Calibration and Validation of the BMWP Index for the Assessment of Fluvial Systems in High Andean Mining Areas of Peru
Abstract
1. Introduction
2. Materials and Methods
2.1. Study Area
2.1.1. Caballo Moro Zone
2.1.2. Perejil Zone
2.1.3. Chuyugual Zone
2.2. Data Collection
2.3. Analysis of Physical and Chemical Parameters
2.4. Macroinvertebrate Sampling
2.5. BMWP Calibration
2.6. BMWP Validation
2.7. Statistical Analysis
3. Results and Discussion
3.1. Acidification Evidence
3.2. Physicochemical Quality Index
3.3. Bioindication Values
3.4. BMWP Quality Categories
3.5. Validation
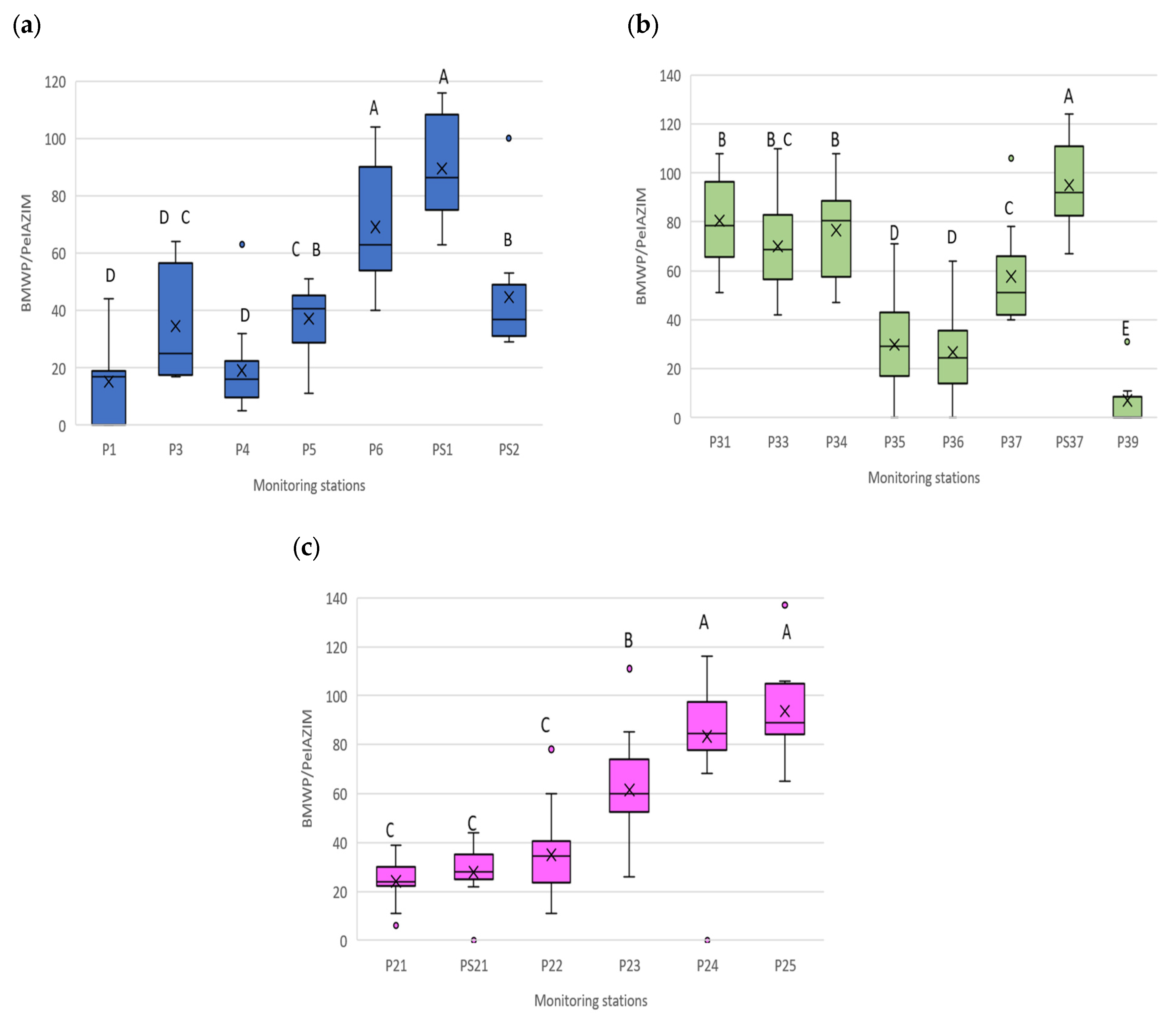
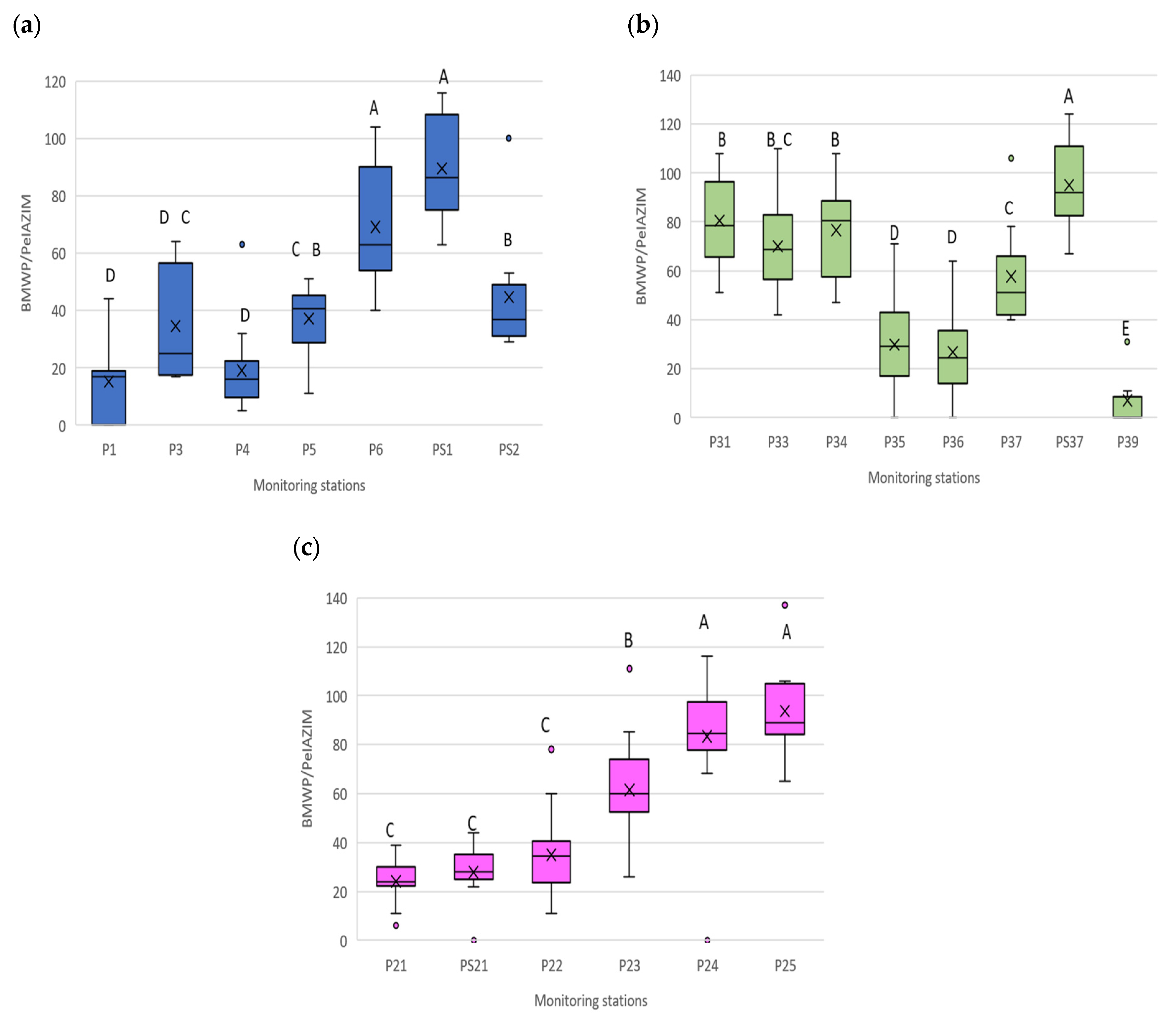
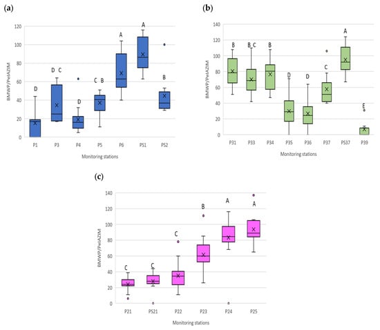
3.6. BMWP/PeIAZIM for the Chuyugual, Perejil, and Caballo Moro Zones
3.7. Analysis of Stations Without Mining Influence Versus Stations Influenced by Mining Activities
3.7.1. Perejil Zone
3.7.2. Chuyugual Zone
3.7.3. Caballo Moro Zone
4. Conclusions
5. Future Directions
Supplementary Materials
Author Contributions
Funding
Data Availability Statement
Acknowledgments
Conflicts of Interest
References
- Young, K. Introduction to Andean geographie. In Climate Change and Biodiversity in the Tropical Andes; Herzog, S.K., Martínez, R., Jørgensen, P.M., Eds.; Inter-American Institute for Global Change Research and Scientific Committee on Problems of the Environment: Clayton, Panama, 2011; pp. 128–140. [Google Scholar]
- Argollo, J. Aspectos geológicos. In Botánica Económica de los Andes Centrales; Moraes, M., Øllgaard, B., Kvist, L., Borchsenius, F., Balslev, H., Eds.; Universidad Mayor de San Andrés: La Paz, Bolivia, 2006. [Google Scholar]
- Myers, N.; Mittermeier, R.A.; Mittermeier, C.G.; Da Fonseca, G.A.B.; Kent, J. Biodiversity hotspots for conservation priorities. Nature 2000, 403, 853–858. [Google Scholar] [CrossRef] [PubMed]
- Churchill, S.P.; Balslev, H.; Forero, E.; Luteyn, J.L. (Eds.) Biodiversity and Conservation of Neotropical Montane Forests; New York Botanical Garden: New York, NY, USA, 1995; 702p. [Google Scholar]
- Carrasco, C.; Rayme, C.; Alarcón, R.P.; Ayala, Y.; Arana, J.; Aponte, H. Macroinvertebrados acuáticos en arroyos asociados con bofedales altoandinos, Ayacucho Peru. Rev. Biol. Trop. 2020, 68, S116–S131. [Google Scholar] [CrossRef]
