Optimal Allocation of Urban Water Resources Based on Multi-Objective Nutcracker Optimization Algorithm
Abstract
1. Introduction
2. Methods
2.1. Multi-Objective Water Resources Allocation Model
2.1.1. Objective Functions
- (1)
- Economic benefit objective function
- (2)
- Social benefit objective function
- (3)
- Ecological benefit objective function
2.1.2. Constraint Conditions
- (1)
- Water supply capacity constraint
- (2)
- Water demand constraint
- (3)
- Non-negative constraint
2.2. Multi-Objective Nutcracker Optimization Algorithm (MONOA)
2.2.1. Nutcracker Optimization Algorithm (NOA)
- Foraging stage: Exploration phase 1
- Storage stage: Exploitation phase 1
- Cache-search stage: Exploration phase 2
- Recovery stage: Exploitation phase 2
2.2.2. Proposed MONOA Method
- Initialization with opposite learning strategy
- Fast non-dominated sorting
- Crowding distance mechanism
- (1)
- If the rank of i is better than the rank of j, ;
- (2)
- If individual i and j belong to the same front and the crowding distance of individual i is larger than individual j, and .
| Algorithm 1: Pseudo-code of MONOA |
| Input: Population size Npop, maximum iteration number Tmax, upper bound , lower bound , current number of iteration t |
Output: Obtained Pareto solutions
|
2.2.3. Performance Test of MONOA
- Inverted Generational Distance (IGD)
- Hypervolume (HV)
3. Study Area and Data Source
3.1. Study Area Description
3.2. Data Source
4. Results and Discussions
4.1. Prediction of WSD of Handan in the Planning Year
4.2. Model Parameters Determination
4.2.1. Economic Gross Benefit Coefficient
4.2.2. Water Use Equity Coefficient
4.2.3. Water Supply Rules
4.2.4. The Sewage Emission Coefficient and COD Content in Unit Sewage
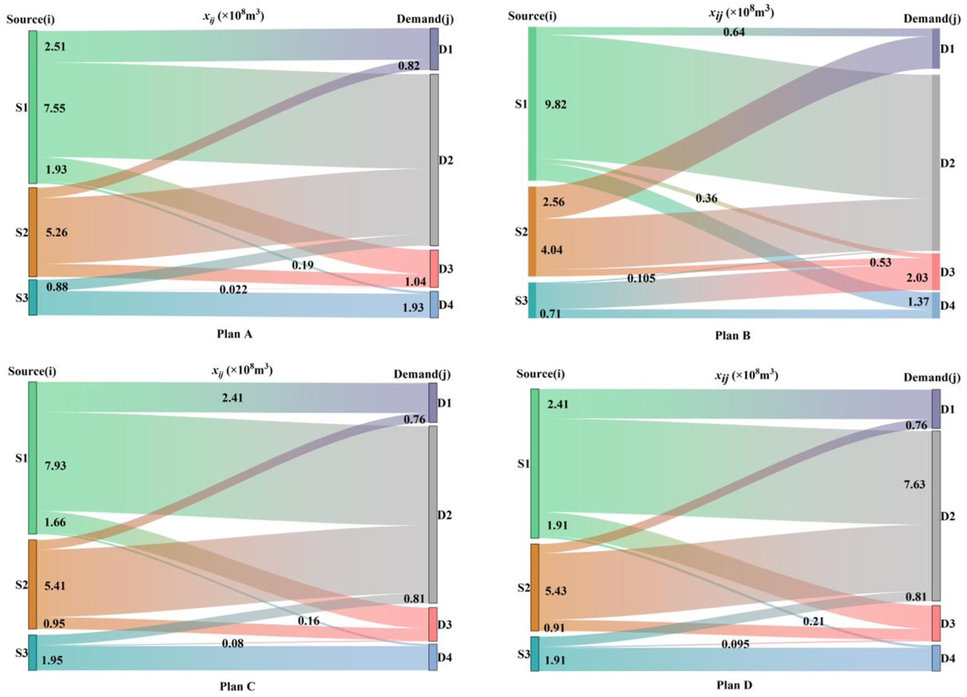
4.3. Results of WRA
4.4. Discussions
5. Conclusions
- (1)
- Taking into account economic, social and ecological benefits comprehensively, we have proposed a multi-objective WRA model by maximizing economic gross benefit, minimizing regional water scarcity and minimizing COD emissions in wastewater. Unlike the conventional models for allocating water resources, this method does not rely on subjective decision-maker evaluations of function weight factors. A broad variety of applications are possible since the model may have various parameters adjusted for different locations;
- (2)
- To solve the proposed WRA model, a novel nature-inspired metaheuristic algorithm called MONOA is constructed by incorporating an opposite learning strategy, NDS and CD mechanism into the single-objective optimization algorithm NOA. Ten standard test functions are taken to prove the superior distribution and convergence of the newly developed MONOA, demonstrating that the new MONOA is suitable to deal with MOO problems;
- (3)
- In 2025, Handan will face a water shortage of 0.6583 × 108 m3 due to an imbalance between WSD, as determined by an analysis of the present situation and predictions made in the planning year. Hence, there is an immediate need to solve the problem of how water is distributed reasonably in Handan City;
- (4)
- We have established the WRA model of Handan based on the water supply–demand forecast. The Pareto solution set of the MOO problem can be solved using the developed MONOA. According to the calculation results, the economic benefit is in the range CNY [1.36, 1.44] 1011, water shortage is in the range [0.66, 0.98] 108 m3 and COD emission is in the range [3.70, 3.91] 104 t. Decision-makers might design water distribution structures based on their own preferences and the need to strike a balance between competing goals.
