Surrogate-Based Uncertainty Analysis for Groundwater Contaminant Transport in a Chromium Residue Site Located in Southern China
Abstract
1. Introduction
2. Materials and Methods
2.1. Overview of Study Area
2.2. Numerical Modeling
2.2.1. Conceptual Model
2.2.2. Numerical Simulation Model
2.3. Variogram-Based Global Sensitivity Analysis (VARS)
- (1)
- The parameters listed in Table 1 were selected for sensitivity analysis. A ±20% variation range was set for each sensitive parameter.
- (2)
- A total 300 random sample points are created by employing a star-based sampling method within defined parameter ranges. The sampling attributes utilized in STAR-VARS are detailed in Table 2.
- (3)
- Generated random sample points were input into the numeric simulation model. The numeric simulation model outputs concentrations of the Cr(VI) contaminant at three test points. The locations of three test points are illustrated in Figure 3.
- (4)
- The output concentrations of the Cr(VI) contaminant were then processed further in the VARS model. Specifically, the IVARS-50 index was executed to calculate a set of sensitivity indices for each test point.
| Number of Stars | ) | Perturbation Resolution | Sampler | Bootstrap Size | Confidence Interval (%) |
|---|---|---|---|---|---|
| 5 | 0.1 | 0.1, 0.3, 0.5 | Latin Hypercube | 1000 | 90 |
2.4. Surrogate Model Based on Extreme Gradient Boosting
- (1)
- Key parameters were selected through VARS sensitivity analysis, treated as stochastic variables to assess the influence of uncertainty related to these parameters on simulation outcomes.
- (2)
- Key parameters were sampled based on their probability distributions and range of values using Latin hypercube sampling (LHS) method [70] to generate 140 input datasets (various combinations of the three key parameters). The values of the remaining model parameters were kept constant with previous adjustments.
- (3)
- These datasets were input into the simulation model. The simulation model was resolved using GMS software to produce corresponding output datasets (Cr(VI) contaminant concentrations observed in 8 monitoring wells), forming Input-output dataset.
- (4)
- Two methods (XGBoost and RF) were employed to build the surrogate model. The input and output datasets were partitioned, allocating 75% for training the model and reserving 25% for validating the accuracy of the surrogate model. This study employed python programming language (version 3.11.5) and the XGBoost library (version 2.0.0), as well as scikit-learn library for Random Forests (version 1.3.0).
- (5)
- To craft optimal surrogate model architectures, hyperparameters were carefully selected to address overfitting during training, thereby enhancing the accuracy of the model (Table 3). The lower and upper values used for these hyperparameter are shown in Table 3. In this study, Optuna Hyperparameter Optimization (OHPO) [71] was employed to automatically fine-tune the hyperparameters of the surrogate model.
2.5. Monte Carlo Simulation
- (1)