- Zavaleta Zavaleta, E.H.; León Torres, C.A.; Leiva Cabrera, F.A.; Gil Ramírez, L.A.; Rodríguez Salvatierra, A.D.; Bardales Vásquez, C.B. Valoración económica del servicio ambiental hídrico del Santuario Nacional Calipuy. Santiago de Chuco, La Libertad-Peru. Arnaldoa 2020, 27, 335–349. [Google Scholar]
- Sabogal, A. Distribución del agua en el Peru desde una perspectiva de cuenca. Debates Sociol. 2009, 34, 9–20. [Google Scholar] [CrossRef]
- Manrique, H.; Sanborn, C. La minería en el Peru: Balance y Perspectivas de Cinco Décadas de Investigación; Universidad del Pacífico: Lima, Peru, 2021. [Google Scholar]
- Guerra, J.A.T.; Lozano, R.R. Gestión sostenible del agua y la gran minería del oro en Peru. Rev. Inst. Investig. Fac. Minas Metal. Cienc. Geográficas 2022, 25, 173–180. [Google Scholar] [CrossRef]
- Montoya Fuchs, E.E. Participación Ciudadana en la Identificación y Delimitación de las Cabeceras de Cuenca en el Peru. Bachelor’s Thesis, Universidad Continental, Junín, Peru, 2022. [Google Scholar]
- Pinzón Candelario, F.M.; García Pinto, C.L.; Avila Treviño, J.A. Evaluación de la calidad del agua mediante el uso de macroinvertebrados como bioindicadores en el Río Toribio de Ciénaga—Magdalena. CITAS 2024, 10, 46–63. [Google Scholar] [CrossRef]
- Andino, P.; Espinosa, R.; Guevara, E.A.; Santander, T. Cartilla de Identificación de Macroinvertebrados Acuáticos. Quito (EC): Ministerio del Ambiente, Aves y Conservación y OCP Ecuador. 2017. Available online: https://www.researchgate.net/publication/342248615_Cartilla_de_identificacion_de_macroinvertebrados_acuaticos_Guia_para_el_monitoreo_participativo?channel=doi&linkId=5eeaace7458515814a67485c&showFulltext=true (accessed on 6 March 2025).
- González, H.; Crespo, E.; Acosta, R.; Hampel, H. Guía Rápida Para la Identificación de Macroinvertebrados de los Ríos Altoandinos del Cantón Cuenca, 1st ed.; Servigraf: Cuenca, Spain, 2019. [Google Scholar]
- Kolkwitz, R.; Marsson, M. Okologie der tierischen Saprobien. Beitrage zur Lehre vonder biologischen Gewasserbeurteilung. Int. Gesamten Hydrobiol. Hydrograph. 1909, 2, 126–152. [Google Scholar] [CrossRef]
