A Newly Isolated Rhodococcus sp. S2 from Landfill Leachate Capable of Heterotrophic Nitrification and Aerobic Denitrification
Abstract
1. Introduction
2. Materials and Methods
2.1. Media
2.2. Isolation and Identification
2.3. Complete Genome Sequencing and Functional Annotation
2.4. Factors Affecting N Removal Capacity
2.5. Nitrogen Balance Experiment
2.6. Nitrogen Removal Performance of S2 on Sewage
2.7. Analytical Methods
3. Results and Discussion
3.1. Isolation and Identification of Strain S2
3.2. Heterotrophic Nitrification and Aerobic Denitrification Capacity of S2
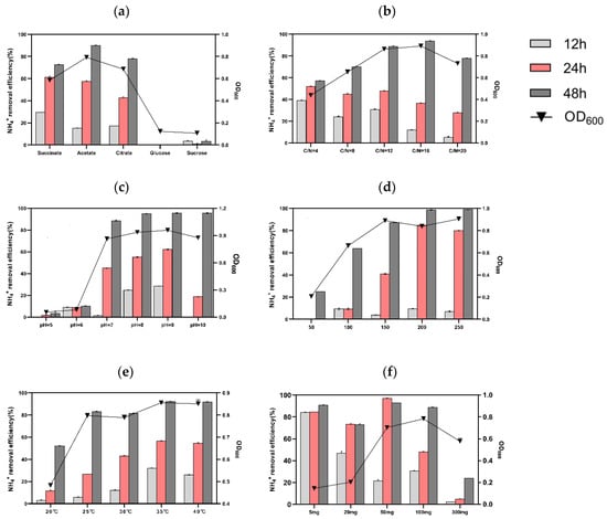
3.3. Factors Affecting the Ammonium Removal Efficiency of the S2 Strain
3.3.1. Influence of Carbon Sources
3.3.2. Carbon–Nitrogen Ratio
3.3.3. Initial pH
3.3.4. Dissolved Oxygen
3.3.5. Temperature
3.3.6. Initial NH4+-N Concentration
3.4. Genome Sequencing and KEGG Pathway Analysis
3.5. Nitrogen Removal Capacity of Strain S2 in Raw Wastewater
4. Conclusions
Supplementary Materials
Author Contributions
Funding
Data Availability Statement
Conflicts of Interest
References
- Wang, Y.; Zou, Y.L.; Chen, H.; Lv, Y.K. Nitrate removal performances of a new aerobic denitrifier, Acinetobacter haemolyticus ZYL, isolated from domestic wastewater. Bioprocess. Biosyst. Eng. 2021, 44, 391–401. [Google Scholar] [CrossRef]
- Huang, F.; Pan, L.; Lv, N.; Tang, X. Characterization of novel Bacillus strain N31 from mariculture water capable of halophilic heterotrophic nitrification-aerobic denitrification. J. Biosci. Bioeng. 2017, 124, 564–571. [Google Scholar] [CrossRef]
- Ke, X.; Liu, C.; Tang, S.Q.; Guo, T.T.; Pan, L.; Xue, Y.P.; Zheng, Y.G. Characterization of Acinetobacter indicus ZJB20129 for heterotrophic nitrification and aerobic denitrification isolated from an urban sewage treatment plant. Bioresour. Technol. 2022, 347, 126423. [Google Scholar] [CrossRef]
- Xia, L.; Li, X.; Fan, W.; Wang, J. Heterotrophic nitrification and aerobic denitrification by a novel Acinetobacter sp. ND7 isolated from municipal activated sludge. Bioresour. Technol. 2020, 301, 122749. [Google Scholar] [CrossRef]
- Chen, J.; Gu, S.; Hao, H.; Chen, J. Characteristics and metabolic pathway of Alcaligenes sp. TB for simultaneous heterotrophic nitrification-aerobic denitrification. Appl. Microbiol. Biotechnol. 2016, 100, 9787–9794. [Google Scholar] [CrossRef]
- Li, D.; Liang, X.; Jin, Y.; Wu, C.; Zhou, R. Isolation and Nitrogen Removal Characteristics of an Aerobic Heterotrophic Nitrifying-Denitrifying Bacterium, Klebsiella sp. TN-10. Appl. Biochem. Biotechnol. 2019, 188, 540–554. [Google Scholar] [CrossRef]
- Feng, L.; Yang, J.; Ma, F.; Pi, S.; Xing, L.; Li, A. Characterisation of Pseudomonas stutzeri T13 for aerobic denitrification: Stoichiometry and reaction kinetics. Sci. Total Environ. 2020, 717, 135181. [Google Scholar] [CrossRef]
- Lang, X.; Li, Q.; Ji, M.; Yan, G.; Guo, S. Isolation and niche characteristics in simultaneous nitrification and denitrification application of an aerobic denitrifier, Acinetobacter sp. YS2. Bioresour. Technol. 2020, 302, 122799. [Google Scholar] [CrossRef]