- Determine the random/key parameters by means of sensitivity analysis.
- (2)
- Generation of randomly samples using Latin hypercube sampling method within the feasible region of key parameters.
- (3)
- Run a simulation model for each sample dataset to extract the corresponding model output.
- (4)
- After the completion of all simulations, the construction of a histogram of all simulation results for the uncertain quantity of interest. From the frequency plot, the probability at any level can be estimated. The mean, variance, confidence limit, and other statistical parameters can also be determined.
3. Results and Discussion
3.1. Numerical Simulation of Flow Field and Cr(VI) Contaminant Transport
3.2. Sensitivity Analysis
3.2.1. Directional Variograms
3.2.2. Sensitivity Index IVARS-50
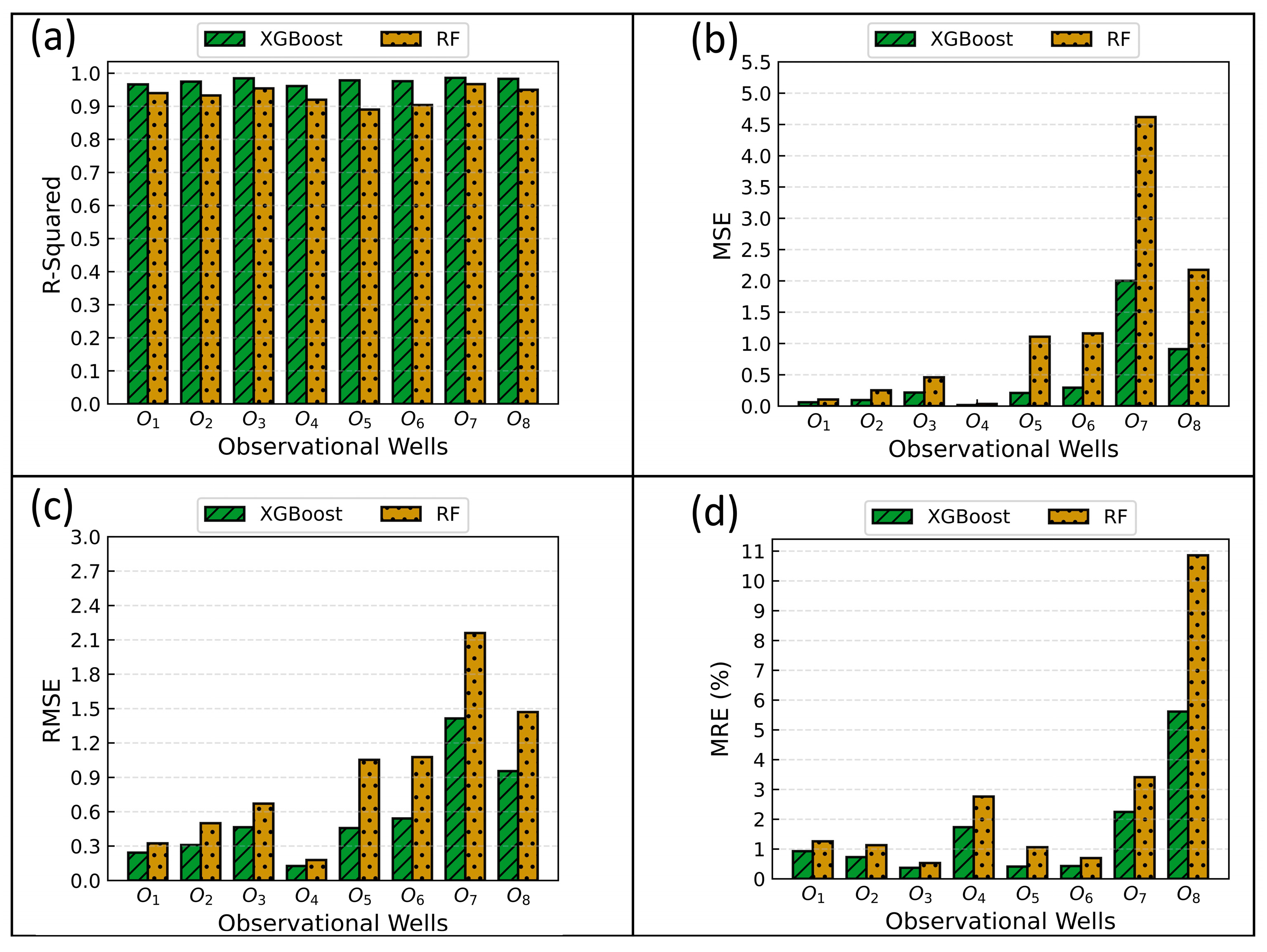
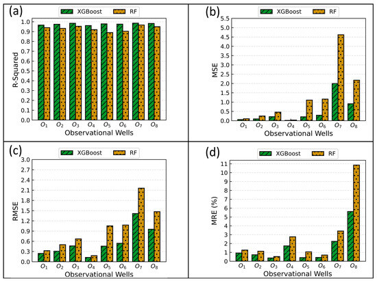
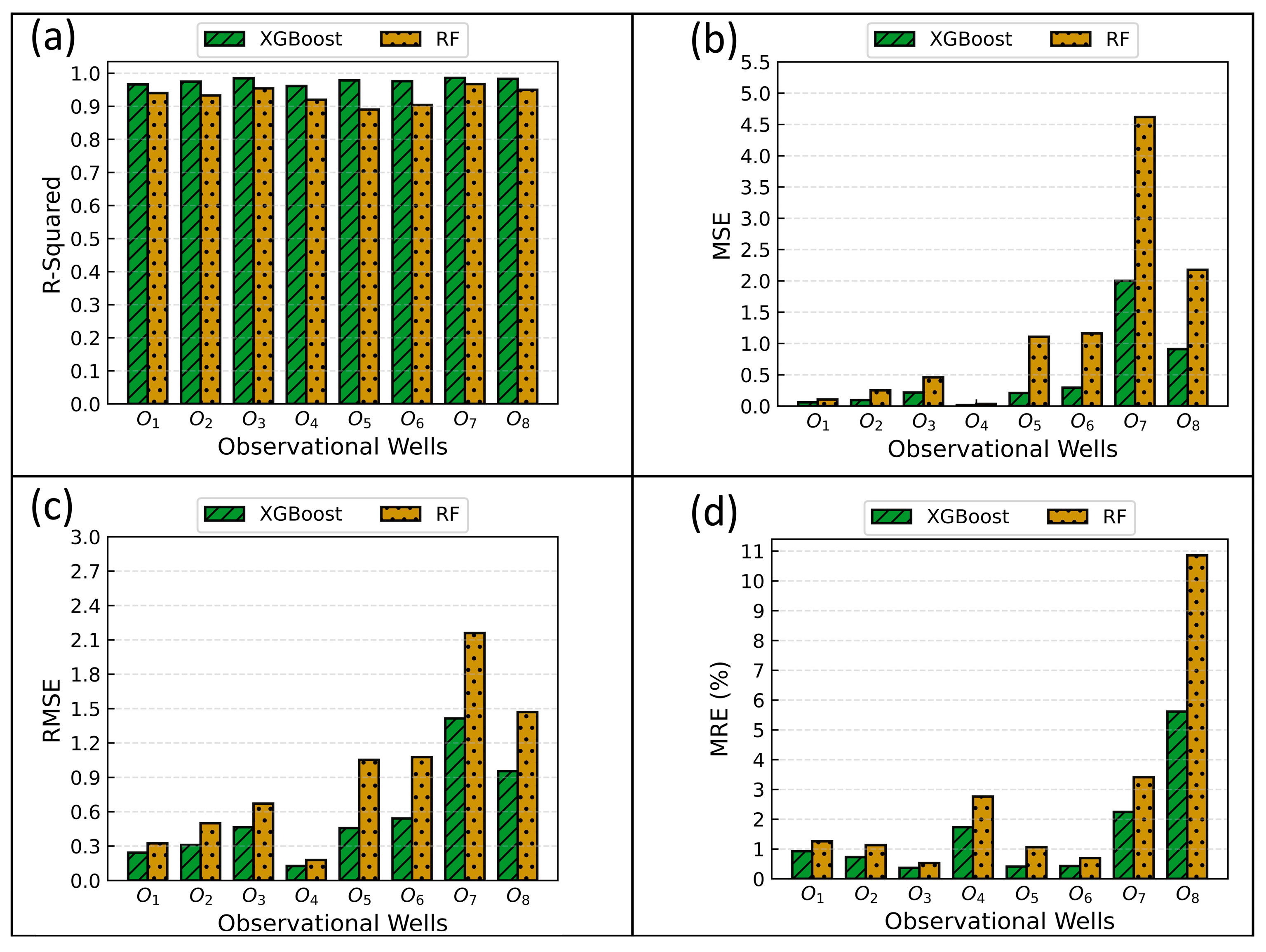
3.3. Evaluation and Comparative Analysis of Surrogate Model Performances
3.4. Uncertainty Analysis of Groundwater Contaminant Transport
4. Conclusions
- (1)
- Through global sensitivity analysis, hydraulic conductivity (), recharge (), and porosity () were identified as the key parameters to conduct the comprehensive evaluation of uncertainty’s impact on numeric simulation model results. Sensitivity analysis serves a dual purpose by diminishing the input dimensions of the surrogate model, thereby enhancing its precision, and providing guidance for the investigation of contaminated site.
- (2)
- During the uncertainty analysis, an XGBoost-based surrogate model not only effectively captured the non-linear correlations between input and output of the numeric simulation model, but also markedly mitigated computational workload and calculation time. Using an XGBoost-based surrogate model, instead of directly calling the numeric simulation model leads to an 85.94% reduction in computation time, making the Monte Carlo simulation with this surrogate model viable and efficient.
- (3)
- Utilizing the Monte Carlo simulation to consider the impact of random variations of key parameters on the numeric simulation model, results showed how later wells were influenced by the variability in the key parameters, which provided insights for improving the accuracy of groundwater simulation.
- (4)
- The Numeric Simulation model illustrated that the movement of the Cr(VI) contaminant plume is toward downstream. In order to effectively reduce the risk of chromium pollution in the downstream area, some pollution remediation measures such as PRB and pumping wells are suggested be set in the downstream location of the site.
Author Contributions
Funding
Data Availability Statement
Conflicts of Interest
References
- Banaei, S.M.A.; Javid, A.H.; Hassani, A.H. Numerical Simulation of Groundwater Contaminant Transport in Porous Media. Int. J. Environ. Sci. Technol. 2021, 18, 151–162. [Google Scholar] [CrossRef]