- Armitage, P.; Moss, D.; Wright, J.; Furse, M. The performance of a new biological water quality score system based on macroinvertebrates over a wide range of unpolluted running-water sites. Water Res. 1983, 17, 333–347. [Google Scholar] [CrossRef]
- Cairns, J.; Pratt, J. A history of biological monitoring using benthic macroinvertebrates. In Freshwater Biomonitoring and Benthic Macroinvertebrates; Rosenberg, D.M., Resh, V.H., Eds.; Chapman/Hall: New York, NY, USA, 1993; pp. 10–27. [Google Scholar]
- Alba-Tercedor, J.; Pujante, A. Running-water biomonitoring in Spain: Opportunities for a predictive approach. In Assessing the Biological Quality of Freshwater: RIVPACS and Similar Techniques; Wright, J.F., Sutcliffe, D.W., Furse, M., Eds.; Freshwater Biological Association: Ambleside, Cumbria, UK, 2000; pp. 207–216. [Google Scholar]
- Medina, C. Estado ecológico del río Chicama. Regiones. La Libertad y Cajamarca. Peru. Ph.D. Thesis, Universidad Nacional de Trujillo, Trujillo, Peru, 2016. [Google Scholar]
- Millán, A.; García-Meseguer, A.J.; Yelo, N.; Velasco, J.; Sánchez-Fernández, D. Macroinvertebrados acuáticos del Parque Regional de Sierra Espuña, Murcia (sureste de España). Boletín SEA 2022, 70, 79–98. [Google Scholar]
- Valladolid, M.; Arauzo, M.; Jiménez, L. Estado ecológico de los ríos incluidos dentro del Parque Nacional de Ordesa y Monte Perdido (Cuenca del Ebro, Aragón), mediante indicadores de macroinvertebrados. Pirineos 2015, 170, 1–12. [Google Scholar] [CrossRef]
- Alba-Tercedor, J.; Sánchez Ortega, A. Un método rápido y simple para evaluar la calidad biológica de las aguas corrientes basado en el de Hellawell (1978). Limnética 1988, 4, 51–56. [Google Scholar] [CrossRef]
- Springer, M.; Vázquez, D.; Castro, A.; Kohlmann, B. Guía de Campo Para Bioindicadores de Calidad del Agua; Río Tempisque. EARTH.UCR: San José, Costa Rica, 2007; 6 pp. [Google Scholar]
- Roldán, G. Bioindicación de la Calidad del Agua en Colombia, Propuesta Para el uso del Método BMWP—COL; Colección Ciencia y Tecnología; Editorial Universidad de Antioquia: Medellín, Colombia, 2003; 168p. [Google Scholar]
