Study on Watershed Ecological Compensation for Water Pollution Considering Population Flow: A Case Study in the Lower Yellow River Basin
Abstract
1. Introduction
2. Materials and Methods
2.1. Study Area
2.2. Method
2.2.1. Model Assumptions
2.2.2. Model Construction
3. Results
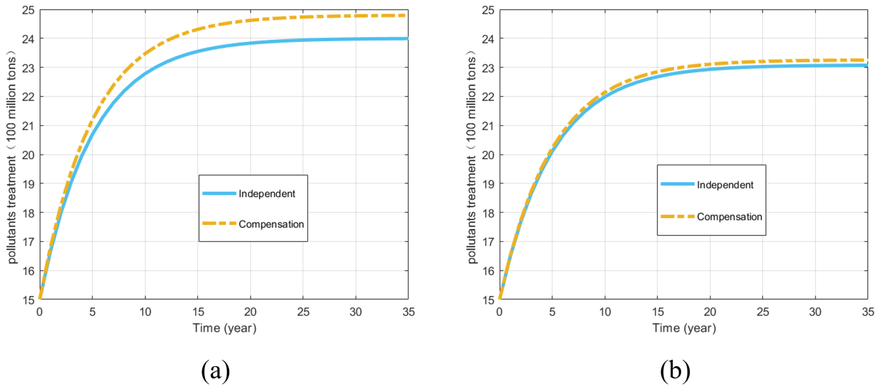
3.1. Impact of Population Flow on Pollution Treatment Efforts
3.2. Impact of Population Flow on the Share Proportion
3.3. Impact of Population Flow on the Amount of Pollutants Eliminated
3.4. Impact of Population Flow on Revenue
4. Discussion
5. Conclusions
5.1. Main Conclusions
5.2. Recommendations
Author Contributions
Funding
Data Availability Statement
Conflicts of Interest
References
- Liu, Y.; Qu, B.; Jiang, E.; Hao, L.; Zhu, Y.; Jing, Y. Allocating payments for ecosystem services under future multiple scenarios in the Yellow River Basin, China. Ecol. Indic. 2023, 157, 111232. [Google Scholar] [CrossRef]
- Scherzinger, F.; Schädler, M.; Reitz, T.; Yin, R.; Auge, H.; Merbach, I.; Roscher, C.; Harpole, W.S.; Blagodatskaya, E.; Siebert, J.; et al. Sustainable land management enhances ecological and economic multifunctionality under ambient and future climate. Nat. Commun. 2024, 15, 4930. [Google Scholar] [CrossRef]
- Measho, S.; Chen, B.; Pellikka, P.; Trisurat, Y.; Guo, L.; Sun, S.; Zhang, H. Land Use/Land Cover Changes and Associated Impacts on Water Yield Availability and Variations in the Mereb-Gash River Basin in the Horn of Africa. J. Geophys. Res. Biogeosci. 2020, 125, e2020JG005632. [Google Scholar] [CrossRef]
- Sheng, J.; Webber, M. Incentive coordination for transboundary water pollution control: The case of the middle route of China’s South-North water Transfer Project. J. Hydrol. 2021, 598, 125705. [Google Scholar] [CrossRef]
- Chen, P.Y. Unlocking policy effects: Water resources management plans and urban water pollution. J. Environ. Manag. 2024, 365, 121642. [Google Scholar] [CrossRef] [PubMed]
- Landrigan, P.J.; Fuller, R.; Acosta, N.J.R. The Lancet Commission on pollution and health. Lancet 2018, 391, 462–512. [Google Scholar] [CrossRef]
- Yuan, L.; Qi, Y.Z.; He, W.J.; Wu, X.; Kong, Y.; Ramsey, T.S.; Degefu, D.M. A differential game of water pollution management in the trans-jurisdictional river basin. J. Clean Prod. 2024, 438, 140823. (In Chinese) [Google Scholar] [CrossRef]
- Li, G. Improved water security for China’s efforts to build itself into a stronger country and rejuvenate the Chinese nation on all fronts by pursuing Chinese modernization. Water Resour. Dev. Res. 2024, 24, 1–3. (In Chinese) [Google Scholar] [CrossRef]
- Zhang, J.; Jin, J. Discussion on several issues concerning the construction of national water network. Water Resour. Dev. Res. 2023, 23, 1–7. (In Chinese) [Google Scholar] [CrossRef]
- Zhang, B.; Li, Y.; Zhang, C.; Hu, C.; Fu, G.; Cai, X. Dual water-electricity cooperation improves economic benefits and water equality in the Lancang-Mekong River Basin. Nat. Commun. 2023, 14, 6228. [Google Scholar] [CrossRef]
- Kaiser, J.; Haase, D.; Krueger, T. Payments for ecosystem services: A review of definitions, the role of spatial scales, and critique. Ecol. Sos. 2021, 26, 1–12. [Google Scholar] [CrossRef]
- Sheng, J.; Cheng, Q.; Wu, Y. Payment for watershed services and the coordination of interests in transboundary rivers: China’s Xin’an River Basin Eco-compensation pilot. J. Environ. Manag. 2023, 328, 116670. [Google Scholar] [CrossRef]
- Engel, S.; Pagiola, S.; Wunder, S. Designing payments for environmental services in theory and practice: An overview of the issues. Ecol. Econ. 2008, 65, 663–674. [Google Scholar] [CrossRef]
