Abstract
Antibiotics, widely used pharmaceuticals, enter wastewater treatment systems and ultimately the aquatic environment through the discharge of wastewater from residential areas, hospitals, breeding farms, and pharmaceutical factories, posing potential ecological and health risks. Due to the misuse and discharge of antibiotics, the spread of antibiotic resistance genes (ARGs) in water bodies and significant changes in microbial community structure have direct toxic effects on aquatic ecosystems and human health. This paper summarizes the occurrence of antibiotics in wastewater treatment systems and their ecological and health risks, focusing on the impact of antibiotics on aquatic microorganisms, aquatic plants and animals, and human health. It points out that existing wastewater treatment processes have poor removal capabilities for antibiotics and even become an important pathway for the spread of some antibiotics. In terms of detection technology, the article discusses the application of immunoassays, instrumental analysis, and emerging sensor technologies in detecting antibiotics in sewage, each with its advantages and limitations. Future efforts should combine multiple technologies to improve detection accuracy. Regarding the removal methods of antibiotics, the paper categorizes physical, chemical, and biodegradation methods, introducing various advanced technologies including membrane separation, adsorption, electrochemical oxidation, photocatalytic oxidation, and membrane bioreactors. Although these methods have shown good removal effects in the laboratory, there are still many limitations in large-scale practical applications. This paper innovatively takes urban wastewater treatment systems as the entry point, systematically integrating the sources of antibiotics, environmental risks, detection technologies, and treatment methods, providing targeted and practical theoretical support and technical guidance, especially in the removal of antibiotics in wastewater treatment, on a scientific basis. Future efforts should strengthen the control of antibiotic sources, improve the efficiency of wastewater treatment, optimize detection technologies, and promote the formulation and implementation of relevant laws and standards to more effectively manage and control antibiotic pollution in the aquatic environment.
1. Introduction
With the continuous development of organic chemical synthesis processes, an increasing number of compounds are being mass-produced and widely used in our daily lives. In recent years, many substances have uncontrollably entered the water environment, becoming new types of pollutants. Among them, pharmaceuticals and personal care products (PPCPs), persistent organic pollutants (POPs), endocrine disruptors (EDCs), and disinfection byproducts (DBPs) are some of the most prominent categories. These pollutants are characterized by their low concentrations, difficulty in terms of degradation, and high toxicity risks, which have led to widespread attention and research. Among them, antibiotics, which belong to PPCPs, have become a hot topic in scientific research due to their long-term and extensive use in treating bacterial infections in humans and animals. Since the advent of penicillin in 1929, hundreds of isolated or synthesized antibiotics have been utilized for the prevention and management of illnesses in both humans and animals [1]. Among the various categories, beta-lactam antibiotics (BLAs), fluoroquinolones (FQs), tetracyclines (TCs), macrolides (MLs), and sulfonamides (SAs) are the most commonly used antibiotics. Domestic life [2], hospitals [3,4], animal husbandry [5,6] and antibiotic manufacturing factories [7,8,9] are all significant sources of antibiotics in wastewater treatment systems, with medicinal antibiotics being of particular concern. For instance, in animal husbandry, to curb the spread of pathogens, uninfected animals are also compulsorily administered a certain dose of antibiotics for disease prevention. Medicinal antibiotics that enter living organisms are only partially effectively metabolized, with approximately 50–80% of the active antibiotic residues being excreted through feces and urine, and a large proportion of these residues enter the natural surroundings through urban wastewater treatment systems [10,11]. A plethora of studies have demonstrated the presence of antibiotics in surface water [12,13], groundwater [14], drinking water [13,15], and seawater [16,17] around the world.
Antibiotics are considered “pseudo-persistent” contaminants in the environment because they are not highly resistant to degradation, but the rate at which they enter the environment far exceeds their rate of degradation [18]. Additionally, although the concentration of antibiotics in aquatic environments is generally low (typically measured in ng/L [19,20,21,22]), their high biological activity [23] still poses a considerable risk to aquatic ecosystems and human health [24]. The increasing antibiotic resistance in bacteria has sparked much public discussion [2,20]. The residue of antibiotics in aquatic environments, once it reaches a certain level, can affect the composition and function of microbial communities, impacting microbial ecology by increasing mutation rates, facilitating the horizontal transfer of resistance genes, and driving the environmental selection of antibiotic-resistant bacteria [25,26]. This, in turn, gradually weakens humanity’s ability to treat infectious diseases, perform surgery, and utilize immunosuppressive therapies, undermining the foundation of modern healthcare [27]. In addition, antibiotics can also have direct toxic effects on a range of aquatic plants and animals, altering species distribution and threatening the entire aquatic ecosystem [28,29]. The synergistic, additive, or antagonistic effects between other toxins in water and antibiotics are also not yet clear [30,31].
As mentioned earlier, urban wastewater treatment systems, as an essential part of the water resource cycle, contain a large amount of antibiotics from various sources. Currently, the treatment rate of antibiotics in wastewater treatment plants is generally low [29], and they have even become an important “source” for the spread of antibiotics and antibiotic-resistant bacteria in diverse aquatic environments [20,32,33]. How to effectively detect antibiotics in wastewater is the first question that needs to be studied. Compared with some conventional physicochemical parameters, the discharge of most antibiotics is not currently under effective regulation, largely due to the limitations of trace detection technology development. A variety of methods have been designed to ascertain antibiotics in wastewater, such as immunoassays [34,35], instrumental analysis methods [36], and various sensor detection methods. Different detection methods have their own advantages and disadvantages, and they each have applicable conditions or categories of antibiotics. A review of the enrichment and detection methods for antibiotics in water is beneficial for comparing their differences and sorting out the frontier directions of related research. Due to the increasing public concern about antibiotic pollution, research on antibiotic removal technologies is also emerging. In addition to the traditional activated sludge method, methods such as membrane separation [37,38], adsorption [39,40], advanced oxidation [41], and membrane bioreactors have also been developed for the removal of antibiotics from wastewater. However, the specific removal mechanisms and efficiencies of these methods are mostly still at the laboratory stage, and their practical applications may be limited by the conditions of wastewater treatment systems and treatment costs. We find that although there are already summaries of the environmental risks, detection technologies, and treatment methods for antibiotics, there are still few reviews focusing on antibiotics in wastewater treatment systems. Urban wastewater treatment systems are an essential part of the control of antibiotic pollution, and improving the summary and analysis in this area is of great significance and urgency for the in-depth research into and management of antibiotics.
Therefore, the main objectives of this study are as follows: (1) to summarize the influent and effluent concentrations of major categories of antibiotics in wastewater treatment systems in different regions, and to deeply analyze the potential impacts of antibiotics in current wastewater treatment systems on aquatic ecology and human health; (2) to systematically review the current detection technologies for antibiotics in wastewater, assess the accuracy and reliability of the various methods, and provide scientific guidance for actual detection work; and (3) to review the current effective treatment methods for antibiotics in wastewater, with the expectation of providing feasible operational plans to address the issue of antibiotic pollution. This paper innovatively focuses on the important link of urban wastewater treatment systems, not only effectively connecting the sources of antibiotics and the risks of their entry into the water environment in logical terms but also enhancing the specificity and practicality of the review of antibiotic detection and treatment methods. Through this study, we aim to furnish a scientific rationale and backing for the effective regulation and control of antibiotic pollution in the aquatic environment, at both the standard-setting and legal enforcement levels.
2. The Occurrence and Potential Risks of Antibiotics in Urban Wastewater Treatment Systems
2.1. Antibiotic Consumption and Concentrations in Wastewater Treatment Systems
Currently, the global consumption of antibiotics is staggering. A study by the National Academy of Sciences in the United States indicates that between 2000 and 2015, antibiotic consumption, measured in defined daily doses (DDDs), increased by 65% (from 21.1 to 34.8 billion DDDs), and the antibiotic consumption rate per 1000 inhabitants per day increased by 39% (from 11.3 to 15.7 DDDs). If the existing policies remain unchanged, forecasts indicate that global antibiotic consumption in 2030 could surge up to 200% compared to the estimated 42 billion DDDs (defined daily doses) in 2015 [42]. In 2021, among the 29 European Union/European Economic Area countries that provided data on human and food-producing animal consumption, the amounts of antibiotics consumed by humans and food-producing livestock were 3061 tons and 4994 tons, respectively [43]. Table 1 summarizes the categorization of certain antibiotics in the aforementioned European countries, as well as the range, median, and population-weighted mean of human and food-producing animal consumption, estimated in mg/kg of biomass.
Table 1.
The classification of certain types of antibiotics in most European countries, as well as their range, median, and population-weighted mean of antimicrobial consumption in humans and food-producing animals [43].
As shown in Table 1, despite the graded management of antibiotic use, in 2021, the population-weighted average consumption in the EU/EEA reached 125.0 mg/kg (range 44.3–160.1 mg/kg; median 108.9 mg/kg). The average consumption for food-producing animals reached 92.6 mg/kg (range 2.5–296.5 mg/kg; median 50.0 mg/kg).