- Sánchez-Herrera, M. El índice biológico BMWP (Biological Monitoring Working Party Score), modificado y adaptado al cauce principal del río Pamplonita norte de Santander. Universidad de Pamplona. Venezuela. Bistua 2005, 3, 54–67. [Google Scholar]
- Leiva, M. Macroinvertebrados Bentónicos como Bioindicadores de Calidad de Agua en la Cuenca del Estero Peu Peu comuna de Lautaro IX Región de la Araucania. Master’s Thesis, Universidad Católica de Temuco, Araucanía, Chile, 2004; 111p. [Google Scholar]
- Ruiz-Picos, R.A.; Kohlmann, B.; Sedeño-Díaz, J.E.; López-López, E. Assessing ecological impairments in Neotropical rivers of Mexico: Calibration and validation of the Biomonitoring Working Party Index. Int. J. Environ. Sci. Technol. 2017, 14, 1835–1852. [Google Scholar] [CrossRef]
- Cornejo, A.; López-López, E.; Ruiz-Picos, R.A.; Sedeño-Díaz, J.E.; Armitage, B.; Arefina, T.; Nieto, C.; Tuñón, A.; Molinar, M.; Ábrego, T.; et al. Diagnóstico de la Condición Ambiental de los Afluentes Superficiales de Panamá; Biblioteca Nacional de Panama: Panama City, Panama, 2018; 326p, ISBN 978-9962-5573-2-6. [Google Scholar]
- Rico-Sánchez, A.E.; Rodríguez-Romero, A.J.; Sedeño-Díaz, J.E.; López-López, E.; Sundermann, A. Aquatic macroinvertebrate assemblages in rivers influenced by mining activities. Sci. Rep. 2022, 12, 3209. [Google Scholar] [CrossRef]
- Aguilar-Baldosea, W.; López-Ramírez, I.C.; Chávez- Mosquera, L.Y.; Rengifo Murillo, L.; Halaby-Guerrero, J.C. Efecto de la minería en macroinvertebrados acuáticos de la ciénaga plaza seca, Atrato, Chocó. Rev. Politec. 2022, 18, 9–23. [Google Scholar] [CrossRef]
- Minchola Soto, G.; Ñique Álvarez, M.; Gil Bacilio, J. Macroinvertebrados bentónicos y la calidad de agua de afluente del río Aguaytía en la selva baja de Peru. Rev. Alfa. 2025, 9, 255–268. Available online: https://revistaalfa.org/index.php/revistaalfa/article/view/464 (accessed on 10 March 2025). [CrossRef]
- Jimenez-Broncano, K.; Mendoza-Valente, R.; Minaya, D.; Leiva, D.; Iannacone, J. Macroinvertebrados bentónicos como bioindicadores para evaluar la calidad del agua en el río Cañipia, Cusco, Peru. Innovaciencia 2025, 13. Available online: https://revistas.udes.edu.co/innovaciencia/article/view/4843 (accessed on 11 March 2025).