- Kundu, P.; Pramanik, A.; Dasgupta, A.; Mukherjee, S.; Mukherjee, J. Simultaneous heterotrophic nitrification and aerobic denitrification by Chryseobacterium sp. R31 isolated from abattoir wastewater. Biomed. Res. Int. 2014, 2014, 436056. [Google Scholar] [CrossRef]
- Wang, Q.; He, J. Complete nitrogen removal via simultaneous nitrification and denitrification by a novel phosphate accumulating Thauera sp. strain SND5. Water Res. 2020, 185, 116300. [Google Scholar] [CrossRef]
- Zou, S.; Yao, S.; Ni, J. High-efficient nitrogen removal by coupling enriched autotrophic-nitrification and aerobic-denitrification consortiums at cold temperature. Bioresour. Technol. 2014, 161, 288–296. [Google Scholar] [CrossRef]
- Lei, X.; Jia, Y.; Chen, Y.; Hu, Y. Simultaneous nitrification and denitrification without nitrite accumulation by a novel isolated Ochrobactrum anthropic LJ81. Bioresour. Technol. 2019, 272, 442–450. [Google Scholar] [CrossRef]
- He, T.; Xie, D.; Li, Z.; Ni, J.; Sun, Q. Ammonium stimulates nitrate reduction during simultaneous nitrification and denitrification process by Arthrobacter arilaitensis Y-10. Bioresour. Technol. 2017, 239, 66–73. [Google Scholar] [CrossRef]
- Zhao, B.; He, Y.L.; Zhang, X.F. Nitrogen removal capability through simultaneous heterotrophic nitrification and aerobic denitrification by Bacillus sp. LY. Environ. Technol. 2010, 31, 409–416. [Google Scholar] [CrossRef]
- Sun, Y.; Li, A.; Zhang, X.; Ma, F. Regulation of dissolved oxygen from accumulated nitrite during the heterotrophic nitrification and aerobic denitrification of Pseudomonas stutzeri T13. Appl. Microbiol. Biotechnol. 2015, 99, 3243–3248. [Google Scholar] [CrossRef]
- Soto, O.; Aspé, E.; Roeckel, M. Kinetics of cross-inhibited denitrification of a high load wastewater. Enzym. Microb. Technol. 2007, 40, 1627–1634. [Google Scholar] [CrossRef]
- Song, T.; Zhang, X.; Li, J.; Wu, X.; Feng, H.; Dong, W. A review of research progress of heterotrophic nitrification and aerobic denitrification microorganisms (HNADMs). Sci. Total Environ. 2021, 801, 149319. [Google Scholar] [CrossRef]
- Wei, R.; Hui, C.; Zhang, Y.; Jiang, H.; Zhao, Y.; Du, L. Nitrogen removal characteristics and predicted conversion pathways of a heterotrophic nitrification-aerobic denitrification bacterium, Pseudomonas aeruginosa P-1. Environ. Sci. Pollut. Res. Int. 2021, 28, 7503–7514. [Google Scholar] [CrossRef]
- APHA. Standard Methods for the Examination of Water and Wastewater, 21st ed.; American Public Health Association: Washington, DC, USA, 2005. [Google Scholar] [CrossRef]
- Rout, P.R.; Bhunia, P.; Dash, R.R. Simultaneous removal of nitrogen and phosphorous from domestic wastewater using Bacillus cereus GS-5 strain exhibiting heterotrophic nitrification, aerobic denitrification and denitrifying phosphorous removal. Bioresour. Technol. 2017, 244, 484–495. [Google Scholar] [CrossRef]
- Yao, N.H.; Du, Y.N.; Xiong, J.X.; Xiao, Y.; He, H.H.; Xie, Z.F.; Huang, D.; Song, Q.; Chen, J.; Yan, D.; et al. Microbial detoxification of 3,5-xylenol via a novel process with sequential methyl oxidation by Rhodococcus sp. CHJ602. Environ. Res. 2023, 220, 115258. [Google Scholar] [CrossRef]
