Experimental Investigation of Hydraulic Characteristics for Open Channel Gates
Abstract
1. Introduction
2. Materials and Methods
2.1. Experimental System
2.2. Flow Regime and Calculation Method of Gate Overflow
- (1)
- Hydraulic flow regime of the gate
- (2)
- Calculation Method for Flow Through the Gate Opening
2.3. Experimental Scheme
3. Results
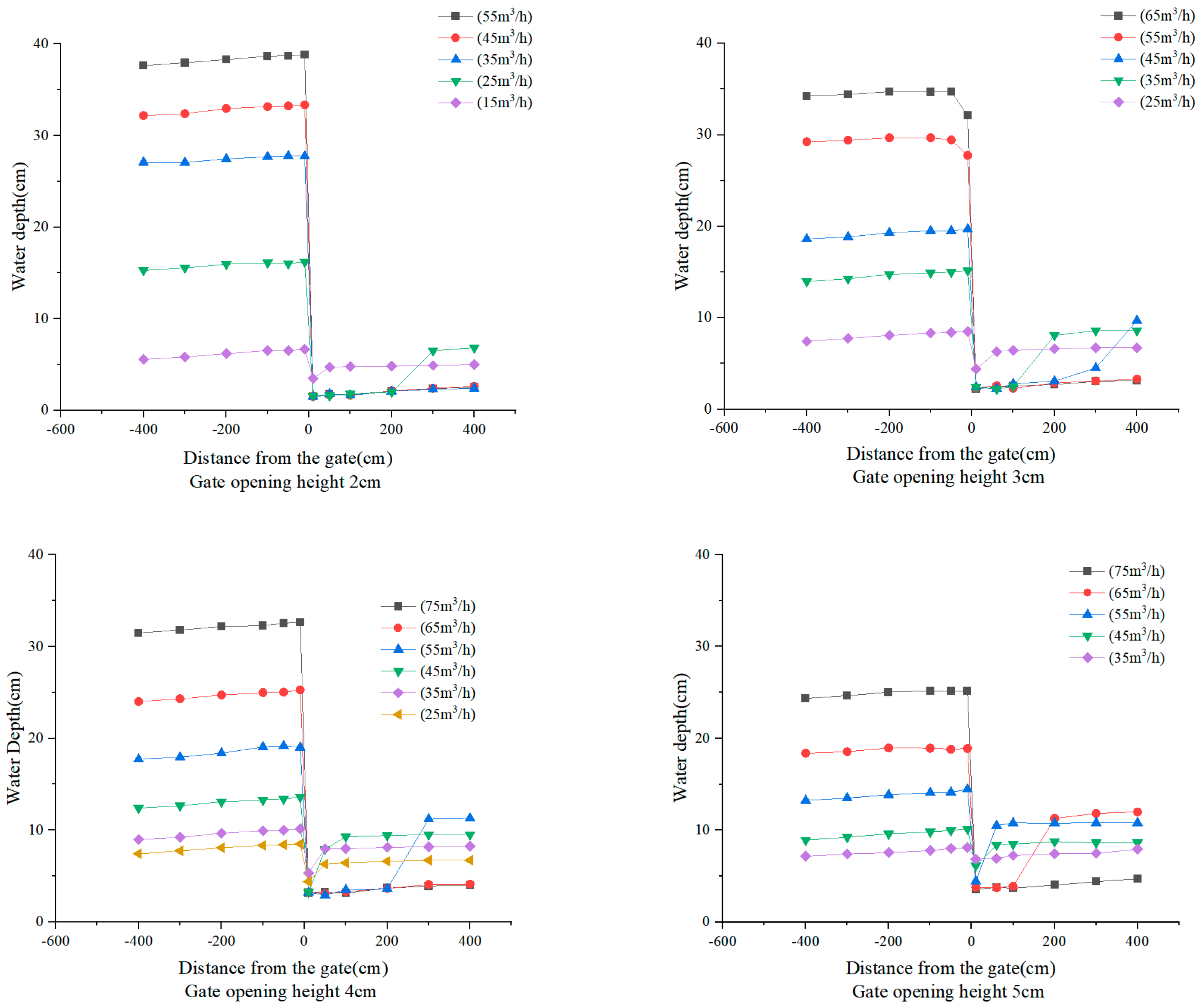
3.1. Variation of Water Surface Profile Along the Channel
3.2. Changes in Section Velocity
- (1)
- Variations in Longitudinal Distribution
- (2)
- Variations in Transverse Velocity Distribution
- (3)
- Variations in Vertical Velocity Distribution
3.3. Variations in the Distribution of Longitudinal, Transverse, and Vertical Flow Velocities Along the Vertical Line
- (1)
- Variations in the Distribution of Longitudinal Flow Velocity Along the Vertical Line
- (2)
- Changes in the Vertical Distribution of Transverse Flow Velocity