- Brownson, K.; Fowler, L. Evaluating how we evaluate success: Monitoring, evaluation and adaptive management in Payments for Watershed Services programs. Land Use Pol. 2020, 94, 104505. [Google Scholar] [CrossRef]
- Lu, Z.; Wu, X.; Zhang, S.; Li, J.; Cai, F.; Xu, R. A study of ecological compensation in watersheds based on the three-way decisions theory. J. Clean Prod. 2022, 368, 133166. [Google Scholar] [CrossRef]
- Gao, X.; Zeng, S.; Shen, J.; Yang, X.; Kang, L.; Chi, C.; Song, R. Predicting payment for ecosystem services regarding land use: A simulation study in China. Environ. Impact Assess. Rev. 2023, 98, 106972. [Google Scholar] [CrossRef]
- Gao, X.; Zeng, S.; Zeng, R.; Shi, J.J.; Song, R. Multiple-stakeholders’ game and decision-making behaviors in green management of megaprojects. Comput. Ind. Eng. 2022, 171, 108392. [Google Scholar] [CrossRef]
- Yang, Z.; Niu, G.; Lan, Z. Policy strategy of transboundary water pollution control in boundary rivers based on evolutionary game. China Environ. Sci. 2021, 41, 5446–5456. [Google Scholar] [CrossRef]
- Liu, Y.; Jiang, E.; Qu, B.; Zhu, Y.; Liu, C. Watershed Ecological Compensation Mechanism for Mainstream and Branches Based on Stochastic Evolutionary Game: A Case of the Middle Yellow River. Water 2022, 14, 4038. [Google Scholar] [CrossRef]
- Ding, J.P.; Chen, L.X.; Deng, M.H.; Chen, J.F. A differential game for basin ecological compensation mechanism based on cross-regional government-enterprise cooperation. J. Clean. Prod. 2022, 362, 132335. [Google Scholar] [CrossRef]
- Sinacore, K.; Garcia, E.H.; Finkral, A.; van Breugel, M.; Lopez, O.R.; Espinosa, C.; Miller, A.; Howard, T.; Hall, J.S. Mixed success for carbon payments and subsidies in support of forest restoration in the neotropics. Nat. Commun. 2023, 14, 8359. [Google Scholar] [CrossRef] [PubMed]
- Li, N.; Cheng, C.G.; Mou, H.S.; Deng, M.J.; Tang, D.S.; Yang, D.Y. Application of eco-compensation to control transboundary water pollution in water diversion projects: The case of the Heihe River transfer project in China. Ecol. Indic. 2024, 158, 111326. [Google Scholar] [CrossRef]
- Song, J.X.; Wu, D.S.; Bian, Y.; Dong, J.R. A Decision Support System Based on Stochastic Differential Game Model in Pollution Control Chain. IEEE Trans. Syst. Man Cybern. Syst. 2024, 54, 1670–1682. [Google Scholar] [CrossRef]
- Luo, Q.; Bai, X.; Zhao, C.; Luo, G.; Li, C.; Ran, C.; Zhang, S.; Xiong, L.; Liao, J.; Du, C.; et al. Unexpected response of terrestrial carbon sink to rural depopulation in China. Sci. Total Environ. 2024, 948, 174595. [Google Scholar] [CrossRef] [PubMed]
- Wang, Y.; Wang, Q.; Liu, Y.; Liu, G.; Jiang, E. Morphological effects of the operation of Xiaolangdi Reservoir on the Lower Yellow River in recent years. J. Hydraul. Eng. 2024, 55, 505–515. [Google Scholar] [CrossRef]
- Wei, Z.Q.; Wei, K.K.; Liu, J.C. Decoupling relationship between carbon emissions and economic development and prediction of carbon emissions in Henan Province: Based on Tapio method and STIRPAT model. Environ. Sci. Pollut. Res. 2023, 30, 52679–52691. [Google Scholar] [CrossRef]
- Qu, B.; Jiang, E.H.; Li, J.Q.; Liu, Y.; Liu, C. Coupling coordination relationship of water resources, eco-environment and socio-economy in the water-receiving area of the Lower Yellow River. Ecol. Indic. 2024, 160, 111766. [Google Scholar] [CrossRef]
- Zhou, H. Comparison of Statistical Caliber for Migrant and Floating Population in China. Popul. Econ. 2024, 32–44. Available online: https://www.cqvip.com/doc/journal/3459408704 (accessed on 1 December 2024).