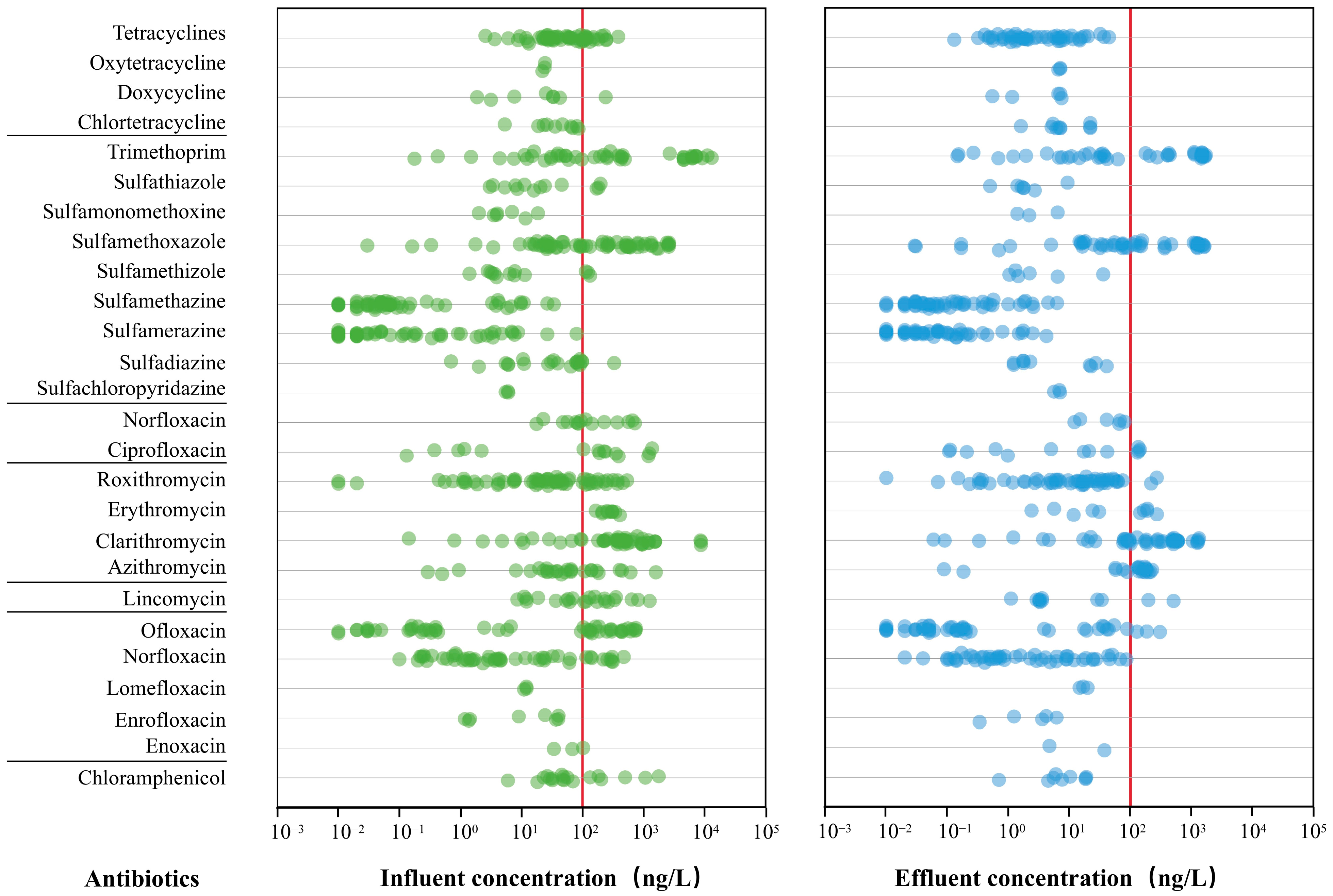
These antibiotics have difficulty in being fully metabolized by humans and animals, and a substantial portion of them enter urban wastewater treatment systems. In addition to this, wastewater discharged from antibiotic-manufacturing factories, as well as improperly treated medical waste from hospitals, also deliver a significant amount of antibiotics to wastewater treatment systems. Since antibiotics are not strictly regulated in the wastewater discharge standards of most countries, traditional wastewater treatment plants generally do not have specialized processes for removing antibiotics. Most antibiotics can only be partially removed, displaying removal efficiencies spanning from negative percentages up to more than 90%. This means that some wastewater treatment plants may even release antibiotics into the wastewater, leading to higher concentrations in the effluent than in the influent. The removal effectiveness of different antibiotics in municipal wastewater treatment plants is also tightly related to their inherent physical and chemical characteristics [25]; hence, the removal efficiency of antibiotics can vary even within the same wastewater treatment plant. Figure 1 illustrates the concentrations of major categories of antibiotics in the influent and effluent of municipal wastewater treatment plants in different countries and regions.
Figure 1.
Concentrations of major classes of antibiotics in the influent and effluent of municipal wastewater treatment plants in different countries and regions (data from [20]).
The range of antibiotic concentrations present in the influent of wastewater treatment plants is approximately between 0.01 ng/L and 10 μg/L, and in the effluent, the concentration range is approximately between 0.01 ng/L and 1 μg/L. A red reference line is drawn at 100 ng/L, and by comparing the number of data points to the right of the reference line, it is evident that wastewater treatment plants have a certain removal effect on most high-concentration antibiotics. Additionally, different wastewater treatment plants and different types of antibiotics lead to noticeable differences in removal efficiency.
2.2. Potential Ecological and Human Health Risks Posed by Antibiotics
Residual antibiotics eventually enter the receiving water bodies through the effluent of wastewater treatment systems, becoming a substantial source of antibiotics and their secondary metabolites in the aquatic environment [44]. Under these circumstances, the potential ecological and health risks posed by antibiotics in wastewater should be taken seriously. Figure 2 illustrates the process by which antibiotics enter the wastewater treatment system and, together with antibiotic resistance genes (ARGs), make their way into various water environments, causing environmental harm.
Figure 2.
Environmental migration process of antibiotics and ARGs in municipal wastewater treatment systems.
The occurrence of antibiotics in urban wastewater treatment systems initially impacts the dissemination of ARGs. ARGs are considered emerging micropollutants with environmental persistence [45]. As previously mentioned, a significant amount of antibiotics from various sources ultimately converge at wastewater treatment plants, exerting a substantial driving force on the emergence, evolution, and selection of ARGs [46]. Owing to the fact that ARGs can adhere to soil and sediment particles, the aquatic environment is more conducive to the widespread dissemination of ARGs among different geographical regions and diverse microbial species, including pathogenic bacteria [47]. Given that traditional wastewater treatment processes are nearly ineffective in removing DNA [26], residual antibiotics and ARGs enter surface water, drinking water, recreational water, and seawater with the effluent, further increasing the exposure of humans to antibiotics and the risk of ARG proliferation [48].
In aquatic environments, microorganisms play crucial roles as producers, consumers, and decomposers, maintaining the stability of aquatic ecosystems [49]. Despite not reaching the minimum inhibitory concentration (MIC), antibiotics are significant drivers of evolutionary changes in aquatic microorganisms. Under long-term exposure to low concentrations, antibiotics are capable of modifying the composition and structure of microbial populations and communities in water, further inducing the emergence of antibiotic resistance and consequently altering the ecological functions of certain aquatic environments [50]. For general bacteria, studies have shown that fluoroquinolone antibiotics can induce the bacterial SOS response (a DNA damage repair mechanism), regulating the horizontal transfer of integrative and conjugative elements that encode various other traits such as bacterial virulence, antibiotic resistance, and bacterial metabolism [51,52]. In aquatic systems exposed to low levels of tetracycline, the abundance of tetracycline resistance genes increases compared to the 16S rRNA gene [53]. Research by Cairns et al. [54] indicates that antibiotics can affect the species richness of bacterial populations by increasing the differences in adaptability among taxa, reducing community diversity. Zhao et al. [55] have demonstrated that even at low levels, antibiotics can have a notable impact on the composition of freshwater microbial communities at the genus level without affecting the bacterial community’s alpha diversity. From a macro perspective of aquatic ecological functions, it is known that tetracycline can inhibit the nitrification process in surface water to some extent [56], and some ammonium-oxidizing bacteria in experiments have shown sensitivity to antibiotics [57,58], significantly affecting the removal of nitrogen elements in water. Ofloxacin mildly inhibits two key steps in anaerobic digestion—methanogenesis and acetate kinetics [59]. Trace quantities of antibiotics in the aquatic environment might possibly affect the processes that promote carbonate precipitation and lead to an increase in atmospheric CO2 concentrations.
