A Preliminary Health Risk Assessment of Heavy Metal Contamination in Chembarambakkam Lake, Tamil Nadu, South India
Abstract
1. Introduction
2. Materials and Methods
2.1. Description of Study Area
2.2. Collection and Sample Preparation
2.3. Fish Tissue Sample Processing
2.4. Health Risk Assessment
2.4.1. Metal Index for Water
2.4.2. Metal Indices for Sediment
Geo-Accumulation Index (Igeo)
Contamination Factor (Cf) and Degree of Contamination (Cdeg)
Pollution Load Index (PLI)
Potential Ecological Risk (PER)
2.4.3. Bioaccumulation Factors
2.4.4. Estimated Daily Intake (EDI)
2.4.5. Target Hazard Quotients (THQs)
2.5. Statistical Analysis
3. Results
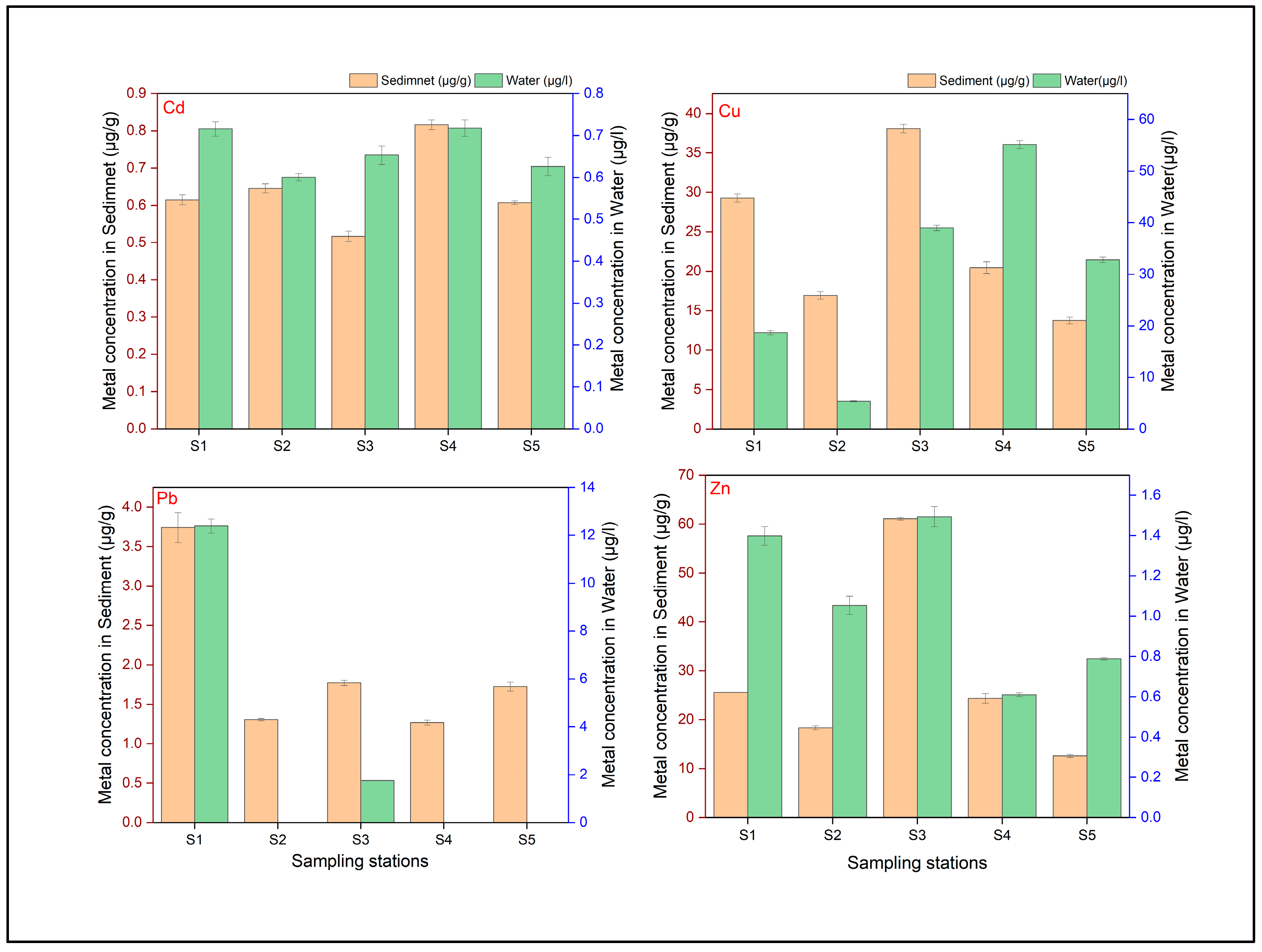
3.1. Heavy Metal Concentrations in Water and Sediment
3.2. Risk Assessment of Heavy Metals
Geo-Accumulation Index
3.3. Contamination Factor (Cf) and Contamination Degree (Cdeg)
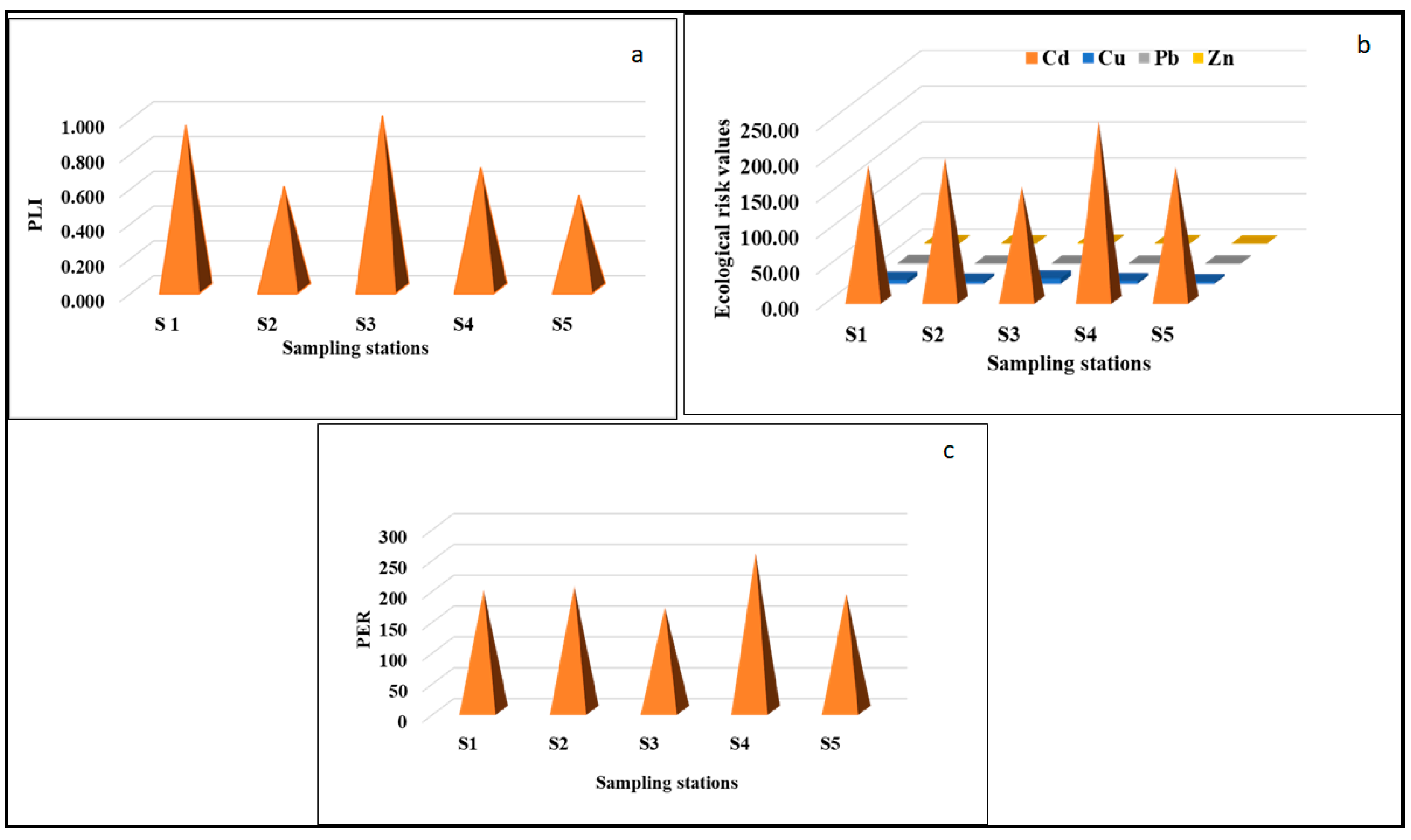
3.4. Pollution Load Index (PLI) and Potential Ecological Risk (PER)
3.5. Bioaccumulation Factor (BAF) and Exposure of Daily Intake (EDI)
3.6. Target Health Quotient (THQ)
3.7. Multivariate Analysis of Heavy Metals
Principal Component Analysis
4. Discussion
4.1. Metal Concentrations in Water, Sediment, and Fish Samples
| Metal | Permissible Limit (mg/L) | Water (µg/L) |
|---|---|---|
| Copper | 0.003 | 19.26 |
| Lead | 0.05 | 2.87 |
| Zinc | 5.00 | 1.09 |
| Cadmium | 0.05 | 0.68 |
4.2. Health Risk Assessment Findings
5. Conclusions
Supplementary Materials
Author Contributions
Funding
Data Availability Statement
Acknowledgments
Conflicts of Interest
References
- Govindasamy, C.; Kannan, L.; Jayapaul, A. Seasonal variation in physico–chemical properties and primary production in coastal water biotopes of coromandel coast, India. J. Environ. Biol. 2000, 21, 1–7. [Google Scholar]
- Cuihang, J.; Jiwei, H.; Xianfei, H.; Cuxiong, L.; Jiajun, D.; Zie, Z. Phosphorus speciation in sediments of lake Hongfeng, China. Chin. J. Oceanol. Limnol. 2011, 29, 53–62. [Google Scholar]
- Fraga, R.F.; Rocha, S.M.G.; Lima Neto, I.E. Impact of fow conditions on coliform dynamics in an urban lake in the Brazilian semiarid. Urban Water J. 2020, 17, 43–53. [Google Scholar] [CrossRef]