- (3)
- Changes in the Vertical Distribution of Vertical Flow Velocity
3.4. Turbulent Kinetic Energy Variation
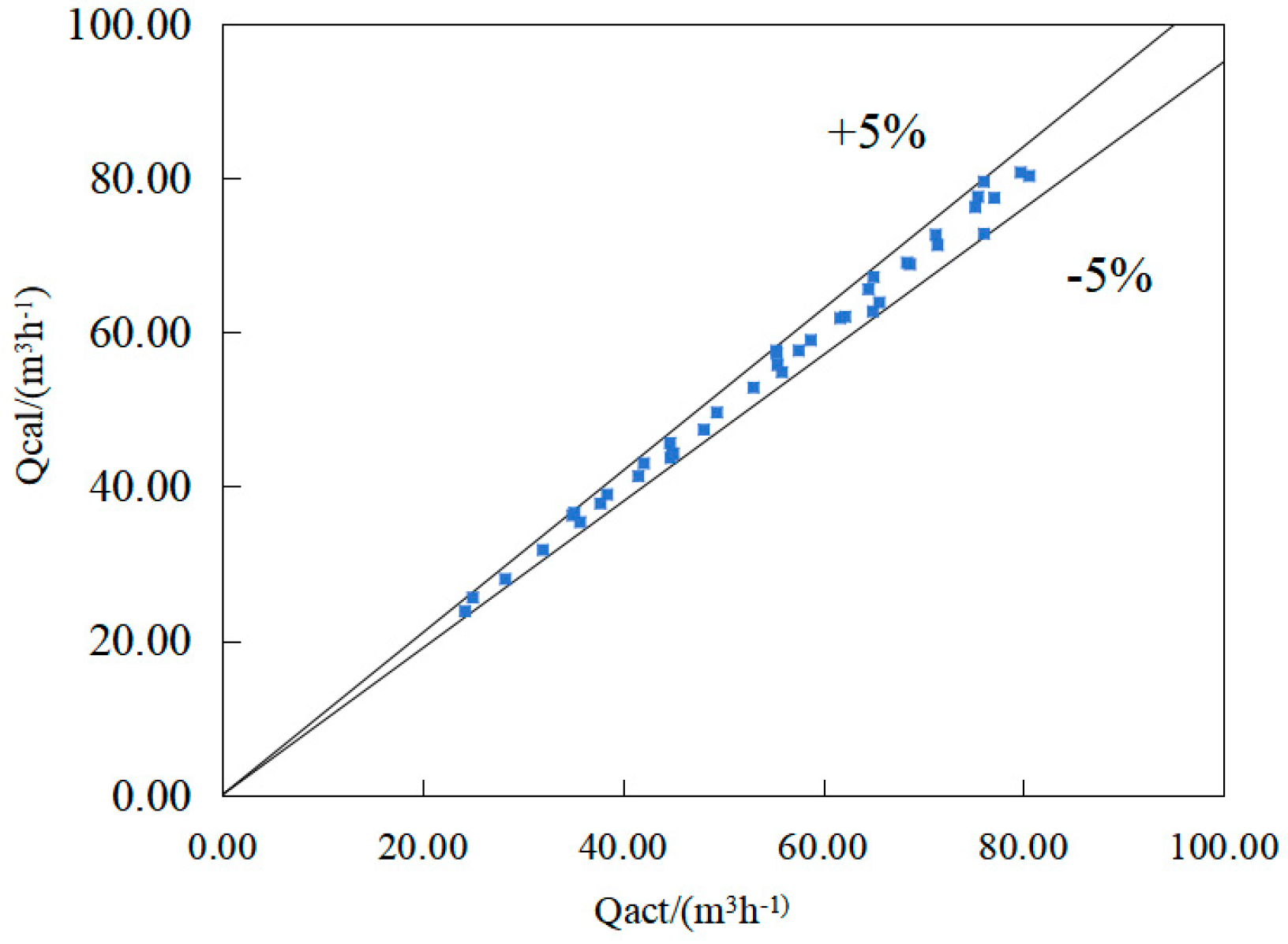
3.5. Flow Measurement Accuracy
4. Discussion
5. Conclusions
- (1)
- The water level variation trend before and after the sluice gate shows that the water level upstream of the gate rises, and the water level drops rapidly after passing through the gate opening. The water level gradually increases along the flow path and eventually stabilizes. With the gate opening kept constant, flow rate and upstream water level exhibit a positive correlation. When the flow rate remains constant, the gate opening and upstream water level show a negative correlation. When the upstream water level is low and the gate opening is large, the downstream flow velocity tends to be low, which can lead to flow stagnation.