- Rahman, S.H.; Khanam, D.; Adyel, T.M.; Islam, M.S.; Ahsan, M.A.; Akbor, M.A. Assessment of Heavy Metal Contamination of Agricultural Soil around Dhaka Export Processing Zone (DEPZ), Bangladesh: Implication of Seasonal Variation and Indices. Appl. Sci. 2012, 2, 584. [Google Scholar] [CrossRef]
- Chen, R.; Teng, Y.; Chen, H.; Yue, W.; Su, X.; Liu, Y.; Zhang, Q. A Coupled Optimization of Groundwater Remediation Alternatives Screening under Health Risk Assessment: An Application to a Petroleum-Contaminated Site in a Typical Cold Industrial Region in Northeastern China. J. Hazard. Mater. 2021, 407, 124796. [Google Scholar] [CrossRef]
- He, Q.; He, Y.; Hu, H.; Lou, W.; Zhang, Z.; Zhang, K.; Chen, Y.; Ye, W.; Sun, J. Laboratory Investigation on the Retention Performance of a Soil–Bentonite Mixture Used as an Engineered Barrier: Insight into the Effects of Ionic Strength and Associated Heavy Metal Ions. Environ. Sci. Pollut. Res. 2023, 30, 50162–50173. [Google Scholar] [CrossRef]
- Zhu, F.; Liu, T.; Zhang, Z.; Liang, W. Remediation of Hexavalent Chromium in Column by Green Synthesized Nanoscale Zero-Valent Iron/Nickel: Factors, Migration Model and Numerical Simulation. Ecotoxicol. Environ. Saf. 2021, 207, 111572. [Google Scholar] [CrossRef]
- Xu, X.; Huang, H.; Zhang, Y.; Xu, Z.; Cao, X. Biochar as Both Electron Donor and Electron Shuttle for the Reduction Transformation of Cr(VI) during Its Sorption. Environ. Pollut. 2019, 244, 423–430. [Google Scholar] [CrossRef]
- Xu, Z.; Xu, X.; Tao, X.; Yao, C.; Tsang, D.C.W.; Cao, X. Interaction with Low Molecular Weight Organic Acids Affects the Electron Shuttling of Biochar for Cr(VI) Reduction. J. Hazard. Mater. 2019, 378, 120705. [Google Scholar] [CrossRef] [PubMed]
- DesMarias, T.L.; Costa, M. Mechanisms of Chromium-Induced Toxicity. Curr. Opin. Toxicol. 2019, 14, 1–7. [Google Scholar] [CrossRef] [PubMed]
- Zhang, N.; Fang, Z.; Zhang, R. Comparison of Several Amendments for In-Site Remediating Chromium-Contaminated Farmland Soil. Water Air Soil Pollut. 2017, 228, 400. [Google Scholar] [CrossRef]
- He, Q.; He, Y.; Zhang, Z.; Ou, G.; Zhu, K.; Lou, W.; Zhang, K.; Chen, Y.; Ye, W. Spatiotemporal Distribution and Pollution Control of Pollutants in a Cr(VI)-Contaminated Site Located in Southern China. Chemosphere 2023, 340, 139897. [Google Scholar] [CrossRef]
- He, Y.; Hu, G.; Wu, D.; Zhu, K.; Zhang, K. Contaminant Migration and the Retention Behavior of a Laterite–Bentonite Mixture Engineered Barrier in a Landfill. J. Environ. Manag. 2022, 304, 114338. [Google Scholar] [CrossRef]
- Deng, H.; Zhou, S.; He, Y.; Lan, Z.; Zou, Y.; Mao, X. Efficient Calibration of Groundwater Contaminant Transport Models Using Bayesian Optimization. Toxics 2023, 11, 438. [Google Scholar] [CrossRef]
- Liu, L.; Liang, S.; Liu, H.; Tan, W.; Zhu, G. Migration of and Butanone in Soil and Groundwater System After the Tianjin Port 8·12 Explosion. Trans. Tianjin Univ. 2018, 24, 522–531. [Google Scholar] [CrossRef]
- He, Y.; Hu, G.; Zhang, Z.; Lou, W.; Zou, Y.; Li, X.; Zhang, K. Experimental Study and Numerical Simulation on the Migration and Transformation Mechanism of Hexavalent Chromium in Contaminated Site. Rock Soil Mech. 2022, 43, 528–538. [Google Scholar] [CrossRef]