- Kumar, R.; Parvaze, S.; Huda, M.B.; Allaie, S.P. The changing water quality of lakes—A case study of Dal Lake, Kashmir Valley. Environ. Monit. Assess. 2022, 194, 228. [Google Scholar] [CrossRef] [PubMed]
- Das, R.; Chanakya, H.N.; Rao, L. Study towards understanding foaming and foam stability in urban lakes. J Env. Manag. 2022, 322, 116111. [Google Scholar] [CrossRef]
- Pattanaik, S.; Pattanaik, D.K.; Das, M.; Panda, R.B. Environmental scenario of chromite ore mining at Sukinda valley beyond 2030. Discov. Sci. 2012, 1, 35–39. [Google Scholar]
- Vyas, V.; Bara, S.; Parashar, V.; Damde, D.; Tuli, R.P. Temporal variation in fish biodiversity of River Narmada in Hoshangabad Region. Fish. Chimes 2006, 27, 49–53. [Google Scholar]
- Teles, Y.V.; de Castro, L.M.; Sargentini Junior, É.; Do Nascimento, A.P.; da Silva, H.A.; Costa, R.S.; do Nascimento Souza, R.D.; da Mota, A.J.; Pereira, J.O. Potential of bacterial isolates from a stream in manaus-amazon to bioremediate chromium-contaminated environments. Water Air Soil Pollut. 2018, 229, 266. [Google Scholar] [CrossRef]
- Ishaq, S.; Jabeen, G.; Arshad, M.; Kanwal, Z.; Un Nisa, F.; Zahra, R.; Shafiq, Z.; Ali, H.; Samreen, K.B.; Manzoor, F. Heavy metal toxicity arising from the industrial effluents repercussions on oxidative stress, liver enzymes and antioxidant activity in brain homogenates of Oreochromis niloticus. Sci Rep. 2023, 13, 19936. [Google Scholar] [CrossRef]
- Bassi, N.; Kumar, M.D.; Sharma, A.; Pardha-Saradhi, P. Status of wetlands in India: A review of extent, ecosystem benefits, threats and management strategies. J. Hydrol. Reg. Stud. 2014, 2, 1–19. [Google Scholar] [CrossRef]
- Iyakkam, A. Why Chennai Stinks? Kalachuvadu Publications: Chennai, India, 2017. [Google Scholar]
- Lan, T.; Almered Olson, E.; Alpokay, S. Environmental Stresses and Resource Use in Coastal Urban and Peri-Urban Regions DPSIR Approach to SECOA’s 17 Case Studies; Sapienza Universitá Editrice: Rome, Italy, 2014; pp. 21–32. [Google Scholar]