- (2)
- Due to the influence of the sluice gate outflow, there is a noticeable difference in flow velocity across the channel section, both near the gate and further downstream. The sluice gate outflow significantly alters the magnitude and direction of the flow velocity. The longitudinal flow velocity distribution near the sluice gate section shows that the velocity increases as it approaches the gate opening and decreases near the water surface. The impact of the sluice gate on distant sections is weaker. The lateral flow velocity distribution near the gate is influenced by the gate opening, with distinct velocity variations, while further downstream, the lateral flow velocity exhibits a symmetrical distribution, displaying typical flow stagnation characteristics. The vertical velocity distribution near the sluice gate shows that the outflow velocity near the surface is very small, approaching zero, while the maximum velocity occurs in the middle layer below the surface. Farther from the gate, the vertical velocity is smaller, with less influence from the sluice gate.
- (3)
- In the straight section of the channel, far from the sluice gate, the flow regime is stable, with weak turbulence. The turbulent energy distribution is symmetrical across the channel width, with stronger turbulence near the sidewalls and channel bed. The turbulent energy distribution near the sluice gate is similar to other sections, but the intensity of turbulence increases noticeably due to changes in the section.
- (4)
- The flow coefficient formula derived in this study has a coefficient of determination of 0.9478, indicating a good correlation. Comparing the flow measurement accuracy under different working conditions, the relative error distribution remains within ±5%, with a maximum value of 4.49% and an average value of 3.17%.
Author Contributions
Funding
Data Availability Statement
Conflicts of Interest
Glossary
| List of notations | |||
| Symbol description | |||
| x | Longitudinal direction | Ht | Downstream water level of the gate |
| y | Lateral direction | Free discharge flow coefficient | |
| z | Vertical direction | Submerged discharge flow coefficient | |
| H | Upstream water level of the gate | k | Turbulent kinetic energy |
| H0 | Total water head in front of the gate including water kinetic energy | u′ | Longitudinal fluctuating velocity |
| e | Gate opening | v′ | Lateral fluctuating velocity |
| Hc | Critical water depth | w′ | Vertical fluctuating velocity |
| b | Gate width | g | Gravitational acceleration |
References
- Xu, J.Z. Reflections on the construction of modern ecological irrigation districts. China Water Resour. 2024, 19, 12–18. [Google Scholar]
- Dou, M.; Qin, C.; Li, G.; Wang, C. Research on calculation method of free flow discharge based on artificial neural network and regression analysis. Flow Meas. Instrum. 2020, 72, 101707. [Google Scholar] [CrossRef]
- Bijankhan, M.; Kouchakzadeh, S.; Belaud, G. Application of the submerged experimental velocity profiles for the sluice gate’s stage-discharge relationship. Flow Meas. Instrum. 2017, 54, 97–108. [Google Scholar] [CrossRef]
- Nouri, M.; Sihag, P.; Salmasi, F.; Kisi, O. Energy loss in skimming flow over cascade spillways: Comparison of artificial intelligence-based and regression methods. Appl. Sci. 2020, 10, 6903. [Google Scholar] [CrossRef]
