Study on Motion Response Prediction of Offshore Platform Based on Multi-Sea State Samples and EMD Algorithm
Abstract
1. Introduction
2. Basic Theory
2.1. Principle of Neural Network
2.1.1. The Principle of the Long Short-Term Memory Neural Network
2.1.2. Convolution Layer Principle
2.2. Performance Evaluation Index
3. Prediction Analysis of Motion Response of Offshore Platform Under Multiple Sea State Condition Samples
3.1. Establishment of Neural Network Model
3.2. Platform Model Establishment
3.3. Adaptive Analysis of Wave Direction Angle
3.4. Adaptive Analysis of Significant Wave Height
4. Improved Motion Response Prediction Model Based on EMD Algorithm
4.1. Construct EMD-ResCNN-LSTM Model
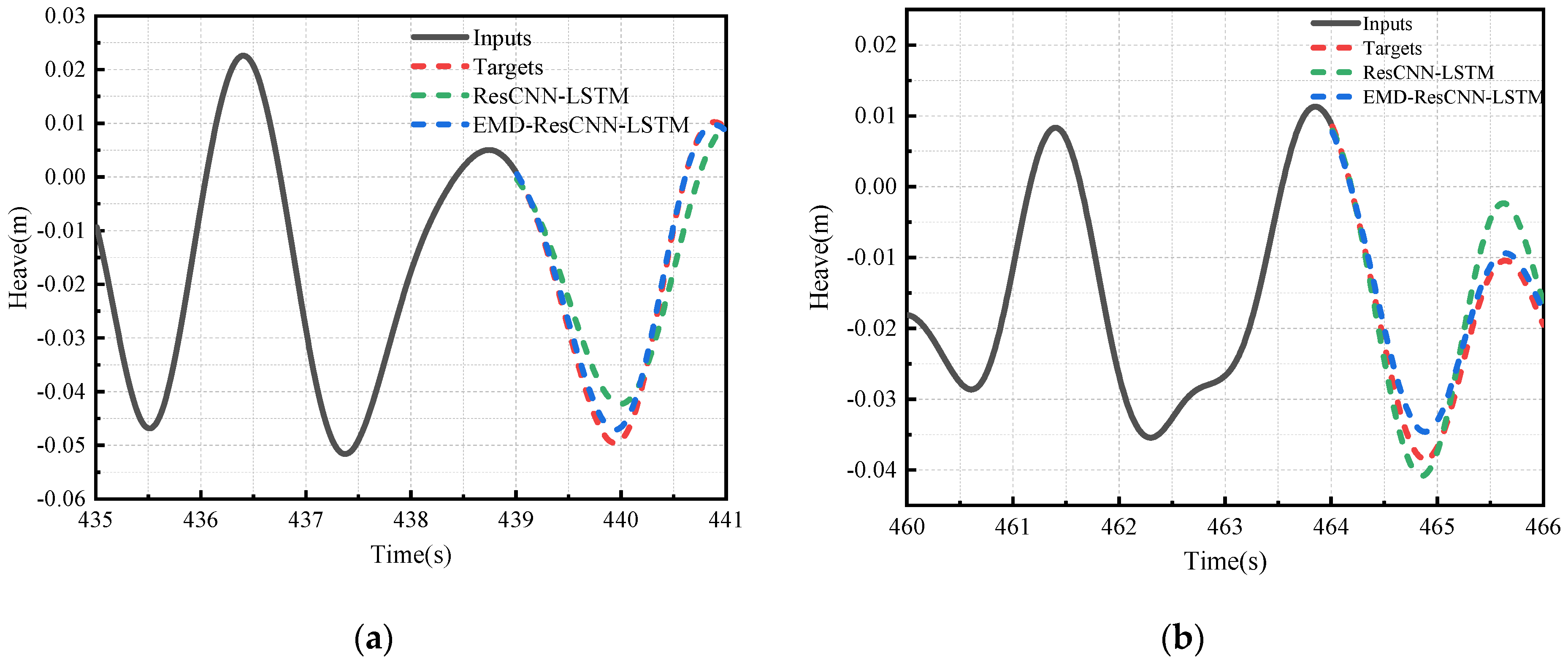
4.2. Prediction Results and Error Analysis
5. Conclusions
Author Contributions
Funding
Data Availability Statement
Conflicts of Interest
References
- Cheng, X.; Li, G.; Skulstad, R.; Major, P.; Chen, S.; Hildre, H.P.; Zhang, H. Data-driven uncertainty and sensitivity analysis for ship motion modeling in offshore operations. Ocean Eng. 2019, 179, 261–272. [Google Scholar] [CrossRef]
- Lee, J.-H.; Lee, J.; Kim, Y.; Ahn, Y. Prediction of wave-induced ship motions based on integrated neural network system and spatiotemporal wave-field data. Phys. Fluids 2023, 35, 097127. [Google Scholar] [CrossRef]
- Chen, C.-Z.; Zou, Z.-J.; Zou, L.; Zou, M.; Kou, J.-Q. Time series prediction of ship course keeping in waves using higher order dynamic mode decomposition. Phys. Fluids 2023, 35, 097139. [Google Scholar] [CrossRef]
- Elkhrachy, I.; Alhamami, A.; Alyami, S.H.; Alviz-Meza, A. Novel Ocean Wave Height and Energy Spectrum Forecasting Approaches: An Application of Semi-Analytical and Machine Learning Models. Water 2023, 15, 3254. [Google Scholar] [CrossRef]
- Heydarizad, M.; Gimeno, L.; Minaei, M.; Gharehghouni, M.S. Stable Isotope Signatures in Tehran’s Precipitation: Insights from Artificial Neural Networks, Stepwise Regression, Wavelet Coherence, and Ensemble Machine Learning Approaches. Water 2023, 15, 2357. [Google Scholar] [CrossRef]
- Zhao, J.; Zhao, Y.; Zou, L. A fully adaptive time–frequency coupling model using self-attention mechanism based on deep operator network for very short-term forecasting of ship motion. Phys. Fluids 2024, 36, 102119. [Google Scholar] [CrossRef]
- Li, C.; Liang, B.; Yuan, P.; Zhang, Q.; Liu, Y.; Liu, B.; Zhao, M. Fast prediction of propeller dynamic wake based on deep learning. Phys. Fluids 2024, 36, 085133. [Google Scholar] [CrossRef]
- Guo, X.; Jin, X.; Jin, S. Shallow Water Bathymetry Mapping from ICESat-2 and Sentinel-2 Based on BP Neural Network Model. Water 2022, 14, 3862. [Google Scholar] [CrossRef]
- Vicens-Miquel, M.; Tissot, P.E.; Medrano, F.A. Exploring Deep Learning Methods for Short-Term Tide Gauge Water Level Predictions. Water 2024, 16, 2886. [Google Scholar] [CrossRef]
- Liu, B.; Zhang, Y.; Pan, D.; Xu, X.; Cai, T. Amphibious vehicle’s resistance optimization through neural networks and genetic algorithms. Phys. Fluids 2024, 36, 065129. [Google Scholar] [CrossRef]
