Algal Pigment Estimation Models to Assess Bloom Toxicity in a South American Lake
Abstract
1. Introduction
2. Materials and Methods
2.1. Lake Villarrica, Study Area
2.2. Collection of Data from Monitoring Campaigns
2.3. Data Processing
- Drop duplicate rows: Due to the nature of the data capture process, some rows are duplicated across various years. Thus, we remove these duplicate rows to ensure data integrity.
- Elimination of non-numeric values: Non-numeric values of the selected variables were replaced by null values.
- Extract temporal data: The year, month, and day of each measurement were extracted and checked for consistency and completeness.
- Imputation of null values: A sensitive imputation for null values was applied using the median, a robust measure of central tendency for each station and season considered.
- Detection and capping of outliers: We used the Isolation Forest technique to detect multivariate outliers in the data. This method utilizes recursive partitioning within a tree structure to isolate samples that deviate from most of the data [44]. To fill the outliers, we use the kNN imputer, a technique that locates the k nearest neighbors for a missing datum from complete instances in a data set. It fills in the missing value with the most frequent neighbor value if the feature is categorical (majority rule) or with the mean if the feature is numerical [45].
2.4. Regression Estimation Models
- Linear relationship: There is a linear correlation between the dependent variable (PC) and covariates like Chl-a.
- Gauss–Markov Theorem: Ordinary least squares (OLS) satisfies the criteria of being the best linear unbiased estimator (BLUE). It has the smallest variance among all linear unbiased estimators, being linear in its parameters, and unbiased with expected values equal to true parameter values.
- Interpretability: Coefficients from the OLS model are easy to interpret.
- Simplicity: OLS satisfies the principle of parsimony, which is beneficial for model simplicity.
- Robustness and sufficient sample size: We have a sufficient sample size of at least 40 samples per station (Table 1) and season across years, meeting the requirements of the Central Limit Theorem.
- Non-high dimensionality: With only 7 potential predictors, regularization methods are unnecessary.
- Robustness to outliers: We implemented robust techniques such as Isolation Forest and kNN for outlier detection and outliers’ imputation (see Section 2.3), reducing the need for methods like Huber regression.
2.5. Sampling of the Algal Community
3. Results
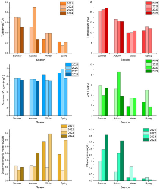
3.1. Water Quality Behavior During Period 2021–2024
3.2. Analysis of Correlation Between Quality Parameters
3.3. Estimation Models
3.3.1. Case 1: PC ~ f(Chl-a) (−237 < AIC < 234)
3.3.2. Case 2: PC ~ f(Chl-a+Temp) (−280 < AIC < 288)
3.3.3. Case 3: PC ~ f(Chl-a+Temp+NTU) (−544 < AIC < 243)
3.3.4. Case 4: PC~ f(Chla+Temp+NTU+MOD) (−690 < AIC < 245)
3.4. Metrics Assessment
3.5. Specific Composition and Relative Abundance of the Phytoplankton Community
4. Discussion
5. Conclusions
Supplementary Materials
Author Contributions
Funding
Data Availability Statement
Acknowledgments
Conflicts of Interest
References