- Tapia, L.; Sánchez, T.; Baylón, M.; Jara, E.; Arteaga, C.; Maceda, D.; Salvatierra, A. Macroinvertebrados bentónicos como indicadores de la calidad de agua en lagunas altoandinas del Peru. Ecol. Apl. 2018, 17, 149–163. [Google Scholar] [CrossRef]
- Tafur, C.M.; Revilla, M.H.; Ruiz, W.P.; Aguilar, R.G.; Guzmán, I.A. El índice Biological Monitoring Working Party (BMWP), modificado y adaptado a tres microcuencas del Alto Chicama. La Libertad. Peru. 2008. Sciéndo 2010, 13, 1–15. [Google Scholar]
- Hora, M. Implementación y utilización del índice Biológical Monitoring Wprking Party Score (IBMWP) Modificado Como Herramienta de Vigilancia Ambiental Participativa en tres Microcuencas del Alto Chicama. Master’s Thesis, Universidad Nacional de Trujillo, La Libertad, Peru, 2013. [Google Scholar]
- Llasha, J. Calidad de Agua Según los Macroinvertebrados Bentónicos en las Microcuencas de Huacamarcanga. La Arena y Tres Cruces. Bachelor’s Thesis, Universidad Nacional de Trujillo, La Libertad, Peru, 2015. [Google Scholar]
- Tisnado, G.M.; Tafur, C.M.; Polo-Corro, J.L.; Revilla, M.H. Calidad del agua según los macroinvertebrados bentónicos y parámetros fisicoquímicos en la cuenca del Río Huacamarcanga (La Libertad, Peru). REBIOL 2020, 40, 85–98. [Google Scholar]
- Hawkes, H.A. Origin and development of the biological monitoring working party score system. Water Res. 1997, 32, 964–968. [Google Scholar] [CrossRef]
- Santana, C.S.; Montalvan Olivares, M.D.; Silva, V.H.C.; Luzardo, F.H.M.; Velasco, F.G.; de Jesus Raildo, M. Assessment of water resources pollution associated with mining activity in a semi-arid región. J. Environ. Manag. 2020, 273, 111148. [Google Scholar] [CrossRef] [PubMed]
- Golder Asociates Peru, S.A. Proyecto Alto Chicama: Estudio de Impacto Ambiental. Generalidades del EIA, Volumen A. Preparado para Minera Barrick Misquichilca, S.A. 2003. Available online: https://www.gob.pe/institucion/minem/informes-publicaciones/6729992-estudio-de-impacto-ambiental-del-proyecto-alto-chicama-presentado-por-minera-barrick-misquichilca-s-a (accessed on 15 March 2025).
- Boroo. Operaciones Lagunas Norte. 2025. Available online: https://www.mineraboroo.com/operaciones (accessed on 6 March 2025).
- Banco Mundial. Riqueza y Sostenibilidad: Dimensiones Sociales y Ambientales de la Minería en el Peru: Estudio del Banco Mundial Sobre Minería; Banco Mundial: Washington, DC, USA, 2005; Available online: https://documents1.worldbank.org/curated/en/410671468079729976/pdf/335450a1PE0studio0Mineria.pdf (accessed on 6 March 2025).
- Autoridad Nacional del Agua. 2016. Resolución Jefatural N° R.J. 010-2016-ANA: Protocolo Nacional para el Monitoreo de la Calidad de los Recursos Hídricos Superficiales. Autoridad Nacional del Agua. Published on “El Peruano” Official Newspaper. Available online: https://www.gob.pe/institucion/ana/normas-legales/538681-r-j-010-2016-ana (accessed on 6 March 2025).
- Smith, S.; Hanks, N.; Creed, P.; Kovalcik, K.; Wilson, R.; Kubachka, K.; Brisbin, J.A.; Figueroa, J.L.; Creed, J.T. Analytical considerations associated with implementing M2+ correction factors to address false positives on As and Se within U.S. EPA method. J. Anal. At. Spectrom. 2019, 34, 2094–2104. [Google Scholar] [CrossRef] [PubMed]
- APHA. Standard Methods for Examination of Water and Waste-Water, 21st ed.; APHA: Washington, DC, USA, 2005. [Google Scholar]
- Wang, Q.; Li, Z.; Xu, Y.; Li, R.; Zhang, M. Analysis of spatio-temporal variations of river water quality and construction of a novel cost-effective assessment model: A case study in Hong Kong. Environ. Sci. Pollut. Res. 2022, 29, 28241–28255. [Google Scholar] [CrossRef]
- Huck, P.M.; Coffey, B.M.; Emelko, M.B.; Maurizio, D.D.; Slawson, R.M.; Anderson, W.B.; Van Den Oever, J.; Douglas, A.P.; O’Melia, C.R. Effects of filter operation on Cryptosporidium removal. J. Am. Water Works Assoc. 2002, 94, 97–111. [Google Scholar] [CrossRef]
- EPA 621-C-99-004; Methods and Guidance for the Analysis of Water: Version 2.0. Environmental Protection Agency: Washington, DC, USA, 1999.
- EPA Method 200.7; Determination of Metals and Trace Elements in Water and Wastes by Inductively Coupled Plasma-Atomic Emission Spectrometry. Environmental Protection Agency: Cincinnati, OH, USA, 1982.
