Abstract
Rewetting of drained wetlands is practiced as a method to enhance biodiversity, improve water and nutrient retention, and counteract climate change. While rewetting efforts are most commonly directed toward various types of wetlands, there are relatively few reports on the restoration of lakes drained in the past. The Olsztyn Lake District is a region where extensive, organized drainage works were carried out in the 19th century, leading to the disappearance of numerous lakes. This paper examines the changes that have occurred since the early 19th century in a group of 143 lakes identified as the complete set of fully drained lakes in the region. An analysis of cartographic materials revealed that the total area of these lakes, originally about 3000 hectares, was reduced to nearly zero by the early 20th century. However, a gradual restoration of the former lakes is now being observed, primarily as a result of spontaneous processes but also through planned interventions. The study of water quality and trophic status in 25 fully restored lakes revealed that such water bodies typically exhibit unfavorable conditions, primarily due to excessive phosphorus levels. A similar state was observed in 14 examined wetlands, which were partially rewetted. In the absence of organized restoration programs in the study region, the slow trend of passive rewetting of such water bodies is expected to continue. However, this process may be hindered by adverse hydroclimatic changes associated with ongoing climate warming.
1. Introduction
The drainage of water-related ecosystems (wetlands and lakes) represents one of the most extreme examples of human impact on the environment [1]. Such activities have primarily occurred over the past 200 years, though their history extends much further. The first attempts to drain wetlands in Central Europe date back to the Middle Ages, when such projects were carried out by monks [2]. These were small-scale initiatives that accelerated significantly from the 19th century, as land reclamation techniques advanced and so-called water associations were established to organize drainage systems for agricultural purposes [3]. In East Prussia, as well as in other regions, extensive drainage projects were undertaken in the 19th century, resulting in the lowering of water levels in lakes [4,5], and in many cases, the complete disappearance of lakes. The postglacial landscape of northeastern Poland, abundant in shallow, easily drained basins, was particularly conducive to such drainage efforts [3].
The drainage of lakes as a result of land reclamation activities is primarily reported in the literature from China, where such practices are perhaps the most thoroughly documented. The largest losses of lake areas in this region occurred during the period of intensive economic development starting in the 1950s, with the most significant decline observed in the 1970s [6,7,8,9]. For example, in the middle reaches of the Yangtze River, lake areas decreased by 58% over the 20th century [10]. However, changes in surface water areas are a multifaceted and ongoing process. It is estimated that between 1985 and 2015, a total of 58,000 km2 of global inland surface water was lost [11]. On a global scale, it is currently estimated that 54–57% of wetland areas have been lost due to human activity, and since the early 18th century, this figure likely exceeds 80% [12]. Additionally, 85% of peatlands in Germany and the Netherlands are now used for agricultural purposes [13]. Despite such significant wetland losses, they still cover 6–9% of the world’s land area, store 33% of global soil carbon, and sequester approximately 2 GtC annually [14].
The environmental impacts of wetland drainage are a well-recognized research issue. These impacts are broad and encompass hydrological, biocenotic, and biogeochemical aspects. In particular, they affect organic soils in such areas, whose properties change due to the mineralization of organic matter, and these changes are basically irreversible. As a result, the carbon flux is reversed: wetlands transition from carbon sinks to net CO2 emitters [8,15,16]. Wetland drainage also leads to the release of nutrients, which causes eutrophication in water bodies located downstream of the drained wetland [17].
The restoration of water-related ecosystems can also be seen as an opportunity to adapt to climate change, particularly in the context of deteriorating hydroclimatic conditions. Recent studies indicate that the phenomenon commonly referred to as “global greening,” driven by increased atmospheric CO2 concentrations and the subsequent greater availability of this substrate for plants, is reaching its limits and even reversing. This shift results from the escalating water deficit in the environment, caused by increased evapotranspiration and rising vapor pressure deficits in the air (a consequence of temperature increases), leading to worsening vegetation conditions in many regions worldwide [18,19]. These changes signify a shift in the climate toward warmer and drier conditions, which poses numerous challenges for agriculture, biodiversity conservation, and the activation of additional feedback loops, such as increased greenhouse gas emissions from ecosystems. However, this is just one component of the disruptions currently occurring in the global water cycle. These global changes translate to regional and local scales, manifesting as adverse river flow variations, depletion of groundwater resources, and the deterioration of surface water reservoirs [20,21]. Biodiversity indicators have also reached alarming levels in many parts of the world, including Europe, where significant declines in animal populations, such as birds and insects, are being observed [22,23].
These issues indicate that creating conditions to increase habitat moisture could be an extremely important aspect of both mitigation and adaptation efforts related to climate change, particularly those focused on water in the environment. This can be achieved through planned actions that support water retention, especially by delaying unproductive runoff during periods of water excess (winter–spring). One approach to water retention is reducing runoff from land depressions. This method has long been recommended as a beneficial form of retention, with the advantage of capturing water at the level of smaller watersheds, where flows are relatively low, the water is less contaminated, and moreover, it undergoes self-purification processes. This contrasts with reservoir-based retention on larger rivers, which generally suffer from poor ecological statuses [24,25].
Rewetting is carried out to improve the functioning of drained wetland systems, primarily by restoring habitats and biodiversity [26], improving hydrology, including flood prevention, enhancing carbon sequestration conditions [27,28], and promoting sedimentation and nutrient trapping [29,30,31]. Rewetting can be considered a part of the actions referred to as rewilding, which, while not a panacea for climate change and biodiversity loss, can bring significant benefits and improve the condition of ecosystems in both of these areas [32].
Achieving the full range of positive effects from rewilding requires a long time [2,33], but the first positive outcomes may become apparent within just a few years, primarily in the form of changes in vascular plant communities [34]. The literature on rewetting indicates that peatlands are the type of ecosystem most frequently subjected to such interventions. However, after rewetting, they typically do not return to their original state [16]. Instead, various changes occur, such as halophytization (the colonization of reed vegetation), as well as geochemical and hydrological changes. As a result of rewetting, wetlands acquire greater resources of mobile forms of nutrients [35,36], and in the absence of water level control, nutrient-rich, shallow lakes may form in areas previously occupied by peatlands [13]. Carbon accumulation, which is also one of the goals of rewetting, typically occurs in restored wetlands; however, the level of sequestration can be significantly lower compared to the original conditions before drainage [37]. Additionally, under the newly created anaerobic conditions, methane emissions may be triggered and released into the atmosphere [13]. Despite the potential for such limitations, the environmental benefits of rewetting generally outweigh the constraints associated with these actions.
Water-related ecosystems that were previously drained are particularly well-suited to performing environmental functions, as their restoration represents a return of formerly anthropogenically modified sites to a condition closer to their natural state. This presents a broad opportunity for rewetting actions, as such areas are numerous. In studies addressing the conversion of natural areas into agricultural land, the issue of drained peatlands is often raised in the context of their current rewetting [13]. However, there is little literature on the functioning of lakes that were previously drained and subsequently rehydrated. It can be expected that their restoration will yield similar benefits and face similar challenges as those observed with the rewetting of wetlands. In the Olsztyn Lake District, there is a group of special wetland sites that were anthropogenically transformed in the past, remnants of lakes drained in the second half of the 19th century and early 20th century [3]. These sites can be treated as experimental areas for monitoring the effects of restoring water retention conditions lost due to past drainage works.
The research presented in this paper offers an opportunity to track the changes occurring in these transformed ecosystems and to examine them from the perspective of the feasibility of more fully restoring them to their original state, particularly in terms of shaping the trophic state and water quality of the sites that have already been restored. This paper aims to determine to what extent the current course of rewilding, both passive and planned, can be considered a success in terms of water quality and the trophic state of partially and fully restored sites. The overarching research question of this paper is as follows: from the perspective of water quality, is it justified to increase the level of rewetting of wetlands left behind by lakes drained in the past?
2. Materials and Methods
2.1. Research Area and Study Sites
The research was conducted in the Olsztyn Lake District, which is the westernmost mesoregion of the Masurian Lake District, located in northeastern Poland. The Olsztyn Lake District covers an area of 3820 km2 and represents the geographical conditions of a young glacial landscape, shaped during the retreat of the Baltic Ice Sheet approximately 11,700 years ago. The area is characterized by varied, hilly terrain with significant forest cover and a large number of lakes. The Olsztyn Lake District has a high lake density of 4.04%, comprising 300 lakes (>1 ha) with a total area of 154 km2 [38].