- Pinto, R.; Vilarinho, R.; Carvalho, A.P.; Moreira, J.A.; Guimarães, L.; Oliva-Teles, L. Raman Spectroscopy Applied to Diatoms (Microalgae, Bacillariophyta): Prospective Use in the Environmental Diagnosis of Freshwater Ecosystems. Water Res. 2021, 198, 117102. [Google Scholar] [CrossRef] [PubMed]
- Rodríguez-López, L.; Lami, A.; El Ouahabi, M.; Fagel, N.; Álvarez, D.; González-Rodríguez, L.; Schmidt, S.; Urrutia, R. Fossil Pigments and Environmental Conditions in the Oligotrophic Laja Lake in the Chilean Andes. Anthropocene 2022, 37, 100321. [Google Scholar] [CrossRef]
- Patel, A.K.; Albarico, F.P.J.B.; Perumal, P.K.; Vadrale, A.P.; Ntan, C.T.; Chau, H.T.B.; Anwar, C.; ud dinWani, H.M.; Pal, A.; Saini, R.; et al. Algae as an Emerging Source of Bioactive Pigments. Bioresour. Technol. 2022, 351, 126910. [Google Scholar] [CrossRef] [PubMed]
- Chini Zittelli, G.; Lauceri, R.; Faraloni, C.; Silva Benavides, A.M.; Torzillo, G. Valuable Pigments from Microalgae: Phycobiliproteins, Primary Carotenoids, and Fucoxanthin. Photochem. Photobiol. Sci. 2023, 22, 1733–1789. [Google Scholar] [CrossRef]
- Elisabeth, B.; Rayen, F.; Behnam, T. Microalgae Culture Quality Indicators: A Review. Crit. Rev. Biotechnol. 2021, 41, 457–473. [Google Scholar] [CrossRef] [PubMed]
- López-Sánchez, A.; Silva-Gálvez, A.L.; Aguilar-Juárez, Ó.; Senés-Guerrero, C.; Orozco-Nunnelly, D.A.; Carrillo-Nieves, D.; Gradilla-Hernández, M.S. Microalgae-Based Livestock Wastewater Treatment (MbWT) as a Circular Bioeconomy Approach: Enhancement of Biomass Productivity, Pollutant Removal and High-Value Compound Production. J. Environ. Manag. 2022, 308, 114612. [Google Scholar] [CrossRef]
- de Oliveira Soares Silva Mizael, J.; Cardoso-Silva, S.; Frascareli, D.; Pompêo, M.L.M.; Moschini-Carlos, V. Ecosystem History of a Tropical Reservoir Revealed by Metals, Nutrients and Photosynthetic Pigments Preserved in Sediments. Catena 2020, 184, 104242. [Google Scholar] [CrossRef]
- Belle, S.; Delcamp, E.; Nilsson, L.J.; Freiberg, R.; Appleby, G.P.; Piliposian, T.G.; Tõnno, I. Use of Sedimentary Algal Pigment Analyses to Infer Past Lake-Water Total Phosphorus Concentrations. J. Paleolimnol. 2022, 68, 415–426. [Google Scholar] [CrossRef]
- Kakade, A.; Salama, E.S.; Han, H.; Zheng, Y.; Kulshrestha, S.; Jalalah, M.; Harraz, F.A.; Alsareii, S.A.; Li, X. World Eutrophic Pollution of Lake and River: Biotreatment Potential and Future Perspectives. Environ. Technol. Innov. 2021, 23, 101604. [Google Scholar] [CrossRef]
- Pan, T.; Cui, C.; Qin, B.; Ding, K.; Zhou, J. Climate Change Intensifies Algal Biomass Resurgence in Eutrophic Lake Taihu, China. Sci. Total Environ. 2024, 926, 171934. [Google Scholar] [CrossRef]
- Sukenik, A.; Kaplan, A. Cyanobacterial Harmful Algal Blooms in Aquatic Ecosystems: A Comprehensive Outlook on Current and Emerging Mitigation and Control Approaches. Microorganisms 2021, 9, 1472. [Google Scholar] [CrossRef]
- Narayanan, M.; Devarayan, K.; Verma, M.; Selvaraj, M.; Ghramh, H.A.; Kandasamy, S. Assessing the Ecological Impact of Pesticides/Herbicides on Algal Communities: A Comprehensive Review. Aquat. Toxicol. 2024, 268, 106851. [Google Scholar] [CrossRef]
- Ward, N.K.; Steele, B.G.; Weathers, K.C.; Cottingham, K.L.; Ewing, H.A.; Hanson, P.C.; Carey, C.C. Differential Responses of Maximum Versus Median Chlorophyll-a to Air Temperature and Nutrient Loads in an Oligotrophic Lake Over 31 Years. Water Resour. Res. 2020, 56, e2020WR027296. [Google Scholar] [CrossRef]