- EPA Method 6020A; Inductively Coupled Plasma—Mass Spectrometry. Environmental Protection Agency: Washington, DC, USA, 1998.
- EPA Method 6020B; Inductively Coupled Plasma—Mass Spectrometry. Environmental Protection Agency: Washington, DC, USA, 1998.
- EPA Method 200.8, Revision 5.4; Determination of Trace Elements in Waters and Wastes by Inductively Coupled Plasma—Mass Spectrometry. Environmental Protection Agency: Washington, DC, USA, 1994.
- Alvan-Aguilar, M.A.; Ochoa, M.; Tuesta, S.; Ismiño-Orbe, R.; Chu-Koo, F.W. Comunidades de macroinvertebrados bentónicos de quebradas del área de influencia de la carretera Iquitos-Nauta, Loreto-Peru. Ecol. Apl. 2024, 23, 47–57. [Google Scholar] [CrossRef]
- Roldán Pérez, G. Los Macroinvertebrados Como Bioindicadores de la Calidad del Agua; Corporación Autónoma Regional de Cundinamarca: Bogota, Colombia, 2012; ISBN 978-958-8188-19-5. [Google Scholar]
- Domínguez, E.; Fernández, H.R. (Eds.) Macroinvertebrados Bentónicos Sudamericanos: Sistemática y Biología; Fundación Miguel Lillo: San Miguel de Tucumán, Argentina, 2009. [Google Scholar]
- Garrido, J.; Barrios, E.; Puig, A.; Oscoz, J. Red Control. Id-Tax. Catálogo y Claves de Identificación de Organismos Invertebrados Utilizados Como Elementos de Calidad en las Redes de Control del Estado Ecológico. Ministerio de Agricultura, Alimentación y Medio Ambiente. 2012. Available online: https://www.researchgate.net/publication/257622948_Id-Tax_Catalogo_y_claves_de_identificacion_de_organismos_invertebrados_utilizados_como_elementos_de_calidad_en_las_redes_de_control_del_estado_ecologico (accessed on 25 March 2025).
- Magallón Ortega, G.; Escalera Gallardo, C.; López-López, E.; Sedeño-Díaz, J.E.; López Hernández, M.; Arroyo-Damián, M.; Moncayo-Estrada, R. Water Quality Analysis in a Subtropical River with an Adapted Biomonitoring Working Party (BMWP) Index. Diversity 2021, 13, 606. [Google Scholar] [CrossRef]
- Asociación Marianista de Acción Social (AMAS), Instituto Peruano de Educación en Derechos Humanos y la Paz (IPEDEHP), & Compañía de María Marianistas. Vigilancia Ciudadana de la Calidad de Agua: Una Experiencia Desde la Sociedad Civil en el Departamento de La Libertad en el Peru; AMAS, IPEDEHP: Lima, Peru, 2011. Available online: https://sinia.minam.gob.pe/sites/default/files/siar-lalibertad/archivos/public/docs/6024_0.pdf (accessed on 26 February 2025).
- Behmel, S.; Damour, M.; Ludwig, R.; Rodriguez, M.J. Water quality monitoring strategies—A review and future perspectives. Sci. Total Environ. 2016, 571, 1312–1329. [Google Scholar] [CrossRef]
- Hwang, S.K.; Jho, E.H. Heavy metal and sulfate removal from sulfate-rich synthetic mine drainages using sulfate reducing bacteria. Sci. Total Environ. 2018, 635, 1308–1316. [Google Scholar] [CrossRef]
- Ministerio del Ambiente. Decreto Supremo N° 004-2017-MINAM: Aprueban Estándares de Calidad Ambiental (ECA) Para Agua y Establecen Disposiciones Complementarias. Ministerio del Ambiente. Published on “El Peruano” Official Newspaper. 2017. Available online: https://www.minam.gob.pe/wp-content/uploads/2017/06/DS-004-2017-MINAM.pdf (accessed on 14 February 2025).
- Ministerio del Ambiente. Decreto Supremo N° 002-20008-MINAM: Aprueban Estándares de Calidad Ambiental (ECA) Para. Ministerio del Ambiente. Published on “El Peruano” Official Newspaper. 2008. Available online: https://www.gob.pe/institucion/minam/normas-legales/335834-002-2008-minam (accessed on 18 February 2025).
- Autoridad Nacional del Agua. Resultado del Monitoreo Participativo de Calidad de Agua de la Cuenca río Moche, La Libertad-Peru, 2016. Ministerio del Ambiente. 2016. Available online: https://sinia.minam.gob.pe/documentos/resultado-monitoreo-participativo-calidad-agua-cuenca-rio-moche (accessed on 7 March 2025).