- Wu, X.; Ye, T.; Xie, C.; Li, K.; Liu, C.; Yang, Z.; Han, R.; Wu, H.; Wang, Z. Experimental and Modeling Study on Cr(VI) Migration from Slag into Soil and Groundwater. Processes 2022, 10, 2235. [Google Scholar] [CrossRef]
- Guo, S.; Xu, Y.; Yang, J. Simulating the Migration and Species Distribution of Cr and Inorganic Ions from Tanneries in the Vadose Zone. J. Environ. Manag. 2021, 288, 112441. [Google Scholar] [CrossRef] [PubMed]
- Liu, L.; Xiao, L.; Li, X. Simulation of Migration of Hexavalent Chromium in Groundwater. Xitong Fangzhen Xuebao/J. Syst. Simul. 2018, 30, 560–568. [Google Scholar] [CrossRef]
- Xue, L.; Zhang, D.; Guadagnini, A.; Neuman, S.P. Multimodel B Ayesian Analysis of Groundwater Data Worth. Water Resour. Res. 2014, 50, 8481–8496. [Google Scholar] [CrossRef]
- Chitsazan, N.; Nadiri, A.A.; Tsai, F.T.-C. Prediction and Structural Uncertainty Analyses of Artificial Neural Networks Using Hierarchical Bayesian Model Averaging. J. Hydrol. 2015, 528, 52–62. [Google Scholar] [CrossRef]
- Moazamnia, M.; Hassanzadeh, Y.; Nadiri, A.A.; Khatibi, R.; Sadeghfam, S. Formulating a Strategy to Combine Artificial Intelligence Models Using Bayesian Model Averaging to Study a Distressed Aquifer with Sparse Data Availability. J. Hydrol. 2019, 571, 765–781. [Google Scholar] [CrossRef]
- Troldborg, M.; Nowak, W.; Tuxen, N.; Bjerg, P.L.; Helmig, R.; Binning, P.J. Uncertainty Evaluation of Mass Discharge Estimates from a Contaminated Site Using a Fully Bayesian Framework. Water Resour. Res. 2010, 46, 2010WR009227. [Google Scholar] [CrossRef]
- Delottier, H.; Pryet, A.; Dupuy, A. Why Should Practitioners Be Concerned about Predictive Uncertainty of Groundwater Management Models? Water Resour. Manag. 2017, 31, 61–73. [Google Scholar] [CrossRef]
- Nemati, M.; Tabari, M.M.R.; Hosseini, S.A.; Javadi, S. A Novel Approach Using Hybrid Fuzzy Vertex Method-MATLAB Framework Based on GMS Model for Quantifying Predictive Uncertainty Associated with Groundwater Flow and Transport Models. Water Resour. Manag. 2021, 35, 4189–4215. [Google Scholar] [CrossRef]
- Troldborg, L.; Ondracek, M.; Koch, J.; Kidmose, J.; Refsgaard, J.C. Quantifying Stratigraphic Uncertainty in Groundwater Modelling for Infrastructure Design. Hydrogeol. J. 2021, 29, 1075–1089. [Google Scholar] [CrossRef]
- Bordbar, M.; Neshat, A.; Javadi, S. A New Hybrid Framework for Optimization and Modification of Groundwater Vulnerability in Coastal Aquifer. Environ. Sci. Pollut. Res. 2019, 26, 21808–21827. [Google Scholar] [CrossRef] [PubMed]
- Yan, X.; Lu, W.; An, Y.; Chang, Z. Uncertainty Analysis of Parameters in Non-Point Source Pollution Simulation: Case Study of the Application of the Soil and Water Assessment Tool Model to Yitong River Watershed in Northeast China. Water Environ. J. 2019, 33, 390–400. [Google Scholar] [CrossRef]