Author Contributions
Funding
Data Availability Statement
Conflicts of Interest
References
- Wei, F.; Zhang, X.; Xu, J.; Bing, J.; Pan, J.G. Simulation of water resource allocation for sustainable urban development: An integrated optimization approach. J. Clean. Prod. 2020, 273, 122537. [Google Scholar] [CrossRef]
- Genova, P.; Wei, Y. A socio-hydrological model for assessing water resource allocation and water environmental regulations in the Maipo River basin. J. Hydrol. 2023, 617, 129159. [Google Scholar] [CrossRef]
- Roozbahani, R.; Schreider, S.; Abbasi, B. Optimal water allocation through a multi-objective compromise between environmental, social, and economic preferences. Environ. Model. Softw. 2015, 64, 18–30. [Google Scholar] [CrossRef]
- Xu, J.; Lv, C.; Yao, L.; Hou, S. Intergenerational equity based optimal water allocation for sustainable development: A case study on the upper reaches of Minjiang River, China. J. Hydrol. 2019, 568, 835–848. [Google Scholar] [CrossRef]
- Abdulbaki, D.; Al-Hindi, M.; Yassine, A.; Yassine, A.; Abou Najm, M. An optimization model for the allocation of water resources. J. Clean. Prod. 2017, 164, 994–1006. [Google Scholar] [CrossRef]
- Zhang, F.; Wu, Z.; Di, D.; Wang, H. Water resources allocation based on water resources supply-demand forecast and comprehensive values of water resources. J. Hydrol. Reg. Stud. 2023, 47, 101421. [Google Scholar] [CrossRef]
- Li, X.; Wang, X.; Guo, H.; Ma, W. Multi-water resources optimal allocation based on multi-objective uncertain chance-constrained programming model. Water Resour. Manag. 2020, 34, 4881–4899. [Google Scholar] [CrossRef]
- Huang, Y.; Cai, Y.; Xie, Y.; Zhang, F.; He, Y.; Zhang, P.; Li, B.; Jia, Q.; Wang, Y.; Qi, Z. An optimization model for water resources allocation in Dongjiang river basin of Guangdong-Hong Kong-Macao greater bay area under multiple complexities. Sci. Total Environ. 2022, 820, 153198. [Google Scholar] [CrossRef]
- Gebre, S.L.; Cattrysse, D.; Van Orshoven, J. Multi-criteria decision-making methods to address water allocation problems: A systematic review. Water 2021, 13, 125. [Google Scholar] [CrossRef]
- Li, Y.; Sun, K.; Men, R.; Wang, F.; Li, D.; Han, Y.; Qu, Y. Study on the Optimization of Multi-Objective Water Resources Allocation in the Henan Yellow River Water Supply Zone. Water 2023, 15, 4009. [Google Scholar] [CrossRef]
- Zhang, Y.; Lu, Y.; Zhou, Q.; Wu, F. Optimal water allocation scheme based on trade-offs between economic and ecological water demands in the Heihe River Basin of Northwest China. Sci. Total Environ. 2020, 703, 134958. [Google Scholar] [CrossRef] [PubMed]
- Yan, B.; Jiang, H.; Zou, Y.; Liu, Y.; Mu, R.; Wang, H. An integrated model for optimal water resources allocation under “3 Redlines” water policy of the upper Hanjiang river basin. J. Hydrol. Reg. Stud. 2022, 42, 101167. [Google Scholar] [CrossRef]
- Li, Y.; Han, Y.; Liu, B.; Li, H.; Du, X.; Wang, Q.; Wang, X.; Zhu, X. Construction and application of a refined model for the optimal allocation of water resources—Taking Guantao County, China as an example. Ecol. Indic. 2023, 146, 109929. [Google Scholar] [CrossRef]