The Olsztyn Lake District is a particularly interesting example of an area where, in the past (mainly in the second half of the 19th century), large-scale changes were made to the water conditions. The drainage works carried out at that time transformed many lakes into agricultural lands, primarily meadows, which were associated with the intensive development of agriculture, especially cattle farming, in the former province of East Prussia [3]. As part of the drainage activities conducted in the 19th century, shallow lakes were completely drained, and their total dewatering was achievable using the techniques of that time. Therefore, all the restored water bodies in the study area belong to the category of very shallow, polymictic lakes, with a maximum depth not exceeding 4 m. A similar topography (shallow, flat-bottomed) is also found in the valleys, which remain in a drained state to this day.
These areas were most commonly used until the period when mechanization in agriculture was introduced (the 1960s and 1970s), at which point the degree of drainage of the land, particularly the lake sediments (gyttja) and reed fen peat in the substrates of such grassland areas, proved insufficient for conducting mechanized fieldwork. As a result, the drained lake areas were increasingly abandoned, leading to their current state, which is characterized by a wide range of hydrological conditions: from those that have remained fully drained to this day, through wetland forms (partially passively re-naturized), to completely restored former lakes.
2.2. Methods
2.2.1. Cartographic and Inventory Analyses
In the first phase of the research on the transformations of former lakes, a cartographic inventory and a review of the available literature related to the study area, the Olsztyn Lake District within its current borders, were conducted. Prior to World War II, this area was entirely part of the German province of East Prussia. The locations of the former drained lakes were determined based on three main criteria:
- The presence of lakes on maps from the period 1802–1874; historical maps were analyzed to identify the location of lakes that existed before drainage projects were carried out.
- Information in the literature and regional studies indicating the existence of drained lakes in specific locations; the most detailed information was provided by the physiographic study by Leyding [39], which offered crucial historical insights into the area’s hydrography.
- The identification of artificial drainage systems; this was achieved through the analysis of maps, aerial photographs, digital terrain models, and field verification on-site. The field inventory of the sites was conducted over various periods between 2008 and 2021.
The surface area measurements of the lakes and the open water surface area were performed using the QGIS 3.30 software. The analysis utilized various cartographic materials from the period 1802–2021:
- Schroetter maps from 1802, at a scale of 1:150,000;
- Reymann maps from 1806, and the second edition of these maps from 1874;
- German Manöverkarte maps from 1907, at a scale of 1:100,000;
- German Mestissblatter maps from 1914, at a scale of 1:25,000;
- Polish topographic maps from 1962, at a scale of 1:50,000;
- Topographic maps from 1980, at a scale of 1:10,000;
- Landsat satellite images from NASA/USGS, from the years 1990, 2000, and 2021;
- Orthophotos from the years 2002, 2009, and 2021.
The maps used were georeferenced using the QGIS software to align them with the modern geographic grid based on the ETRF-2000PL/CS92 coordinate system. In this system, manual planimetric measurements of lake surface areas on topographic maps were carried out, as well as measurements of the open water surface area for satellite images and orthophotos. This georeferencing process allowed for precise comparison and analysis of historical changes in water bodies over time.
For inventory purposes, the identified objects were classified into types based on their general condition, hydrological conditions, and the proportion of open water surface relative to the estimated original area of the depression before drainage. The primary classification resulted in three types of objects:
- Type 1: lakes that are completely or nearly fully restored.
- Type 2: wetland objects (partially rewetted).
- Type 3: depressions that remain in a drained state to the present day.
The descriptive classification was further expanded with subtypes for more detailed categorization:
- Subtype 1A: fully restored lakes (>70% open water surface relative to the original area).
- Subtype 1B: largely restored lakes, partially overgrown with halophyte vegetation (35–70% open water surface).
- Subtype 2A: wetlands with fragments of open water surface (10–35%).
- Subtype 2B: wetlands largely or almost entirely covered with halophytes (<10% open water surface).
- Subtype 3A: drained objects, but still marshy to the extent that agricultural use is not feasible (no open water surface).
- Subtype 3B: fully drained objects, used agriculturally or entirely covered by trees or shrubs.
This expanded classification enables a more nuanced understanding of the restoration and hydrological conditions of the studied wetland and lake systems, allowing for more targeted analysis of rewetting and land-use impacts.
Among all 143 identified former lakes, 48 objects were selected for detailed study (Figure 1). Restored lakes of Type 1 (n = 25) were restored at different times, between 1960 and 2012, with 10 of them having been restored before 1980. The average time since restoration of these lakes was estimated to be approximately 40 years. However, the age of objects that were restored between 1962 and 1980 is uncertain due to the lack of appropriate cartographic data. As a result, the research had to rely on written sources and information provided directly by local residents.
Figure 1.
The location of the study area and the objects included in the detailed studies in 2011, 2012, and 2021, belonging to the respective types 1, 2, and 3, as well as other drained lakes in the Olsztyn Lake District; the base map is derived from the cartographic database and used under the terms of the open resource of the geoportal.gov.pl website.
The detailed study also included a group of wetlands from Type 2 (n = 14) and objects that remain in a drained state from Type 3 (n = 9) for comparative purposes. Basic information about the study objects, including their classification into types and subtypes, is provided in the Supplementary Materials in Table S1. In terms of average watershed parameters, there were no significant differences between the groups, which was important for their representativeness and comparability (Table S2).
2.2.2. Water Quality Analysis
Water quality studies of the 48 objects from Types 1–3, selected for detailed research, were conducted in 2011, 2012, and 2021. Water samples were taken during the spring (April) and summer (July) seasons each year. In the case of rewetting lakes (Type 1), water was collected from the open water column. For the drained or partially drained objects (Types 2 and 3), samples were taken near the depression or from the end section of drainage ditches or channels.
In the field, in 2011 and 2012, water quality indicators were measured using the YSI 6600 multiparameter probe (YSI Incorporated, Yellow Springs, OH, USA), which was replaced in 2021 by the updated YSI EXO2 model. The following parameters were measured using the multiparameter probe: temperature (°C), pH, specific electrical conductivity (μS·cm−1), redox potential (mV), salinity (‰), total dissolved solids (mg·dm−3), chlorophyll-a (μg·dm−3), and turbidity (NTU). To assess the trophic state, turbidity was used as an indicator to calculate the Secchi depth (SD) using an empirical relationship derived from simultaneous turbidity and SD measurements (Tb) in lake waters within the study region. The relationship between SD and Tb was fitted using statistical methods, testing the data set (n = 150) with various regression models. The best fit was obtained using an exponential function, for which the regression coefficient R² was 0.75. This relationship was defined as follows:
SD = 2.5212 × (Tb)–0.555 [m]
This approach was adopted because direct SD measurements could not be performed in objects with very shallow water columns.
The water samples collected in the field were then analyzed using standard laboratory methods at the Department of Water Management and Climatology at UWM in Olsztyn. The following parameters were measured: phosphate phosphorus (P-PO4) and total phosphorus (TP) determined using a spectrophotometric method, using the spectrophotometer Hach Lange DR 3900 (Hach Company, Loveland, CO, USA), with ammonium molybdate and tin(II) chloride; ammonium nitrogen (N-NH4) measured spectrophotometrically with sodium–potassium tartrate and Nessler’s reagent; and nitrate nitrogen (N-NO3), also determined spectrophotometrically. Total nitrogen (TN) was measured using the Kjeldahl method in 2011 and 2012 (as the sum of Kjeldahl nitrogen, N-NO2, and N-NO3), and in 2021, it was analyzed using the Multi N/C 3100 analyzer (Analytik Jena GmbH + Co. KG, Jena, Germany). The reagents for the analyses were provided by Avantor Performance Materials Poland S.A. (Gliwice, Poland) and Lach-ner s.r.o. (Neratovice, Czech Republic).
Additionally, in 2021, an analysis of the phytoplankton in the water of the studied objects was conducted using the AlgaeLabAnalyser (BBE Moldaenke GmbH, Schwentinental, Germany). This device was used to measure the concentrations of assimilatory pigments and cell counts for selected phytoplankton groups, including the following: Cyanobacteria (blue-green algae), Chlorophyta (green algae), Bacillariophyta (diatoms), and Cryptophyta (cryptophytes).
2.2.3. Data Processing
The cartographic measurement data, obtained through planimetric surface analysis on maps, were collected into a database. These data were then used to analyze the history of the entire group of 143 objects and to classify individual former lakes into their respective types (1–3) and subtypes (1A–3B).