- Ata Akcil, S.K. Acid Mine Drainage (AMD): Causes, treatment and case studies. J. Clean. Prod. 2006, 14, 1139–1145. [Google Scholar] [CrossRef]
- Huaranga Moreno, F.; Méndez García, E.; Quilcat León, V.; Huaranga Arévalo, F. Pollution by heavy metals in the Moche River Basin, 1980–2010, La Libertad—Peru. Sci. Agropecu. 2012, 3, 235–247. [Google Scholar] [CrossRef]
- Delgado, A.; Martínez, F.; Villanueva, J.; Torres, A.; Andrade-Arenas, L. Modelo basado en sistemas difusos para evaluar la calidad del agua de minas en operación y pasivos ambientales. Int. J. Eng. Trends Technol. 2022, 70, 346–353. [Google Scholar] [CrossRef]
- González, M.; Rodríguez, V.; Martínez, J. Impacto ambiental asociado a factores antropogénicos: Incidencia en la economía de las cuencas hidrográficas. J. Sci. MQR Investig. 2024, 8, 2158–2180. [Google Scholar]
- Santamaría, E.E.; Bernal Vega, J.A. Diversidad de macroinvertebrados acuáticos y calidad del agua en la cuenca alta del río Chiriquí Viejo, provincia de Chiriquí, Panamá. Tecnociencia 2016, 18, 5–24. [Google Scholar]
- Rocha, G.Z.E.; Cuéllar, R.L.A. Diversidad de macroinvertebrados acuáticos en áreas restauradas de la quebrada La Colorada, municipio de Villa de Leyva, Colombia. Cuad. Act. 2019, 11, 13–21. [Google Scholar]
- Custodio, M.; Chanamé, F. Análisis de la biodiversidad de macroinvertebrados bentónicos del río Cunas mediante indicadores ambientales, Junín-Peru. Sci. Agropecu. 2016, 3, 29–41. [Google Scholar]
- Willmott, C.J. On the validation of models. Phys. Geogr. 1981, 2, 84–194. [Google Scholar] [CrossRef]
- Salas-Mercado, D.; Hermoza-Gutiérrez, M.; Salas-Ávila, D. Distribución de metales pesados y metaloides en aguas superficiales y sedimentos del río Crucero, Peru. Rev. Bol. Quím. 2020, 37, 185–193. [Google Scholar] [CrossRef]
- Quispe López, E. 2024. Relación de las Características Fisicoquímicas del Agua con la Calidad Biológica Basada en Macroinvertebrados en el río Mejiamayu, Palmapampa, Ayacucho. 2020. Available online: https://repositorio.unsch.edu.pe/handle/123456789/6850 (accessed on 13 March 2025).
- Alomía, J.; Iannacone, J.L.; Alvariño, L.; Ventura, K. Macroinvertebrados bentónicos para evaluar la calidad de las aguas de la cuenca alta del río Huallaga, Peru. Biologist 2017, 15, 65–84. [Google Scholar] [CrossRef]
- Paredes, E.C.; Iannacone, O.J.; Alvariño, F.L. Use of benthic macroinvertebrates as bioindicators of water quality in Rímac River, Lima-Callao, Peru. Rev. Colomb. Entomol. 2005, 31, 219–225. [Google Scholar] [CrossRef]
- Santillán-Aredo, S.R.; Guerrero-Padilla, A.M. Macroinvertebrados y fitoplancton como bioindicadores de contaminación en la cuenca del río Chicama, Peru. Tecnol. Marcha 2018, 31, 97–110. [Google Scholar] [CrossRef]
- Rodríguez Castillo, A.; Roldán Rodríguez, J.; Bopp Vidal, G.M. Macroinvertebrados bentónicos indicadores de calidad biológica del agua de lagunas altoandinas, La Libertad-Peru. REBIOL 2021, 41, 91–101. [Google Scholar] [CrossRef]
- Flores Rojas, D.; Huamantinco Araujo, A. Desarrollo de una herramienta de vigilancia ambiental ciudadana basada en macroinvertebrados bentónicos en la cuenca del Jequetepeque (Cajamarca, Peru). Ecol. Apl. 2017, 16, 105–114. [Google Scholar] [CrossRef]
- Ochieng, H.; Odong, R.; Okot-Okumu, J. Comparison of temperate and tropical versions of Biological Monitoring Working Party (BMWP) index for assessing water quality of River Aturukuku in Eastern Uganda. Glob. Ecol. Conserv. 2020, 23, e01183. [Google Scholar] [CrossRef]
- Granados-Martínez, C.; Guevara-Mora, M.; Ramírez, J.E.R.; Zambrano, E.H. Effects of human disturbance gradient on aquatic macroinvertebrate diversity: A study in a river of the Sierra Nevada de Santa Marta. Ambiente y Água. Interdiscip. J. Appl. Sci. 2024, 20, e3019. [Google Scholar] [CrossRef]
