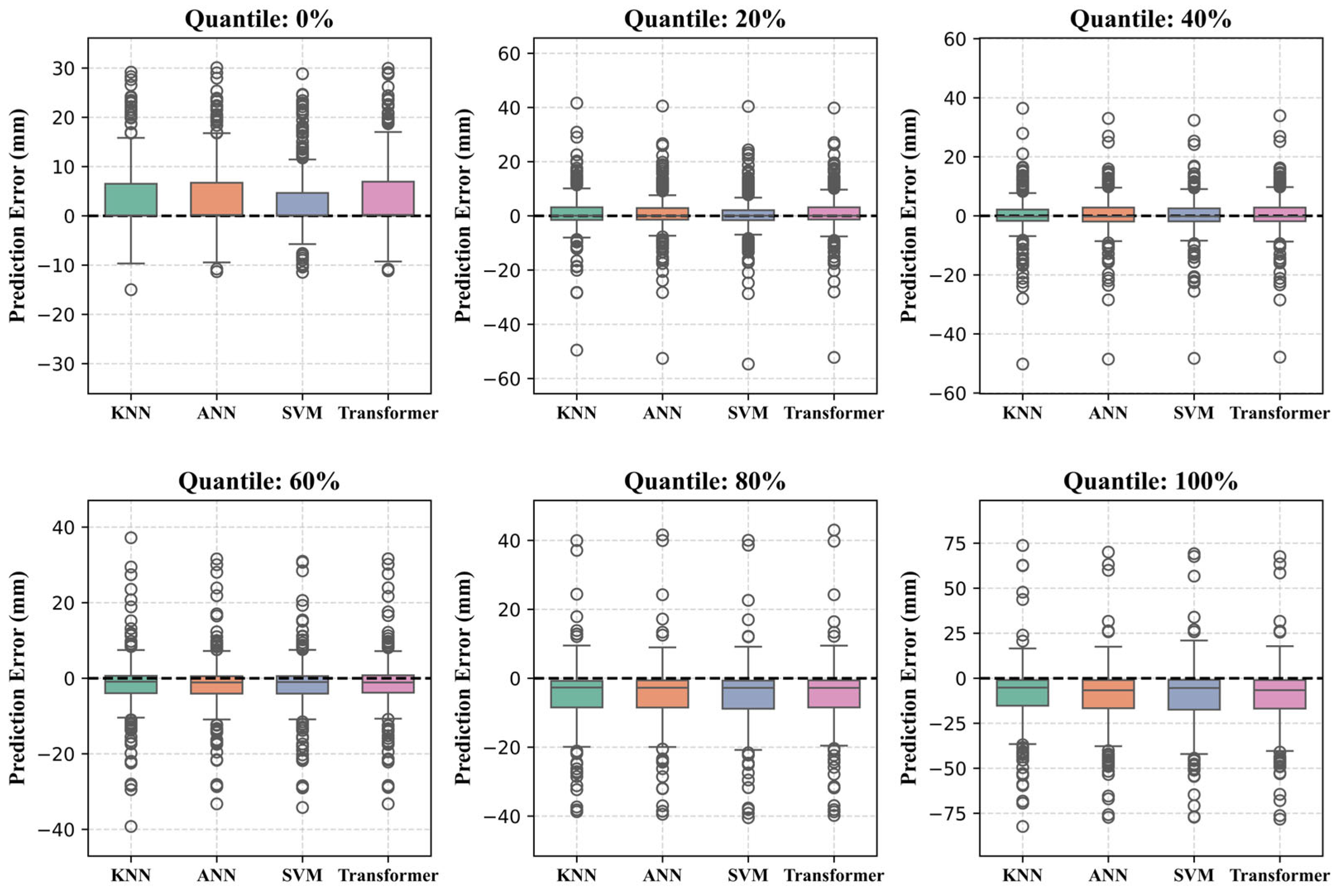
3.1. Model Performance Assessment
3.2. Precision Assessment of Downscaled Precipitation Datasets
3.3. Performance of Cold and Warm Seasons
4. Discussion
4.1. Value of ML Downscaling
4.2. Residual Analysis
4.3. Limitations and Prospects
5. Conclusions
Author Contributions
Funding
Data Availability Statement
Acknowledgments
Conflicts of Interest
References
- Li, X.; Che, T.; Tang, Y.; Duan, H.e.; Wang, G.; Zhang, X.; Yang, C.; Wu, J.; Zhang, Y.; Li, L. The shifts of precipitation phases and their impacts. Sci. China-Earth Sci. 2025, 68, 425–443. [Google Scholar] [CrossRef]
- Li, F.-F.; Lu, H.-L.; Wang, G.-Q.; Yao, Z.-Y.; Li, Q.; Qiu, J. Zoning of precipitation regimes on the Qinghai-Tibet Plateau and its surrounding areas responded by the vegetation distribution. Sci. Total Environ. 2022, 838, 13. [Google Scholar] [CrossRef] [PubMed]
- Luo, J.; Zheng, J.; Zhong, L.; Zhao, C.; Fu, Y. The Phenomenon of Diurnal Variations for Summer Deep Convective Precipitation over the Qinghai-Tibet Plateau and Its Southern Regions as Viewed by TRMM PR. Atmosphere 2021, 12, 20. [Google Scholar] [CrossRef]
- Lu, H.-L.; Li, F.-F.; Gong, T.-L.; Gao, Y.-H.; Li, J.-F.; Qiu, J. Reasons behind seasonal and monthly precipitation variability in the Qinghai-Tibet Plateau and its surrounding areas during 1979∼2017. J. Hydrol. 2023, 619, 19. [Google Scholar] [CrossRef]
- Li, Y.; Qin, X.; Liu, Y.; Jin, Z.; Liu, J.; Wang, L.; Chen, J. Evaluation of Long-Term and High-Resolution Gridded Precipitation and Temperature Products in the Qilian Mountains, Qinghai-Tibet Plateau. Front. Environ. Sci. 2022, 10, 16. [Google Scholar] [CrossRef]
- Zhang, L.-L.; Gao, L.-M.; Chen, J.; Zhao, L.; Chen, K.-L.; Zhao, J.-Y.; Liu, G.-J.; Song, T.-X.; Li, Y.-K. Testing the transfer functions for the Geonor T-200B and Chinese standard precipitation gauge in the central Qinghai-Tibet Plateau. J. Mt. Sci. 2022, 19, 1974–1987. [Google Scholar] [CrossRef]
- Gao, L.; Chen, J.; Zhang, Y.; Zhang, L.; Mao, X. Evaluation of TPMFD and CRA/Land precipitation data performance compared to IMERG V07 on the Tibetan Plateau using non-CMA stations. Atmos. Res. 2025, 322, 108123. [Google Scholar] [CrossRef]
- Chen, Y.; Huang, J.; Sheng, S.; Mansaray, L.R.; Liu, Z.; Wu, H.; Wang, X. A new downscaling-integration framework for high-resolution monthly precipitation estimates: Combining rain gauge observations, satellite-derived precipitation data and geographical ancillary data. Remote Sens. Environ. 2018, 214, 154–172. [Google Scholar] [CrossRef]
- Sinha, P.; Mann, M.E.; Fuentes, J.D.; Mejia, A.; Ning, L.; Sun, W.; He, T.; Obeysekera, J. Downscaled rainfall projections in south Florida using self-organizing maps. Sci. Total Environ. 2018, 635, 1110–1123. [Google Scholar] [CrossRef]
- Villarini, G.; Mandapaka, P.V.; Krajewski, W.F.; Moore, R.J. Rainfall and sampling uncertainties: A rain gauge perspective. J. Geophys. Res. Atmos. 2008, 113, 12. [Google Scholar] [CrossRef]
- Reddy, P.J.; Matear, R.; Taylor, J.; Thatcher, M.; Grose, M. A precipitation downscaling method using a super-resolution deconvolution neural network with step orography. Environ. Data Sci. 2023, 2, 10. [Google Scholar] [CrossRef]
- Wang, H.; Li, Z.; Zhang, T.; Chen, Q.Q.; Guo, X.; Zeng, Q.Y.; Xiang, J. Downscaling of GPM satellite precipitation products based on machine learning method in complex terrain and limited observation area. Adv. Space Res. 2023, 72, 2226–2244. [Google Scholar] [CrossRef]