The assessment of the trophic status of objects classified as Types 1 and 2 was carried out based on the diagnostic model proposed by Vollenweider and Kerekes [40,41]. This model relies on threshold concentrations for phosphorus, nitrogen, chlorophyll-a, and Secchi depth. To enhance the distinction between water bodies with high degrees of eutrophication, the model was further expanded with the category “polytrophy,” positioned between eutrophy and hypertrophy. The thresholds for polytrophy were defined as exceeding the upper limit of eutrophy, up to twice the value for this state. Water bodies exceeding this threshold were classified as hypertrophic, indicating extreme nutrient enrichment.
For statistical purposes, the results of the trophic status assessment for individual indicators (phosphorus, nitrogen, chlorophyll-a, and Secchi depth) were converted into numerical values as follows: oligotrophy = 1 point, mesotrophy = 2 points, eutrophy = 3 points, polytrophy = 4 points, and hypertrophy = 5 points. The overall trophic status was determined based on the average of the obtained scores, with the following classifications: <1.5 points = oligotrophy, 1.5–2.5 points = mesotrophy, 2.5–3.25 points = eutrophy, 3.25–4.0 points = polytrophy, and >4.0 points = hypertrophy. The threshold values for the trophic states of individual indicators are listed in Table S3.
The meteorological data for the period from 1951 to 2023 were obtained from the public repository of the Institute of Meteorology and Water Management, National Research Institute (Poland), for the synoptic station in Olsztyn. The values of the climate water balance index (KWB) for individual years and summer semesters were calculated based on monthly data, using the following formulas:
where
KWB = P − PET [mm],
PET = 0.0018 × (25 + t)2 × (100 − f),
P is the atmospheric precipitation [mm],
PET is the potential evapotranspiration [mm],
t is the average monthly temperature [°C],
f is the average monthly relative humidity [%].
The collected measurement data were subjected to statistical analysis using the Statistica 13 software (StatSoft Polska Sp. z o.o., Kraków, Poland), employing basic statistics and Spearman’s correlation analysis. The significance of differences in measurements of physicochemical indicators was assessed using ANOVA with repeated measures, followed by post-hoc analysis using Tukey’s and Fisher’s Least Significant Difference (LSD) tests. Data sets (groups) from individual years that showed statistical differences in the LSD test at p < 0.05 were distinguished using lowercase letters (a, b, c, …), while uppercase letters (A, B, C, …) were used to indicate differences between types of objects.
3. Results
3.1. General Condition of Lakes Drained in the Past
The conducted cartographic analyses allowed for the identification of changes that have occurred in the resources of drained lakes from the early 19th century to the present day. In particular, in the area of the Olsztyn Lake District within its current boundaries, a total of 143 lakes were identified as having been drained, primarily during the second half of the 19th century and early 20th century. This number indicates that during that period, nearly one-third of all lakes larger than 1 ha in the region were lost due to drainage activities.
The analysis, based on the digital terrain model, showed that the total original surface area of the 143 drained lakes in the Olsztyn Lake District could have been as much as 4000 ha, assuming maximum filling of the terrain depressions with water up to the level that is, in most cases, clearly visible on the digital terrain model as the former shoreline outline. However, cartographic materials from the early 19th century (Schroetter and Reymann maps) indicate a total surface area of about 3000 ha for these lakes (Figure 2).
Figure 2.
Changes in the total surface area of 143 lakes in the Olsztyn Lake District; 1802–1980 refers to the lake areas marked on topographic maps from various years, while 1990–2021 covers the surface area of open water observed on Landsat satellite images (1990, 2000, and 2021L) and orthophotomaps (2002, 2009, and 2021A).
The later edition of Reymann’s maps shows that by 1874, 36 lakes had been drained, resulting in a loss of nearly two-thirds of the total lake surface area. By this time, out of the 143 lakes, 116 had already been drained or were nearly drained (with areas <1 ha). However, the process of lake drainage continued, and by the early 20th century, according to the highly detailed Mestissblatter map at a scale of 1:25,000, only 94 hectares of water surface remained (a 97% reduction compared to the Schretter map). Polish topographic maps from 1962 indicate that the state of lake drainage from the early 20th century was maintained, while by 1980, over 400 hectares of water surface had been restored (Figure 2). Subsequent years, from 1990 onward, show a gradual, albeit slow, increase in the surface area of restored lakes, with planimetric measurements in this period only reflecting the open water surface, excluding the reed vegetation areas.
Satellite images and orthophotomaps, used at this stage of the research, did not allow for the determination of the actual shoreline extent of the studied water bodies. This implies that the area covered by surface water was, in fact, larger than what was measured. However, the measurements of the open water surface clearly indicate the successful restoration of these bodies of water. As of 2021, the surface area of open water in the 143 objects exceeded 1000 hectares (Figure 2). By that year, 55 objects had more than 1 hectare of open water surface not occupied by halophytes. In 2002, there were 49 such objects.
The gradual evolution towards restoring former water conditions was also evident in the classification of individual objects into functional types. As of 2021, among the 143 objects, 29 (20%) were classified as Type 1, meaning they were fully or largely restored lakes (Figure 3). By 2021, this number increased to 36 lakes (25%). However, lakes that could be considered fully restored (i.e., with at least 70% of the original water surface area—Type 1A) constituted a small portion of the population, with only 9 objects in 2002 and 11 objects in 2021.
Figure 3.
Number of objects belonging to each type (1–3) and subtype (1A–3B) of drained lakes in the Olsztyn Lake District; descriptions of types are in Section 2.2.1.
It was found that the largest portion of the objects belonged to Type 2—wetlands with partially restored water levels. This type accounted for 41% of all objects in 2002 and 45% in 2021. Between these years, there was a significant decrease in the number of depressions that remained completely drained (from 55 to 43 objects). Examples of objects belonging to each of the main types were presented in Figure 4. Within the identified functional subtypes, the largest group consisted of objects classified as Subtype 2B, characterized by a wetland state, completely occupied by reedbed vegetation or having very little (<10%) open water surface area (Figure 3).
Figure 4.
Examples of three distinguished types of objects. Type 1: restored lake (Sawąg); Type 2: wetland object, partially re-watered (former lake Paniany); Type 3: object currently in a fully drained state (former lake Krokowo); photos made by the author.
The changes between 2002 and 2021 primarily involved an increase in the rewetting status. In the case of seven studied sites, the change was very significant, reflected by a shift of at least two categories in the classification of subtypes (Figure 5). Three of these objects were restored through planned interventions, involving damming at the outflow, while the change in the remaining four objects occurred passively—naturally. These objects shifted in classification from Type 3 to Type 2. However, during this period, the majority of objects (98 objects, or 69%) did not change their subcategory. On the other hand, in the case of nine objects, a shift was observed in classification by one category towards reduced moisture, and two objects changed categories by as much as two subcategories. This indicates that the previous rewetting in these objects was reversed towards a higher degree of drainage.
Figure 5.
Changes in the subtypes of the studied objects (n = 143) from 2002 to 2021. A plus sign indicates a transition to categories with a higher degree of rewetting, while a minus sign indicates an increase in vegetation or drainage levels of the object.