- Kucukmehmetoglu, M.; Guldmann, J.M. International water resources allocation and conflicts: The case of the Euphrates and Tigris. Environ. Plan. A 2004, 36, 783–801. [Google Scholar] [CrossRef]
- Roozbahani, R.; Schreider, S.; Abbasi, B. Economic sharing of basin water resources between competing stakeholders. Water Resour. Manag. 2013, 27, 2965–2988. [Google Scholar] [CrossRef]
- Pulido-Velázquez, M.; Andreu, J.; Sahuquillo, A. Economic optimization of conjunctive use of surface water and groundwater at the basin scale. J. Water Resour. Plan. Manag. 2006, 132, 454–467. [Google Scholar] [CrossRef]
- Zoltay, V.I.; Vogel, R.M.; Kirshen, P.H.; Westphal, K.S. Integrated watershed management modeling: Generic optimization model applied to the Ipswich River Basin. J. Water Resour. Plan. Manag. 2010, 136, 566–575. [Google Scholar] [CrossRef]
- Davijani, M.H.; Banihabib, M.; Anvar, A.N.; Hashemi, S. Multi-objective optimization model for the allocation of water resources in arid regions based on the maximization of socioeconomic efficiency. Water Resour. Manag. 2016, 30, 927–946. [Google Scholar] [CrossRef]
- Yao, Z.; Wang, Z.; Cui, X.; Zhao, H. Research on multi-objective optimal allocation of regional water resources based on improved sparrow search algorithm. J. Hydroinform. 2023, 25, 1413–1437. [Google Scholar] [CrossRef]
- Ma, J.; Liu, H.; Wu, W.; Zhang, Y.; Dong, S. Research on Optimal Allocation of Water Resources in Handan City Based on the Refined Water Resource Allocation Model. Water 2022, 15, 154. [Google Scholar] [CrossRef]
- Ahmad, I.; Zhang, F. Optimal agricultural water allocation for the sustainable development of surface and groundwater resources. Water Resour. Manag. 2022, 36, 4219–4236. [Google Scholar] [CrossRef]
- Niu, C.; Wang, X.; Chang, J.; Wang, Y.; Guo, A.; Ye, X.; Wang, Q.; Li, Z. Integrated model for optimal scheduling and allocation of water resources considering fairness and efficiency: A case study of the Yellow River Basin. J. Hydrol. 2023, 626, 130236. [Google Scholar] [CrossRef]
- Feng, J. Optimal allocation of regional water resources based on multi-objective dynamic equilibrium strategy. Appl. Math. Model. 2021, 90, 1183–1203. [Google Scholar] [CrossRef]
- Zeinali, M.; Azari, A.; Heidari, M.M. Multiobjective optimization for water resource management in low-flow areas based on a coupled surface water–groundwater model. J. Water Resour. Plan. Manag. 2020, 146, 04020020. [Google Scholar] [CrossRef]
- Chen, J.; Yu, C.; Cai, M.; Wang, H.; Zhou, P. Multi-objective optimal allocation of urban water resources while considering conflict resolution based on the PSO algorithm: A case study of Kunming, China. Sustainability 2020, 12, 1337. [Google Scholar] [CrossRef]
- Li, L.; Wang, L.; Gao, X.; Su, X.; Wang, Y.; Gao, R. Joint Optimal Dispatch of Complex Urban Raw Water Supply: A Case Study of Lanxi City, Zhejiang Province, China. Water 2023, 15, 3136. [Google Scholar] [CrossRef]
- Yang, Z.; Kondolf, G.M.; Du, J.; Cai, L. City Water Resource Allocation Considering Energy Consumption in Jinan, China. Water 2023, 15, 3016. [Google Scholar] [CrossRef]