- Deo, I.K.; Jaiman, R. Predicting waves in fluids with deep neural network. Phys. Fluids 2022, 34, 067108. [Google Scholar] [CrossRef]
- Jiao, Y.; Li, G.; Zhao, P.; Chen, X.; Cao, Y.; Liu, G.; Wu, L.; Xu, X.; Fu, D.; Xin, R.; et al. Construction of Sea Surface Temperature Forecasting Model for Bohai Sea and Yellow Sea Coastal Stations Based on Long Short-Time Memory Neural Network. Water 2024, 16, 2307. [Google Scholar] [CrossRef]
- Zhao, X.; Wang, H.; Bai, M.; Xu, Y.; Dong, S.; Rao, H.; Ming, W. A Comprehensive Review of Methods for Hydrological Forecasting Based on Deep Learning. Water 2024, 16, 1407. [Google Scholar] [CrossRef]
- Ouyang, Z.; Gao, Y.; Zhang, X.; Wu, X.; Zhang, D. Significant Wave Height Forecasting Based on EMD-TimesNet Networks. J. Mar. Sci. Eng. 2024, 12, 536. [Google Scholar] [CrossRef]
- Hou, X.; Xia, S. Short-Term Prediction of Ship Roll Motion in Waves Based on Convolutional Neural Network. J. Mar. Sci. Eng. 2024, 12, 102. [Google Scholar] [CrossRef]
- Yang, B. Research on Ultra-Short-Term Prediction of Ship Motion Attitude Based on Deep Learning. Master’s Thesis, Jiangsu University of Science and Technology, Zhenjiang, China, 2023. [Google Scholar] [CrossRef]
- Fu, W. Research on Rapid Prediction of Damaged Ship Motion in Beam Waves Based on Machine Learning. Master’s Thesis, Wuhan University of Technology, Wuhan, China, 2022. [Google Scholar] [CrossRef]
- Duan, S. Research on Ship Motion Response Prediction and Wave Inversion Based on Deep Learning. Master’s Thesis, Harbin Engineering University, Harbin, China, 2021. [Google Scholar] [CrossRef]
- Wang, K.; Li, G. Application of DRNN Neural Network in Time Series Forecasting of Ship Roll Motion. J. Harbin Eng. Univ. 1997, 1, 41–47. [Google Scholar]
- Xu, P.; Jin, H.; Wang, K.; Yan, L. A Novel Real-Time Prediction Method for Ship Roll Motion. China Shipbuild. 2002, 1, 72–76. [Google Scholar]
- Goodfellow, I.; Bengio, Y.; Courville, A. Deep Learning; MIT Press: Cambridge, MA, USA, 2016. [Google Scholar]
- Hochreiter, S.; Schmidhuber, J. Long short-term memory. Neural Comput. 1997, 9, 1735–1780. [Google Scholar] [CrossRef] [PubMed]
- Graves, A. Supervised Sequence Labelling with Recurrent Neural Networks. Ph.D. Thesis, Technical University of Munich, Munich, Germany, 2008. [Google Scholar]
- Chen, Z.; Wang, Z.; Cui, H.; Li, S. Visualization research on ship attitude estimation based on deep learning. J. Huazhong Univ. Sci. Technol. (Nat. Sci. Ed.) 2024, 1–6. [Google Scholar] [CrossRef]
- Hou, H.; Wu, W.; Wei, R.; He, H.; Wang, L.; Li, Z.; Lin, X. CNN-LSTM-XGBoost typhoon rainstorm electric power meteorological hybrid prediction model based on attention mechanism. Smart Power 2024, 52, 96–102. [Google Scholar] [CrossRef]
- Zhu, Y.; Wu, G.; Liang, Y.; Ma, Y.; Wu, J. Classification of Distribution Network Planning Documents Based on LSTM Neural Network. Procedia Comput. Sci. 2023, 228, 914–919. [Google Scholar] [CrossRef]