- Ye, X.; Peng, T.; Feng, J.; Yang, Q.; Pratush, A.; Xiong, G.; Huang, T.; Hu, Z. A novel dehydrogenase 17beta-HSDx from Rhodococcus sp. P14 with potential application in bioremediation of steroids contaminated environment. J. Hazard. Mater. 2019, 362, 170–177. [Google Scholar] [CrossRef]
- Mirzakhani, E.; Nejad, F.M. Grasses and Rhodococcus erythropolis Bacteria for Bioremediation of Naturally Polluted Soils with Hydrocarbons. Chem. Eng. Technol. 2016, 39, 1731–1737. [Google Scholar] [CrossRef]
- Zhang, Y.; Zhang, Y.; Xiong, J.; Zhao, Z.; Chai, T. The enhancement of pyridine degradation by Rhodococcus KDPy1 in coking wastewater. FEMS Microbiol. Lett. 2019, 366, fny271. [Google Scholar] [CrossRef]
- Qu, C.; Wang, W.; Dong, J.; Wang, X.; Gao, X.; Zhang, H.; Zheng, Z.; Yin, H.; Miao, J. Complete genome sequence of Rhodococcus sp. NJ-530, a DMSP-degrading actinobacterium isolated from Antarctic sea ice. 3 Biotech. 2019, 9, 363. [Google Scholar] [CrossRef]
- Kis, A.E.; Laczi, K.; Zsiros, S.; Kos, P.; Tengolics, R.; Bounedjoum, N.; Kovacs, T.; Rakhely, G.; Perei, K. Characterization of the Rhodococcus sp. MK1 strain and its pilot application for bioremediation of diesel oil-contaminated soil. Acta Microbiol. Immunol. Hung. 2017, 64, 463–482. [Google Scholar] [CrossRef]
- Ma, S.; Huang, S.; Tian, Y.; Lu, X. Heterotrophic ammonium assimilation: An important driving force for aerobic denitrification of Rhodococcus erythropolis strain Y10. Chemosphere 2022, 291, 132910. [Google Scholar] [CrossRef]
- Chen, P.; Li, J.; Li, Q.X.; Wang, Y.; Li, S.; Ren, T.; Wang, L. Simultaneous heterotrophic nitrification and aerobic denitrification by bacterium Rhodococcus sp CPZ24. Bioresour. Technol. 2012, 116, 266–270. [Google Scholar] [CrossRef]
- Jin, R.; Liu, T.; Liu, G.; Zhou, J.; Huang, J.; Wang, A. Simultaneous heterotrophic nitrification and aerobic denitrification by the marine origin bacterium Pseudomonas sp. ADN-42. Appl. Biochem. Biotechnol. 2015, 175, 2000–2011. [Google Scholar] [CrossRef]
- He, T.; Li, Z.; Sun, Q.; Xu, Y.; Ye, Q. Heterotrophic nitrification and aerobic denitrification by Pseudomonas tolaasii Y-11 without nitrite accumulation during nitrogen conversion. Bioresour. Technol. 2016, 200, 493–499. [Google Scholar] [CrossRef]
- Ren, Y.X.; Yang, L.; Liang, X. The characteristics of a novel heterotrophic nitrifying and aerobic denitrifying bacterium, Acinetobacter junii YB. Bioresour. Technol. 2014, 171, 1–9. [Google Scholar] [CrossRef]
- Zhu, L.; Ding, W.; Feng, L.J.; Kong, Y.; Xu, J.; Xu, X.Y. Isolation of aerobic denitrifiers and characterization for their potential application in the bioremediation of oligotrophic ecosystem. Bioresour. Technol. 2012, 108, 1–7. [Google Scholar] [CrossRef] [PubMed]
- Thomas, K.L.; Lloyd, D.; Boddy, L. Effects of oxygen, pH and nitrate concentration on denitrification by Pseudomonas species. FEMS Microbiol. Lett. 1994, 118, 181–186. [Google Scholar] [CrossRef]