- Rotta, L.; Alcântara, E.; Park, E.; Bernardo, N.; Watanabe, F. A Single Semi-Analytical Algorithm to Retrieve Chlorophyll-a Concentration in Oligo-to-Hypereutrophic Waters of a Tropical Reservoir Cascade. Ecol. Indic. 2021, 120, 106913. [Google Scholar] [CrossRef]
- Chegoonian, A.M.; Zolfaghari, K.; Leavitt, P.R.; Baulch, H.M.; Duguay, C.R. Improvement of Field Fluorometry Estimates of Chlorophyll a Concentration in a Cyanobacteria-Rich Eutrophic Lake. Limnol. Ocean. Methods 2022, 20, 193–209. [Google Scholar] [CrossRef]
- Rogora, M.; Austoni, M.; Caroni, R.; Giacomotti, P.; Kamburska, L.; Marchetto, A.; Mosello, R.; Orrù, A.; Tartari, G.; Dresti, C. Temporal Changes in Nutrients in a Deep Oligomictic Lake: The Role of External Loads versus Climate Change. J. Limnol. 2021, 80, 2051. [Google Scholar] [CrossRef]
- Taipale, S.J.; Ventelä, A.M.; Litmanen, J.; Anttila, L. Poor Nutritional Quality of Primary Producers and Zooplankton Driven by Eutrophication Is Mitigated at Upper Trophic Levels. Ecol. Evol. 2022, 12, e8687. [Google Scholar] [CrossRef]
- Zhao, L.; Zhu, R.; Zhou, Q.; Jeppesen, E.; Yang, K. Trophic Status and Lake Depth Play Important Roles in Determining the Nutrient-Chlorophyll a Relationship: Evidence from Thousands of Lakes Globally. Water Res. 2023, 242, 120182. [Google Scholar] [CrossRef]
- Chatterjee, S.; More, M. Cyanobacterial Harmful Algal Bloom Toxin Microcystin and Increased Vibrio Occurrence as Climate-Change-Induced Biological Co-Stressors: Exposure and Disease Outcomes via Their Interaction with Gut–Liver–Brain Axis. Toxins 2023, 15, 289. [Google Scholar] [CrossRef] [PubMed]
- Mishra, R.K. The Effect of Eutrophication on Drinking Water. Br. J. Multidiscip. Adv. Stud. 2023, 4, 7–20. [Google Scholar] [CrossRef]
- Muruganandam, M.; Rajamanickam, S.; Sivarethinamohan, S.; Gaddam, M.K.R.; Velusamy, P.; Gomathi, R.; Ravindiran, G.; Gurugubelli, T.R.; Muniasamy, S.K. Impact of Climate Change and Anthropogenic Activities on Aquatic Ecosystem—A Review. Environ. Res. 2023, 238, 117233. [Google Scholar]
- Glibert, P.M. Harmful Algae at the Complex Nexus of Eutrophication and Climate Change. Harmful Algae 2020, 91, 101583. [Google Scholar] [CrossRef]
- Trottet, A.; George, C.; Drillet, G.; Lauro, F.M. Aquaculture in Coastal Urbanized Areas: A Comparative Review of the Challenges Posed by Harmful Algal Blooms. Crit. Rev. Environ. Sci. Technol. 2022, 52, 2888–2929. [Google Scholar] [CrossRef]
- Summers, E.J.; Ryder, J.L. A Critical Review of Operational Strategies for the Management of Harmful Algal Blooms (HABs) in Inland Reservoirs. J. Environ. Manag. 2023, 330, 117141. [Google Scholar] [CrossRef]
- Rodríguez-López, L.; Duran-Llacer, I.; González-Rodríguez, L.; Abarca-del-Rio, R.; Cárdenas, R.; Parra, O.; Martínez-Retureta, R.; Urrutia, R. Spectral Analysis Using LANDSAT Images to Monitor the Chlorophyll-a Concentration in Lake Laja in Chile. Ecol. Inf. 2020, 60, 101183. [Google Scholar] [CrossRef]
- Vadeboncoeur, Y.; Moore, M.V.; Stewart, S.D.; Chandra, S.; Atkins, K.S.; Baron, J.S.; Bouma-Gregson, K.; Brothers, S.; Francoeur, S.N.; Genzoli, L.; et al. Blue Waters, Green Bottoms: Benthic Filamentous Algal Blooms Are an Emerging Threat to Clear Lakes Worldwide. Bioscience 2021, 71, 1011–1027. [Google Scholar] [CrossRef]