- Kirkpatrick, S.; Gelatt, J.C.D.; Vecchi, M.P. Optimization by simulated annealing. Science 1983, 220, 671–680. [Google Scholar] [CrossRef]
- Aerts, J.C.J.H.; Heuvelink, G.B.M. Using simulated annealing for resource allocation. Int. J. Geogr. Inf. Sci. 2002, 16, 571–587. [Google Scholar] [CrossRef]
- Holland, J.H. Genetic algorithms. Sci. Am. 1992, 267, 66–73. Available online: https://www.jstor.org/stable/24939139 (accessed on 15 November 2024). [CrossRef]
- Arabi, M.; Govindaraju, R.S.; Hantush, M.M. Cost-effective allocation of watershed management practices using a genetic algorithm. Water Resour. Res. 2006, 42, 2405–2411. [Google Scholar] [CrossRef]
- Kennedy, J.; Eberhart, R.C. Particle swarm optimization. In Proceedings of the ICNN’95—International Conference on Neural Networks, Perth, WA, Australia, 27 November–1 December 1995. [Google Scholar]
- Jahandideh-Tehrani, M.; Bozorg-Haddad, O.; Loáiciga, H.A. Application of particle swarm optimization to water management: An introduction and overview. Environ. Monit. Assess. 2020, 92, 281. [Google Scholar] [CrossRef]
- Dorigo, M.; Birattari, M.; Stutzle, T. Ant colony optimization. IEEE Comput. Intell. Mag. 2006, 1, 28–39. [Google Scholar] [CrossRef]
- Mirjalili, S.; Mirjalili, S.M.; Lewis, A. Grey wolf optimizer. Adv. Eng. Softw. 2014, 69, 46–61. [Google Scholar] [CrossRef]
- Abdel-Basset, M.; Mohamed, R.; Zidan, M.; Jameel, M.; Abouhawwash, M. Mantis Search Algorithm: A novel bio-inspired algorithm for global optimization and engineering design problems. Comput. Methods Appl. Mech. Eng. 2023, 415, 116200. [Google Scholar] [CrossRef]
- Deb, K.; Pratap, A.; Agarwal, S.; Meyarivan, T. A fast and elitist multiobjective genetic algorithm: NSGA-II. IEEE Trans. Evol. Comput. 2002, 6, 182–197. [Google Scholar] [CrossRef]
- Deb, K.; Jain, H. An evolutionary many-objective optimization algorithm using reference-point-based nondominated sorting approach, part I: Solving problems with box constraints. IEEE Trans. Evol. Comput. 2013, 18, 577–601. [Google Scholar] [CrossRef]
- Deng, L.; Guo, S.; Yin, J.; Zeng, Y.; Chen, K. Multi-objective optimization of water resources allocation in Han River basin (China) integrating efficiency, equity and sustainability. Sci. Rep. 2022, 12, 798. [Google Scholar] [CrossRef]
- Baltar, A.M.; Fontane, D.G. Use of multiobjective particle swarm optimization in water resources management. J. Water Resour. Plan. Manag. 2008, 134, 257–265. [Google Scholar] [CrossRef]
- Coello, C.A.C.; Pulido, G.T.; Lechuga, M.S. Handling multiple objectives with particle swarm optimization. IEEE Trans. Evol. Comput. 2004, 8, 256–279. [Google Scholar] [CrossRef]
- Mirjalili, S.; Saremi, S.; Mirjalili, S.M.; Coelho, L.D.S. Multi-objective grey wolf optimizer: A novel algorithm for multi-criterion optimization. Expert Syst. Appl. 2016, 47, 106–119. [Google Scholar] [CrossRef]
- Torabi, A.; Yosefvand, F.; Shabanlou, S.; Rajabi, A.; Yaghoubi, B. Optimization of Integrated Operation of Surface and Groundwater Resources using Multi-Objective Grey Wolf Optimizer (MOGWO) Algorithm. Water Resour. Manag. 2024, 38, 2079–2099. [Google Scholar] [CrossRef]