Research has revealed that various antibiotics, such as sulfonamides, tetracyclines, and macrolides, exhibit potential detrimental impacts on the development and growth of cyanobacteria and other algal species [58]. Antibiotics can impact algal growth by inducing abscisic acid secretion, inhibiting cellular protein synthesis, and disrupting chloroplasts [60,61]. Since cyanobacteria are prokaryotes and structurally more similar to bacteria, they are more susceptible to the effects of antibiotics. In toxicity tests on cyanobacteria, the EC50 values are far below 1 mg/L [62]. Most green algae species also exhibit high sensitivity to macrolides such as clarithromycin and erythromycin, with EC50 values below 1 mg/L [58]. Additionally, low concentrations of antibiotics such as imipenem [63], tobramycin [64], and norfloxacin [65] can enhance the tolerance of Microcystis aeruginosa to antibiotics by altering its biofilm properties.
Antibiotics in wastewater have also garnered widespread concern for their toxicity to non-target organisms. For example, an environmental risk assessment encompassing 226 types of antibiotics revealed that a significant 44% of them possess high toxicity levels towards Daphnia magna [66]. Macrolides have also been found to be harmful to Daphnia, posing significant environmental risks [67,68]. Exposure to trace levels of β-ketoantibiotics (DKA) can affect various cellular and biological processes in zebrafish, including inducing severe histopathological changes in zebrafish heart tissue [69]. Sulfamethoxazole (SMX) affects the survival rate of zebrafish embryos and induces deformities in developing embryos [70]. Antibiotics are also harmful to plants. It has been proven that antibiotics can transfer between aquatic plants and poison them through metabolic disruption, oxidative damage, and damage to the photosynthetic system [71]. Irrigating crops with water contaminated by antibiotics can result in the accumulation of antibiotics in the edible portions of crops [72].
The human gut is home to approximately 800–1000 different species of bacteria [73]. Among these microorganisms, beneficial bacteria account for up to 95%. There exists a stable ecological balance among the gut microbiota, as well as between the microbiota and the human body [74]. Epidemiological, observational, and clinical reports have provided substantial evidence that antibiotic contaminants in water, when ingested by humans, can lead to an imbalance in the gut microbiome [75], resulting in the proliferation of harmful bacteria and opportunistic pathogens, causing intestinal diseases such as pseudomembranous colitis and colorectal cancer [74]. Prolonged exposure to antibiotics may gradually stimulate, enable the survival, and promote the proliferation of antibiotic-resistant bacteria within the human body. These bacteria may persist in the human gut for years, leading to immune alterations and metabolic disturbances [76]. However, due to the drug research process, the development of new antimicrobial drugs takes a long time—potentially over a decade before they become available to the public. Infections that are difficult to treat can lead to extended hospital stays, increased treatment frequency, and costly treatments, placing a significant burden on the healthcare system [77].
3. Detection Methods for Antibiotics in Urban Wastewater
3.1. Enrichment and Extraction Methods for Antibiotics in Water
Antibiotics in urban wastewater are generally present at low concentrations. To effectively measure the concentration of antibiotics in wastewater, the enrichment and extraction of antibiotics are required through pretreatment. Common pretreatment methods include solid-phase extraction (SPE), solid-phase microextraction (SPME), magnetic solid-phase extraction (MSPE), and dispersive liquid–liquid microextraction (DLLME). SPE primarily involves enriching, separating, and purifying target substances in water samples by utilizing solid-phase extraction columns, offering advantages such as a simple operation, strong selectivity, and good recovery rates [78]. The adsorbents can be single materials like ionic liquids [79], lignocellulosic materials [80], covalent organic frameworks [81], or composite materials [82]. SPME is a solvent-free pretreatment technique that enriches target analytes by directly immersing a coated fiber into the sample, utilizing the adsorption effect of the coating material. Many studies have achieved the efficient extraction of trace antibiotics in water samples by improving the fiber skeleton [83] and coating materials [84]. MSPE, based on SPE, uses magnetic nano-adsorbents to enhance its performance, thereby improving its adsorption capacity for antibiotics in water samples and increasing its detection sensitivity [85]. This method is simple, fast, does not require centrifugation or filtration, and the magnetic adsorbents can be reused, reducing contamination and loss during sample processing. Unlike the aforementioned pretreatment techniques, DLLME is a liquid-phase extraction technique that is widely employed due to its straightforward operation, cost-effectiveness, rapid extraction process, high recovery rates, and exceptional enrichment factors [86]. In addition, molecularly imprinted polymers (MIPs) and composite aerogels have also attracted considerable attention in the research community.
3.2. Immunoassay Methods
Immunoassay methods are traditional techniques for detecting antibiotics, mainly including enzyme-linked immunosorbent assay (ELISA), lateral flow immunoassay (LFIA), and fluorescence immunoassay. The principle behind these methods is the specific combination of antigens and antibodies [34]. ELISA is inherently cost-effective and user-friendly in terms of operation, and its application in the detection of environmental pollutants such as antibiotics can further enhance detection specificity and lower the detection limit. Hoffmann et al. [87] produced polyclonal antibodies against Sulfamethoxazole (SMX) and developed a direct competitive ELISA. This method can quantitatively detect SMX in the ng/L range in pre-concentrated environmental water samples, and it shows good consistency with the results obtained from LC-MS/MS instruments. LFIA represents a swift immunoassay technique that integrates immunoassay technology with chromatographic methods. A prevalent research focus currently lies in the development of composite nanomaterials as signal markers, aiming to elevate the efficacy and performance of LFIA [35,88]. Munirah et al. [89] conjugated streptomycin-specific monoclonal antibodies with gold nanoparticles (AuNPs) to prepare LFIA test strips for the concurrent quantitative and qualitative detection of streptomycin (STR) in pig serum and urine samples, effectively improving the sensitivity of LFIA for STR detection. Fluorescence immunoassay involves labeling antibodies or antigens with fluorescent substances and measuring the fluorescence to determine the presence of antibiotics. Chen et al. [90] combined fiber-embedded optofluidic nanochips with evanescent wave dual-color fluorescence technology to prepare evanescent wave dual-color fluorescence optofluidic nanochips (EDFON). By using the EDFON technique, a heterogeneous immunoassay was combined with a homogeneous hybridization chain reaction based on the time-resolved effect, enabling the highly sensitive and specific parallel quantitative detection of sulfamethazine (SMR) and the antibiotic resistance gene MCR-1.
3.3. Instrumental Analysis Methods
Instrumental analysis methods are among the most widely used techniques for detecting antibiotics, mainly divided into chromatographic methods, spectroscopic methods, and mass spectrometric methods. The most frequently utilized chromatographic method is high-performance liquid chromatography (HPLC), which separates individual compounds from a mixture through the interactions occurring between two phases (the stationary phase and the mobile phase) [36]. Numerous studies have improved the detection efficiency of HPLC for trace antibiotics in wastewater by optimizing sample pretreatment methods and injection conditions. Rabeea et al. [91] optimized a method for the quantitative determination of multiple antibiotics in wastewater samples using HPLC. The mobile phase consists of 1% formic acid and acetonitrile in a ratio of 84:16. A sample volume of 20 μL is injected into the HPLC column, and the flow rate through the column is maintained at 1.00 mL/min. By comparing the peak area of the real sample with the peak area of a standard solution, the quantification of multiple antibiotics can be achieved. Mahmoud et al. [92] established an HPLC–diode array detector (HPLC-DAD) method and a rapid HPLC method based on a core–shell stationary phase, coupled with the simplified and sensitive SPE procedure that they developed, effectively improving the sensitivity of antibiotic compound detection. Figure 3 illustrates the process flow of commonly used instrumental detection methods for antibiotics.
Figure 3.
Workflow of common instrumental methods for antibiotic detection.
Spectroscopy primarily involves the analysis of the composition and concentration of compounds within a sample by quantifying the absorbance or emission of light at various wavelengths. Among the various spectroscopic techniques, ultraviolet–visible (UV–Vis) spectroscopy and surface-enhanced Raman spectroscopy (SERS) are widely employed for detecting antibiotics in wastewater. Notably, UV–Vis spectroscopy stands out as an efficient tool for the real-time monitoring of antibiotic levels in wastewater. Li et al. [93] used two submerged in situ UV–Vis sensors to explore the relationship between absorption spectra and antibiotics and studied the impact of optical path length on the limit of detection (LOD). They combined preprocessing algorithms, wavelength selection algorithms, and partial least squares (PLS) to measure the concentrations of components in a mixed water sample composed of ofloxacin, tetracycline, and chloramphenicol. The results demonstrated that this method effectively fulfills the monitoring requirements of specialized production wastewater facilities, including those in the medical and pharmaceutical industries. SERS is a technique that does not require labeling and is utilized for the analysis of trace chemicals. Currently, the research direction for detecting antibiotics using SERS mainly focuses on developing SERS substrates to enhance the detection of trace antibiotics. Pei et al. [94] developed a SERS substrate composed of a hybrid of gold nanoparticles/nanodiamantoids/carbon nitride (Au/ND/C3N4) with numerous functional groups and optical scattering phenomena, which can effectively capture target molecules and enhance Raman activity. It serves as a tool for the highly sensitive detection of antibiotic remnants in wastewater and has excellent self-cleaning capabilities, allowing for reuse.