3.2. Water Quality and Trophic Status
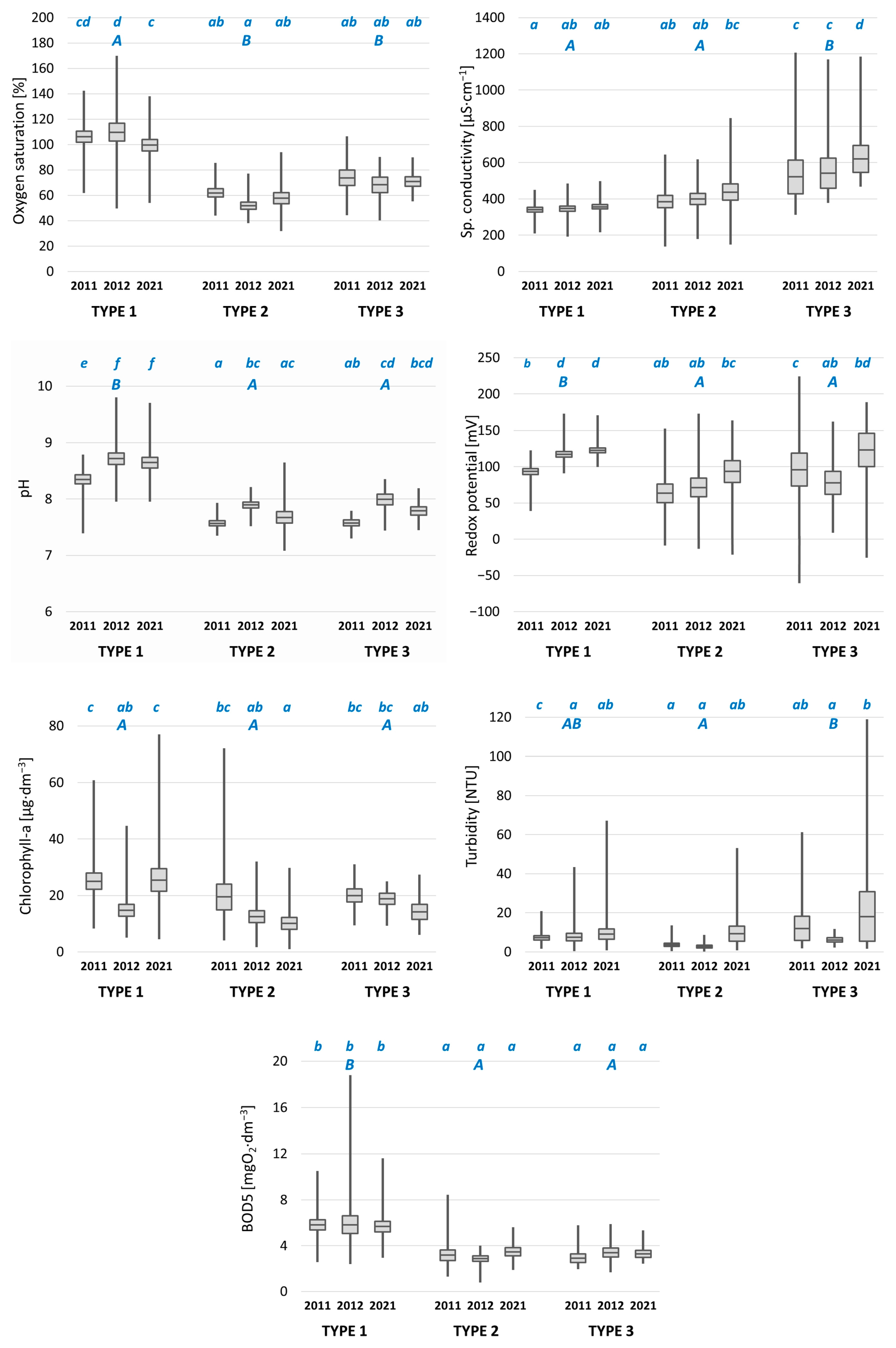
Water quality studies conducted in 2011, 2012, and 2021 showed that the studied objects were characterized by a high degree of variability, with several regularities allowing for a general assessment of the functioning of these objects, as well as an evaluation of the differences within the identified Types 1–3. In terms of basic indicators, the restored lakes (Type 1) generally exhibited better oxygen conditions, lower electrical conductivity, and higher pH and redox potential, as well as higher concentrations of chlorophyll-a and BOD5 (Figure 6) compared to objects representing the other two types. This was confirmed by the conducted analysis of the least significant differences (Fisher’s LSD test) between the types of examined objects (designations A and B in Figure 6). This indicates higher biological production in restored lakes and more efficient material cycling processes in such ecosystems.
Figure 6.
Average values (middle line), standard error of the mean (box), and extreme values (whiskers) of basic water quality indicators for the three identified types of study objects; average values were from the spring and summer seasons in 2011, 2012, and 2021. The letters a, b, etc., indicate statistically significant differences in the LSD test for specific years and objects; and A, B, etc., refer to the statistical significance of differences in the LSD test between the object types.
The studies showed that Type 2 (wetlands) and Type 3 (completely drained) objects did not differ significantly in terms of water quality, which suggests that the initial stage of rewetting does not result in significant changes in this respect. A more noticeable difference was observed between Type 1 (fully restored lakes) and Type 2 (wetland) objects, which is due to the distinct functional types of fully restored lakes compared to wetland objects. The productivity of wetlands is driven by the biomass increase of vascular plants, while in lakes, the leading role in production is played by phytoplankton. This causes fully rewetted lakes to generally have poorer trophic state ratings compared to partially rewetted wetlands in standard trophic state assessments.
Over the course of the individual study years (2011, 2012, and 2021), no clear trends were observed in the changes of the discussed water quality indicators. Within the identified types, the results obtained in most cases fell within the same or adjacent statistical difference groups (Figure 6). The differences observed can largely be attributed to the variation in meteorological conditions in the respective years, and the overall condition of the objects treated as groups (types) can be considered stable.
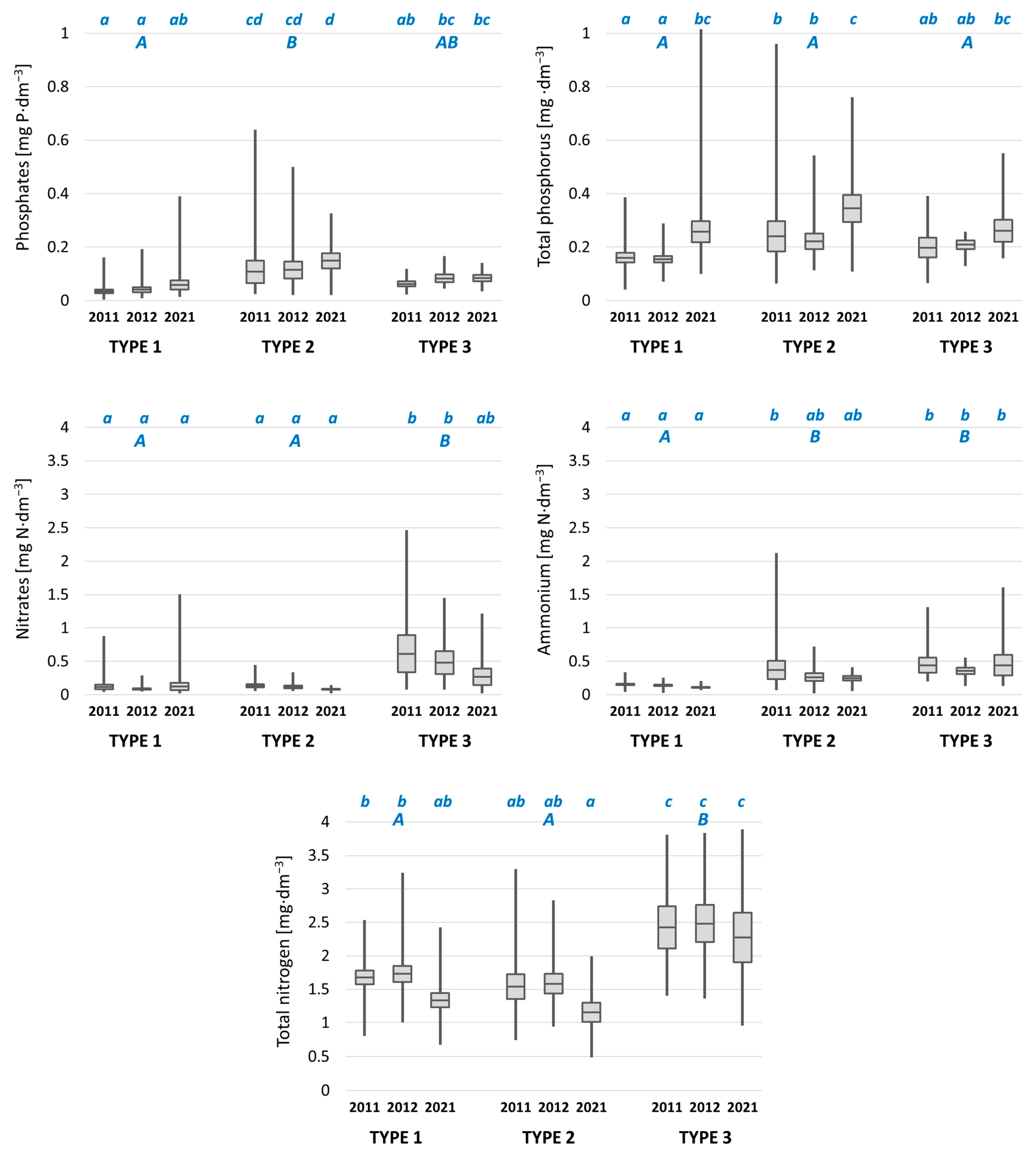
Statistical analysis of the differentiation between groups (Types 1–3) indicates that, in terms of nutrient concentrations, Type 2 and 3 objects showed more similarity to each other than to Type 1 restored lakes (Figure 7). Among the restored lakes, despite their generally unsatisfactory water quality, no cases of extremely polluted objects (with very poor water quality) were found, except for high phosphorus concentrations. In contrast, depressions of Types 2 and 3 exhibited such cases, including the former lakes of Płociduga, Fajferek, Różnowskie, Dobromiejskie, and Liznowskie. Among the 11 objects with the highest electrolytic conductivity (>500 µS/cm), all belonged to Types 2 and 3.