- Li, L.; Zhao, S. Study on the Hydraulics of Vertical Trapezoidal Sluice Gate under Free Flow Conditions. J. Hydraul. Eng. 2023, 54, 677–685, 695. [Google Scholar]
- Akoz, M.S.; Kirkgoz, M.S.; Oner, A.A. Experimental and numerical modeling of a sluice gate flow. J. Hydraul. Res. 2009, 47, 167–176. [Google Scholar] [CrossRef]
- Guan, G.; Huang, Y.; Xiong, J.; Jin, W.R. Uniform flow rate calibration model for flat gate under free-submerged orifice flow. Trans. Chin. Soc. Agric. Eng. 2020, 36, 197–204. [Google Scholar]
- Guo, Y.X.; Wang, Y.S.; Guo, X.L.; Hu, W.; Zhu, R. New discharge algorithms of radial gates based on the flow regime identification. J. Hydraul. Eng. 2018, 49, 907–916. [Google Scholar]
- Albertson, M.L.; Dai, Y.B.; Jensen, R.A.; Rouse, H. Diffusion of submerged jets. Trans. Am. Soc. Civ. Eng. 1950, 115, 639–664. [Google Scholar] [CrossRef]
- Habibzadeh, A.; Vatankhah, A.R.; Rajaratnam, N. Role of energy loss on discharge characteristics of sluice gates. J. Hydraul. Eng. 2011, 137, 1079–1084. [Google Scholar] [CrossRef]
- Vaheddoost, B.; Safarí, M.J.S.; Zeynali, R.I. Discharge coefficient for vertical sluice gate under submerged condition using contraction and energy loss coefficients. Flow Meas. Instrum. 2021, 80, 102007. [Google Scholar] [CrossRef]
- Salehi, S.; Azimi, A.H. Discharge characteristics of weir-orifice and weir-gate structures. J. Irrig. Drain. Eng. 2019, 145, 04019025. [Google Scholar] [CrossRef]
- Epple, P.; Steppert, M.; Steber, M.; Malcherek, A. Theoretical and numerical analysis of the pressure distribution and discharge velocity in flows under sluice gates. In Proceedings of the Asme Fluids Engineering Division Summer Meeting, Montreal, QC, Canada, 15–20 July 2018. [Google Scholar]
- Kubrak, E.; Kubrak, J.; Kiczko, A.; Kubrak, M. Flow measurements using a sluice gate; analysis of applicability. Water 2020, 12, 819. [Google Scholar] [CrossRef]
- Rady, E.H. Modeling of flow characteristics beneath vertical and inclinedsluicegates using artificial neural networks. Ain Shams Eng. J. 2016, 7, 917–924. [Google Scholar] [CrossRef]
- Bijankhan, M.; Kouchakzadeh, S. The hydraulics of parallel sluice gates under low flow delivery condition. Flow Meas. Instrum. 2015, 41, 140–148. [Google Scholar] [CrossRef]
- Kotecki, S.W. Numerical modelling of flow through moving water-control gates by vortex method. Part II—Calculation result. Arch. Civ. Mech. Eng. 2008, 8, 73–89. [Google Scholar] [CrossRef]
- Araz, M.; Gharangik, M.; Chaudhry, H. Numerical simulation of hydraulic jump. J. Hydraul. Eng. 1991, 117, 1195–1221. [Google Scholar]
- Abbaspour, A.; Farsadizadeh, D.; Hsseinadeh, A.; Sadraddini, A.A. Numerical study of hydraulic jumps on corrugated beds using turbulence models. J. Eng. Environ. 2009, 33, 61–72. [Google Scholar]
- Huang, H.Y. Numerical Simulation of Flow Under Small Opening Degrees of a Flat Gate and Study on Flow Characteristics Around the Gate Slot; Kunming University of Science and Technology: Kunming, China, 2011. [Google Scholar]
- Ghodsian, M. Flow through Side Sluice Gate. J. Irrig. Drain. Eng. 2003, 129, 458–463. [Google Scholar] [CrossRef]
- Shahrokhnia, M.A.; Javan, M. Dimensionless Stage-Discharge Relationship in Radial Gates. J. Irrig. Drain. Eng. 2006, 132, 180–184. [Google Scholar] [CrossRef]