- Xing, Y.; Shao, D.; Yang, Y.; Ma, X.; Zhang, S. Influence and Interactions of Input Factors in Urban Flood Inundation Modeling: An Examination with Variance-Based Global Sensitivity Analysis. J. Hydrol. 2021, 600, 126524. [Google Scholar] [CrossRef]
- van Griensven, A.; Meixner, T.; Grunwald, S.; Bishop, T.; Diluzio, M.; Srinivasan, R. A Global Sensitivity Analysis Tool for the Parameters of Multi-Variable Catchment Models. J. Hydrol. 2006, 324, 10–23. [Google Scholar] [CrossRef]
- Tansar, H.; Duan, H.-F.; Mark, O. Global Sensitivity Analysis of Bioretention Cell Design for Stormwater System: A Comparison of VARS Framework and Sobol Method. J. Hydrol. 2023, 617, 128895. [Google Scholar] [CrossRef]
- Nolan, B.T.; Healy, R.W.; Taber, P.E.; Perkins, K.; Hitt, K.J.; Wolock, D.M. Factors Influencing Ground-Water Recharge in the Eastern United States. J. Hydrol. 2007, 332, 187–205. [Google Scholar] [CrossRef]
- Hornberger, G.M.; Spear, R.C. Approach to the Preliminary Analysis of Environmental Systems. J. Environ. Manag. 1981, 12, 7–18. [Google Scholar]
- Morris, M.D. Factorial Sampling Plans for Preliminary Computational Experiments. Technometrics 1991, 33, 161–174. [Google Scholar] [CrossRef]
- Sobolprime, I.M. Sensitivity Analysis for Non-Linear Mathematical Models. Math. Model. Comput. Exp. 1993, 1, 407–414. [Google Scholar]
- Razavi, S.; Gupta, H.V. A New Framework for Comprehensive, Robust, and Efficient Global Sensitivity Analysis: 1. Theory. Water Resour. Res. 2016, 52, 423–439. [Google Scholar] [CrossRef]
- Razavi, S.; Gupta, H.V. A New Framework for Comprehensive, Robust, and Efficient Global Sensitivity Analysis: 2. Application. Water Resour. Res. 2016, 52, 440–455. [Google Scholar] [CrossRef]
- Loucks, D.P.; van Beek, E. System Sensitivity and Uncertainty Analysis. In Water Resource Systems Planning and Management; Springer: Cham, Switzerland, 2017; pp. 331–374. ISBN 978-3-319-44234-1. [Google Scholar]
- Jiang, X.; Na, J.; Lu, W.; Zhang, Y. Coupled Monte Carlo Simulation and Copula Theory for Uncertainty Analysis of Multiphase Flow Simulation Models. Environ. Sci. Pollut. Res. 2017, 24, 24284–24296. [Google Scholar] [CrossRef] [PubMed]
- Zhang, Z.; Wang, X.; Li, M. Uncertainty analysis of WASP based on global sensitivity analysis method. China Environ. Sci. 2014, 34, 1336–1346. [Google Scholar]
- Luo, J.; Liu, Y.; Li, X.; Xin, X.; Lu, W. Inversion of Groundwater Contamination Source Based on a Two-Stage Adaptive Surrogate Model-Assisted Trust Region Genetic Algorithm Framework. Appl. Math. Model. 2022, 112, 262–281. [Google Scholar] [CrossRef]
- Li, S.; Farrar, C.; Yang, Y. Efficient Regional Seismic Risk Assessment via Deep Generative Learning of Surrogate Models. Earthq. Eng. Struct. Dyn. 2023, 52, 3435–3454. [Google Scholar] [CrossRef]
- Rajabi, M.M. Review and Comparison of Two Meta-Model-Based Uncertainty Propagation Analysis Methods in Groundwater Applications: Polynomial Chaos Expansion and Gaussian Process Emulation. Stoch Environ. Res. Risk Assess. 2019, 33, 607–631. [Google Scholar] [CrossRef]