- Rashidi, H.; Baulch, H.; Gill, A.; Bharadwaj, L.; Bradford, L. Monitoring, Managing, and Communicating Risk of Harmful Algal Blooms (HABs) in Recreational Resources across Canada. Environ. Health Insights 2021, 15, 11786302211014401. [Google Scholar] [CrossRef] [PubMed]
- Song, B.; Park, K. Detection of Aquatic Plants Using Multispectral UAV Imagery and Vegetation Index. Remote Sens. 2020, 12, 387. [Google Scholar] [CrossRef]
- Qing, S.; Runa, A.; Shun, B.; Zhao, W.; Bao, Y.; Hao, Y. Distinguishing and Mapping of Aquatic Vegetations and Yellow Algae Bloom with Landsat Satellite Data in a Complex Shallow Lake, China during 1986–2018. Ecol. Indic. 2020, 112, 106073. [Google Scholar] [CrossRef]
- Camps-Valls, G.; Campos-Taberner, M.; Moreno-Martínez, Á.; Walther, S.; Duveiller, G.; Cescatti, A.; Mahecha, M.D.; Muñoz-Marí, J.; García-Haro, F.J.; Guanter, L.; et al. A Unified Vegetation Index for Quantifying the Terrestrial Biosphere. Sci. Adv. 2021, 7, eabc7447. [Google Scholar] [CrossRef]
- Liang, S.; Gong, Z.; Wang, Y.; Zhao, J.; Zhao, W. Accurate Monitoring of Submerged Aquatic Vegetation in a Macrophytic Lake Using Time-Series Sentinel-2 Images. Remote Sens. 2022, 14, 640. [Google Scholar] [CrossRef]
- Gao, H.; Li, R.; Shen, Q.; Yao, Y.; Shao, Y.; Zhou, Y.; Li, W.; Li, J.; Zhang, Y.; Liu, M. Deep-Learning-Based Automatic Extraction of Aquatic Vegetation from Sentinel-2 Images—A Case Study of Lake Honghu. Remote Sens. 2024, 16, 867. [Google Scholar] [CrossRef]
- Tompoulidou, M.; Karadimou, E.; Apostolakis, A.; Tsiaoussi, V. A Geographic Object-Based Image Approach Based on the Sentinel-2 Multispectral Instrument for Lake Aquatic Vegetation Mapping: A Complementary Tool to In Situ Monitoring. Remote Sens. 2024, 16, 916. [Google Scholar] [CrossRef]
- Ustin, S.L.; Middleton, E.M. Current and Near-Term Advances in Earth Observation for Ecological Applications. Ecol. Process. 2021, 10, 1. [Google Scholar] [CrossRef] [PubMed]
- Yin, G.; Verger, A.; Descals, A.; Filella, I.; Peñuelas, J. A Broadband Green-Red Vegetation Index for Monitoring Gross Primary Production Phenology. J. Remote Sens. 2022, 2022, 9764982. [Google Scholar] [CrossRef]
- Rodríguez-López, L.; Duran-Llacer, I.; Bravo Alvarez, L.; Lami, A.; Urrutia, R. Recovery of Water Quality and Detection of Algal Blooms in Lake Villarrica through Landsat Satellite Images and Monitoring Data. Remote Sens. 2023, 15, 1929. [Google Scholar] [CrossRef]
- Chen, J.; Chen, S.; Fu, R.; Li, D.; Jiang, H.; Wang, C.; Peng, Y.; Jia, K.; Hicks, B.J. Remote Sensing Big Data for Water Environment Monitoring: Current Status, Challenges, and Future Prospects. Earths Future 2022, 10, e2021EF002289. [Google Scholar] [CrossRef]
- Singh, J.K.; Kumar, P.; Vishwakarma, S. Multivariate and Statistical Evaluation of Coastal Water Quality and Seasonal Variation in the Physicochemical Properties of Gulf of Khambhat Region, Gujarat, India. Water Air Soil Pollut. 2022, 233, 358. [Google Scholar] [CrossRef]
- Yépez, S.; Velásquez, G.; Torres, D.; Saavedra-Passache, R.; Pincheira, M.; Cid, H.; Rodríguez-López, L.; Contreras, A.; Frappart, F.; Cristóbal, J.; et al. Spatiotemporal Variations in Biophysical Water Quality Parameters: An Integrated In Situ and Remote Sensing Analysis of an Urban Lake in Chile. Remote Sens. 2024, 16, 427. [Google Scholar] [CrossRef]