Figure 7.
The average values (represented by the central line), standard error of the mean (box), and extreme values (whiskers) of phosphorus and nitrogen concentrations in the water for the three identified types of study objects; average values were from the spring and summer seasons in the years 2011, 2012, and 2021. The labels a, b, (…) indicate statistically significant groups that differ in the LSD test for individual years and objects; and A, B, (…) refer to the statistical significance of differences in the LSD test between object types.
The assessment of the trophic state (Figure 8) was conducted only for Types 1 and 2. The results confirm the hypothesis of intense primary production and an excess of nutrients in the ecosystems of restored lakes (Type 1), while wetland objects (Type 2) did not show significantly better conditions compared to fully restored lakes. Both types of objects were characterized by strong eutrophication in terms of phosphorus, and in most cases, also of nitrogen. More favorable results were obtained for the chlorophyll-a indicator, which in the wetland objects of Type 2 even indicated a state of oligo-mesotrophy in some cases. Such results for wetland objects are understandable due to the different nature of primary production in these ecosystems. Biomass production occurs through the growth of vascular plants, which also cause shading of the habitat. Therefore, even if there are open water areas in such objects, they do not favor the development of phytoplankton.
Figure 8.
Trophic state of the studied objects of Type 1 (restored lakes) and Type 2 (wetlands, partially rewatered) in the years 2011, 2012, and 2021, determined based on phosphorus concentration, nitrogen concentration, chlorophyll-a, and Secchi depth, along with the overall result. Trophic state classifications: O—oligotrophic, M—mesotrophic, E—eutrophic, P—polytrophic, H—hypertrophic.
In the overall assessment of the trophic state, the majority of the objects received a result indicating eutrophication: polytrophic or extremely eutrophic—hypertrophic. In both studied groups, the proportion of objects in this state was 71%, with 21% of the restored lakes (Type 1) and 10% of the wetlands (Type 2) rated as extremely eutrophic, or hypertrophic. On the other hand, the eutrophic state, which was observed in 29% of the objects, can be considered a success, given the challenging environmental conditions for the functioning of shallow lakes in agricultural areas. The results of the assessment from different years showed no significant variability in the trophic state, both between Types 1 and 2 as well as within these groups.
The statistical analysis of Type 1 objects, considering the overall trophic state (including its components: TP, TN, CHL, and SD) and indicators characterizing the studied lakes and their watersheds, did not reveal significant dependencies for characteristics such as the lake’s age, original lake area, open water surface area, watershed area, or average slope of the watershed. The age of the lake, or the time since restoration, did not show a statistically significant correlation with the trophic state. However, the linear regression coefficient (b) for this relationship was negative, indicating that older objects tended to have slightly better trophic conditions (Figure 9).
Figure 9.
Dependencies between trophic state indicators and selected indicators of Type 1 lakes (fully restored, n = 25).
On the other hand, the trophic state of the 25 restored lakes showed a statistically significant negative correlation (p < 0.05) with the percentage of forested area (r = −0.56) and a statistically significant positive correlation with the area of agricultural land combined with urbanized areas (r = 0.44). This confirms the well-known rule that water bodies in forested watersheds tend to exhibit better conditions that facilitate maintaining a good ecological state compared to those in agricultural and urbanized areas. The absence of other statistically significant dependencies in this dataset may indicate that the functioning of rewetted lakes is influenced by individual or internal factors. The inability to identify other characteristics beyond land use in the watershed could also be due to the limited variability in the trophic state of the studied water bodies. All the objects were categorized as eutrophic, ranging from average eutrophy to extreme over-enrichment (hypertrophy). However, for shallow water bodies, this is a typical feature, as such ecosystems inherently possess weak natural resilience to degradation.
From the perspective of water quality, the occurrence of harmful algal blooms (HABs) is a significant issue, particularly in highly eutrophic lakes [42]. In the case of the studied lakes, this issue was addressed only in 2021. Summer surveys showed significant variations in the intensity of cyanobacteria blooms in the different study sites. The average concentration of cyanobacterial pigments in the restored lakes (n = 25) was relatively high, reaching 49.13 µg·dm−3, while the median concentration of this indicator was much lower, at 4.70 µg·dm−3. The average cell count was 49,100 cells·mL−1, with a median of 4700 cells·mL−1. However, in seven lakes (28% of the study area), the cyanobacteria cell count exceeded 50,000 cells·mL−1, which is the threshold beyond which a bloom is considered potentially harmful due to the possible exceedance of critical cyanotoxin concentrations.
The average proportion of cyanobacteria in the phytoplankton biomass was 32.9%, and in lakes with high cyanobacterial biomass, it even exceeded 80%. An undoubtedly interesting issue in the studied lakes was the wide range of phytoplankton biomass: from negligible amounts to very intense blooms (the maximum cyanobacterial density was 258,700 cells·mL⁻¹). The research showed that cyanobacterial biomass was correlated with the proportion of forests in the watershed (r = −0.44) and agricultural/urbanized areas (r = 0.42), indicating similar relationships to those observed in the trophic state assessment. Additionally, a statistically significant correlation was found between the cyanobacterial biomass and the degree of lake restoration (Figure 9), specifically the area of the open water surface relative to the original lake surface (r = 0.46). This suggests that lakes with a greater proportion of reedbed vegetation exhibited a lower tendency for cyanobacterial blooms.
It is also worth noting that among the objects with a high degree of restoration of the open water surface, there were cases of very low cyanobacterial biomass, which are particularly interesting from the perspective of the development of the state of re-filled lakes. However, identifying the causes of this state would require further research.
4. Discussion
The analysis of cartographic materials indicates that the initial, most significant increase in the area of rewetted wetlands occurred in the 1960s and 1970s. During this period, more than 400 hectares of previously drained land were rewetted (Figure 2), including 112 hectares related to a single lake, Maręgi, which was restored for fishery management purposes. The remaining part of this area was distributed across several smaller objects. The increase in water surface area continued in the following decades. The primary cause of these changes was undoubtedly the advancing mechanization of agriculture, which made it clear that the previously drained depressions, once cultivated using traditional agricultural methods, were insufficiently drained to allow for the use of heavy agricultural machinery.
The abandonment of such areas by agriculture can also be partly attributed to the meteorological conditions at that time. From the 1960s to the mid-1980s, the region experienced unusually wet hydrometeorological conditions. This period was characterized by high precipitation and the highest recorded values of the climatic water balance throughout the entire period from 1951. In most of those years, the climatic water balance values in the Olsztyn region were positive, even during the summer half-year (Figure 10). It can therefore be expected that such conditions caused additional difficulties in maintaining the appropriate level of drainage in the reclaimed valleys of the drained lakes.
Figure 10.
Values and trends of climatic indicators: annual average temperature, annual total precipitation, and the values of the annual and summer half-year climatic water balance for Olsztyn in the years 1951–2023.
Considering the observed increasing water deficit, it can be expected that vegetation growth conditions will deteriorate with the ongoing process of climate warming. The reversal of the “greening” trend at higher latitudes (>45°N) is due to the decreasing availability of water in soils, a consequence of the growing moisture deficit in the atmospheric air [18,19]. These phenomena are the result of rising temperatures and, simultaneously, the lack of a clear trend in changes to precipitation levels. It can be expected that these changes will continue, which means, above all, (1) a deterioration in the functioning of ecosystems, including those related to water (lakes, wetlands, and peatlands), and (2) a deterioration in carbon sequestration conditions in terrestrial systems. In temperate climate regions, this can be partially counteracted by improving water retention conditions at the level of elementary catchments, which in practice means reducing unproductive runoff that occurs in the winter half-year (October–March).
The clearly outlined decreasing trend in the climatic water balance indicator in the Olsztyn region suggests that the conditions for the functioning of aquatic ecosystems in the Olsztyn Lake District, including the objects discussed in this paper, may deteriorate in the future. This indicates the need to take actions supporting water retention. Rewetting is an exceptionally beneficial option in this regard, primarily for two reasons: (1) these are areas that were naturally depressions filled with water in the past, meaning they have suitable hydrological conditions that allow for runoff accumulation; (2) such areas have drainage systems (ditches, channels, or less commonly pipelines), where raising the water level (impounding runoff) is not a technical problem and is relatively inexpensive to implement. A significant issue, however, may arise from conflicts related to the use of surrounding areas, the moisture content of which increase after the water level in the wetland is raised, potentially limiting agricultural use of the adjacent land.