- Duan, Z.; Bastiaanssen, W.G.M. First results from Version 7 TRMM 3B43 precipitation product in combination with a new downscaling-calibration procedure. Remote Sens. Environ. 2013, 131, 1–13. [Google Scholar] [CrossRef]
- Zhang, L.; Xu, Y.; Meng, C.; Li, X.; Liu, H.; Wang, C. Comparison of Statistical and Dynamic Downscaling Techniques in Generating High-Resolution Temperatures in China from CMIP5 GCMs. J. Appl. Meteorol. Climatol. 2020, 59, 207–235. [Google Scholar] [CrossRef]
- Wang, F.; Tian, D.; Lowe, L.; Kalin, L.; Lehrter, J. Deep Learning for Daily Precipitation and Temperature Downscaling. Water Resour. Res. 2021, 57, 21. [Google Scholar] [CrossRef]
- Wang, J.; Xu, Y.P.; Yang, L.; Wang, Q.; Yuan, J.; Wang, Y.F. Data Assimilation of High-Resolution Satellite Rainfall Product Improves Rainfall Simulation Associated with Landfalling Tropical Cyclones in the Yangtze River Delta. Remote Sens. 2020, 12, 20. [Google Scholar] [CrossRef]
- Barker, D.M.; Huang, W.; Guo, Y.R.; Bourgeois, A.J.; Xiao, Q.N. A three-dimensional variational data assimilation system for MM5: Implementation and initial results. Mon. Weather. Rev. 2004, 132, 897–914. [Google Scholar] [CrossRef]
- Koizumi, K.; Ishikawa, Y.; Tsuyuki, T. Assimilation of Precipitation Data to the JMA Mesoscale Model with a Four-dimensional Variational Method and its Impact on Precipitation Forecasts. Sola 2005, 1, 45–48. [Google Scholar] [CrossRef]
- Shashikanth, K.; Madhusoodhanan, C.G.; Ghosh, S.; Eldho, T.I.; Rajendran, K.; Murtugudde, R. Comparing statistically downscaled simulations of Indian monsoon at different spatial resolutions. J. Hydrol. 2014, 519, 3163–3177. [Google Scholar] [CrossRef]
- Sathianarayanan, M.; Hsu, P.-H. Spatial downscaling of gpm imerg v06 gridded precipitation using machine learning algorithms. Int. Arch. Photogramm. Remote Sens. Spat. Inf. Sci. 2023, 48, 327–332. [Google Scholar] [CrossRef]
- Kofidou, M.; Stathopoulos, S.; Gemitzi, A. Review on spatial downscaling of satellite derived precipitation estimates. Environ. Earth Sci. 2023, 82, 33. [Google Scholar] [CrossRef]
- Niazkar, M.; Goodarzi, M.R.; Fatehifar, A.; Abedi, M.J. Machine learning-based downscaling: Application of multi-gene genetic programming for downscaling daily temperature at Dogonbadan, Iran, under CMIP6 scenarios. Theor. Appl. Climatol. 2023, 151, 153–168. [Google Scholar] [CrossRef]
- Baghanam, A.H.; Eslahi, M.; Sheikhbabaei, A.; Seifi, A.J. Assessing the impact of climate change over the northwest of Iran: An overview of statistical downscaling methods. Theor. Appl. Climatol. 2020, 141, 1135–1150. [Google Scholar] [CrossRef]
- Shirali, E.; Nikbakht Shahbazi, A.; Fathian, H.; Zohrabi, N.; Mobarak Hassan, E. Evaluation of WRF and artificial intelligence models in short-term rainfall, temperature and flood forecast (case study). J. Earth Syst. Sci. 2020, 129, 16. [Google Scholar] [CrossRef]
- Noor, R.; Arshad, A.; Shafeeque, M.; Liu, J.; Baig, A.; Ali, S.; Maqsood, A.; Pham, Q.B.; Dilawar, A.; Khan, S.N.; et al. Combining APHRODITE Rain Gauges-Based Precipitation with Downscaled-TRMM Data to Translate High-Resolution Precipitation Estimates in the Indus Basin. Remote Sens. 2023, 15, 27. [Google Scholar] [CrossRef]
- Raje, D.; Mujumdar, P.P. A comparison of three methods for downscaling daily precipitation in the Punjab region. Hydrol. Process. 2011, 25, 3575–3589. [Google Scholar] [CrossRef]