- Stone, N. Gaussian Process Emulators for Uncertainty Analysis in Groundwater Flow. Ph.D. Thesis, University of Nottingham, Nottingham, UK, 2011. [Google Scholar]
- Miao, T.; Lu, W.; Lin, J.; Guo, J.; Liu, T. Modeling and Uncertainty Analysis of Seawater Intrusion in Coastal Aquifers Using a Surrogate Model: A Case Study in Longkou, China. Arab. J. Geosci. 2018, 12, 1. [Google Scholar] [CrossRef]
- Miao, T.; Lu, W.; Luo, J.; Guo, J. Application of Set Pair Analysis and Uncertainty Analysis in Groundwater Pollution Assessment and Prediction: A Case Study of a Typical Molybdenum Mining Area in Central Jilin Province, China. Environ. Earth Sci. 2019, 78, 323. [Google Scholar] [CrossRef]
- Miao, T.; Lu, W.; Guo, J.; Lin, J.; Fan, Y. Modeling and Uncertainty Analysis of Seawater Intrusion Based on Surrogate Models. Environ. Sci. Pollut. Res. 2019, 26, 26015–26025. [Google Scholar] [CrossRef] [PubMed]
- Fan, Y.; Wu, Q.; Cui, H.; Lu, W.; Ren, W. Stochastic Simulation of Seawater Intrusion in the Longkou Area of China Based on the Monte Carlo Method. Environ. Sci. Pollut. Res. 2023, 30, 22063–22077. [Google Scholar] [CrossRef] [PubMed]
- Thiros, N.E.; Gardner, W.P.; Maneta, M.P.; Brinkerhoff, D.J. Quantifying Subsurface Parameter and Transport Uncertainty Using Surrogate Modelling and Environmental Tracers. Hydrol. Process. 2022, 36, e14743. [Google Scholar] [CrossRef]
- Han, Z.; Lu, W.; Lin, J. Uncertainty Analysis for Precipitation and Sea-Level Rise of a Variable-Density Groundwater Simulation Model Based on Surrogate Models. Environ. Sci. Pollut. Res. 2020, 27, 28077–28090. [Google Scholar] [CrossRef] [PubMed]
- Fan, Y.; Lu, W.; Miao, T.; Li, J.; Lin, J. Optimum Design of a Seawater Intrusion Monitoring Scheme Based on the Image Quality Assessment Method. Water Resour. Manag. 2020, 34, 2485–2502. [Google Scholar] [CrossRef]
- Špetlík, M.; Březina, J. Groundwater Contaminant Transport Solved by Monte Carlo Methods Accelerated by Deep Learning Meta-Model. Appl. Sci. 2022, 12, 7382. [Google Scholar] [CrossRef]
- Miao, T.; Huang, H.; Guo, J.; Li, G.; Zhang, Y.; Chen, N. Uncertainty Analysis of Numerical Simulation of Seawater Intrusion Using Deep Learning-Based Surrogate Model. Water 2022, 14, 2933. [Google Scholar] [CrossRef]
- Yu, X.; Cui, T.; Sreekanth, J.; Mangeon, S.; Doble, R.; Xin, P.; Rassam, D.; Gilfedder, M. Deep Learning Emulators for Groundwater Contaminant Transport Modelling. J. Hydrol. 2020, 590, 125351. [Google Scholar] [CrossRef]
- Wang, R.-Z.; Gu, H.-H.; Liu, Y.; Miura, H.; Zhang, X.-C.; Tu, S.-T. Surrogate-Modeling-Assisted Creep-Fatigue Reliability Assessment in a Low-Pressure Turbine Disc Considering Multi-Source Uncertainty. Reliab. Eng. Syst. Saf. 2023, 240, 109550. [Google Scholar] [CrossRef]
- Zhang, L.; Lin, P. Multi-Objective Optimization for Limiting Tunnel-Induced Damages Considering Uncertainties. Reliab. Eng. Syst. Saf. 2021, 216, 107945. [Google Scholar] [CrossRef]
- Aquaveo, LLC. Groundwater Modeling System (GMS, v.10.6). Available online: https://www.aquaveo.com/downloads-gms (accessed on 10 November 2023).