- Nimptsch, J.; Woelfl, S.; Osorio, S.; Valenzuela, J.; Moreira, C.; Ramos, V.; Castelo-Branco, R.; Leão, P.N.; Vasconcelos, V. First Record of Toxins Associated with Cyanobacterial Blooms in Oligotrophic North Patagonian Lakes of Chile—A Genomic Approach. Int. Rev. Hydrobiol. 2016, 101, 57–68. [Google Scholar] [CrossRef]
- Huovinen, P.; Ramírez, J.; Caputo, L.; Gómez, I. Mapping of Spatial and Temporal Variation of Water Characteristics through Satellite Remote Sensing in Lake Panguipulli, Chile. Sci. Total Environ. 2019, 679, 196–208. [Google Scholar] [CrossRef] [PubMed]
- Vo, T.M.; Tran, V.T.N.; Cuu, T.N.T.; Do, T.T.H.; Le, T.M. Domestic Violence and Its Association with Preterm or Low Birthweight Delivery in Vietnam. Int. J. Womens Health 2019, 11, 501–510. [Google Scholar] [CrossRef]
- Weisberg, S. Applied Linear Regression; Wiley: Hoboken, NJ, USA, 2005. [Google Scholar]
- Liu, F.T.; Ting, K.M.; Zhou, Z.H. Isolation Forest. In Proceedings of the IEEE International Conference on Data Mining, ICDM, Pisa, Italy, 15–19 December 2008; pp. 413–422. [Google Scholar]
- Zhang, S. Nearest Neighbor Selection for Iteratively KNN Imputation. J. Syst. Softw. 2012, 85, 2541–2552. [Google Scholar] [CrossRef]
- Yeo, I.; Johnson, R.A. A New Family of Power Transformations to Improve Normality or Symmetry. Biometrika 2000, 87, 954–959. [Google Scholar] [CrossRef]
- Rodríguez-López, L.; Usta, D.B.; Duran-Llacer, I.; Alvarez, L.B.; Yépez, S.; Bourrel, L.; Frappart, F.; Urrutia, R. Estimation of Water Quality Parameters through a Combination of Deep Learning and Remote Sensing Techniques in a Lake in Southern Chile. Remote Sens. 2023, 15, 4157. [Google Scholar] [CrossRef]
- Begliomini, F.N.; Barbosa, C.C.F.; Martins, V.S.; Novo, E.M.L.M.; Paulino, R.S.; Maciel, D.A.; Lima, T.M.A.; O’Shea, R.E.; Pahlevan, N.; Lamparelli, M.C. Machine Learning for Cyanobacteria Mapping on Tropical Urban Reservoirs Using PRISMA Hyperspectral Data. ISPRS J. Photogramm. Remote Sens. 2023, 204, 378–396. [Google Scholar] [CrossRef]
- Mbachu, H.I.; Nduka, E.C.; Nja, M.E. Designing a Pseudo R-Squared Goodness-of-Fit Measure in Generalized Linear Models. J. Math. Res. 2012, 4, 148. [Google Scholar] [CrossRef]






| STATION | SEASON | SAMPLES | 
|---|---|---|
| LA POZA | Spring | 125 | 
| Summer | 74 | |
| Winter | 62 | |
| Autumn | 96 | |
| PUCON | Spring | 158 | 
| Summer | 145 | |
| Winter | 32 | |
| Autumn | 161 | 
| SEASON | EQUATION | MSE (µG/L) | R2 | p-Value | 
|---|---|---|---|---|
| SPRING | Y = 0.036 × Chl-a + 0.037 | 0.03 | 0.51 | 3.18 × 10−24 | 
| SUMMER | Y = 0.256 × Chl-a − 0.285 | 1.21 | 0.63 | 6.45 × 10−25 | 
| AUTUMN | Y = 0.031 × Chl-a − 0.0024 | 0.23 | 0.83 | 2.41 × 10−42 | 
| WINTER | Y = 0.305 × Chl-a − 0.3598 | 0.02 | 0.62 | 7.44 × 10−44 | 
| SEASON | EQUATION | MSE (µG/L) | R2 | p-Value | 
|---|---|---|---|---|
| SPRING | y = 0.040 × Chl-a − 0.011 × Temp + 0.165 | 0.03 | 0.52 | 4.29 × 10−24 | 
| SUMMER | y = 0.240 × Chl-a − 0.150 × Temp + 2.847 | 1.09 | 0.67 | 2.05 × 10−26 | 
| AUTUMN | y = 0.032 × Chl-a + 0.009 × Temp − 0.155 | 0.08 | 0.82 | 3.64 × 10−41 | 
| WINTER | y = 0.247 × Chl-a + 0.048 × Temp − 0.783 | 0.04 | 0.65 | 3.72 × 10−52 | 
| SEASON | EQUATION | MSE (µG/L) | R2 | p-Value | 
|---|---|---|---|---|
| SPRING | y = 0.037 × Chl-a − 0.018 × Temp + 0.005 × NTU + 0.250 | 0.03 | 0.53 | 3.99 × 10−29 | 
| SUMMER | y = 0.201 × Chl-a − 0.143 × Temp + 0.354 × NTU + 2.421 | 0.74 | 0.78 | 3.62 × 10−27 | 