- Ghorbanpour, A.K.; Hessels, T.; Moghim, S.; Afshar, A. Comparison and assessment of spatial downscaling methods for enhancing the accuracy of satellite-based precipitation over Lake Urmia Basin. J. Hydrol. 2021, 596, 12. [Google Scholar] [CrossRef]
- Alexakis, D.D.; Tsanis, I.K. Comparison of multiple linear regression and artificial neural network models for downscaling TRMM precipitation products using MODIS data. Environ. Earth Sci. 2016, 75, 13. [Google Scholar] [CrossRef]
- Ali, S.; Khorrami, B.; Jehanzaib, M.; Tariq, A.; Ajmal, M.; Arshad, A.; Shafeeque, M.; Dilawar, A.; Basit, I.; Zhang, L.; et al. Spatial Downscaling of GRACE Data Based on XGBoost Model for Improved Understanding of Hydrological Droughts in the Indus Basin Irrigation System (IBIS). Remote Sens. 2023, 15, 28. [Google Scholar] [CrossRef]
- Nasseri, M.; Tavakol-Davani, H.; Zahraie, B. Performance assessment of different data mining methods in statistical downscaling of daily precipitation. J. Hydrol. 2013, 492, 15. [Google Scholar] [CrossRef]
- Sharifi, E.; Saghafian, B.; Steinacker, R. Downscaling Satellite Precipitation Estimates With Multiple Linear Regression, Artificial Neural Networks, and Spline Interpolation Techniques. J. Geophys. Res. Atmos. 2019, 124, 789–805. [Google Scholar] [CrossRef]
- Cheng, J.; Kuang, Q.; Shen, C.; Liu, J.; Tan, X.; Liu, W. ResLap: Generating High-Resolution Climate Prediction Through Image Super-Resolution. IEEE Access 2020, 8, 39623–39634. [Google Scholar] [CrossRef]
- Yang, F.; Ye, Q.; Wang, K.; Sun, L. Successful Precipitation Downscaling Through an Innovative Transformer-Based Model. Remote Sens. 2024, 16, 20. [Google Scholar] [CrossRef]
- Cui, B.-L.; Li, X.-Y. Stable isotopes reveal sources of precipitation in the Qinghai Lake Basin of the northeastern Tibetan Plateau. Sci. Total Environ. 2015, 527, 26–37. [Google Scholar] [CrossRef]
- Ma, Y.-J.; Li, X.-Y.; Liu, L.; Yang, X.-F.; Wu, X.-C.; Wang, P.; Lin, H.; Zhang, G.-H.; Miao, C.-Y. Evapotranspiration and its dominant controls along an elevation gradient in the Qinghai Lake watershed, northeast Qinghai-Tibet Plateau. J. Hydrol. 2019, 575, 257–268. [Google Scholar] [CrossRef]
- Xu, H.; Hou, Z.H.; Ai, L.; Tan, L.C. Precipitation at Lake Qinghai, NE Qinghai-Tibet Plateau, and its relation to Asian summer monsoons on decadal/interdecadal scales during the past 500 years. Paleogeogr. Paleoclimatol. Paleoecol. 2007, 254, 541–549. [Google Scholar] [CrossRef]
- Li, X.; Zhang, T.; Yang, D.; Wang, G.; He, Z.; Li, L. Research on lake water level and its response to watershed climate change in Qinghai Lake from 1961 to 2019. Front. Environ. Sci. 2023, 11, 10. [Google Scholar] [CrossRef]
- Wang, Z.; Cao, S.; Cao, G.; Lan, Y. Effects of vegetation phenology on vegetation productivity in the Qinghai Lake Basin of the Northeastern Qinghai–Tibet Plateau. Arab. J. Geosci. 2021, 14, 1030. [Google Scholar] [CrossRef]
- Liu, S.; Che, T.; Xu, Z.; Zhang, Y.; Tan, J.; Ren, Z. A dataset of carbon-water vapor fluxes and meteorological observations in the upper reaches of Heihe river basin from 2013 to 2022. China Sci. Data 2024, 9, 1–11. [Google Scholar] [CrossRef]
- Li, D.H.; Qi, Y.C.; Chen, D.L. Changes in rain and snow over the Tibetan Plateau based on IMERG and Ground-based observation. J. Hydrol. 2022, 606, 12. [Google Scholar] [CrossRef]
- Lu, M.Y.; Huang, Z.Y.; Yu, M.Z.; Liu, H.; He, C.F.; Jin, C.W.; Zhang, J.K. MGCPN: An Efficient Deep Learning Model for Tibetan Plateau Precipitation Nowcasting Based on the IMERG Data. J. Meteorol. Res. 2024, 38, 693–707. [Google Scholar] [CrossRef]