- Yang, K.Z.; Li, S.P.; Dong, Y.N.; Niu, K.Y. Mechanism of river basin ecological compensation incorporating the allocation change of water resource utilization. China Popul. Resour. Environ. 2022, 32, 184–197. [Google Scholar] [CrossRef]
- Guan, Q.; Li, H.; Guan, C.; Chen, J.; Fan, Y. Identification of Ecological Compensation Zones and Compensation Amounts: A Case Study of the Yellow River Delta. Land 2024, 13, 1582. [Google Scholar] [CrossRef]
- Sheng, J.; Yang, H. Collaborative models and uncertain water quality in payments for watershed services: China’s Jiuzhou River eco-compensation. Ecosyst. Serv. 2024, 70, 101671. [Google Scholar] [CrossRef]
- Ma, X.; Li, J.; Yu, Y. A Study on the Determination and Spatial Flow of Multi-Scale Watershed Water Resource Supply and Benefit Areas. Water 2024, 16, 2461. [Google Scholar] [CrossRef]
- Xu, J.; Xiao, Y.; Xie, G.; Jiang, Y. Ecosystem Service Flow Insights into Horizontal Ecological Compensation Standards for Water Resource: A Case Study in Dongjiang Lake Basin, China. Chin. Geogr. Sci. 2019, 29, 214–230. [Google Scholar] [CrossRef]
- Hou, L.; Xia, F.; Chen, Q.; Huang, J.; He, Y.; Rose, N.; Rozelle, S. Grassland ecological compensation policy in China improves grassland quality and increases herders’ income. Nat. Commun. 2021, 12, 4683. [Google Scholar] [CrossRef]
- Hu, H.; Tian, G.; Wu, Z.; Xia, Q. Cross-regional ecological compensation under the composite index of water quality and quantity: A case study of the Yellow River Basin. Environ. Res. 2023, 238, 117152. [Google Scholar] [CrossRef]
- Moore, M.-L.; Wang-Erlandsson, L.; Bodin, Ö.; Enqvist, J.; Jaramillo, F.; Jónás, K.; Folke, C.; Keys, P.; Lade, S.J.; Mancilla Garcia, M. Moving from fit to fitness for governing water in the Anthropocene. Nat. Water 2024, 2, 511–520. [Google Scholar] [CrossRef]






Disclaimer/Publisher’s Note: The statements, opinions and data contained in all publications are solely those of the individual author(s) and contributor(s) and not of MDPI and/or the editor(s). MDPI and/or the editor(s) disclaim responsibility for any injury to people or property resulting from any ideas, methods, instructions or products referred to in the content. |
© 2024 by the authors. Licensee MDPI, Basel, Switzerland. This article is an open access article distributed under the terms and conditions of the Creative Commons Attribution (CC BY) license (https://creativecommons.org/licenses/by/4.0/).
Share and Cite
Lu, P.; Qu, B.; Liu, Y.; Liu, M. Study on Watershed Ecological Compensation for Water Pollution Considering Population Flow: A Case Study in the Lower Yellow River Basin. Water 2024, 16, 3507. https://doi.org/10.3390/w16233507
Lu P, Qu B, Liu Y, Liu M. Study on Watershed Ecological Compensation for Water Pollution Considering Population Flow: A Case Study in the Lower Yellow River Basin. Water. 2024; 16(23):3507. https://doi.org/10.3390/w16233507
Chicago/Turabian StyleLu, Peng, Bo Qu, Ying Liu, and Mingtang Liu. 2024. "Study on Watershed Ecological Compensation for Water Pollution Considering Population Flow: A Case Study in the Lower Yellow River Basin" Water 16, no. 23: 3507. https://doi.org/10.3390/w16233507
APA StyleLu, P., Qu, B., Liu, Y., & Liu, M. (2024). Study on Watershed Ecological Compensation for Water Pollution Considering Population Flow: A Case Study in the Lower Yellow River Basin. Water, 16(23), 3507. https://doi.org/10.3390/w16233507