Mass spectrometry (MS) is a method that separates ions based on their mass-to-charge ratio by utilizing electric and magnetic fields to achieve quantitative detection. It is generally not used alone but is often combined with chromatographic or spectroscopic methods [87]. David et al. [95] developed a direct injection analytical liquid chromatography–tandem mass spectrometry (LC-MS/MS) method for detecting trace antibiotics in wastewater, capable of quantifying 18 antibiotics in the influent and effluent of wastewater treatment plants at low ng/L levels. Bahar et al. [96] optimized parameters such as column temperature, eluent, mobile phase, and flow rate during the use of UPLC-MS/MS to detect 14 antibiotics in hospital and municipal wastewater, with detection limits varying between 0.07 and 2.72 μg/L. Félix et al. [97] explored the combined use of LC and GC with quadrupole time-of-flight mass spectrometry (QTOF MS) in their research, detecting 7 antibiotics in surface water and wastewater samples collected from Pasto, a town in the Andean highlands of Colombia (Nariño).
3.4. Sensor Detection Methods
The sensor-based detection of antibiotics is now one of the most researched and widely used emerging detection methods. Commonly used sensors include electrochemical sensors, optical sensors, and biosensors. Sensor detection methods offer high sensitivity, excellent selectivity, and good stability, but at the same time, some sensors may have relatively narrow application ranges and larger detection errors.
Electrochemical sensors are simple to prepare, cost-effective, and characterized by rapid analysis, high specificity, and good sensitivity for detecting target analytes, and they have been a popular choice for detecting antibiotics in wastewater [98]. The sensitivity of the sensors can be improved by optimizing the electrode materials. Gold nanomaterials [99], graphene, MOFs, MIPs [100], and others have received widespread attention. For instance, Adane et al. [101] integrated gold–silver alloy nanocoral clusters (Au-Ag-ANCCs) with a functionalized multi-walled carbon nanotubes–carbon paste electrode (f-MWCNT-CPE) and choline chloride (ChCl) nanocomposites for the simultaneous determination of rifampicin (RAMP) and norfloxacin (NFX) residues in water samples. Moreover, without resorting to intricate materials for modifying the electrode surface, the electrochemical performance of the sensor can also be optimized by selecting appropriate electrolyte solutions, setting the optimal pH, thoroughly polishing the electrode, and using methods such as differential pulse voltammetry and cyclic voltammetry in a three-electrode system [102].
Optical sensors also feature a high sensitivity, fast response times, and strong specificity, making them a popular research method currently [103]. In recent years, the field of optical sensors has seen significant advancements, with various recognition strategies being explored for detecting analytes. These include molecular imprinting, the utilization of nanomaterials with optical properties, and bio-interactions. The preparation and modification of certain special materials have emerged as key research areas, as these materials can offer an enhanced sensitivity, selectivity, and stability for optical sensors. Metal–Organic Frameworks (MOFs) are a promising type of fluorescent sensing material [104]. Lakshya et al. [105] used a dispersion of Mn-MOFs in an ethanol solution to directly detect tetracycline through fluorescence quenching. The sensor’s significant detection limit was 66.39 nM, with a linear detection range for tetracycline from 0.0032 to 0.43 μm, and the Mn-MOF showed a remarkable selectivity for tetracycline, even in the presence of other antibiotics. A Zn-MOF [106], Cd-MOF [107], Zr-MOF [108], and others have also been widely used as fluorescent sensing materials for detecting various antibiotics in water.
Biosensors offer rapid and efficient detection without the need for complex pretreatment. Their molecular recognition components primarily consist of antibodies, microorganisms, aptamers, and enzymes [109], which are used for specific binding with the target analyte. Combining biosensors with other technologies can effectively enhance the accuracy of antibiotic detection in water. Janice et al. [110] developed a biosensor for detecting levofloxacin (LFX) using a combination of RNA Capture-SELEX and displacement chain detection. Wang et al. [111] created a group-targeted immunosensor utilizing evanescent wave fluorescence biosensor technology. By modifying the surface of a conical fiber optic with coated antigen (QN-BSA) as the sensing element, using fluorescently labeled QNs-specific antibodies as the recognition material, and utilizing a straightforward indirect competitive immunoassay approach, they achieved the highly sensitive recognition and quantification of QNs, meeting the needs for on-site detection.
In addition to the aforementioned methods, capillary electrophoresis (CE) [112] and diode array (DA) [34] are also used for the detection of antibiotics in water. Table 2 provides a brief summary of the typical detection methods for antibiotics in wastewater introduced in this article, based on the literature.
Table 2.
Summary of antibiotic detection by different methods (for analytical convenience, the units are unified to μg/L).
Combining Table 2 and the preceding analysis, it is evident that there are various methods for detecting antibiotics in wastewater, each with its own advantages and disadvantages. Immunoassays have relatively low detection limits but are more complex to operate, and the accuracy of the detection results can be readily compromised by external factors, potentially introducing errors in the analysis. Specific antibodies paired with new materials can further improve the sensitivity of immunoassays. The detection limits of different instrumental methods vary significantly, but they generally reach the μg/L level and can usually measure multiple antibiotics in one go. Many recent studies have integrated multiple instrumental detections methods to achieve sensitive and accurate results. The detection limits of sensor detection methods are highly related to their selectivity, and their repeatability and stability are relatively poor. Developing materials that can provide stable signals is a research focus, but reducing the cost of commercialization is an urgent task that goes hand in hand with it. In addition, the resistance of these detection technologies to complex components in wastewater, as well as the speed and convenience of on-site detection, still need further research and improvement.
4. Treatment Technologies for Antibiotics in Urban Wastewater
4.1. Physical Methods
Physical methods mainly include membrane separation technology and adsorption. The membrane separation process is a commonly used method for advanced wastewater treatment, characterized by a small footprint and good separation performance [37]. As membrane technology continues to advance rapidly, membrane separation processes have garnered increasing interest for the treatment of antibiotic-laden wastewater. Many experiments have studied processes such as reverse osmosis (RO), nanofiltration (NF), and ultrafiltration (UF) for removing tetracycline antibiotics from wastewater [38], with some RO/NF membranes achieving a rejection rate of up to 98.5% for the target antibiotics [114]. However, traditional membrane separation processes suffer from significant membrane fouling and poor selectivity issues. Cui et al. [115] designed an anti-fouling zwitterion PVDF-imprinted composite membrane (SPICM) for emulsion separation and selective tetracycline hydrochloride (TC) in wastewater. The results showed that, thanks to the synergistic effect between hydrophilicity/underwater superoleophobicity and active imprinted sites, the membrane’s selective TC separation efficiency reached as high as 88.3%, even from oil-containing wastewater, effectively improving the shortcomings of traditional membrane separation processes.
Adsorption is another common physical technique used for the removal of antibiotics from water [116]. In conventional wastewater treatment plants, activated sludge serves as an important adsorbent. The adsorption process is a highly intricate one, being influenced by a multitude of factors including the physicochemical properties of both the activated sludge and the antibiotics, alongside the operational parameters of the biological treatment system [39,40]. Specifically, the ionization characteristics and hydrophilicity of the antibiotics themselves [117], the temperature, pH value, mixed liquor suspended solids (MLSS) concentration [118], and redox conditions [119] of the activated sludge system, among other factors, can all affect the adsorption behavior of antibiotics. In addition to activated sludge, materials with a higher specific surface area, porosity, and reactivity, such as clay minerals, carbon materials, metal composite materials, and nanomaterials, have become promising adsorbents for antibiotics in wastewater [120]. The main adsorption mechanisms involve site recognition, bridge enhancement, and site competition [121]. Zhao et al. [122] studied the adsorption and removal of antibiotics from swine wastewater using alkaline-modified biochar (KRBC). The well-fitted pseudo-second-order kinetics model and Freundlich isotherm model indicate that antibiotic adsorption is likely to be chemical adsorption and heterogeneous, with the –OH group playing a crucial role in the adsorption of antibiotics. Furthermore, the antibiotic removal effect was evaluated in a multi-pollutant system, and the results showed that the addition of Cu2+ and Zn2+ was beneficial for the removal of antibiotics.
Physical methods are widely applied in wastewater treatment, particularly membrane separation technology and adsorption techniques. In light of the strengths and weaknesses of membrane separation technology, future research should focus on developing membrane materials with higher anti-fouling properties, and enhancing selectivity can boost treatment efficiency while simultaneously reducing operational costs. For instance, the development of anti-fouling composite membranes has shown promising results in recent years, yet their long-term stability and cost-effectiveness in practical applications still need further validation. The performance of adsorption techniques is influenced by the physicochemical characteristics of the adsorbents and the composition of the wastewater. With the advancement in nanomaterials and novel composite materials, the efficiency of adsorption has significantly improved. Future efforts should further optimize the regeneration capabilities of adsorbents and their selective adsorption performance towards a variety of pollutants.