- Xu, R.; Tian, F.Q.; Yang, L.; Hu, H.C.; Lu, H.; Hou, A.Z. Ground validation of GPM IMERG and TRMM 3B42V7 rainfall products over southern Tibetan Plateau based on a high-density rain gauge network. J. Geophys. Res. Atmos. 2017, 122, 910–924. [Google Scholar] [CrossRef]
- Grist, J.; Nicholson, S.E.; Mpolokang, A. On the use of NDVI for estimating rainfall fields in the Kalahari of Botswana. J. Arid. Environ. 1997, 35, 195–214. [Google Scholar] [CrossRef]
- Gao, J.; Shi, Y.; Zhang, H.; Chen, X.; Zhang, W.; Shen, W.; Xiao, T.; Zhang, Y. China regional 250m normalized difference vegetation index data set (2000–2023). Natl. Tibet. Plateau Third Pole Environ. Data Cent. 2024. [Google Scholar] [CrossRef]
- Xu, S.; Wu, C.; Wang, L.; Gonsamo, A.; Shen, Y.; Niu, Z. A new satellite-based monthly precipitation downscaling algorithm with non-stationary relationship between precipitation and land surface characteristics. Remote Sens. Environ. 2015, 162, 119–140. [Google Scholar] [CrossRef]
- Zhang, T.; Li, B.; Yuan, Y.; Gao, X.; Sun, Q.; Xu, L.; Jiang, Y. Spatial downscaling of TRMM precipitation data considering the impacts of macro-geographical factors and local elevation in the Three-River Check for updates Headwaters Region. Remote Sens. Environ. 2018, 215, 109–127. [Google Scholar] [CrossRef]
- Shen, Z.; Yong, B. Downscaling the GPM-based satellite precipitation retrievals using gradient boosting decision tree approach over Mainland China. J. Hydrol. 2021, 602, 12. [Google Scholar] [CrossRef]
- Wilby, R.L.; Wigley, T.M.L.; Conway, D.; Jones, P.D.; Hewitson, B.C.; Main, J.; Wilks, D.S. Statistical downscaling of general circulation model output: A comparison of methods. Water Resour. Res. 1998, 34, 2995–3008. [Google Scholar] [CrossRef]
- Rad, A.K.; Nematollahi, M.J.; Pak, A.; Mahmoudi, M. Predictive modeling of air quality in the Tehran megacity via deep learning techniques. Sci. Rep. 2025, 15, 20. [Google Scholar] [CrossRef]
- Patra, S.R.; Chu, H.-J. Convolutional long short-term memory neural network for groundwater change prediction. Front. Water 2024, 6, 18. [Google Scholar] [CrossRef]
- Shi, X.J.; Chen, Z.R.; Wang, H.; Yeung, D.Y.; Wong, W.K.; Woo, W.C. Convolutional LSTM Network: A Machine Learning Approach for Precipitation Nowcasting. In Proceedings of the 29th Annual Conference on Neural Information Processing Systems (NIPS), Montreal, QC, Canada, 7–12 December 2015. [Google Scholar]
- Xu, L.; Zhang, X.H.; Yu, H.C.; Chen, Z.Q.; Du, W.Y.; Chen, N.C. Incorporating spatial autocorrelation into deformable ConvLSTM for hourly precipitation forecasting. Comput. Geosci. 2024, 184, 12. [Google Scholar] [CrossRef]
- Boulila, W.; Ghandorh, H.; Khan, M.A.; Ahmed, F.; Ahmad, J. A novel CNN-LSTM-based approach to predict urban expansion. Ecol. Inform. 2021, 64, 13. [Google Scholar] [CrossRef]
- Rudy, S.H.; Sapsis, T.P. Output-weighted and relative entropy loss functions for deep learning precursors of extreme events. Phys. D 2023, 443, 12. [Google Scholar] [CrossRef]
- Durrani, A.U.R.; Minallah, N.; Aziz, N.; Frnda, J.; Khan, W.; Nedoma, J. Effect of hyper-parameters on the performance of ConvLSTM based deep neural network in crop classification. PLoS ONE 2023, 18, 18. [Google Scholar] [CrossRef]