- Hashem, H.A.; Hassanein, R.A.; Bekheta, M.A.; El-Kady, F.A. Protective role of selenium in canola (Brassica napus L.) plant subjected to salt stress. Egypt. J. Exp. Biol. 2013, 9, 199–211. [Google Scholar]
- Ogbo, E.M.; Okhuoya, J.A. Bio-absorption of some heavy metals by Pleurotus tuber-regium Fr. Singer (an edible mushroom) from crude oil polluted soils amended with fertilizers and cellulosic wastes. Int. J. Soil Sci. 2011, 6, 34. [Google Scholar] [CrossRef]
- Subroto, M.A.; Priambodo, S.; Indrasti, N.S. Accumulation of zinc by hairy root cultures of Solanum nigrum. Biotechnology 2007, 6, 344–348. [Google Scholar] [CrossRef][Green Version]
- Bhattacharya, A.K.; Naiya, T.K.; Mandal, S.N.; Das, S.K. Adsorption, kinetics and equilibrium studies on removal of Cr (VI) from aqueous solutions using different low-cost adsorbents. Chem. Eng. J. 2008, 137, 529–541. [Google Scholar] [CrossRef]
- Prabhu, B.; Batvari, D.; Surendran, A. Assessment of heavy metal contamination in Chemberambakkam lake water, Chennai, Tamil Nadu. J. Chem. Pharm. Res. 2015, 7, 865–869. [Google Scholar]
- Lakshmi, D.M.S.R.; Thulasi, M.D.; Ahmad, T.J. Geo-chemical evaluation of heavy metals in the lakes of south Chennai, Tamil Nadu, India. Int. J. Res. Soc. Sci. 2018, 8, 643–657. [Google Scholar]
- Jayaprakash, M.; Urban, B.; Velmurugan, P.M.; Srinivasalu, S. Accumulation of total trace metals due to rapid urbanization in microtidal zone of Pallikaranai marsh, South of Chennai, India. Environ. Monit. Assess. 2010, 170, 609–629. [Google Scholar] [CrossRef] [PubMed]
- Arumugam, G.; Rajendran, R.; Shanmugam, V.; Sethu, R.; Krishnamurthi, M. Flow of toxic metals in food-web components of tropical mangrove ecosystem, Southern India. Hum. Ecol. Risk Assess. Int. J. 2018, 24, 1367–1387. [Google Scholar] [CrossRef]
- Vinothkannan, A.; Charles, P.E.; Rajaram, R. Ecological risk assessment and seasonal variation of heavy metals in water and sediment collected from industrially polluted Cuddalore coast, Southeastern India. Reg. Stud. Mar. Sci. 2022, 49, 102134. [Google Scholar] [CrossRef]