4.2. Chemical Methods
Chemical methods mainly include various advanced oxidation processes (AOPs), such as Fenton oxidation, ozonation, electrochemical oxidation (EO), photocatalytic oxidation, etc., all of which can be used for the degradation of different antibiotics in wastewater. Among them, the application effects of the first two methods are relatively poor. This is mainly because Fenton oxidation is limited by a narrow pH range, while ozonation is limited by the mass transfer process of ozone from the gas phase to the liquid phase [41].
Electrochemical oxidation (EO) is a process where organic matter is oxidized, transformed, or decomposed into non-toxic and harmless substances through the application of an electric current [123]. It has the advantages of being reagent-free, having a high efficiency in degrading pollutants, strong controllability, and minimal secondary pollution [124]. Electrochemical oxidation is divided into two modes: direct oxidation and indirect oxidation. Of the two, direct oxidation refers to the decomposition of antibiotics by directly interacting with the anode. Indirect oxidation refers to the reaction of strongly oxidative substances generated on the anode surface with antibiotics in the water under the influence of electric current, leading to their degradation [125]. A wealth of research indicates that traditional electrochemical systems are not very efficient in treating antibiotics and consume a significant amount of energy. To avoid anode loss during electrolysis and improve oxidation efficiency, an increasing number of new electrode materials have been developed, including boron-doped diamond (BDD) [126], carbon felt [127], Ti/IrO2 [128], PbO2 [129], and so on. These materials have a high oxygen evolution potential and can generate more hydroxyl radicals [130]. Current density, solution pH value, electrolyte concentration, and organic matter also affect the efficiency of redox reactions [126,131].
For wastewater treatment, photocatalytic oxidation stands as a green, eco-friendly, and cost-effective approach that refers to the photocatalytic reaction and redox process that occurs on the surface of a photocatalyst (such as H2O2, O2) and target pollutants under light irradiation. The photocatalyst itself is crucial in this process [125]. A variety of new materials have been used as photocatalysts for the degradation of antibiotics, such as ZnO [132], TiO2 [133], MgTiO3 [134], and g-C3N4 [135]. The type and composition of the photocatalyst, initial substrate concentration, catalyst dosage, pH value of the reaction medium, ionic components in water, solvent type, and oxidants/electron acceptors all affect the photocatalytic degradation process of antibiotics [136]. Dimitrakopoulou et al. [137] used a UV-A/TiO2 photocatalyst to degrade amoxicillin and found that there was no significant change in the degradation of amoxicillin at pH values of 5.0 and 7.5, but when the pH value increased from 5 to 7.5, the mineralization degree of amoxicillin decreased from 95% to 75%. Ahmadi et al. [138] studied the effect of the dose of MWCNT/TiO2 photocatalyst on the degradation of tetracycline (TC) and found that when the catalyst dosage increased from 0.1 g/L to 0.2 g/L, the removal rate of tetracycline increased, but further increasing it to 0.4 g/L did not further improve the degradation efficiency of tetracycline.
These chemical methods have demonstrated good results in the degradation of antibiotics, but issues such as a high energy consumption and costs and complex operating conditions have limited their large-scale application. To address these challenges, future research directions should focus on developing low-energy, efficient catalyst materials, while optimizing reaction conditions to adapt to large-scale wastewater treatment. The capability of electrochemical oxidation in the degradation of antibiotics is particularly worth noting, especially the development of new electrode materials, which is expected to significantly enhance treatment efficiency and decrease energy usage. In addition, combining multiple oxidation technologies to enhance the degradation effect on different antibiotics is also a key focus for future research.
4.3. Biological Methods
For a long time, biological processes have been considered to be economical and environmentally friendly methods for removing antibiotics from wastewater, as they can degrade various antibiotics in situ under relatively mild conditions [139]. Biological methods mainly include conventional activated sludge (CAS) processes, membrane bioreactors (MBRs), and anaerobic reactor systems, among others.
CAS is the most prevalent method employed for biological wastewater treatment processes. Adsorption and biodegradation are the main pathways for the removal of antibiotics by activated sludge, but the treatment effect is not very satisfactory. In full-scale CAS, the removal rates of different antibiotics from the aqueous phase vary from −1% to 71% [140]. Microorganisms play an essential role in the biodegradation of antibiotics in the activated sludge process. Studies have shown that nitrifying bacteria are of great significance for the biodegradation of antibiotics, and the specific degradation process may mainly occur during the co-metabolic and endogenous respiration stages after nitrification [141]. Nguyen et al. [142] isolated a pure culture of denitrifying Chromobacterium sp. strain PR1 for the degradation of Sulfamethoxazole (SMX). The characteristics of antibiotics also affect their degradability. Antibiotics with a higher polarity and lower electronegativity of functional groups, and better hydrophilicity, tend to have higher bioavailability and are more easily degraded [143].
MBRs integrate the process of biodegradation utilizing activated sludge with immediate solid–liquid segregation via membrane filtration, offering a high removal efficiency for organic compounds and producing less sludge waste. Utilizing microfiltration or ultrafiltration membrane technology (with pore sizes ranging from 0.05 to 0.4 μm) in MBR systems can completely physically retain bacterial flocs and almost all suspended solids within the reactor [144]. The concentration of microorganisms in MBRs can reach up to 20 mg/L [145], and a high concentration of mixed liquor suspended solids (MLSSs) aids in the elimination of antibiotics [146]. Hamjinda et al. [147] studied the treatment effect of a two-stage membrane bioreactor (2S-MBR) on 10 types of antibiotics in the laboratory. The results indicated that the degree of antibiotic elimination depends on the type of antibiotic and the hydraulic retention time (HRT). Shi et al. [148] used a hollow-fiber MBR to treat wastewater containing low concentrations of sulfamethazine (SMZ). Over a 244-day operation, the overall removal efficiency of SMZ could reach 95.4 ± 4.5% under various SMZ concentrations and hydraulic retention times. It was also observed that the quantity of extracellular polymeric substances (EPSs) in the MBR diminished following prolonged operation under SMZ stress.
Anaerobic reactor systems are known for their low energy consumption, low sludge production, low maintenance costs, and the ability to produce methane as a byproduct [149]. They are typically used for treating high-concentration organic wastewater that is difficult to degrade, such as wastewater from antibiotic pharmaceutical plants and breeding wastewater containing substantial quantities of antibiotics, and are less commonly applied in the treatment of antibiotics in municipal wastewater.
Furthermore, enhancing the antibiotic removal capabilities of specific microbial species, such as photosynthetic bacteria, is also one of the hot topics. For instance, modulating the metabolic pathways of purple anoxygenic phototrophs can boost their uptake of photosynthetic electrons, and the optimized biofilm formed by Rhodopseudomonas palustris (R. palustris) achieves superior antibiotic degradation efficiency [150]. If these bacteria can be effectively combined with biofilm treatment technologies such as biofiltration, they will play a significant role in antibiotic removal.
It is also important to note that biological treatment processes may be affected by antibiotic-resistant bacteria [120]. For instance, the aged sludge in MBR systems is thought to harbor microorganisms with multiple drug resistances, posing potential ecological and health risks [151]. Furthermore, numerous mathematical models have been formulated to forecast the behavior and removal efficiency of antibiotics during biological wastewater treatment processes, such as the Activated Sludge Model for Xenobiotics (ASM-X). Polesel et al. [152] used the ASM-X framework to determine the impact of different factors on antibiotic removal during wastewater treatment, including solids retention time (SRT) as well as influent and effluent load dynamics.
Biological methods are relatively environmentally friendly and economical, and they have a high degradation efficiency for organic matter, but the removal effect of antibiotics still has uncertainties. The emergence of some antibiotic-resistant bacteria may even affect the overall treatment effect. Therefore, future research should focus on improving the removal capacity of antibiotics and their resistance genes in the biological treatment process. Membrane bioreactors combine the technology of biodegradation with membrane filtration, showing high pollutant removal efficiency, but the problem of membrane fouling is still severe. Therefore, the development of anti-fouling membrane materials and the optimization of reactor operation parameters are key directions for future development. Moreover, investigating the dynamic shifts in microbial communities throughout the antibiotic degradation process can aid in enhancing the overall stability and efficacy of the treatment system.
A summary of antibiotic treatment methods for urban wastewater indicates that, compared to physical and chemical methods, biological methods may offer better treatment efficacy and removal rates, particularly for wastewater containing low concentrations of antibiotics, while also generating less secondary pollution. However, they often require a more precise control of reaction conditions and have longer treatment cycles. Chemical methods may entail higher reagent costs than physical methods and pose a greater risk of potential secondary pollution. Combining physical, chemical, and biological approaches for antibiotic treatment leverages the strengths of each method, achieving efficient, economical, and environmentally friendly wastewater treatment. For instance, physical pretreatment methods can be effectively combined with advanced oxidation processes and biological filtration techniques. Physical pretreatment enhances the stability of subsequent treatments, advanced oxidation technologies can break down the molecular structure of antibiotics to facilitate biodegradation, and biological filtration technologies such as Biological Aerated Filters (BAFs) are high-rate aerobic biological systems [153,154].