| AUTUMN | y = 0.020 × Chl-a + 0.007 × Temp + 0.174 × NTU − 0.231 | 0.04 | 0.90 | 3.64 × 10−41 | 
| WINTER | y = 0.101 × Chl-a − 0.014 × Temp + 0.046 × NTU + 0.037 | 0.02 | 0.78 | 2.04 × 10−107 | 
| SEASON | EQUATION | MSE (µg/L) | R2 | p-Value | 
|---|---|---|---|---|
| SPRING | y = 0.032 × Chl-a − 0.035 × Temp + 0.006 × NTU −0.064 × MOD + 0.619 | 0.02 | 0.55 | 4.73 × 10−37 | 
| SUMMER | y = 0.205 × Chl-a − 0.137 ×Temp + 0.364 × NTU + 0.424 × MOD + 1.769 | 0.63 | 0.81 | 1.55 × 10−26 | 
| AUTUMN | y = 0.020 × Chl-a + 0.007 × Temp + 0.174 × NTU + 0.040 × MOD − 0.244 | 0.04 | 0.91 | 6.55 × 10−49 | 
| WINTER | y = 0.101 × Chl-a − 0.014 × Temp + 0.046 × NTU − 0.075 × MOD + 0.629 | 0.02 | 0.79 | 5.92 × 10−138 | 
| DGA MONITOR YEAR | SEA- SON | NUMBER OF SAMP- LES | NUMBER OF CLASS (%) | NUMBER OF SPECIES | SPECIES MORE ABUNDANT | MAX. ABUNDANT CYANOPHYCEAN | MAX. ABUNDANT OF CERATIUM | 
|---|---|---|---|---|---|---|---|
| 2018–2020 | 100 | Bacillariophy- ceae (40%) | 63 | Diatoms: Fragilaria crotonensis. Cyanobacteria: Dolichospermum planctonicum, Green algae: Mucidosphaerium pulchellum. | 692.799 Cell/L Aphanocapsa incerta | 129.495 Cell/L | |
| 2020–2021 | 72 | Bacillariophy- ceae (93%) | 101 | Diatoms: Fragilaria crotonensis and Aulacoseira granulata Dinoflagellate: Ceratium hirundinella | 219.912 Filaments/L Dolichospermum lemmermanii | 72.517 Cell/L | |
| 2021–2022 | 120 | Bacillariophy- ceae (54%) | 54 | Diatoms: Fragilaria crotonensis and Aulacoseira granulata Cyanobacteria: Dolicospermum lemmermanii | 1.021.020 Cell/L Dolicospermum lemmermanii | 50.266 Cell/L | 
| Disclaimer/Publisher’s Note: The statements, opinions and data contained in all publications are solely those of the individual author(s) and contributor(s) and not of MDPI and/or the editor(s). MDPI and/or the editor(s) disclaim responsibility for any injury to people or property resulting from any ideas, methods, instructions or products referred to in the content. | 
© 2024 by the authors. Licensee MDPI, Basel, Switzerland. This article is an open access article distributed under the terms and conditions of the Creative Commons Attribution (CC BY) license (https://creativecommons.org/licenses/by/4.0/).
Share and Cite
Rodríguez-López, L.; Bustos Usta, D.F.; Bravo Alvarez, L.; Duran-Llacer, I.; Bourrel, L.; Frappart, F.; Cardenas, R.; Urrutia, R. Algal Pigment Estimation Models to Assess Bloom Toxicity in a South American Lake. Water 2024, 16, 3708. https://doi.org/10.3390/w16243708
Rodríguez-López L, Bustos Usta DF, Bravo Alvarez L, Duran-Llacer I, Bourrel L, Frappart F, Cardenas R, Urrutia R. Algal Pigment Estimation Models to Assess Bloom Toxicity in a South American Lake. Water. 2024; 16(24):3708. https://doi.org/10.3390/w16243708
Chicago/Turabian StyleRodríguez-López, Lien, David Francisco Bustos Usta, Lisandra Bravo Alvarez, Iongel Duran-Llacer, Luc Bourrel, Frederic Frappart, Rolando Cardenas, and Roberto Urrutia. 2024. "Algal Pigment Estimation Models to Assess Bloom Toxicity in a South American Lake" Water 16, no. 24: 3708. https://doi.org/10.3390/w16243708
APA StyleRodríguez-López, L., Bustos Usta, D. F., Bravo Alvarez, L., Duran-Llacer, I., Bourrel, L., Frappart, F., Cardenas, R., & Urrutia, R. (2024). Algal Pigment Estimation Models to Assess Bloom Toxicity in a South American Lake. Water, 16(24), 3708. https://doi.org/10.3390/w16243708
 
        







 
       