- APHA. Standard Methods for the Examination of Water and Waste Water, 20th ed.; American Public Health Association: Washington, DC, USA, 1998. [Google Scholar]
- Jonathan, M.P.; Srinivasalu, S.; Thangadurai, N.; Ayyamperumal, T.; Armstrong-Altrin, J.S.; Ram-Mohan, V. Contamination of Uppanar River and coastal waters off Cuddalore, Southeast coast of India. Environ. Geol. 2008, 53, 1391–1404. [Google Scholar] [CrossRef]
- Muller, G. Index of geoaccumulation in sediments of the Rhine River. Geojournal 1969, 2, 108–118. [Google Scholar]
- Khuzestani, R.B.; Souri, B. Evaluation of heavy metal contamination hazards in nuisance dust particles, in Kurdistan Province, western Iran. J. Environ. Sci. 2013, 25, 1346–1354. [Google Scholar] [CrossRef]
- Taylor, S.R.; McLennan, S.M. The Continental Crust: Its Composition and Evolution; Blackwell Scientific: Oxford, UK, 1985; p. 312. ISBN 0-632-01148-3. [Google Scholar]
- Hakanson, L. An ecological risk index for aquatic pollution control. A sedimentological approach. Water Res. 1980, 14, 975–1001. [Google Scholar] [CrossRef]
- Varol, M.; Şen, B. Assessment of nutrient and heavy metal contamination in surface water and sediments of the upper Tigris River, Turkey. Catena 2012, 92, 1–10. [Google Scholar] [CrossRef]
- Abel, A.B.; Mankiw, N.G.; Summers, L.H.; Zeckhauser, R.J. Assessing dynamic efficiency: Theory and evidence. Rev. Econ. Stud. 1989, 56, 1–19. [Google Scholar] [CrossRef]
- Pal, S.; Mondal, S.; Maity, J.; Mukherjee, R. Synthesis and characterization of ZnO nanoparticles using Moringa oleifera leaf extract: Investigation of photocatalytic and antibacterial activity. Int. J. Nanosci. Nanotechnol. 2018, 14, 111–119. [Google Scholar]
- Siddiqui, E.; Verma, K.; Pandey, U.; Pandey, J. Metal contamination in seven tributaries of the Ganga River and assessment of human health risk from fish consumption. Arch. Environ. Contam. Toxicol. 2019, 77, 263–278. [Google Scholar] [CrossRef]
- US Environmental Protection Agency (USEPA). Guidance for Assessing Chemical Contaminant Data for Use in Fish Advisories; Risk Assessment and Fish Consumption Limits; USEPA: Washington, DC, USA, 2000; Volume 2, EPA 823-B-00-008.