Overall, the treatment of antibiotics in urban wastewater requires comprehensive consideration of treatment efficacy, cost, and environmental impact. Future research should focus on developing efficient, low-cost, and environmentally friendly treatment technologies, as well as optimizing the operational parameters of existing technologies to address the challenges posed by antibiotic pollution.
5. Conclusions
This article delves into the occurrence of antibiotics in municipal wastewater treatment systems, the ecological and human health risks they pose, detection technologies, and removal methods, exploring the current status and challenges. By analyzing the concentration ranges of major antibiotic categories in the influent and effluent of wastewater treatment plants, it is concluded that most countries currently lack effective regulatory measures for antibiotic pollution. Antibiotics enter the environment through wastewater treatment plants, posing potential threats to aquatic ecosystems (including microorganisms, aquatic plants, and animals) and human health. Furthermore, this article provides a comprehensive overview of techniques for detecting antibiotics in wastewater, from traditional enrichment techniques and immunoassays to advanced instrumental analysis methods and sensor detection methods. Reducing the release of antibiotics from wastewater treatment plants into the environment through advanced wastewater treatment technologies is a key aspect of mitigating the water pollution caused by antibiotics. This article introduces various techniques from three perspectives, physical, chemical, and biological, and provides a brief comparison of these three types of technologies. The detection and treatment methods discussed each have their own merits and demerits, and the specific choice should be made based on the actual situation, either by selecting a single technology or through a combined application.
In the future, strict control of antibiotic consumption at the source remains most critical, such as restricting the use of certain types of antibiotics in animal husbandry, strengthening the control of the prescription and sale of antibiotic drugs, and raising awareness of the threat of antibiotic resistance. At the same time, the monitoring and treatment of antibiotics in wastewater should further focus on the study of real wastewater components to enhance its practical application efficiency. Improving the practical application efficiency of sewage treatment technology and optimizing treatment processes to reduce the impact of antibiotics on the aquatic environment is an important direction for future research. In addition, the removal of ARGs and the assessment of the long-term impact of antibiotics on aquatic ecosystems should also become a focus of future research. It is hoped that through raising awareness, strengthening monitoring, and effective treatment, the regulation of antibiotic pollutants in urban wastewater will be strengthened, leading to the implementation of relevant standards and legislation.
Author Contributions
Conceptualization, L.Z. and X.L.; methodology, L.Z. and X.L.; software, L.Z.; formal analysis, L.Z.; investigation, L.Z.; resources, X.L., F.C. and J.X.; writing—original draft preparation, L.Z. and X.L.; writing—review and editing, L.Z., X.L. and Z.D.; visualization, L.Z.; supervision, X.L., Z.D., F.C. and J.X. All authors have read and agreed to the published version of the manuscript.
Funding
This research received no external funding.
Data Availability Statement
Data is contained within the article.
Conflicts of Interest
The authors declare no conflicts of interest.
References
- Yang, Y.; Song, W.; Lin, H.; Wang, W.; Du, L.; Xing, W. Antibiotics and antibiotic resistance genes in global lakes: A review and meta-analysis. Environ. Int. 2018, 116, 60–73. [Google Scholar] [CrossRef] [PubMed]
- Zhang, Q.; Ying, G.; Pan, C.; Liu, Y.; Zhao, J. Comprehensive evaluation of antibiotics emission and fate in the river basins of China: Source analysis, multimedia modeling, and linkage to bacterial resistance. Environ. Sci. Technol. 2015, 49, 6772–6782. [Google Scholar] [CrossRef]
- Khan, F.A.; Söderquist, B.; Jass, J. Prevalence and diversity of antibiotic resistance genes in Swedish aquatic environments impacted by household and hospital wastewater. Front. Microbiol. 2019, 10, 688. [Google Scholar] [CrossRef]
- Wang, Q.; Wang, P.; Yang, Q. Occurrence and diversity of antibiotic resistance in untreated hospital wastewater. Sci. Total Environ. 2018, 621, 990–999. [Google Scholar] [CrossRef]
- Vidovic, N.; Vidovic, S. Antimicrobial resistance and food animals: Influence of livestock environment on the emergence and dissemination of antimicrobial resistance. Antibiotics 2020, 9, 52. [Google Scholar] [CrossRef] [PubMed]
- Petrin, S.; Patuzzi, I.; Di Cesare, A.; Tiengo, A.; Sette, G.; Biancotto, G.; Corno, G.; Drigo, M.; Losasso, C.; Cibin, V. Evaluation and quantification of antimicrobial residues and antimicrobial resistance genes in two Italian swine farms. Environ. Pollut. 2019, 255, 113183. [Google Scholar] [CrossRef]
- Saravanane, R.; Sundararaman, S. Effect of loading rate and HRT on the removal of cephalosporin and their intermediates during the operation of a membrane bioreactor treating pharmaceutical wastewater. Environ. Technol. 2009, 30, 1017–1022. [Google Scholar] [CrossRef]
- Bielen, A.; Šimatović, A.; Kosić-Vukšić, J.; Senta, I.; Ahel, M.; Babić, S.; Jurina, T.; González Plaza, J.J.; Milaković, M.; Udiković-Kolić, N. Negative environmental impacts of antibiotic-contaminated effluents from pharmaceutical industries. Water Res. 2017, 126, 79–87. [Google Scholar] [CrossRef] [PubMed]
- Larsson, D.G.J.; de Pedro, C.; Paxeus, N. Effluent from drug manufactures contains extremely high levels of pharmaceuticals. J. Hazard. Mater. 2007, 148, 751–755. [Google Scholar] [CrossRef]
- Bilal, M.; Ashraf, S.S.; Barceló, D.; Iqbal, H.M.N. Biocatalytic degradation/redefining “removal” fate of pharmaceutically active compounds and antibiotics in the aquatic environment. Sci. Total Environ. 2019, 691, 1190–1211. [Google Scholar] [CrossRef]
- Peng, X.; Tang, C.; Yu, Y.; Tan, J.; Huang, Q.; Wu, J.; Chen, S.; Mai, B. Concentrations, transport, fate, and releases of polybrominated diphenyl ethers in sewage treatment plants in the Pearl River Delta, South China. Environ. Int. 2009, 35, 303–309. [Google Scholar] [CrossRef] [PubMed]
- Peng, X.; Yu, Y.; Tang, C.; Tan, J.; Huang, Q.; Wang, Z. Occurrence of steroid estrogens, endocrine-disrupting phenols, and acid pharmaceutical residues in urban riverine water of the Pearl River Delta, South China. Sci. Total Environ. 2008, 397, 158–166. [Google Scholar] [CrossRef] [PubMed]
- Valcárcel, Y.; González Alonso, S.; Rodríguez-Gil, J.L.; Gil, A.; Catalá, M. Detection of pharmaceutically active compounds in the rivers and tap water of the Madrid Region (Spain) and potential ecotoxicological risk. Chemosphere 2011, 84, 1336–1348. [Google Scholar] [CrossRef]
- López-Serna, R.; Jurado, A.; Vázquez-Suñé, E.; Carrera, J.; Petrović, M.; Barceló, D. Occurrence of 95 pharmaceuticals and transformation products in urban groundwaters underlying the metropolis of Barcelona, Spain. Environ. Pollut. 2013, 174, 305–315. [Google Scholar] [CrossRef]
- Mahmood, A.R.; Hassan, F.M.; Al-Haideri, H.H.; Khubchandani, J. Detection of antibiotics in drinking water treatment plants in Baghdad City, Iraq. Adv. Public. Health 2019, 2019, 7851354. [Google Scholar] [CrossRef]
- Zhao, H.; Zhou, J.L.; Zhang, J. Tidal impact on the dynamic behavior of dissolved pharmaceuticals in the Yangtze Estuary, China. Sci. Total Environ. 2015, 536, 946–954. [Google Scholar] [CrossRef]