- Kim, D.G. Numerical analysis of free flow past a sluice gate. KSCE J. Civ. Eng. 2007, 11, 127–132. [Google Scholar] [CrossRef]
- Ghaderi, A.; Dasineh, M.; Aristodemo, F.; Aricò, C. Numerical simulations of the flow field of a submerged hydraulic jump over triangular macroroughnesses. Water 2021, 13, 674. [Google Scholar] [CrossRef]
- Alhamid, A.A. Coefficient of Discharge for Free Flow Sluice Gates; King Saud University: Riyadh, Saudi Arabia, 1999. [Google Scholar]
- Ferro, V. Simultaneous Flow over and Under a Gate. J. Irrig. Drain. Eng. Eng. 2000, 126, 190–193. [Google Scholar] [CrossRef]
- Ansar, M.; Alexis, A.; Danisse, E. Improved Flow Computational Procedures at Kissimmee-River Gated Structures. World Water Environ. Resour. Congr. 2001, 1–10. [Google Scholar]
- Clemmens, A.J.; Strelkoff, T.S.; Replogle, J.A. Calibration of Submerged Radial Gates. J. Hydraul. Eng. 2003, 129, 457–466. [Google Scholar] [CrossRef]
- Song, Z.; Sun, D.; Hu, X. Application of integrated measurement and control sluice gates in the Changma South Main Canal Irrigation District. China Rural Water Hydropower 2018, 4, 73–76. [Google Scholar]
- Zhang, C.; Luo, X.; Li, K. Research on remote automatic metering sluice gate for irrigation district water transfer projects. Trans. Chin. Soc. Agric. Mach. 2014, 45, 172–177+275. [Google Scholar]
- Mareels, I.; Weyer, E.; Ooi, S.K.; Cantoni, M.; Li, Y.; Nair, G. Systems engineering for irrigation systems: Successes and challenges. Annu. Rev. Control 2005, 16, 191–204. [Google Scholar] [CrossRef]
- Wang, J.; Guan, G.; Jin, W.; Xiong, J. Three-dimensional simulation study on velocity characteristics of waterlogged cross-sections in open channels. China Rural Water Hydropower 2021, 9, 117–123. [Google Scholar]
- GB/T 21303-2017; Irrigation Channel System Measurement Standard. China Standards Press: Beijing, China, 2017; pp. 4–5.


















Disclaimer/Publisher’s Note: The statements, opinions and data contained in all publications are solely those of the individual author(s) and contributor(s) and not of MDPI and/or the editor(s). MDPI and/or the editor(s) disclaim responsibility for any injury to people or property resulting from any ideas, methods, instructions or products referred to in the content. |
© 2024 by the authors. Licensee MDPI, Basel, Switzerland. This article is an open access article distributed under the terms and conditions of the Creative Commons Attribution (CC BY) license (https://creativecommons.org/licenses/by/4.0/).
Share and Cite
Zhang, W.; Jia, X.; Wang, Y. Experimental Investigation of Hydraulic Characteristics for Open Channel Gates. Water 2024, 16, 3717. https://doi.org/10.3390/w16243717
Zhang W, Jia X, Wang Y. Experimental Investigation of Hydraulic Characteristics for Open Channel Gates. Water. 2024; 16(24):3717. https://doi.org/10.3390/w16243717
Chicago/Turabian StyleZhang, Wenzheng, Xiaomeng Jia, and Yingying Wang. 2024. "Experimental Investigation of Hydraulic Characteristics for Open Channel Gates" Water 16, no. 24: 3717. https://doi.org/10.3390/w16243717
APA StyleZhang, W., Jia, X., & Wang, Y. (2024). Experimental Investigation of Hydraulic Characteristics for Open Channel Gates. Water, 16(24), 3717. https://doi.org/10.3390/w16243717