The increase in the total surface area of the water table in the studied objects over the past 30 years indicates a progressing rewetting process, which results from two types of environmental changes: (1) planned restoration of former lakes, and (2) unregulated, self-occurring changes related to the “aging” of non-maintained drainage systems. The overgrowing and filling of drainage ditches with organic matter and debris leads to the natural rise of water in drained valleys, resulting in the restoration of wetlands. Considering that the cartographic measurements taken after 1990 only referred to the area of the open water mirror not covered by reed vegetation, it can be estimated that nearly half of the former surface of drained lakes has been restored, at least to the form of wetlands with fragments of open water table.
In contrast to the rising water level in restored objects, there is a phenomenon of expansion of reed vegetation. The overgrowth by reed plants is a natural process, occurring in opposition to the increase in the water level. A lower water level facilitates the colonization of the habitat by halophytes, while an increase in the water level results in the retreat of such vegetation, simultaneously expanding the water table towards the land (increasing the surface area of the water body), and thus creating new areas for halophytes. Overgrowth by vascular plants has been observed in shallow lakes created in wetland areas in the floodplains of the Peene River in Germany, where very rapid secondary succession of halophytes was noted, leading to the disappearance of the open water table [43]. Similarly, in northeastern China (Sanjiang Plain), restored wetlands were characterized by intense overgrowth by halophytes, producing greater plant biomass than natural wetlands in the same region, although species diversity was much higher in the natural wetlands [44].
In terms of water quality, the studied objects were characterized by an unfavorable state, with the restored lakes generally exhibiting a slightly better condition than the objects remaining in a wetland or drained state. However, a significant issue appears to be the excess phosphorus in the water of the restored objects. This condition, however, can be considered stable within the scope of the conducted studies, which cover a 10-year period. Among the lakes included in this study, the longest history of research belongs to Lake Nowe Włóki, restored in the late 1970s and early 1980s, which was first studied between 1999 and 2002, about 20 years after the restoration was completed [45]. Comparing the lake’s condition from years past to the results of the current study, it can be concluded that there has been a significant increase in the water’s electrolytic conductivity and phosphorus concentration, while other indicators remained at similar levels (Table 1).
Table 1.
Average values of selected water quality indicators of Lake Nowe Włóki in 1999–2002 and in 2011, 2012, and 2021.
One of the reasons for the unfavorable conditions of the studied rewetting lakes is undoubtedly the location of most of the objects in agricultural catchments. Such objects are particularly vulnerable to pollution, which results in their poor condition. Reducing these pollutants, especially nutrients, is difficult to achieve, and typical protection methods are not always sufficient [46]. Another cause of the excess phosphorus may also be the high mobility of phosphorus in “young” water bodies, as well as the internal loading process characteristic of polymictic lakes. After wetland restoration, an increase in phosphorus mobility is observed in the early phase following rewetting, due to the release of phosphorus under reducing and hypoxic conditions, which promotes the mobilization of mineral forms of nutrients that were activated during the drying period [29]. This phase may last for about a decade, after which the wetland condition stabilizes. According to [16], the condition of the monitored wetlands did not undergo significant changes within approximately 30 years after rewetting. Conditions favorable for the release of phosphorus may also arise in existing wetlands during drought periods, when the water table drops significantly, exposing wetland soils [37,47,48]. This may be a significant issue in the context of the projected increase in the likelihood of droughts due to changing climate conditions [49].
In the functioning of shallow lakes, another important problem is internal loading, which refers to the phenomenon of the secondary release of nutrients previously deposited in bottom sediments back into the biological cycle in the water column [50,51]. This can undermine the expected improvement in lake condition following the reduction of external nutrient loading and negatively affect water quality. It is one of the main reasons why polymictic lakes function under more challenging biogeochemical conditions compared to deep dimictic lakes. Similarly, phosphorus can be released and drive productivity in inland wetlands [48].
With the advancing climate changes, as a result of higher temperatures, there is also a tendency for an increase in the proportion of cyanobacteria in the total phytoplankton biomass in shallow lakes [52]. This indicates a likely increase in the risk of harmful algal blooms in such ecosystems. This increase has been observed for years and results from the preference of cyanobacteria for higher temperatures than those typically found in surface waters, especially in temperate climate zones [53,54]. Regression models developed for shallow lakes [52] suggest that to balance the increasing dominance of cyanobacteria associated with rising temperatures, a significant reduction in nutrients in the water is necessary, in the order of 1/3 for every 1 °C increase in average temperature.
Objects of this type, as included in the study, can serve as an additional biogeochemical carbon sink, aiding the passive removal of CO2 from the atmosphere, which is a result of their high productivity. Carbon sequestration on land is an important element of the carbon cycle, which can be significant in achieving geological net-zero emissions in the future [55]. Research conducted on rewetting lakes indicates that these objects have high carbon sequestration rates, averaging around 10 Mg CO2·ha−1, with sediment deposits accumulating at an average rate of 8.6 mm per year [56]. This is a feature that represents the “flip side” of the high productivity of the ecosystem, which in itself, especially in the context of ecosystem services, is an undesirable characteristic, but it also means that such objects are above-average carbon sinks. Similar mechanisms are at play as in typical inland wetlands, which are usually net carbon sinks [57]. This results from the water inundation conditions, which hinder the diffusion of oxygen into the substrate (sediments) and create anaerobic conditions, slowing the decomposition of organic matter, leading to its accumulation [36]. However, the rising water levels in rewetting wetlands may contribute to increased methane emissions [13,58], despite their overall role as carbon sinks. Moreover, the vegetation covering wetlands can increase CH4 emissions, but on the other hand, plants also provide oxygen to the root zone, promoting the oxidation of methane [59].
5. Conclusions
The conducted analyses showed that in the Olsztyn Lake District, in an area of 3820 km², there are 143 objects that were drained as part of the drainage works carried out between the mid-19th century and the early 20th century. Currently, these objects are undergoing a specific evolution that can be described as spontaneous rewetting or passive restoration, which involves the gradual, natural restoration of wetland conditions, sometimes leading to the re-establishment of a shallow lake with an open water table. Some objects were also intentionally restored starting in the 1960s, mainly for the purposes of fisheries management.
Restored former lakes undoubtedly offer a benefit from the perspective of water resources, especially in the context of a changing climate. However, their condition, in most cases, can be described as unfavorable. As much as 71% of the fully and partially restored objects were characterized by an overfertilized state, and approximately 15% of the objects can be considered degraded. On the other hand, 29% exhibited a eutrophic state, which can be considered a success, taking into account the unfavorable morphometric and catchment conditions, as well as the fact that these objects remain unmanaged, without measures supporting the reduction of nutrient loads from the catchment.
The studied sites provide an interesting example of landscape evolution, in which spontaneous rewetting processes are occurring on a significant scale. Undoubtedly, broader-scale, planned rewetting of former lakes would be recommended, but the changes observed so far are largely progressing spontaneously in a favorable direction, at least from the water resources point-of-view. Referring to the main research question of this paper, based on the conducted studies, it can be stated that a higher level of rewetting does not cause significant changes in water quality: raising the water table may even lead to an improvement in water quality to some extent, but it also increases the risk of higher cyanobacterial biomass in the water.
Supplementary Materials
The following supporting information can be downloaded at https://www.mdpi.com/article/10.3390/w16243661/s1: Table S1: Basic data of study sites selected for detailed research; Table S2: Median values of catchment indicators for individual types of studied sites; Table S3: Limit values of indicators in the assessment of trophic states.
Funding
The results presented in this paper were obtained as part of a comprehensive study financed by the University of Warmia and Mazury in Olsztyn, Faculty of Agriculture and Forestry, Department of Water Management and Climatology (grant No. 30.610.008-110). This research was funded by the Minister of Science under “the Regional Initiative of Excellence Program”.
Data Availability Statement
Data sets for this research are available at this site: https://zenodo.org/records/14497600, accessed on 15 December 2024. Meteorological data are available in the public repository of the Institute of Meteorology and Water Management (Poland), at https://dane.imgw.pl/data/dane_pomiarowo_obserwacyjne/, accessed on 15 December 2024.
Conflicts of Interest
The author declare no conflicts of interest.