- Zou, S.; Xu, W.; Zhang, R.; Tang, J.; Chen, Y.; Zhang, G. Occurrence and distribution of antibiotics in coastal water of the Bohai Bay, China: Impacts of river discharge and aquaculture activities. Environ. Pollut. 2011, 159, 2913–2920. [Google Scholar] [CrossRef]
- Polianciuc, S.I.; Gurzău, A.E.; Kiss, B.; Ștefan, M.G.; Loghin, F. Antibiotics in the environment: Causes and consequences. Med. Pharm. Rep. 2020, 93, 231–240. [Google Scholar] [CrossRef] [PubMed]
- Saidulu, D.; Gupta, B.; Gupta, A.K.; Ghosal, P.S. A review on occurrences, eco-toxic effects, and remediation of emerging contaminants from wastewater: Special emphasis on biological treatment based hybrid systems. J. Environ. Chem. Eng. 2021, 9, 105282. [Google Scholar] [CrossRef]
- Zhao, F.; Yu, Q.; Zhang, X. A Mini-Review of antibiotic resistance drivers in urban wastewater treatment plants: Environmental concentrations, mechanism and perspectives. Water 2023, 15, 3165. [Google Scholar] [CrossRef]
- Kostich, M.S.; Batt, A.L.; Lazorchak, J.M. Concentrations of prioritized pharmaceuticals in effluents from 50 large wastewater treatment plants in the US and implications for risk estimation. Environ. Pollut. 2014, 184, 354–359. [Google Scholar] [CrossRef] [PubMed]
- Luo, Y.; Guo, W.; Ngo, H.H.; Nghiem, L.D.; Hai, F.I.; Zhang, J.; Liang, S.; Wang, X.C. A review on the occurrence of micropollutants in the aquatic environment and their fate and removal during wastewater treatment. Sci. Total Environ. 2014, 473–474, 619–641. [Google Scholar] [CrossRef] [PubMed]
- Liu, Y.; Gao, B.; Yue, Q.; Guan, Y.; Wang, Y.; Huang, L. Influences of two antibiotic contaminants on the production, release and toxicity of microcystins. Ecotox Environ. Safe 2012, 77, 79–87. [Google Scholar] [CrossRef]
- Rathi, B.S.; Kumar, P.S.; Show, P. A review on effective removal of emerging contaminants from aquatic systems: Current trends and scope for further research. J. Hazard. Mater. 2021, 409, 124413. [Google Scholar] [CrossRef]
- Kulik, K.; Lenart-Boroń, A.; Wyrzykowska, K. Impact of antibiotic pollution on the bacterial population within surface water with special focus on mountain Rivers. Water 2023, 15, 975. [Google Scholar] [CrossRef]
- Wang, M.; Shen, W.; Yan, L.; Wang, X.; Xu, H. Stepwise impact of urban wastewater treatment on the bacterial community structure, antibiotic contents, and prevalence of antimicrobial resistance. Environ. Pollut. 2017, 231, 1578–1585. [Google Scholar] [CrossRef]
- Bengtsson-Palme, J.; Milakovic, M.; Švecová, H.; Ganjto, M.; Jonsson, V.; Grabic, R.; Udikovic-Kolic, N. Industrial wastewater treatment plant enriches antibiotic resistance genes and alters the structure of microbial communities. Water Res. 2019, 162, 437–445. [Google Scholar] [CrossRef]
- Harada, A.; Komori, K.; Nakada, N.; Kitamura, K.; Suzuki, Y. Biological effects of PPCPs on aquatic lives and evaluation of river waters affected by different wastewater treatment levels. Water Sci. Technol. 2008, 58, 1541–1546. [Google Scholar] [CrossRef] [PubMed]
- Wang, H.; Che, B.; Duan, A.; Mao, J.; Dahlgren, R.A.; Zhang, M.; Zhang, H.; Zeng, A.; Wang, X. Toxicity evaluation of β-diketone antibiotics on the development of embryo-larval zebrafish (Danio rerio). Environ. Toxicol. 2014, 29, 1134–1146. [Google Scholar] [CrossRef]
- Caldwell, D.J.; Mertens, B.; Kappler, K.; Senac, T.; Journel, R.; Wilson, P.; Meyerhoff, R.D.; Parke, N.J.; Mastrocco, F.; Mattson, B.; et al. risk-based approach to managing active pharmaceutical ingredients in manufacturing effluent. Environ. Toxicol. Chem. 2016, 35, 813–822. [Google Scholar] [CrossRef]
- Spurgeon, D.J.; Jones, O.A.H.; Dorne, J.C.M.; Svendsen, C.; Swain, S.; Stürzenbaum, S.R. Systems toxicology approaches for understanding the joint effects of environmental chemical mixtures. Sci. Total Environ. 2010, 408, 3725–3734. [Google Scholar] [CrossRef] [PubMed]
- Michael, I.; Rizzo, L.; McArdell, C.S.; Manaia, C.M.; Merlin, C.; Schwartz, T.; Dagot, C.; Fatta-Kassinos, D. Urban wastewater treatment plants as hotspots for the release of antibiotics in the environment: A review. Water Res. 2013, 47, 957–995. [Google Scholar] [CrossRef] [PubMed]
- Rizzo, L.; Manaia, C.; Merlin, C.; Schwartz, T.; Dagot, C.; Ploy, M.C.; Michael, I.; Fatta-Kassinos, D. Urban wastewater treatment plants as hotspots for antibiotic resistant bacteria and genes spread into the environment: A review. Sci. Total Environ. 2013, 447, 345–360. [Google Scholar] [CrossRef] [PubMed]
- Luo, Y.; Sun, Y.; Wei, X.; He, Y.; Wang, H.; Cui, Z.; Ma, J.; Liu, X.; Shu, R.; Lin, H.; et al. Detection methods for antibiotics in wastewater: A review. Bioproc. Biosyst. Eng. 2024, 47, 1433–1451. [Google Scholar] [CrossRef] [PubMed]
- Prakashan, D.; Kolhe, P.; Gandhi, S. Design and fabrication of a competitive lateral flow assay using gold nanoparticle as capture probe for the rapid and on-site detection of penicillin antibiotic in food samples. Food Chem. 2024, 439, 138120. [Google Scholar] [CrossRef]
- Kumar Mehata, A.; Lakshmi Suseela, M.N.; Gokul, P.; Kumar Malik, A.; Kasi Viswanadh, M.; Singh, C.; Selvin, J.; Muthu, M.S. Fast and highly efficient liquid chromatographic methods for qualification and quantification of antibiotic residues from environmental waste. Microchem. J. 2022, 179, 107573. [Google Scholar] [CrossRef]
- Manjunath, S.V.; Kumar, M. Simultaneous removal of antibiotic and nutrients via Prosopis juliflora activated carbon column: Performance evaluation, effect of operational parameters and breakthrough modeling. Chemosphere 2021, 262, 127820. [Google Scholar] [CrossRef]
- Pan, S.; Zhu, M.; Chen, J.P.; Yuan, Z.; Zhong, L.; Zheng, Y. Separation of tetracycline from wastewater using forward osmosis process with thin film composite membrane—Implications for antibiotics recovery. Sep. Purif. Technol. 2015, 153, 76–83. [Google Scholar] [CrossRef]
- Kim, S.; Eichhorn, P.; Jensen, J.N.; Weber, A.S.; Aga, D.S. Removal of antibiotics in wastewater: Effect of hydraulic and solid retention times on the fate of tetracycline in the activated sludge process. Environ. Sci. Technol. 2005, 39, 5816–5823. [Google Scholar] [CrossRef]
- Hyland, K.C.; Dickenson, E.R.; Drewes, J.E.; Higgins, C.P. Sorption of ionized and neutral emerging trace organic compounds onto activated sludge from different wastewater treatment configurations. Water Res. 2012, 46, 1958–1968. [Google Scholar] [CrossRef]
- Oberoi, A.S.; Jia, Y.; Zhang, H.; Khanal, S.K.; Lu, H. Insights into the fate and removal of antibiotics in engineered biological treatment systems: A critical review. Environ. Sci. Technol. 2019, 53, 7234–7264. [Google Scholar] [CrossRef] [PubMed]
- Klein, E.Y.; Van Boeckel, T.P.; Martinez, E.M.; Pant, S.; Gandra, S.; Levin, S.A.; Goossens, H.; Laxminarayan, R. Global increase and geographic convergence in antibiotic consumption between 2000 and 2015. Pro. Natl. Acad. Sci. USA 2018, 115, E3463–E3470. [Google Scholar] [CrossRef]
- ECDC. Antimicrobial consumption and resistance in bacteria from humans and food-producing animals. EFSA J. 2024, 22, e8589. [Google Scholar]
- Zeng, Y.; Chang, F.; Liu, Q.; Duan, L.; Li, D.; Zhang, H. Recent advances and perspectives on the sources and detection of antibiotics in aquatic environments. J. Anal. Methods Chem. 2022, 2022, 5091181. [Google Scholar] [CrossRef] [PubMed]
- Hao, H.; Shi, D.; Yang, D.; Yang, Z.; Qiu, Z.; Liu, W.; Shen, Z.; Yin, J.; Wang, H.; Li, J.; et al. Profiling of intracellular and extracellular antibiotic resistance genes in tap water. J. Hazard. Mater. 2019, 365, 340–345. [Google Scholar] [CrossRef] [PubMed]