- Li, B.; Wang, H. Multi-objective sparrow search algorithm: A novel algorithm for solving complex multi-objective optimisation problems. Expert Syst. Appl. 2022, 210, 118414. [Google Scholar] [CrossRef]
- Jangir, P.; Buch, H.; Mirjalili, S.; Manoharan, P. MOMPA: Multi-objective marine predator algorithm for solving multi-objective optimization problems. Evol. Intell. 2023, 16, 169–195. [Google Scholar] [CrossRef]
- Jameel, M.; Abouhawwash, M. Multi-objective Mantis Search Algorithm (MOMSA): A novel approach for engineering design problems and validation. Comput. Methods Appl. Mech. Eng. 2024, 422, 116840. [Google Scholar] [CrossRef]
- Abdel-Basset, M.; Mohamed, R.; Jameel, M.; Abouhawwash, M. Nutcracker optimizer: A novel nature-inspired metaheuristic algorithm for global optimization and engineering design problems. Knowl.-Based Syst. 2023, 262, 110248. [Google Scholar] [CrossRef]
- Mirjalili, S.; Gandomi, A.H.; Mirjalili, S.Z.; Saremi, S.; Faris, H.; Mirjalili, S.M. Salp Swarm Algorithm: A bio-inspired optimizer for engineering design problems. Adv. Eng. Softw. 2017, 114, 163–191. [Google Scholar] [CrossRef]
- Yan, Z.; Sha, J.; Liu, B.; Tian, W.; Lu, J. An ameliorative whale optimization algorithm for multi-objective optimal allocation of water resources in Handan, China. Water 2018, 10, 87. [Google Scholar] [CrossRef]









| Function | Model | IGD | HV | ||
|---|---|---|---|---|---|
| Ave. | Std. | Ave. | Std. | ||
| UF1 | MOPSO | 1.1563 × 10−2 | 1.2527 × 10−3 | 5.5557 × 10−1 | 1.5996 × 10−2 |
| MSSA | 1.3801 × 10−2 | 7.9745 × 10−4 | 5.4171 × 10−1 | 1.9219 × 10−2 | |
| MONOA | 7.8339 × 10−3 | 1.7699 × 10−3 | 6.3729 × 10−1 | 1.8812 × 10−2 | |
| UF2 | MOPSO | 1.0306 × 10−2 | 9.5252 × 10−4 | 5.9931 × 10−1 | 1.0587 × 10−2 |
| MSSA | 1.0871 × 10−2 | 1.0410 × 10−3 | 6.0677 × 10−1 | 1.2274 × 10−2 | |
| MONOA | 2.5257 × 10−3 | 1.3183 × 10−4 | 6.9528 × 10−1 | 1.3562 × 10−3 | |
| UF3 | MOPSO | 4.4247 × 10−2 | 3.6845 × 10−3 | 2.3228 × 10−1 | 3.5339 × 10−2 |
| MSSA | 4.5979 × 10−2 | 5.8240 × 10−3 | 1.9942 × 10−1 | 5.0625 × 10−2 | |
| MONOA | 1.9300 × 10−2 | 3.0781 × 10−3 | 4.9187 × 10−1 | 3.5324 × 10−2 | |
| UF4 | MOPSO | 7.0991 × 10−3 | 3.5460 × 10−4 | 3.4706 × 10−1 | 4.7282 × 10−3 |
| MSSA | 1.3472 × 10−2 | 2.1847 × 10−3 | 2.6617 × 10−1 | 9.9168 × 10−3 | |
| MONOA | 5.0079 × 10−3 | 7.4175 × 10−5 | 3.7834 × 10−1 | 1.1625 × 10−3 | |
| ZDT1 | MOPSO | 6.7303 × 10−4 | 1.0972 × 10−4 | 6.9514 × 10−1 | 4.4775 × 10−3 |
| MSSA | 4.0260 × 10−3 | 7.2303 × 10−4 | 5.6061 × 10−1 | 2.3564 × 10−2 | |
| MONOA | 2.0052 × 10−4 | 8.9449 × 10−6 | 7.1881 × 10−1 | 2.8074 × 10−4 | |
| ZDT2 | MOPSO | 9.5231 × 10−4 | 2.5354 × 10−4 | 4.0828 × 10−1 | 1.1161 × 10−2 |
| MSSA | 4.9361 × 10−3 | 9.0329 × 10−4 | 2.6852 × 10−1 | 1.9595 × 10−2 | |
| MONOA | 2.0129 × 10−4 | 1.2036 × 10−5 | 4.4356 × 10−1 | 3.6623 × 10−4 | |
| ZDT3 | MOPSO | 1.3615 × 10−4 | 6.3819 × 10−6 | 5.9871 × 10−1 | 3.8009 × 10−4 |
| MSSA | 1.3406 × 10−3 | 4.3453 × 10−4 | 6.0281 × 10−1 | 1.7312 × 10−2 | |
| MONOA | 1.4906 × 10−4 | 6.2534 × 10−6 | 5.9933 × 10−1 | 8.0567 × 10−5 | |
| ZDT6 | MOPSO | 5.5345 × 10−4 | 8.9129 × 10−5 | 2.3220 × 10−1 | 9.2525 × 10−4 |
| MSSA | 2.7836 × 10−3 | 1.0372 × 10−3 | 2.1970 × 10−1 | 2.0034 × 10−2 | |