- Hu, W.S.; Li, H.C.; Deng, Y.J.; Sun, X.; Du, Q.; Plaza, A. Lightweight Tensor Attention-Driven ConvLSTM Neural Network for Hyperspectral Image Classification. IEEE J. Sel. Top. Signal Process. 2021, 15, 734–745. [Google Scholar] [CrossRef]
- Choi, S.R.; Lee, M. Transformer Architecture and Attention Mechanisms in Genome Data Analysis: A Comprehensive Review. Biol. Basel 2023, 12, 29. [Google Scholar] [CrossRef]
- Karita, S.; Chen, N.X.; Hayashi, T.; Hori, T.; Inaguma, H.; Jiang, Z.Y.; Someki, M.; Soplin, N.E.Y.; Yamamoto, R.; Wang, X.F.; et al. A Comparative Study on Transformer vs RNN in Speech Applications. In Proceedings of the IEEE Automatic Speech Recognition and Understanding Workshop (ASRU), Guadeloupe, France, 15–18 December 2019. [Google Scholar]
- Ganesh, P.; Chen, Y.; Lou, X.; Khan, M.A.; Yang, Y.; Sajjad, H.; Nakov, P.; Chen, D.M.; Winslett, M. Compressing Large-Scale Transformer-Based Models: A Case Study on BERT. Trans. Assoc. Comput. Linguist. 2021, 9, 1061–1080. [Google Scholar] [CrossRef]
- Yang, J.J.; Wan, H.B.; Shang, Z.H. Enhanced hybrid CNN and transformer network for remote sensing image change detection. Sci. Rep. 2025, 15, 15. [Google Scholar] [CrossRef]
- He, X.; Chaney, N.W.; Schleiss, M.; Sheffield, J. Spatial downscaling of precipitation using adaptable random forests. Water Resour. Res. 2016, 52, 8217–8237. [Google Scholar] [CrossRef]
- Gibson, P.B.; Chapman, W.E.; Altinok, A.; Delle Monache, L.; DeFlorio, M.J.; Waliser, D.E. Training machine learning models on climate model output yields skillful interpretable seasonal precipitation forecasts. Commun. Earth Environ. 2021, 2, 13. [Google Scholar] [CrossRef]
- Belitz, K.; Stackelberg, P.E. Evaluation of six methods for correcting bias in estimates from ensemble tree machine learning regression models. Environ. Modell. Softw. 2021, 139, 12. [Google Scholar] [CrossRef]
- Genuer, R.; Poggi, J.M.; Tuleau-Malot, C.; Villa-Vialaneix, N. Random Forests for Big Data. Big Data Res. 2017, 9, 28–46. [Google Scholar] [CrossRef]
- Lei, H.; Li, H.; Zhao, H. Refining daily precipitation estimates using machine learning and multi-source data in alpine regions with unevenly distributed gauges. J. Hydrol. Reg. Stud. 2025, 58, 20. [Google Scholar] [CrossRef]
- Syahputra, A.A.; Saputro, R.E. Application of the XGBoost Model with Hyperparameter Tuning for Industry Classification for Job Applicants. Sink. J. Dan. Penelit. Tek. Inform. 2024, 8, 1920–1931. [Google Scholar] [CrossRef]
- Wiens, M.; Verone-Boyle, A.; Henscheid, N.; Podichetty, J.T.; Burton, J. A Tutorial and Use Case Example of the eXtreme Gradient Boosting (XGBoost) Artificial Intelligence Algorithm for Drug Development Applications. CTS Clin. Transl. Sci. 2025, 18, 14. [Google Scholar] [CrossRef]
- Mehrotra, R.; Sharma, A.; Cordery, I. Comparison of two approaches for downscaling synoptic atmospheric patterns to multisite precipitation occurrence. J. Geophys. Res. Atmos. 2004, 109, D14. [Google Scholar] [CrossRef]
- Halder, R.K.; Uddin, M.N.; Uddin, M.A.; Aryal, S.; Khraisat, A. Enhancing K-nearest neighbor algorithm: A comprehensive review and performance analysis of modifications. J. Big Data 2024, 11, 55. [Google Scholar] [CrossRef]
- Guo, G.D.; Wang, H.; Bell, D.; Bi, Y.X.; Greer, K. KNN model-based approach in classification. In On the Move To Meaningful Internet Systems 2003: Coopis, Doa, and Odbase; Lecture Notes in Computer Science; Springer: Berlin, Germany, 2003; Volume 2888, pp. 986–996. [Google Scholar]