- Bennett, D.H.; Kastenberg, W.E.; McKone, T.E. A multimedia, multiple pathway risk assessment of atrazine: The impact of age differentiated exposure including joint uncertainty and variability. Reliab. Eng. Syst. Saf. 1999, 63, 185–198. [Google Scholar] [CrossRef]
- USEPA and USACE (US Environmental Protection Agency and US Army Corps of Engineers). Clean Water Rule: Definition of “Waters of the United States”. Fed. Reg. 2015, 80, 37054–37127. [Google Scholar]
- Almeida, J.A.; Diniz, Y.S.; Marques SF, G.; Faine, L.A.; Ribas, B.O.; Burneiko, R.C.; Novelli EL, B. The use of the oxidative stress responses as biomarkers in Nile tilapia (Oreochromis niloticus) exposed to in vivo cadmium contamination. Environ. Int. 2002, 27, 673–679. [Google Scholar] [CrossRef]
- Xu, Y.J.; Liu, X.Z.; Ma, A.J. Current research on toxicity effect and molecular mechanism of heavy metals on fish. Mar. Sci.-Qingdao-Chin. Ed. 2004, 28, 67–70. [Google Scholar]
- Barak, N.E.; Mason, C.F. Heavy metals in water, sediment and invertebrates from rivers in eastern England. Chemosphere 1989, 19, 1709–1714. [Google Scholar] [CrossRef]
- Schertzinger, G.; Zimmermann, S.; Sures, B. Predicted sediment toxicity downstream of combined sewer overflows corresponds with effects measured in two sediment contact bioassays. Environ. Pollut. 2019, 248, 782–791. [Google Scholar] [CrossRef]
- Tholkappian, M.; Chandrasekaran, A.; Harikrishnan, N.; Devanesan, E.; Ganeshand, D.; Ravisankar, R. Application of magnetic susceptibility in source identification of heavy metal pollution in sediments of Chennai Coast, Tamilnadu using multivariate statistical analysis. J. Rad. Nucl. Appl. 2019, 4, 15–23. [Google Scholar] [CrossRef]
- Palanisamy, S.; Eswaran, R.; Muniasamy, M. Intensity of Pollution and Heavy Metals Toxicity on Surface Water Bodies of Coimbatore, Tamilnadu, India-A Case Study. Appl. Ecol. Environ. Sci. 2021, 9, 247–259. [Google Scholar] [CrossRef]
- Rosado, D.; Castillo, F.; Nambi, I.; Sadhasivam, R.; Valleru, H.; Fohrer, N. Evaluating heavy metal levels and their toxicity risks in an urban lake in Chennai, India. Int. J. Environ. Sci. Technol. 2023, 21, 1849–1864. [Google Scholar] [CrossRef]
- Zhang, L.; Shi, Z.; Zhang, J.; Jiang, Z.; Wang, F.; Huang, X. Spatial and seasonal characteristics of dissolved heavy metals in the east and west Guangdong coastal waters, South China. Mar. Pollut. Bull. 2015, 95, 419–426. [Google Scholar] [CrossRef] [PubMed]
- Yee, L.T.; Paka, D.D.; Nyanti, L.; Ismail, N.; Emang, J.J. Water quality at Batang Ai hydroelectric reservoir (Sarawak, Malaysia) and implications for aquaculture. Int. J. Appl. 2012, 2, 23–30. [Google Scholar]
- Agency for Toxic Substances and Disease Registry. ATSDR Toxicological Profile for Di(2-ethylhexyl)phthalate (DEHP); U.S. Department of Health and Human Services, Public Health Service: Atlanta, GA, USA, 2002.