- Wei, Q.; Li, X.; Li, X.; Lu, W. Ultra-Short-Term Forecasting of Semi-Submersible Platform Motion Based on EMD-LSTM Model. Ocean Eng. 2021, 39, 29–37. [Google Scholar] [CrossRef]
- Tian, J.; Wu, K. Bearing fault diagnosis based on improved one-dimensional convolutional neural network. Mech. Eng. Autom. 2024, 5, 158–159+162. [Google Scholar]
- Xu, Y.; Wei, J.; Wei, C.; Yang, F. A High-Frequency Ground Wave Radar Ocean Current Direction Correction Method Based on CNN-LSTM. J. Trop. Oceanogr. 2024, 1–11. Available online: http://kns.cnki.net/kcms/detail/44.1500.P.20241104.1543.005.html (accessed on 25 November 2024).
- Zhang, S. Research on Instantaneous Prediction Algorithm of Wave Height Based on Neural Network; Jiangsu University of Science and Technology: Zhenjiang, China, 2024. [Google Scholar] [CrossRef]
- Zhang, Y.; Zhao, J.; Quan, M. Prediction Method of Effluent Ammonia Nitrogen Concentration Using Long Short-Term Memory Network Based on Convolutional Layer Attention Mechanism. J. Chem. Eng. 2024, 1–18. Available online: http://kns.cnki.net/kcms/detail/11.1946.TQ.20240725.1432.002.html (accessed on 25 November 2024).
- Diao, F.; Liu, T.; Likeufack Mdemaya, F.A.; Xu, G. Study on the Prediction of Motion Response of Offshore Platforms Based on ResCNN-LSTM. J. Mar. Sci. Eng. 2024, 12, 1869. [Google Scholar] [CrossRef]
- Yang, J. Research on Dynamic Tension Prediction Method of Single-Point Mooring System Based on Deep Learning. Master’s Thesis, Harbin Engineering University, Harbin, China, 2022. [Google Scholar] [CrossRef]
- Lo, W.; Wang, W.-J.; Chen, H.-Y.; Lee, J.-W.; Vojinovic, Z. Feasibility Study Regarding the Use of a Conformer Model for Rainfall-Runoff Modeling. Water 2024, 16, 3125. [Google Scholar] [CrossRef]
- Wang, T.; Ding, L.; Zhang, D.; Chen, J. A Hybrid Model Combined Deep Neural Network and Beluga Whale Optimizer for China Urban Dissolved Oxygen Concentration Forecasting. Water 2024, 16, 2966. [Google Scholar] [CrossRef]
- Niu, G. Influence of Float Shape on the Motion Performance of Offshore Satellite Launch Platforms. Master’s Thesis, Jiangsu University of Science and Technology, Zhenjiang, China, 2021. [Google Scholar] [CrossRef]
- Yue, X. Application Research of Empirical Mode Decomposition Algorithm. Master’s Thesis, Xidian University, Xi’an, China, 2013. [Google Scholar]
- Li, G.; Han, Y.; Yang, H. A novel approach for underwater acoustic signal denoising based on improved time-variant filtered empirical mode decomposition and weighted fusion filtering. Ocean. Eng. 2024, 313 Pt 3, 119550, ISSN 0029-8018. [Google Scholar] [CrossRef]
- Boudraa, A.-O.; Khaldi, K.; Chonavel, T.; Hadj-Alouane, M.T.; Komaty, A. Audio coding via EMD. Digit. Signal Process. 2020, 104, 102770. [Google Scholar] [CrossRef]
- Chen, Q.; Wen, D.; Li, X.; Chen, D.; Lv, H.; Zhang, J.; Gao, P. Empirical mode decomposition based long short-term memory neural network forecasting model for the short-term metro passenger flow. PLoS ONE 2019, 14, e0222365. [Google Scholar] [CrossRef]

