References
- Choiński, A.; Ptak, M.; Strzelczak, A. Examples of Lake Disappearance as an Effect of Reclamation Works in Poland. Limnol. Rev. 2012, 12, 161–167. [Google Scholar] [CrossRef]
- Pfadenhauer, J.; Grootjans, A. Wetland restoration in Central Europe: Aims and methods. Appl. Veg. Sci. 1999, 2, 95–106. [Google Scholar] [CrossRef]
- Skwierawski, A. Past anthropogenic changes in the lake ecosystems of late glacial landscapes in north-eastern Poland. Landsc. Res. 2018, 43, 37–49. [Google Scholar] [CrossRef]
- Superson, J.; Szwajgier, W. Natural and anthropogenic conditioning of the changes of the shoreline of Brudno, Brudziec and Płotycze lakes (the Łęczna–Włodawa Lake District). Limnol. Rev. 2003, 3, 223–229. [Google Scholar]
- Ptak, M.; Choiński, A.; Strzelczak, A.; Targosz, A. Disappearance of Lake Jelenino Since the End of the XVIII Century as an Effect of Anthropogenic Transformations of the Natural Environment. Pol. J. Environ. Stud. 2013, 22, 191–196. [Google Scholar]
- Huang, Z.; Xue, B.; Yao, S.; Pang, Y. Lake evolution and its implication for environmental changes in China during 1950–2000. J. Geogr. Sci. 2008, 18, 131–141. [Google Scholar] [CrossRef]
- Cui, L.; Gao, C.; Zhao, X.; Ma, Q.; Zhang, M.; Li, W.; Song, H.; Wang, Y.; Li, S.; Zhang, Y. Dynamics of the lakes in the middle and lower reaches of the Yangtze River basin, China, since late nineteenth century. Environ. Monit. Assess. 2013, 185, 4005–4018. [Google Scholar] [CrossRef] [PubMed]
- He, D.; Ruan, H. Long Term Effect of Land Reclamation from Lake on Chemical Composition of Soil Organic Matter and Its Mineralization. PLoS ONE 2014, 9, e99251. [Google Scholar] [CrossRef]
- Hou, X.; Feng, L.; Tang, J.; Song, X.-P.; Liu, J.; Zhang, Y.; Zheng, C.; Bryan, B.A. Anthropogenic transformation of Yangtze Plain freshwater lakes: Patterns, drivers and impacts. Remote Sens. Environ. 2020, 248, 111998. [Google Scholar] [CrossRef]
- Du, Y.; Xue, H.; Wu, S.; Ling, F.; Xiao, F.; Wei, X. Lake area changes in the middle Yangtze region of China over the 20th century. J. Environ. Manag. 2011, 92, 1248–1255. [Google Scholar] [CrossRef]
- Donchyts, G.; Baart, F.; Winsemius, H.; Gorelick, N.; Kwadijk, J.; van de Giesen, N. Earth’s surface water change over the past 30 years. Nat. Clim. Change 2016, 6, 810–813. [Google Scholar] [CrossRef]
- Davidson, N.C. How much wetland has the world lost? Long-term and recent trends in global wetland area. Mar. Freshw. Res. 2014, 65, 934–941. [Google Scholar] [CrossRef]
- Franz, D.; Koebsch, F.; Larmanou, E.; Augustin, J.; Sachs, T. High net CO2 and CH4 release at a eutrophic shallow lake on a formerly drained fen. Biogeosciences 2016, 13, 3051–3070. [Google Scholar] [CrossRef]
- Cole, J.J.; Prairie, Y.T.; Caraco, N.F.; McDowell, W.H.; Tranvik, L.J.; Striegl, R.G.; Duarte, C.M.; Kortelainen, P.; Downing, J.A.; Middelburg, J.J.; et al. Plumbing the global carbon cycle: Integrating inland waters into the terrestrial carbon budget. Ecosystems 2007, 10, 172–185. [Google Scholar] [CrossRef]
- Liu, H.; Lennartz, B. Hydraulic properties of peat soils along a bulk density gradient—A meta study. Hydrol. Process. 2019, 33, 101–114. [Google Scholar] [CrossRef]
- Kreyling, J.; Tanneberger, F.; Jansen, F.; Van Der Linden, S.; Aggenbach, C.; Blüml, V.; Couwenberg, J.; Emsens, W.J.; Joosten, H.; Klimkowska, A.; et al. Rewetting does not return drained fen peatlands to their old selves. Nat. Commun. 2021, 12, 5693. [Google Scholar] [CrossRef] [PubMed]
- Tiemeyer, B.; Kahle, P. Nitrogen and dissolved organic carbon (DOC) losses from an artificially drained grassland on organic soils. Biogeosciences 2014, 11, 4123–4137. [Google Scholar] [CrossRef]
- Yuan, W.; Zheng, Y.; Piao, S.; Ciais, P.; Lombardozzi, D.; Wang, Y.; Ryu, Y.; Chen, G.; Dong, W.; Hu, Z.; et al. Increased atmospheric vapor pressure deficit reduces global vegetation growth. Sci. Adv. 2019, 5, eaax1396. [Google Scholar] [CrossRef] [PubMed]
- Chen, B.; Ke, Y.; Ciais, P.; Zeng, Z.; Black, A.; Lv, H.; Huang, M.; Yuan, W.; Xiao, X.; Fang, J.; et al. Inhibitive effects of recent exceeding air temperature optima of vegetation productivity and increasing water limitation on photosynthesis reversed global greening. Earth’s Future 2022, 10, e2022EF002788. [Google Scholar] [CrossRef]
- Gleeson, T.; Wang-Erlandsson, L.; Porkka, M.; Zipper, S.C.; Jaramillo, F.; Gerten, D.; Fetzer, I.; Cornell, S.E.; Piemontese, L.; Gordon, L.J.; et al. Illuminating water cycle modifications and Earth system resilience in the Anthropocene. Water Resour. Res. 2020, 56, e2019WR024957. [Google Scholar] [CrossRef]
- Meerhoff, M.; Audet, J.; Davidson, T.A.; De Meester, L.; Hilt, S.; Kosten, S.; Jeppesen, E. Feedback between climate change and eutrophication: Revisiting the allied attack concept and how to strike back. Inland Waters 2022, 12, 187–204. [Google Scholar] [CrossRef]
- Wagner, D.L.; Grames, E.M.; Forister, M.L.; Berenbaum, M.R.; Stopak, D. Insect decline in the Anthropocene: Death by a thousand cuts. Proc. Natl. Acad. Sci. USA 2021, 118, e2023989118. [Google Scholar] [CrossRef]
- Garcês, A.; Silva, F.; Pires, I. Silent Europe: The collapse of common bird species. J. Adv. Vet. Res. 2022, 12, 645–647. [Google Scholar]
- Lemm, J.U.; Venohr, M.; Globevnik, L.; Stefanidis, K.; Panagopoulos, Y.; van Gils, J.; Posthuma, L.; Kristensen, P.; Feld, C.K.; Mahnkopf, J.; et al. Multiple stressors determine river ecological status at the European scale: Towards an integrated understanding of river status deterioration. Glob. Change Biol. 2021, 27, 1962–1975. [Google Scholar] [CrossRef] [PubMed]
- Ptak, M.; Heddam, S.; Zhu, S.; Sojka, M. Return to Nature: Renaturisation of Dried-Out Lakes in Poland. Resources 2023, 12, 137. [Google Scholar] [CrossRef]
- Moeslund, J.E.; Andersen, D.K.; Brunbjerg, A.K.; Bruun, H.H.; Fløjgaard, C.; McQueen, S.N.; Nygaard, B.; Ejrnæs, R. High nutrient loads hinder successful restoration of natural habitats in freshwater wetlands. Restor. Ecol. 2023, 31, e13796. [Google Scholar] [CrossRef]
- Nugent, K.A.; Strachan, I.B.; Roulet, N.T.; Strack, M.; Frolking, S.; Helbig, M. Prompt active restoration of peatlands substantially reduces climate impact. Environ. Res. Lett. 2019, 14, 124030. [Google Scholar] [CrossRef]
- Limpert, K.E.; Carnell, P.E.; Trevathan-Tackett, S.M.; Macreadie, P.I. Reducing Emissions From Degraded Floodplain Wetlands. Front. Environ. Sci. 2020, 8, 8. [Google Scholar] [CrossRef]
- Ardón, M.; Montanari, S.; Morse, J.L.; Doyle, M.W.; Bernhardt, E.S. Phosphorus export from a restored wetland ecosystem in response to natural and experimental hydrologic fluctuations. J. Geophys. Res. 2010, 115, G04031. [Google Scholar] [CrossRef]
- Chimner, R.A.; Cooper, D.J.; Wurster, F.C.; Rochefort, L. An overview of peatland restoration in North America: Where are we after 25 years? Restor. Ecol. 2017, 25, 283–292. [Google Scholar] [CrossRef]