- Beyer, W.N.; Day, D.; Melancon, M.J.; Sileo, L. Toxicity of Anacostia River, Washington DC, USA, Sediment Fed to Mute Swams (Cygnus olor). Environ. Toxicol. Chem. 2000, 19, 731735. [Google Scholar] [CrossRef]
- Brungs, W.A. Effects of residual chlorine on aquatic life. J. Water Pollut. Control. Fed. 1973, 45, 2180–2193. [Google Scholar]
- Hiltibran, R.C. Effects of cadmium, zinc, manganese, and calcium on oxygen and phosphate metabolism of bluegill liver mitochondria. J. Water Pollut. Control. Fed. 1971, 43, 818–823. [Google Scholar] [PubMed]
- Jones, I.; Kille, P.; Sweeney, G. Cadmium delays growth hormone expression during rainbow trout development. J. Fish. Biol. 2001, 59, 1015–1022. [Google Scholar] [CrossRef]
- Plachy, J. Cadmium. In USGS. US Geological Survey Minerals Yearbook—2003; Reston: Englewood Cliffs, NJ, USA, 2003; pp. 15.1–15.5. [Google Scholar]
- Rajeshkumar, S.; Li, X. Bioaccumulation of heavy metals in fish species from the Meiliang Bay, Taihu Lake, China. Toxicol. Rep. 2018, 5, 288–295. [Google Scholar] [CrossRef] [PubMed]
- García-Lestón, J.; Méndez, J.; Pásaro, E.; Laffon, B. Genotoxic effects of lead: An updated review. Environ. Int. 2010, 36, 623–636. [Google Scholar] [CrossRef] [PubMed]
- Rashed, M.N. Cadmium and lead levels in fish (Tilapia nilotica) tissues as biological indicator for lake water pollution. Environ. Monit. Assess. 2001, 68, 75–89. [Google Scholar] [CrossRef] [PubMed]
- Gopal, V.; Shanmugasundaram, A.; Nithya, B.; Magesh, N.S.; Jayaprakash, M. Water quality of the Uppanar estuary, Southern India: Implications on the level of dissolved nutrients and trace elements. Mar. Pollut. Bull. 2018, 130, 279–286. [Google Scholar] [CrossRef]
- Zhang, J.; Li, X.; Guo, L.; Deng, Z.; Wang, D.; Liu, L. Assessment of heavy metal pollution and water quality characteristics of the reservoir control reaches in the middle Han River, China. Sci. Total Environ. 2021, 799, 149472. [Google Scholar] [CrossRef]
- Ke, X.; Gui, S.; Huang, H.; Zhang, H.; Wang, C.; Guo, W. Ecological risk assessment and source identification for heavy metals in surface sediment from the Liaohe River protected area, China. Chemosphere 2017, 175, 473–481. [Google Scholar] [CrossRef]
- Muneer, W.; Behera, D.; Ankit, Y.; Anoop, A.; Mishra, P.K.; Jehangir, A. Historical trends of heavy metal contamination and eutrophication in an aquatic system from Kashmir Himalaya, India. Environ. Chall. 2023, 12, 100721. [Google Scholar] [CrossRef]
- Krishnam Shankar, H.N.; Ponnusamy, P. Investigation of Heavy Metals in the Surface and Groundwater and its Health Risk Assessment in the Parts of Gudiyattam Region, Tamilnadu, India. Ecol. Eng. Environ. Technol. 2023, 24, 20–29. [Google Scholar] [CrossRef]
- Das Kangabam, R.; Bhoominathan, S.D.; Kanagaraj, S.; Govindaraju, M. Development of a water quality index (WQI) for the Loktak Lake in India. Appl. Water Sci. 2017, 7, 2907–2918. [Google Scholar] [CrossRef]
- Bureau of Indian Standards. Water, B. I. S., & Specification, I. S. D.; Bureau of Indian Standards: New Delhi, India, 2012; pp. 1–12.