| Parameter | Magnitude | Unit |
|---|---|---|
| Molded length | 58.0 | m |
| Molded breadth | 40.0 | m |
| Deck length | 39.4 | m |
| Deck width | 37.8 | m |
| Main body height | 19.2 | m |
| Column height | 10.9 | m |
| Column section | m | |
| Transverse brace diameter | 1.25 | m |
| Parameter | Platform Original Model | Scale Model |
|---|---|---|
| Drainage volume | 5.53 × 106 kg | 44.21 kg |
| Draught | 6.897 m | 0.1379 m |
| Height of center of gravity | 6.615 m | 0.1323 m |
| Roll moment of inertia | 1.08 × 109 kg·m2 | 3.46 kg·m2 |
| Pitching moment of inertia | 1.19 × 109 kg·m2 | 3.81 kg·m2 |
| Bow moment of inertia | 1.56 kg·m2 | 5.01 kg·m2 |
| Significant Wave Height | Spectrum Peak Period | Number of Wave Components | Incidence Angle | |
|---|---|---|---|---|
| Condition one | 0.1 | 1.56 s | 75 | 0° |
| Condition two | 0.1 | 1.56 s | 75 | 45° |
| Significant Wave Height | Spectrum Peak Period | Number of Wave Components | Incidence Angle | |
|---|---|---|---|---|
| Condition one | 0.07 | 1.41 s | 75 | 0° |
| Condition two | 0.1 | 1.56 s | 75 | 0° |
| ResCNN-LSTM | EMD-ResCNN-LSTM | |||
|---|---|---|---|---|
| MSE | MAPE | MSE | MAPE | |
| Heave (0°) | 4.00 × 10−5 | 0.21 | 3.55 × 10−5 | 0.19 |
| Heave (45°) | 6.99 × 10−5 | 0.38 | 4.25 × 10−5 | 0.23 |
| Pitch (0°) | 5.23 × 10−5 | 0.26 | 5.15 × 10−5 | 0.25 |
| Pitch (45°) | 1.01 × 10−4 | 0.72 | 7.63 × 10−5 | 0.52 |
Disclaimer/Publisher’s Note: The statements, opinions and data contained in all publications are solely those of the individual author(s) and contributor(s) and not of MDPI and/or the editor(s). MDPI and/or the editor(s) disclaim responsibility for any injury to people or property resulting from any ideas, methods, instructions or products referred to in the content. |
© 2024 by the authors. Licensee MDPI, Basel, Switzerland. This article is an open access article distributed under the terms and conditions of the Creative Commons Attribution (CC BY) license (https://creativecommons.org/licenses/by/4.0/).
Share and Cite
Liu, T.; Diao, F.; Yao, W.; Likeufack Mdemaya, F.A.; Xu, G. Study on Motion Response Prediction of Offshore Platform Based on Multi-Sea State Samples and EMD Algorithm. Water 2024, 16, 3441. https://doi.org/10.3390/w16233441
Liu T, Diao F, Yao W, Likeufack Mdemaya FA, Xu G. Study on Motion Response Prediction of Offshore Platform Based on Multi-Sea State Samples and EMD Algorithm. Water. 2024; 16(23):3441. https://doi.org/10.3390/w16233441
Chicago/Turabian StyleLiu, Tianyu, Feng Diao, Wen Yao, Franck Aurel Likeufack Mdemaya, and Gang Xu. 2024. "Study on Motion Response Prediction of Offshore Platform Based on Multi-Sea State Samples and EMD Algorithm" Water 16, no. 23: 3441. https://doi.org/10.3390/w16233441
APA StyleLiu, T., Diao, F., Yao, W., Likeufack Mdemaya, F. A., & Xu, G. (2024). Study on Motion Response Prediction of Offshore Platform Based on Multi-Sea State Samples and EMD Algorithm. Water, 16(23), 3441. https://doi.org/10.3390/w16233441