- Uddin, S.; Haque, I.; Lu, H.H.; Moni, M.A.; Gide, E. Comparative performance analysis of K-nearest neighbour (KNN) algorithm and its different variants for disease prediction. Sci. Rep. 2022, 12, 11. [Google Scholar] [CrossRef]
- Tripathi, S.; Srinivas, V.V.; Nanjundiah, R.S. Dowinscaling of precipitation for climate change scenarios: A support vector machine approach. J. Hydrol. 2006, 330, 621–640. [Google Scholar] [CrossRef]
- Huang, S.J.; Cai, N.G.; Pacheco, P.P.; Narandes, S.; Wang, Y.; Xu, W.N. Applications of Support Vector Machine (SVM) Learning in Cancer Genomics. Cancer Genom. Proteom. 2018, 15, 41–51. [Google Scholar] [CrossRef]
- Razzaghi, T.; Safro, I. Scalable Multilevel Support Vector Machines. In Proceedings of the 15th Annual International Conference on Computational Science (ICCS), Reykjavik, Iceland, 1–3 June 2015. [Google Scholar]
- Wang, X.S.; Huang, F.; Cheng, Y.H. Computational performance optimization of support vector machine based on support vectors. Neurocomputing 2016, 211, 66–71. [Google Scholar] [CrossRef]
- He, K.M.; Zhang, X.Y.; Ren, S.Q.; Sun, J. Deep Residual Learning for Image Recognition. In Proceedings of the 2016 IEEE Conference on Computer Vision and Pattern Recognition (CVPR), Seattle, WA, USA, 27–30 June 2016; pp. 770–778. [Google Scholar]
- Huang, S.Q.; Lu, Y.; Wang, W.Q.; Sun, K. Multi-scale guided feature extraction and classification algorithm for hyperspectral images. Sci. Rep. 2021, 11, 13. [Google Scholar] [CrossRef] [PubMed]
- Wang, S.Q.; Zhang, M.; Miao, M.J. The super-resolution reconstruction algorithm of multi-scale dilated convolution residual network. Front. Neurorobot. 2024, 18, 10. [Google Scholar] [CrossRef] [PubMed]
- Ji, Y.; Gong, B.; Langguth, M.; Mozaffari, A.; Zhi, X. CLGAN: A generative adversarial network (GAN)-based video prediction model for precipitation nowcasting. Geosci. Model. Dev. 2023, 16, 2737–2752. [Google Scholar] [CrossRef]
- Besombes, C.; Pannekoucke, O.; Lapeyre, C.; Sanderson, B.; Thual, O. Producing realistic climate data with generative adversarial networks. Nonlinear Process Geophys. 2021, 28, 347–370. [Google Scholar] [CrossRef]
- Lee, J.; Park, S.Y. WGAN-GP-Based Conditional GAN (cGAN) With Extreme Critic for Precipitation Downscaling in a Key Agricultural Region of the Northeastern US. IEEE Access 2025, 13, 46030–46041. [Google Scholar] [CrossRef]
- Hah, J.; Lee, W.; Lee, J.; Park, S. Information-Based Boundary Equilibrium Generative Adversarial Networks with Interpretable Representation Learning. Comput. Intell. Neurosci. 2018, 2018, 14. [Google Scholar] [CrossRef]
- Zhang, Z.Y.; Li, M.Y.; Yu, J.; Assoc Comp, M. On the Convergence and Mode Collapse of GAN. In Proceedings of the 11th ACM SIGGRAPH Conference and Exhibition on Computer Graphics and Interactive Techniques in Asia (SA), Tokyo, Japan, 4–7 December 2018. [Google Scholar]
- Stone, M. Cross-validatory choice and assessment of statistical predictions. J. R. Stat. Soc. Ser. B 1974, 36, 111–133. [Google Scholar] [CrossRef]
- Diego Rodriguez, J.; Perez, A.; Antonio Lozano, J. Sensitivity Analysis of k-Fold Cross Validation in Prediction Error Estimation. IEEE Trans. Pattern Anal. Mach. Intell. 2010, 32, 569–575. [Google Scholar] [CrossRef]
- Fushiki, T. Estimation of prediction error by using K-fold cross-validation. Stat. Comput. 2011, 21, 137–146. [Google Scholar] [CrossRef]
- Wong, T.-T.; Yeh, P.-Y. Reliable Accuracy Estimates from k-Fold Cross Validation. IEEE Trans. Knowl. Data Eng. 2020, 32, 1586–1594. [Google Scholar] [CrossRef]