- Idi, A.; Ibrahim, Z.; Mohamad, S.E.; Majid, Z.A. Biokinetics of nitrogen removal at high concentrations by Rhodobacter sphaeroides ADZ101. Int. Biodeterior. Biodegrad. 2015, 105, 245–251. [Google Scholar] [CrossRef]
- Xu, Y.; He, T.; Li, Z.; Ye, Q.; Chen, Y.; Xie, E.; Zhang, X. Nitrogen Removal Characteristics of Pseudomonas putida Y-9 Capable of Heterotrophic Nitrification and Aerobic Denitrification at Low Temperature. Biomed. Res. Int. 2017, 2017, 1429018. [Google Scholar] [CrossRef] [PubMed]
- Gu, X.; Leng, J.; Zhu, J.; Zhang, K.; Zhao, J.; Wu, P.; Xing, Q.; Tang, K.; Li, X.; Hu, B. Influence mechanism of C/N ratio on heterotrophic nitrification- aerobic denitrification process. Bioresour. Technol. 2022, 343, 126116. [Google Scholar] [CrossRef]
- Liu, Y.; Ai, G.M.; Miao, L.L.; Liu, Z.P. Marinobacter strain NNA5, a newly isolated and highly efficient aerobic denitrifier with zero N2O emission. Bioresour. Technol. 2016, 206, 9–15. [Google Scholar] [CrossRef]
- Ouyang, L.; Wang, K.; Liu, X.; Wong, M.H.; Hu, Z.; Chen, H.; Yang, X.; Li, S. A study on the nitrogen removal efficacy of bacterium Acinetobacter tandoii MZ-5 from a contaminated river of Shenzhen, Guangdong Province, China. Bioresour. Technol. 2020, 315, 123888. [Google Scholar] [CrossRef]
- Yang, L.; Wang, X.H.; Cui, S.; Ren, Y.X.; Yu, J.; Chen, N.; Xiao, Q.; Guo, L.K.; Wang, R.H. Simultaneous removal of nitrogen and phosphorous by heterotrophic nitrification-aerobic denitrification of a metal resistant bacterium Pseudomonas putida strain NP5. Bioresour. Technol. 2019, 285, 121360. [Google Scholar] [CrossRef]
- Chen, L.F.; Chen, L.X.; Pan, D.; Ren, Y.L.; Zhang, J.; Zhou, B.; Lin, J.Q. Ammonium removal characteristics of Delftia tsuruhatensis SDU2 with potential application in ammonium-rich wastewater treatment. Int. J. Environ. Sci. Technol. 2023, 20, 3911–3926. [Google Scholar] [CrossRef]
- Kouba, V.; Catrysse, M.; Stryjova, H.; Jonatova, I.; Volcke, E.I.P.; Svehla, P.; Bartacek, J. The impact of influent total ammonium nitrogen concentration on nitrite-oxidizing bacteria inhibition in moving bed biofilm reactor. Water Sci. Technol. 2014, 69, 1227–1233. [Google Scholar] [CrossRef]
- Alvarez, L.; Sanchez-Hevia, D.; Sanchez, M.; Berenguer, J. A new family of nitrate/nitrite transporters involved in denitrification. Int. Microbiol. 2019, 22, 19–28. [Google Scholar] [CrossRef]
- Zhao, Y.; Gao, J.; Su, S.; Shan, X.; Li, S.; Liu, H.; Yuan, Y.; Li, H. Regulation of the activity of maize glutamate dehydrogenase by ammonium and potassium. Biosci. Biotechnol. Biochem. 2021, 85, 262–271. [Google Scholar] [CrossRef] [PubMed]
- Xian, L.; Zhang, Y.; Cao, Y.; Wan, T.; Gong, Y.; Dai, C.; Ochieng, W.A.; Nasimiyu, A.T.; Li, W.; Liu, F. Glutamate dehydrogenase plays an important role in ammonium detoxification by submerged macrophytes. Sci. Total Environ. 2020, 722, 137859. [Google Scholar] [CrossRef] [PubMed]
- He, T.; Chen, M.; Ding, C.; Wu, Q.; Zhang, M. Hypothermia Pseudomonas taiwanensis J488 exhibited strong tolerance capacity to high dosages of divalent metal ions during nitrogen removal process. Bioresour. Technol. 2021, 341, 125785. [Google Scholar] [CrossRef] [PubMed]