- He, H.; Shan, H.; Mo, D.; Liu, Y.; Peng, S.; Cheng, Y.; Chen, M.; Yan, Z. Simulation Study on the Environmental Impact of Rare Earth Ore Development on Groundwater in Hilly Areas: A Case Study in Nuodong, China. Water 2023, 15, 263. [Google Scholar] [CrossRef]
- Rabemaharitra, T.P.; Zou, Y.; Yi, Z.; He, Y.; Khan, U. Optimized Pilot Point Emplacement Based Groundwater Flow Calibration Method for Heterogeneous Small-Scale Area. Appl. Sci. 2022, 12, 4648. [Google Scholar] [CrossRef]
- Konikow, L.F. The Secret to Successful Solute-Transport Modeling. Ground Water 2011, 49, 144–159. [Google Scholar] [CrossRef] [PubMed]
- Kresic, N. Hydrogeology and Groundwater Modeling, 2nd ed.; CRC Press: Boca Raton, FL, USA, 2006; ISBN 978-0-429-12210-1. [Google Scholar]
- Zheng, C.; Bennett, G. Applied Contaminant Transport Modeling; Wiley-Interscience: New York, NY, USA, 2002; Volume 34, ISBN 978-0-471-38477-9. [Google Scholar]
- Liu, L.; Chen, J.; Niu, H.; Li, L.; Yin, L.; Wei, Y. Numerical simulation of three-dimensional soil-groundwater coupled chromium contamination based on FEFLOW. Hydrogeol. Eng. Geol. 2022, 49, 164–174. [Google Scholar] [CrossRef]
- Razavi, S.; Gupta, H.V. A Multi-Method Generalized Global Sensitivity Matrix Approach to Accounting for the Dynamical Nature of Earth and Environmental Systems Models. Environ. Model. Softw. 2019, 114, 1–11. [Google Scholar] [CrossRef]
- Haghnegahdar, A.; Razavi, S. Insights into Sensitivity Analysis of Earth and Environmental Systems Models: On the Impact of Parameter Perturbation Scale. Environ. Model. Softw. 2017, 95, 115–131. [Google Scholar] [CrossRef]
- Sheikholeslami, R.; Razavi, S. Progressive Latin Hypercube Sampling: An Efficient Approach for Robust Sampling-Based Analysis of Environmental Models. Environ. Model. Softw. 2017, 93, 109–126. [Google Scholar] [CrossRef]
- Chen, T.; Guestrin, C. XGBoost: A Scalable Tree Boosting System. In Proceedings of the 22nd ACM SIGKDD International Conference on Knowledge Discovery and Data Mining, San Francisco, CA, USA, 13–17 August 2016; pp. 785–794. [Google Scholar]
- Yan, Y.; Li, X.; Sun, W.; Fang, X.; He, F.; Tu, J. Semi-Surrogate Modelling of Droplets Evaporation Process via XGBoost Integrated CFD Simulations. Sci. Total Environ. 2023, 895, 164968. [Google Scholar] [CrossRef]
- Chen, Y.; Li, F.; Zhou, S.; Zhang, X.; Zhang, S.; Zhang, Q.; Su, Y. Bayesian Optimization Based Random Forest and Extreme Gradient Boosting for the Pavement Density Prediction in GPR Detection. Constr. Build. Mater. 2023, 387, 131564. [Google Scholar] [CrossRef]
- Breiman, L. Random Forests. Mach. Learn. 2001, 45, 5–32. [Google Scholar] [CrossRef]
- Tian, L.; Hu, L.; Wang, D.; Cao, X. Site-Scale Groundwater Pollution Risk Assessment Using Surrogate Models and Statistical Analysis. J. Contam. Hydrol. 2024, 261, 104288. [Google Scholar] [CrossRef] [PubMed]
- Iman, R.L. Latin Hypercube Sampling. In Encyclopedia of Quantitative Risk Analysis and Assessment; Melnick, E.L., Everitt, B.S., Eds.; Wiley: Hoboken, NJ, USA, 2008; ISBN 978-0-470-03549-8. [Google Scholar]
- Akiba, T.; Sano, S.; Yanase, T.; Ohta, T.; Koyama, M. Optuna: A Next-Generation Hyperparameter Optimization Framework. In Proceedings of the 25th ACM SIGKDD International Conference on Knowledge Discovery & Data Mining, San Francisco, CA, USA, 4–8 August 2019; Association for Computing Machinery: New York, NY, USA, 2019; pp. 2623–2631. [Google Scholar]
- Luo, J.; Ma, X.; Ji, Y.; Li, X.; Song, Z.; Lu, W. Review of Machine Learning-Based Surrogate Models of Groundwater Contaminant Modeling. Environ. Res. 2023, 238, 117268. [Google Scholar] [CrossRef]
- Xie, W.; Nelson, B.L.; Barton, R.R. Statistical Uncertainty Analysis for Stochastic Simulation. arXiv 2020, arXiv:2011.04207. [Google Scholar] [CrossRef]
- Zhang, J. Modern Monte Carlo Methods for Efficient Uncertainty Quantification and Propagation: A Survey. WIREs Comput. Stats 2021, 13, e1539. [Google Scholar] [CrossRef]
- Pan, Z.; Lu, W.; Wang, H.; Bai, Y. Groundwater Contaminant Source Identification Based on an Ensemble Learning Search Framework Associated with an Auto Xgboost Surrogate. Environ. Model. Softw. 2023, 159, 105588. [Google Scholar] [CrossRef]