- Zhang, L.; Gao, L.; Chen, J.; Zhao, L.; Zhao, J.; Qiao, Y.; Shi, J. Comprehensive evaluation of mainstream gridded precipitation datasets in the cold season across the Tibetan Plateau. J. Hydrol. Reg. Stud. 2022, 43, 18. [Google Scholar] [CrossRef]
- Cindrić, K.; Juras, J.; Pasarić, Z. On precipitation monitoring with theoretical statistical distributions. Theor. Appl. Climatol. 2019, 136, 145–156. [Google Scholar] [CrossRef]
- Harris, L.; McRae, A.T.T.; Chantry, M.; Dueben, P.D.; Palmer, T.N. A Generative Deep Learning Approach to Stochastic Downscaling of Precipitation Forecasts. J. Adv. Model. Earth Syst. 2022, 14, 27. [Google Scholar] [CrossRef]
- Alsafadi, K.; Bi, S.B.; Bashir, B.; Sharifi, E.; Alsalman, A.; Kumar, A.; Shahid, S. High-Resolution Precipitation Modeling in Complex Terrains Using Hybrid Interpolation Techniques: Incorporating Physiographic and MODIS Cloud Cover Influences. Remote Sens. 2023, 15, 26. [Google Scholar] [CrossRef]
- Opitz-Stapleton, S.; Gangopadhyay, S. A non-parametric, statistical downscaling algorithm applied to the Rohini River Basin, Nepal. Theor. Appl. Climatol. 2011, 103, 375–386. [Google Scholar] [CrossRef]
- Yang, Z.D.; Liu, P.; Yang, Y. Convective/Stratiform Precipitation Classification Using Ground-Based Doppler Radar Data Based on the K-Nearest Neighbor Algorithm. Remote Sens. 2019, 11, 18. [Google Scholar] [CrossRef]
- Iwasaki, H. NDVI prediction over Mongolian grassland using GSMaP precipitation data and JRA-25/JCDAS temperature data. J. Arid. Environ. 2009, 73, 557–562. [Google Scholar] [CrossRef]
- Ma, Z.Q.; Shi, Z.; Zhou, Y.; Xu, J.F.; Yu, W.; Yang, Y.Y. A spatial data mining algorithm for downscaling TMPA 3B43 V7 data over the Qinghai-Tibet Plateau with the effects of systematic anomalies removed. Remote Sens. Environ. 2017, 200, 378–395. [Google Scholar] [CrossRef]
- Spracklen, D.V.; Arnold, S.R.; Taylor, C.M. Observations of increased tropical rainfall preceded by air passage over forests. Nature 2012, 489, 282–285. [Google Scholar] [CrossRef]
- Dong, J.H.; Zeng, W.Z.; Wu, L.F.; Huang, J.S.; Gaiser, T.; Srivastava, A.K. Enhancing short-term forecasting of daily precipitation using numerical weather prediction bias correcting with XGBoost in different regions of China. Eng. Appl. Artif. Intell. 2023, 117, 22. [Google Scholar] [CrossRef]
- Lainder, A.D.; Wolfinger, R.D. Forecasting with gradient boosted trees: Augmentation, tuning, and cross-validation strategies Winning solution to the M5 Uncertainty competition. Int. J. Forecast. 2022, 38, 1426–1433. [Google Scholar] [CrossRef]
- Chen, T.Q.; Guestrin, C.; Assoc Comp, M. XGBoost: A Scalable Tree Boosting System. In Proceedings of the 22nd ACM SIGKDD International Conference on Knowledge Discovery and Data Mining (KDD), San Francisco, CA, USA, 13–17 August 2016. [Google Scholar]
- Alsahaf, A.; Petkov, N.; Shenoy, V.; Azzopardi, G. A framework for feature selection through boosting. Expert. Syst. Appl. 2022, 187, 10. [Google Scholar] [CrossRef]
- Fauzan, M.A.; Murfi, H. The Accuracy of XGBoost for Insurance Claim Prediction. Int. J. Adv. Soft Comput. Its Appl. 2018, 10, 159–171. [Google Scholar]
- Cai, Y.X.; Huang, C.Y.; Zheng, F.Q.; Li, G.T.; Lai, S.; Zhu, L.Y.; Zhu, Q.Y. Predicting Tropical Cyclone Extreme Rainfall in Guangxi, China: An Interpretable Machine Learning Framework Addressing Class Imbalance and Feature Optimization. Meteorol. Appl. 2025, 32, 23. [Google Scholar] [CrossRef]