- Pal, R.R.; Khardenavis, A.A.; Purohit, H.J. Identification and monitoring of nitrification and denitrification genes in Klebsiella pneumoniae EGD-HP19-C for its ability to perform heterotrophic nitrification and aerobic denitrification. Funct. Integr. Genom. 2015, 15, 63–76. [Google Scholar] [CrossRef]
- Wang, X.; Wang, W.; Zhang, Y.; Sun, Z.; Zhang, J.; Chen, G.; Li, J. Simultaneous nitrification and denitrification by a novel isolated Pseudomonas sp. JQ-H3 using polycaprolactone as carbon source. Bioresour. Technol. 2019, 288, 121506. [Google Scholar] [CrossRef]
- Liu, T.F.; Wang, B.J.; Liu, M.; Jiang, K.Y.; Wang, L. Stutzerimonas frequens strain TF18 with superior heterotrophic nitrification-aerobic denitrification ability for the treatment of aquaculture effluent. Process Biochem. 2023, 130, 156–165. [Google Scholar] [CrossRef]






| N Source | NH4+-N | NO2−-N | NO3−-N | NH4+-N | NO2−-N | NO3−-N |
|---|---|---|---|---|---|---|
| (%) a | (mg L−1 h−1) b | |||||
| NH4+-N | 99.97 ± 0.3 (48 h) | 2.08 ± 0.03 (48 h) | ||||
| NO2−-N | 99.76 ± 0.14 (48 h) | 1.77 ± 0.01 (48 h) | ||||
| NO3−-N | 83.53 ± 0.31 (48 h) | 2.10 ± 0.02 (48 h) | ||||
| Mixed nitrogen source | 96.53 ± 0.05 (24 h) | 8.39 ± 0.25 (72 h) | 97.40 ± 0.37 (72 h) | 4.02 ± 0.02 (24 h) | 0.14 ± 0.003 (72 h) | 3.53 ± 0.03 (72 h) |
Disclaimer/Publisher’s Note: The statements, opinions and data contained in all publications are solely those of the individual author(s) and contributor(s) and not of MDPI and/or the editor(s). MDPI and/or the editor(s) disclaim responsibility for any injury to people or property resulting from any ideas, methods, instructions or products referred to in the content. |
© 2024 by the authors. Licensee MDPI, Basel, Switzerland. This article is an open access article distributed under the terms and conditions of the Creative Commons Attribution (CC BY) license (https://creativecommons.org/licenses/by/4.0/).
Share and Cite
Chen, X.; Li, S.; Zhang, W.; Li, S.; Gu, Y.; Ouyang, L. A Newly Isolated Rhodococcus sp. S2 from Landfill Leachate Capable of Heterotrophic Nitrification and Aerobic Denitrification. Water 2024, 16, 431. https://doi.org/10.3390/w16030431
Chen X, Li S, Zhang W, Li S, Gu Y, Ouyang L. A Newly Isolated Rhodococcus sp. S2 from Landfill Leachate Capable of Heterotrophic Nitrification and Aerobic Denitrification. Water. 2024; 16(3):431. https://doi.org/10.3390/w16030431
Chicago/Turabian StyleChen, Xianglan, Shuangfei Li, Wenxuan Zhang, Shaofeng Li, Yurong Gu, and Liao Ouyang. 2024. "A Newly Isolated Rhodococcus sp. S2 from Landfill Leachate Capable of Heterotrophic Nitrification and Aerobic Denitrification" Water 16, no. 3: 431. https://doi.org/10.3390/w16030431
APA StyleChen, X., Li, S., Zhang, W., Li, S., Gu, Y., & Ouyang, L. (2024). A Newly Isolated Rhodococcus sp. S2 from Landfill Leachate Capable of Heterotrophic Nitrification and Aerobic Denitrification. Water, 16(3), 431. https://doi.org/10.3390/w16030431