| MONOA | 3.7348 × 10−4 | 2.4042 × 10−5 | 2.3342 × 10−1 | 2.6192 × 10−4 | |
| DTLZ1 | MOPSO | 1.0310 × 10−1 | 7.0706 × 10−2 | 2.0971 × 10−1 | 3.1812 × 10−1 |
| MSSA | 1.3615 × 10−1 | 6.5126 × 10−2 | 1.0014 × 10−1 | 1.5072 × 10−1 | |
| MONOA | 7.3864 × 10−3 | 4.3246 × 10−4 | 8.2337 × 10−1 | 3.2427 × 10−3 | |
| DTLZ2 | MOPSO | 5.0120 × 10−3 | 1.7933 × 10−4 | 5.3772 × 10−1 | 4.2463 × 10−3 |
| MSSA | 4.2327 × 10−2 | 5.3125 × 10−3 | 1.3881 × 10−1 | 2.0181 × 10−2 | |
| MONOA | 5.2350 × 10−3 | 1.6322 × 10−4 | 5.2823 × 10−1 | 3.4073 × 10−3 |
| Year | Water Consumption (108 m3) | Water Supply (108 m3) | |||||
|---|---|---|---|---|---|---|---|
| Domesticity | Agriculture | Industry | Ecology | Surface Water | Groundwater | Unconventional Water | |
| 2022 | 2.8459 | 11.578 | 2.2738 | 2.0779 | 9.8854 | 7.6929 | 1.2013 |
| Year | Water Demand (108 m3) | Water Supply (108 m3) | |||||
|---|---|---|---|---|---|---|---|
| Domesticity | Agriculture | Industry | Ecology | Surface Water | Groundwater | Unconventional Water | |
| 2025 | 3.3385 | 14.3664 | 2.9870 | 2.1189 | 12.1857 | 7.1273 | 2.8442 |
| Water Sources | Domesticity | Agriculture | Industry | Ecology |
|---|---|---|---|---|
| Surface water | 1 | 1 | 1 | 1 |
| Groundwater | 1 | 1 | 1 | 0 |
| Unconventional water | 0 | 1 | 1 | 1 |
| Parameter | Domestic | Agriculture | Industry | Ecology |
|---|---|---|---|---|
| 0.42 | 0 | 0.18 | 0 | |
| (mg/L) | 265.10 | 0 | 35.62 | 0 |
| Objective | Plan A | Plan B | Plan C | Plan D |
|---|---|---|---|---|
| Economic benefit (1011 CNY) | 1.44 | 1.40 | 1.37 | 1.40 |
| Water shortage (108 m3) | 0.68 | 0.66 | 0.69 | 0.73 |
| COD emission (104 t) | 3.91 | 3.74 | 3.70 | 3.72 |
Disclaimer/Publisher’s Note: The statements, opinions and data contained in all publications are solely those of the individual author(s) and contributor(s) and not of MDPI and/or the editor(s). MDPI and/or the editor(s) disclaim responsibility for any injury to people or property resulting from any ideas, methods, instructions or products referred to in the content. |
© 2024 by the authors. Licensee MDPI, Basel, Switzerland. This article is an open access article distributed under the terms and conditions of the Creative Commons Attribution (CC BY) license (https://creativecommons.org/licenses/by/4.0/).
Share and Cite
Wang, D.; Zhang, D.; Liu, Z.; Li, L.; Liu, X. Optimal Allocation of Urban Water Resources Based on Multi-Objective Nutcracker Optimization Algorithm. Water 2024, 16, 3475. https://doi.org/10.3390/w16233475
Wang D, Zhang D, Liu Z, Li L, Liu X. Optimal Allocation of Urban Water Resources Based on Multi-Objective Nutcracker Optimization Algorithm. Water. 2024; 16(23):3475. https://doi.org/10.3390/w16233475
Chicago/Turabian StyleWang, Dong, Dandan Zhang, Zhen Liu, Lei Li, and Xin Liu. 2024. "Optimal Allocation of Urban Water Resources Based on Multi-Objective Nutcracker Optimization Algorithm" Water 16, no. 23: 3475. https://doi.org/10.3390/w16233475
APA StyleWang, D., Zhang, D., Liu, Z., Li, L., & Liu, X. (2024). Optimal Allocation of Urban Water Resources Based on Multi-Objective Nutcracker Optimization Algorithm. Water, 16(23), 3475. https://doi.org/10.3390/w16233475