- Ma, Z.Q.; Zhou, L.Q.; Yu, W.; Yang, Y.Y.; Teng, H.F.; Shi, Z. Improving TMPA 3B43 V7 Data Sets Using Land-Surface Characteristics and Ground Observations on the Qinghai-Tibet Plateau. IEEE Geosci. Remote Sens. Lett. 2018, 15, 178–182. [Google Scholar] [CrossRef]
- Tang, G.Q.; Long, D.; Hong, Y. Systematic Anomalies Over Inland Water Bodies of High Mountain Asia in TRMM Precipitation Estimates: No Longer a Problem for the GPM Era? IEEE Geosci. Remote Sens. Lett. 2016, 13, 1762–1766. [Google Scholar] [CrossRef]
- Gan, Y.S.; Li, Y.C.; Wang, L.H.; Zhao, L.; Fan, L.; Xu, H.C.; Yin, Z. Machine-learning downscaling of GPM satellite precipitation products in mountainous regions: A case study in Chongqing. Atmos. Res. 2024, 311, 13. [Google Scholar] [CrossRef]
- Hess, P.; Drüke, M.; Petri, S.; Strnad, F.M.; Boers, N. Physically constrained generative adversarial networks for improving precipitation fields from Earth system models. Nat. Mach. Intell. 2022, 4, 828–839. [Google Scholar] [CrossRef]
- Jarvis, C.H.; Stuart, N. A comparison among strategies for interpolating maximum and minimum daily air temperatures. Part II: The interaction between number of guiding variables and the type of interpolation method. J. Appl. Meteorol. 2001, 40, 1075–1084. [Google Scholar] [CrossRef]
- Kashinath, K.; Mustafa, M.; Albert, A.; Wu, J.L.; Jiang, C.; Esmaeilzadeh, S.; Azizzadenesheli, K.; Wang, R.; Chattopadhyay, A.; Singh, A.; et al. Physics-informed machine learning: Case studies for weather and climate modelling. Philos. Trans. R. Soc. A Math. Phys. Eng. Sci. 2021, 379, 36. [Google Scholar] [CrossRef] [PubMed]
- Smith, R.B.; Barstad, I. A linear theory of orographic precipitation. J. Atmos. Sci. 2004, 61, 1377–1391. [Google Scholar] [CrossRef]
- Zhu, H.; Zhou, Q.; Krisp, J.M. Exploring machine learning approaches for precipitation downscaling. Geo-Spat. Inf. Sci. 2025, 1–17. [Google Scholar] [CrossRef]














Disclaimer/Publisher’s Note: The statements, opinions and data contained in all publications are solely those of the individual author(s) and contributor(s) and not of MDPI and/or the editor(s). MDPI and/or the editor(s) disclaim responsibility for any injury to people or property resulting from any ideas, methods, instructions or products referred to in the content. |
© 2025 by the authors. Licensee MDPI, Basel, Switzerland. This article is an open access article distributed under the terms and conditions of the Creative Commons Attribution (CC BY) license (https://creativecommons.org/licenses/by/4.0/).
Share and Cite
Lei, K.; Zhang, L.; Gao, L. Evaluation of IMERG Precipitation Product Downscaling Using Nine Machine Learning Algorithms in the Qinghai Lake Basin. Water 2025, 17, 1776. https://doi.org/10.3390/w17121776
Lei K, Zhang L, Gao L. Evaluation of IMERG Precipitation Product Downscaling Using Nine Machine Learning Algorithms in the Qinghai Lake Basin. Water. 2025; 17(12):1776. https://doi.org/10.3390/w17121776
Chicago/Turabian StyleLei, Ke, Lele Zhang, and Liming Gao. 2025. "Evaluation of IMERG Precipitation Product Downscaling Using Nine Machine Learning Algorithms in the Qinghai Lake Basin" Water 17, no. 12: 1776. https://doi.org/10.3390/w17121776
APA StyleLei, K., Zhang, L., & Gao, L. (2025). Evaluation of IMERG Precipitation Product Downscaling Using Nine Machine Learning Algorithms in the Qinghai Lake Basin. Water, 17(12), 1776. https://doi.org/10.3390/w17121776