- Mykrä, H.; Aroviita, J.; Tolonen, K.; Turunen, J.; Weckström, K.; Weckström, J.; Hellsten, S. Detecting mining impacts on freshwater ecosystems using replicated sampling before and after the impact. Environ. Monit. Assess. 2024, 196, 635. [Google Scholar] [CrossRef]
- Smith, D.; Maasdam, R. New Zealand’s national river water quality network: 1. Design and physico-chemical characterisation. N. Z. J. Mar. Freshw. Res. 1994, 28, 19–35. [Google Scholar] [CrossRef]
- Tovar, A.A.M.; Botero, M.T.; Carvajal, L.F. Revisión de criterios y metodologías de diseño de redes para el monitoreo de la calidad del agua en ríos. Av. Recur. Hidráulicos 2008, 18, 57–68. [Google Scholar]
- Feio, M.J.; Hughes, R.M.; Serra, S.R.Q.; Nichols, S.J.; Kefford, B.J.; Lintermans, M.; Robinson, W.; Odume, O.N.; Callisto, M.; Macedo, D.R.; et al. Fish and macroinvertebrate assemblages reveal extensive degradation of the world’s rivers. Glob. Change Biol. 2022, 29, 355–374. [Google Scholar] [CrossRef]








| Family | Bioindication Score |
|---|---|
| Ancylidae, Collembola, Curculionidae, Deuterophlebiidae, Dixidae, Ephidridae, Gammaridae, Haliplidae, Libellulidae, Lymnaetidae, Oligoneuridae, Veliidae. | 9 |
| Aeshnidae, Hyalellidae, Coenagrioenidae, Hirudinea, Nematoda, Ostracoda, Pisauridae, Stratiomyidae. | 8 |
| Ameletidae, Blephariceridae, Chrysomelidae, Corydalidae, Empididae, Glossosomatidae, Gyrinidae, Hydropsychidae, Hydroptilidae, Leptoceridae, Leptophlebiidae, Philopotamidae, Planariidae, Psephenidae, Tricorytidae. | 7 |
| Baetidae, Chironomidae, Corixidae, Culicidae, Helicopsychidae, Hydrachnidae, Hydrobiosidae, Muscidae, Odontoceridae, Perlidae, Psychodidae, Pyralidae, Scirtidae, Sthaphylinidae, Tabanidae. | 6 |
| Calamoceratidae, Ceratopogonidae, Dytiscidae, Dolichopodidae, Elmidae, Hydrophilidae, Mesovelliidae, Oligochaeta, Simuliidae, Tipulidae. | 5 |
| BMWP/PeIAZIM Score Range | Water Quality Category |
|---|---|
| >115 | Excellent |
| >106 and ≤115 | Good |
| >79.5 and ≤106 | Fair |
| >53 and ≤79.5 | Poor |
| >26.5 and ≤53 | Very Poor (Highly Polluted) |
| ≤26.5 | Extremely Poor (Extremely Polluted) |
Disclaimer/Publisher’s Note: The statements, opinions and data contained in all publications are solely those of the individual author(s) and contributor(s) and not of MDPI and/or the editor(s). MDPI and/or the editor(s) disclaim responsibility for any injury to people or property resulting from any ideas, methods, instructions or products referred to in the content. |
© 2025 by the authors. Licensee MDPI, Basel, Switzerland. This article is an open access article distributed under the terms and conditions of the Creative Commons Attribution (CC BY) license (https://creativecommons.org/licenses/by/4.0/).
Share and Cite
Hora Revilla, M.E.; Gabriel Aguilar, A.R.; Polo Corro, J.L.; Marchena Dioses, J.M.; López-López, E.; Sedeño-Díaz, J.E. Calibration and Validation of the BMWP Index for the Assessment of Fluvial Systems in High Andean Mining Areas of Peru. Water 2025, 17, 1724. https://doi.org/10.3390/w17121724
Hora Revilla ME, Gabriel Aguilar AR, Polo Corro JL, Marchena Dioses JM, López-López E, Sedeño-Díaz JE. Calibration and Validation of the BMWP Index for the Assessment of Fluvial Systems in High Andean Mining Areas of Peru. Water. 2025; 17(12):1724. https://doi.org/10.3390/w17121724
Chicago/Turabian StyleHora Revilla, Manuel Emilio, Alberto Ronal Gabriel Aguilar, José Luis Polo Corro, José Manuel Marchena Dioses, Eugenia López-López, and Jacinto Elías Sedeño-Díaz. 2025. "Calibration and Validation of the BMWP Index for the Assessment of Fluvial Systems in High Andean Mining Areas of Peru" Water 17, no. 12: 1724. https://doi.org/10.3390/w17121724
APA StyleHora Revilla, M. E., Gabriel Aguilar, A. R., Polo Corro, J. L., Marchena Dioses, J. M., López-López, E., & Sedeño-Díaz, J. E. (2025). Calibration and Validation of the BMWP Index for the Assessment of Fluvial Systems in High Andean Mining Areas of Peru. Water, 17(12), 1724. https://doi.org/10.3390/w17121724