| Parameters | Values | Ranges |
|---|---|---|
| Hydraulic Conductivity (m/s) | 5.32 × 10−5 | 4.25 × 10−5–6.38 × 10−5 |
| Recharge Rate (m/s) | 4.3 × 10−9 | 3.49 × 10−9–5.25 × 10−9 |
| Specific Storage (m−1) | 1.0 × 10−4 | 8.0 × 10−5–1.2 × 10−4 |
| Specific Yield | 0.20 | 0.16–0.24 |
| Porosity | 0.40 | 0.32–0.48 |
| Longitudinal Dispersivity (m) | 13 | 10.4–15.6 |
| Surrogate Model | Hyperparameter | Description | Lower Value | Upper Value |
|---|---|---|---|---|
| XGBoost | n_estimators | Total Number of boosting trees | 50 | 1000 |
| max_depth | Maximum tree depth | 1.0 | 10 | |
| learning_rate | Boosting rate | 0.01 | 0.2 | |
| gamma | Tree growth control | 1.0−5 | 1.0 | |
| reg_lambda | L2 regularization term weight | 1.0−5 | 1.0 | |
| reg_alpha | L1 regularization term weight | 1.0−5 | 1.0 | |
| subsample | Random sampling fraction | 0.5 | 1.0 | |
| colsample_bytree | Feature selection fraction | 0.5 | 1.0 | |
| scale_pos_weight | Class imbalance correction factor | 1.0 | 10.0 | |
| RF | n_estimators | Total number of trees in forest | 50 | 1000 |
| max_depth | Maximum tree depth | 1.0 | 10 |
| Surrogate Model | Hyperparameter | Optimal Value |
|---|---|---|
| XGBoost | n_estimators | 984 |
| max_depth | 2.00 | |
| learning_rate | 0.069 | |
| gamma | 0.012 | |
| reg_lambda | 0.929 | |
| reg_alpha | 0.105 | |
| subsample | 0.584 | |
| colsample_bytree | 0.872 | |
| scale_pos_weight | 2.877 | |
| RF | n_estimators | 318 |
| max_depth | 2.00 |
| Surrogate Model | R2 | Mean Relative Error (%) | MSE | RMSE |
|---|---|---|---|---|
| XGBoost | 0.976 | 1.554 | 0.475 | 0.689 |
| RF | 0.934 | 2.711 | 1.238 | 1.113 |
| Well Number | Maximum Value | Minimum Value | Mean Value | Standard Deviation |
|---|---|---|---|---|
| O1 | 22.62 | 16.58 | 20.28 | 1.15 |
| O2 | 38.99 | 29.70 | 35.11 | 1.76 |
| O3 | 109.75 | 92.48 | 101.09 | 3.49 |
| O4 | 6.74 | 4.11 | 5.51 | 0.56 |
| O5 | 84.97 | 70.83 | 79.27 | 2.93 |
| O6 | 105.93 | 89.36 | 99.46 | 3.29 |
| O7 | 82.72 | 28.35 | 56.90 | 11.53 |
| O8 | 36.14 | 1.04 | 14.12 | 6.87 |
| Monitoring Wells | Confidence Level (%) | Confidence Interval (mg/L) | Confidence Level (%) | Confidence Interval (mg/L) |
|---|---|---|---|---|
| O1 | 90 | 20.22–20.34 | 60 | 20.25–20.31 |
| O2 | 90 | 35.01–35.20 | 60 | 35.06–35.15 |
| O3 | 90 | 100.91–101.27 | 60 | 101.00–101.18 |
| O4 | 90 | 5.48–5.54 | 60 | 5.49–5.53 |
| O5 | 90 | 79.12–79.42 | 60 | 79.19–79.35 |
| O6 | 90 | 99.29–99.63 | 60 | 99.37–99.55 |
| O7 | 90 | 56.31–57.51 | 60 | 56.59–57.21 |
| O8 | 90 | 13.77–14.48 | 60 | 13.94–14.31 |
Disclaimer/Publisher’s Note: The statements, opinions and data contained in all publications are solely those of the individual author(s) and contributor(s) and not of MDPI and/or the editor(s). MDPI and/or the editor(s) disclaim responsibility for any injury to people or property resulting from any ideas, methods, instructions or products referred to in the content. |
© 2024 by the authors. Licensee MDPI, Basel, Switzerland. This article is an open access article distributed under the terms and conditions of the Creative Commons Attribution (CC BY) license (https://creativecommons.org/licenses/by/4.0/).
Share and Cite
Zou, Y.; Yousaf, M.S.; Yang, F.; Deng, H.; He, Y. Surrogate-Based Uncertainty Analysis for Groundwater Contaminant Transport in a Chromium Residue Site Located in Southern China. Water 2024, 16, 638. https://doi.org/10.3390/w16050638
Zou Y, Yousaf MS, Yang F, Deng H, He Y. Surrogate-Based Uncertainty Analysis for Groundwater Contaminant Transport in a Chromium Residue Site Located in Southern China. Water. 2024; 16(5):638. https://doi.org/10.3390/w16050638
Chicago/Turabian StyleZou, Yanhong, Muhammad Shahzad Yousaf, Fuqiang Yang, Hao Deng, and Yong He. 2024. "Surrogate-Based Uncertainty Analysis for Groundwater Contaminant Transport in a Chromium Residue Site Located in Southern China" Water 16, no. 5: 638. https://doi.org/10.3390/w16050638
APA StyleZou, Y., Yousaf, M. S., Yang, F., Deng, H., & He, Y. (2024). Surrogate-Based Uncertainty Analysis for Groundwater Contaminant Transport in a Chromium Residue Site Located in Southern China. Water, 16(5), 638. https://doi.org/10.3390/w16050638