- Audet, J.; Zak, D.; Bidstrup, J.; Hoffmann, C.C. Nitrogen and phosphorus retention in Danish restored wetlands. Ambio 2020, 49, 324–336. [Google Scholar] [CrossRef]
- Hart, E.; Haigh, A.; Ciuti, S. A scoping review of the scientific evidence base for rewilding in Europe. Biol. Conserv. 2023, 285, 110243. [Google Scholar] [CrossRef]
- Pfadenhauer, J.; Klötzli, F. Restoration experiments in middle European wet terrestrial ecosystems: An overview. Vegetatio 1996, 126, 101–115. [Google Scholar] [CrossRef]
- Mälson, K.; Backéus, I.; Rydin, H. Long-term effects of drainage and initial effects of hydrological restoration on rich fen vegetation. Appl. Veg. Sci. 2007, 11, 99–106. [Google Scholar] [CrossRef]
- Zak, D.; Wagner, C.; Payer, B.; Augustin, J.; Gelbrecht, J. Phosphorus mobilization in rewetted fens: The effect of altered peat properties and implications for their restoration. Ecol. Appl. 2010, 20, 1336–1349. [Google Scholar] [CrossRef] [PubMed]
- Marschner, P. Processes in submerged soils–linking redox potential, soil organic matter turnover and plants to nutrient cycling. Plant Soil 2021, 464, 1–12. [Google Scholar] [CrossRef]
- Schwieger, S.; Kreyling, J.; Couwenberg, J.; Smiljanić, M.; Weigel, R.; Wilmking, M.; Blume-Werry, G. Wetter is Better: Rewetting of Minerotrophic Peatlands Increases Plant Production and Moves Them Towards Carbon Sinks in a Dry Year. Ecosystems 2021, 24, 1093–1109. [Google Scholar] [CrossRef]
- Lossow, K. The role of lakes in young glacial lanscape of Mazurian Lakeland. Zesz. Probl. Post. Nauk. Rol. 1996, 431, 47–59. (In Polish) [Google Scholar]
- Leyding, G. Słownik Nazw Miejscowych Okręgu Mazurskiego. Część 2. Nazwy Fizjograficzne [Dictionary of Local Names of the Mazury District. Part 2. Physiographic Names]; PWN Poznań: Poznań, Poland, 1959. [Google Scholar]
- Vollenweider, R.A.; Kerekes, J. Eutrophication of Waters. Monitoring, Assessment and Control; OECD Cooperative Programme on Monitoring of Inland Waters (Eutrophication Control), Environment Directorate; OECD: Paris, France, 1982; p. 154. [Google Scholar]
- Nürnberg, G.K. Trophic state of clear and colored, soft- and hardwater lakes with special consideration of nutrients, anoxia, phytoplankton and fish. Lake Reserv. Manag. 1996, 12, 432–447. [Google Scholar] [CrossRef]
- Beaulieu, M.; Pick, F.; Gregory-Eaves, I. Nutrients and water temperature are significant predictors of cyanobacterial biomass in a 1147 lakes data set. Limnol. Oceanogr. 2013, 58, 1736–1746. [Google Scholar] [CrossRef]
- Zak, D.; Reuter, H.; Augustin, J.; Shatwell, T.; Barth, M.; Gelbrecht, J.; McInnes, R.J. Changes of the CO2 and CH4 production potential of rewetted fens in the perspective of temporal vegetation shifts. Biogeosciences 2015, 12, 2455–2468. [Google Scholar] [CrossRef]
- Wang, G.; Jiang, M.; Wang, M.; Xue, Z. Natural revegetation during restoration of wetlands in the Sanjiang Plain, Northeastern China. Ecol. Eng. 2019, 132, 49–55. [Google Scholar] [CrossRef]
- Skwierawski, A. Water quality of restored shallow lake Nowe Włóki (Olsztyn Lake District, Poland). Ecol. Chem. Eng. 2006, 13, 345–354. (In Polish) [Google Scholar]
- Davies, B.R.; Biggs, J.; Williams, P.J.; Lee, J.T.; Thompson, S. A comparison of the catchment sizes of rivers, streams, ponds, ditches and lakes: Implications for protecting aquatic biodiversity in an agricultural landscape. Hydrobiologia 2008, 597, 7–17. [Google Scholar] [CrossRef]
- Qiu, S.; McComb, A.J. Effects of oxygen concentration on phosphorus release from reflooded air-dried wetland sediments. Mar. Freshw. Res. 1994, 45, 1319–1328. [Google Scholar] [CrossRef]
- Song, K.-Y.; Zoh, K.-D.; Kang, H. Release of phosphate in a wetland by changes in hydrological regime. Sci. Total Environ. 2007, 380, 13–18. [Google Scholar] [CrossRef]
- Intergovernmental Panel on Climate Change (IPCC). IPCC Climate Change 2021: The Physical Science Basis-WGI Contribution to Sixth Assessment Report of the IPPC; Cambridge University Press: Cambridge, UK, 2021; 2391p. [Google Scholar] [CrossRef]
- Sondergaard, M.; Jensen, J.P.; Jeppesen, E. Internal phosphorus loading in shallow Danish lakes. Hydrobiologia 1999, 408, 145–152. [Google Scholar] [CrossRef]
- Sondergaard, M.; Jensen, P.J.; Jeppesen, E. Retention and Internal Loading of Phosphorus in Shallow, Eutrophic Lakes. Sci. World J. 2001, 1, 676350. [Google Scholar] [CrossRef] [PubMed]
- Kosten, S.; Huszar, V.L.M.; Bécares, E.; Costa, L.S.; van Donk, E.; Hansson, L.-A.; Jeppesen, E.; Kruk, C.; Lacerot, G.; Mazzeo, N.; et al. Warmer climates boost cyanobacterial dominance in shallow lakes. Glob. Change Biol. 2012, 18, 118–126. [Google Scholar] [CrossRef]
- Paerl, H.W.; Huisman, J. Blooms Like It Hot. Science 2008, 320, 57–58. [Google Scholar] [CrossRef]
- Munkes, B.; Löptien, U.; Dietze, H. Cyanobacteria blooms in the Baltic Sea: A review of models and facts. Biogeosciences 2021, 18, 2347–2378. [Google Scholar] [CrossRef]
- Allen, M.R.; Frame, D.J.; Friedlingstein, P.; Gillett, N.P.; Grassi, G.; Gregory, J.M.; Hare, W.; House, J.; Huntingford, C.; Jenkins, S.; et al. Geological Net Zero and the need for disaggregated accounting for carbon sinks. Nature 2024. [Google Scholar] [CrossRef]
- Skwierawski, A. Carbon Sequestration Potential in the Restoration of Highly Eutrophic Shallow Lakes. Int. J. Environ. Res. Public Health 2022, 19, 6308. [Google Scholar] [CrossRef]
- Kayranli, B.; Scholz, M.; Mustafa, A.; Hedmark, Å. Carbon storage and fluxes within freshwater wetlands: A critical review. Wetlands 2010, 30, 111–124. [Google Scholar] [CrossRef]
- van den Berg, M.; Gremmen, T.M.; Vroom, R.J.E.; van Huissteden, J.; Boonman, J.; van Huissteden, C.J.A.; van der Velde, Y.; Smolders, A.J.P.; van de Riet, B.P. A case study on topsoil removal and rewetting for paludiculture: Effect on biogeochemistry and greenhouse gas emissions from Typha latifolia, Typha angustifolia, and Azolla filiculoides. Biogeosciences 2024, 21, 2669–2690. [Google Scholar] [CrossRef]
- Bodmer, P.; Vroom, R.J.E.; Stepina, T.; Del Giorgio, P.A.; Kosten, S. Methane dynamics in vegetated habitats in inland waters: Quantification, regulation, and global significance. Front. Water 2024, 5, 1332968. [Google Scholar] [CrossRef]
Disclaimer/Publisher’s Note: The statements, opinions and data contained in all publications are solely those of the individual author(s) and contributor(s) and not of MDPI and/or the editor(s). MDPI and/or the editor(s) disclaim responsibility for any injury to people or property resulting from any ideas, methods, instructions or products referred to in the content. |
© 2024 by the author. Licensee MDPI, Basel, Switzerland. This article is an open access article distributed under the terms and conditions of the Creative Commons Attribution (CC BY) license (https://creativecommons.org/licenses/by/4.0/).