- El-Azim, A.; Belal, A.; El-Salam, A.; Mourad, F.; Abo Elwafa, S. Water pollution by heavy metals in the western lagoon and its effect on Timsah Lake and consequently on Suez Canal. Catrina Int. J. Environ. Sci. 2018, 17, 71–76. [Google Scholar] [CrossRef]
- Yadav, K.K.; Kumar, V.; Gupta, N.; Kumar, S.; Rezania, S.; Singh, N. Human health risk assessment: Study of a population exposed to fluoride through groundwater of Agra city, India. Regul. Toxicol. Pharmacol. 2019, 106, 68–80. [Google Scholar] [CrossRef] [PubMed]
- Saha, N.; Zaman, M.R. Evaluation of possible health risks of heavy metals by consumption of foodstuffs available in the central market of Rajshahi City, Bangladesh. Environ. Monit. Assess. 2013, 185, 3867–3878. [Google Scholar] [CrossRef]
- Ullah, A.A.; Afrin, S.; Hosen, M.M.; Musarrat, M.; Ferdoushy, T.; Nahar, Q.; Quraishi, S.B. Concentration, source identification, and potential human health risk assessment of heavy metals in chicken meat and egg in Bangladesh. Environ. Sci. Pollut. Res. 2022, 29, 22031–22042. [Google Scholar] [CrossRef] [PubMed]
- Akila, M.; Anbalagan, S.; Lakshmisri, N.M.; Janaki, V.; Ramesh, T.; Merlin, R.J.; Kamala-Kannan, S. Heavy metal accumulation in selected fish species from Pulicat Lake, India, and health risk assessment. Environ. Technol. Innov. 2022, 27, 102744. [Google Scholar] [CrossRef]
- Maurya, P.K.; Malik, D.S.; Yadav, K.K.; Kumar, A.; Kumar, S.; Kamyab, H. Bioaccumulation and potential sources of heavy metal contamination in fish species in River Ganga basin: Possible human health risks evaluation. Toxicol. Rep. 2019, 6, 472–481. [Google Scholar] [CrossRef]
- Ezemonye, L.I.; Enuneku, A.A. Hepatic bioaccumulation of cadmium in the crowned bullfrog, Hoplobatrachus occipitalis and flat backed toad, Bufo maculatus. Int. J. Aquat. Sci. 2012, 3, 15–22. [Google Scholar]











Disclaimer/Publisher’s Note: The statements, opinions and data contained in all publications are solely those of the individual author(s) and contributor(s) and not of MDPI and/or the editor(s). MDPI and/or the editor(s) disclaim responsibility for any injury to people or property resulting from any ideas, methods, instructions or products referred to in the content. |
© 2024 by the authors. Licensee MDPI, Basel, Switzerland. This article is an open access article distributed under the terms and conditions of the Creative Commons Attribution (CC BY) license (https://creativecommons.org/licenses/by/4.0/).
Share and Cite
Kolandhasamy, P.; Elumalai, S.; Nandagopal, S.; Senthil Kumaran, S.; Rajendran, R.; Vinayagam, R.; Ramasamy, P. A Preliminary Health Risk Assessment of Heavy Metal Contamination in Chembarambakkam Lake, Tamil Nadu, South India. Water 2024, 16, 3517. https://doi.org/10.3390/w16233517
Kolandhasamy P, Elumalai S, Nandagopal S, Senthil Kumaran S, Rajendran R, Vinayagam R, Ramasamy P. A Preliminary Health Risk Assessment of Heavy Metal Contamination in Chembarambakkam Lake, Tamil Nadu, South India. Water. 2024; 16(23):3517. https://doi.org/10.3390/w16233517
Chicago/Turabian StyleKolandhasamy, Prabhu, Saranya Elumalai, Selvam Nandagopal, Subriya Senthil Kumaran, Rajaram Rajendran, Ramachandran Vinayagam, and Pasiyappazham Ramasamy. 2024. "A Preliminary Health Risk Assessment of Heavy Metal Contamination in Chembarambakkam Lake, Tamil Nadu, South India" Water 16, no. 23: 3517. https://doi.org/10.3390/w16233517
APA StyleKolandhasamy, P., Elumalai, S., Nandagopal, S., Senthil Kumaran, S., Rajendran, R., Vinayagam, R., & Ramasamy, P. (2024). A Preliminary Health Risk Assessment of Heavy Metal Contamination in Chembarambakkam Lake, Tamil Nadu, South India. Water, 16(23), 3517. https://doi.org/10.3390/w16233517