- Chow, L.K.M.; Ghaly, T.M.; Gillings, M.R. A survey of sub-inhibitory concentrations of antibiotics in the environment. J. Environ. Sci. 2021, 99, 21–27. [Google Scholar] [CrossRef] [PubMed]
- Zarei-Baygi, A.; Smith, A.L. Intracellular versus extracellular antibiotic resistance genes in the environment: Prevalence, horizontal transfer, and mitigation strategies. Bioresour. Technol. 2021, 319, 124181. [Google Scholar] [CrossRef]
- Huijbers, P.M.C.; Blaak, H.; de Jong, M.C.M.; Graat, E.A.M.; Vandenbroucke-Grauls, C.M.J.E.; de Roda Husman, A.M. Role of the environment in the transmission of antimicrobial resistance to humans: A Review. Environ. Sci. Technol. 2015, 49, 11993–12004. [Google Scholar] [CrossRef]
- Arora-Williams, K.; Olesen, S.W.; Scandella, B.P.; Delwiche, K.; Spencer, S.J.; Myers, E.M.; Abraham, S.; Sooklal, A.; Preheim, S.P. Dynamics of microbial populations mediating biogeochemical cycling in a freshwater lake. Microbiome 2018, 6, 165. [Google Scholar] [CrossRef]
- Ding, C.; He, J. Effect of antibiotics in the environment on microbial populations. Appl. Microbiol. Biotechnol. 2010, 87, 925–941. [Google Scholar] [CrossRef]
- Aminov, R.I. The role of antibiotics and antibiotic resistance in nature. Environ. Microbiol. 2009, 11, 2970–2988. [Google Scholar] [CrossRef] [PubMed]
- Qin, T.T.; Kang, H.Q.; Ma, P.; Li, P.P.; Huang, L.Y.; Gu, B. SOS response and its regulation on the fluoroquinolone resistance. Ann. Transl. Med. 2015, 3, 358. [Google Scholar] [CrossRef] [PubMed]
- Knapp, C.W.; Engemann, C.A.; Hanson, M.L.; Keen, P.L.; Hall, K.J.; Graham, D.W. Indirect evidence of transposon-mediated selection of antibiotic resistance genes in aquatic systems at low-level oxytetracycline exposures. Environ. Sci. Technol. 2008, 42, 5348–5353. [Google Scholar] [CrossRef]
- Cairns, J.; Ruokolainen, L.; Hultman, J.; Tamminen, M.; Virta, M.; Hiltunen, T. Ecology determines how low antibiotic concentration impacts community composition and horizontal transfer of resistance genes. Commun. Biol. 2018, 1, 35. [Google Scholar] [CrossRef] [PubMed]
- Zhou, Z.; Zhang, Z.; Feng, L.; Zhang, J.; Li, Y.; Lu, T.; Qian, H. Adverse effects of levofloxacin and oxytetracycline on aquatic microbial communities. Sci. Total Environ. 2020, 734, 139499. [Google Scholar] [CrossRef] [PubMed]
- Klaver, A.L.; Matthews, R.A. Effects of oxytetracycline on nitrification in a model aquatic system. Aquaculture 1994, 123, 237–247. [Google Scholar] [CrossRef]
- Magdaleno, A.; Saenz, M.E.; Juarez, A.B.; Moretton, J. Effects of six antibiotics and their binary mixtures on growth of Pseudokirchneriella subcapitata. Ecotox Environ. Safe 2015, 113, 72–78. [Google Scholar] [CrossRef]
- Välitalo, P.; Kruglova, A.; Mikola, A.; Vahala, R. Toxicological impacts of antibiotics on aquatic micro-organisms: A mini-review. Int. J. Hyg. Environ. Health 2017, 220, 558–569. [Google Scholar] [CrossRef]
- Fountoulakis, M.S.; Stamatelatou, K.; Lyberatos, G. The effect of pharmaceuticals on the kinetics of methanogenesis and acetogenesis. Bioresour. Technol. 2008, 99, 7083–7090. [Google Scholar] [CrossRef]
- Halling-Sorensen, B. Algal toxicity of antibacterial agents used in intensive farming. Chemosphere 2000, 40, 731–739. [Google Scholar] [CrossRef]
- Pomati, F.; Netting, A.G.; Calamari, D.; Neilan, B.A. Effects of erythromycin, tetracycline and ibuprofen on the growth of Synechocystis sp. and Lemna minor. Aquat. Toxicol. 2004, 67, 387–396. [Google Scholar] [CrossRef] [PubMed]
- Ebert, I.; Bachmann, J.; Kuhnen, U.; Kuster, A.; Kussatz, C.; Maletzki, D.; Schluter, C. Toxicity of the fluoroquinolone antibiotics enrofloxacin and ciprofloxacin to photoautotrophic aquatic organisms. Environ. Toxicol. Chem. 2011, 30, 2786–2792. [Google Scholar] [CrossRef] [PubMed]
- Bagge, N.; Schuster, M.; Hentzer, M.; Ciofu, O.; Givskov, M.; Greenberg, E.P.; Høiby, N. Pseudomonas aeruginosa biofilms exposed to imipenem exhibit changes in global gene expression and β-Lactamase and alginate production. Antimicrob. Agents Chemother. 2004, 48, 1175–1187. [Google Scholar] [CrossRef] [PubMed]
- Hoffman, L.R.; D’Argenio, D.A.; MacCoss, M.J.; Zhang, Z.; Jones, R.A.; Miller, S.I. Aminoglycoside antibiotics induce bacterial biofilm formation. Nature 2005, 436, 1171–1175. [Google Scholar] [CrossRef] [PubMed]
- Linares, J.F.; Gustafsson, I.; Baquero, F.; Martinez, J.L. Antibiotics as intermicrobial signaling agents instead of weapons. Proc. Natl. Acad. Sci. USA 2006, 103, 19484–19489. [Google Scholar] [CrossRef]
- Sanderson, H.; Brain, R.A.; Johnson, D.J.; Wilson, C.J.; Solomon, K.R. Toxicity classification and evaluation of four pharmaceuticals classes: Antibiotics, antineoplastics, cardiovascular, and sex hormones. Toxicology 2004, 203, 27–40. [Google Scholar] [CrossRef]
- Gros, M.; Petrović, M.; Ginebreda, A.; Barceló, D. Removal of pharmaceuticals during wastewater treatment and environmental risk assessment using hazard indexes. Environ. Int. 2010, 36, 15–26. [Google Scholar] [CrossRef]
- Baumann, M.; Weiss, K.; Maletzki, D.; Schüssler, W.; Schudoma, D.; Kopf, W.; Kühnen, U. Aquatic toxicity of the macrolide antibiotic clarithromycin and its metabolites. Chemosphere 2015, 120, 192–198. [Google Scholar] [CrossRef]
- Yin, X.; Wang, H.; Zhang, Y.; Dahlgren, R.A.; Zhang, H.; Shi, M.; Gao, M.; Wang, X. Toxicological assessment of trace beta-diketone antibiotic mixtures on zebrafish (Danio rerio) by proteomic analysis. PLoS ONE 2014, 9, e102731. [Google Scholar] [CrossRef]
- Iftikhar, N.; Konig, I.; English, C.; Ivantsova, E.; Souders, C.L.; Hashmi, I.; Martyniuk, C.J. Sulfamethoxazole (SMX) Alters Immune and Apoptotic Endpoints in Developing Zebrafish (Danio rerio). Toxics 2023, 11, 178. [Google Scholar] [CrossRef]
- Wei, H.; Hashmi, M.Z.; Wang, Z. The interactions between aquatic plants and antibiotics: Progress and prospects. Environ. Pollut. 2024, 341, 123004. [Google Scholar] [CrossRef] [PubMed]
- Pan, M.; Chu, L.M. Fate of antibiotics in soil and their uptake by edible crops. Sci. Total Environ. 2017, 599–600, 500–512. [Google Scholar] [CrossRef] [PubMed]
- Jernberg, C.; Lofmark, S.; Edlund, C.; Jansson, J.K. Long-term ecological impacts of antibiotic administration on the human intestinal microbiota. ISME J. 2007, 1, 56–66. [Google Scholar] [CrossRef]
- Ben, Y.; Fu, C.; Hu, M.; Liu, L.; Wong, M.H.; Zheng, C. Human health risk assessment of antibiotic resistance associated with antibiotic residues in the environment: A review. Environ. Res. 2019, 169, 483–493. [Google Scholar] [CrossRef] [PubMed]
- Bilal, M.; Mehmood, S.; Rasheed, T.; Iqbal, H.M.N. Antibiotics traces in the aquatic environment: Persistence and adverse environmental impact. Curr. Opin. Environ. Sci. Health 2020, 13, 68–74. [Google Scholar] [CrossRef]
- Blaser, M.J. Antibiotic use and its consequences for the normal microbiome. Science 2016, 352, 544–545. [Google Scholar] [CrossRef]
- EFSA. Monitoring Antimicrobial Resistance; EFSA: Parma, Italy, 2024.
- Suseela, M.; Viswanadh, M.K.; Mehata, A.K.; Priya, V.; Vikas; Setia, A.; Malik, A.K.; Gokul, P.; Selvin, J.; Muthu, M.S. Advances in solid-phase extraction techniques: Role of nanosorbents for the enrichment of antibiotics for analytical quantification. J. Chromatogr. A 2023, 1695, 463937. [Google Scholar] [CrossRef]
- Nguyen, T.T.; Huynh, T.T.T.; Nguyen, N.H.; Nguyen, T.H.; Tran, P.H. Recent advances in the application of ionic liquid-modified silica gel in solid-phase extraction. J. Mol. Liq. 2022, 368, 120623. [Google Scholar] [CrossRef]
- Dias, F.D.S.; Meira, L.A.; Carneiro, C.N.; Dos Santos, L.F.M.; Guimarães, L.B.; Coelho, N.M.M.; Coelho, L.M.; Alves, V.N. Lignocellulosic materials as adsorbents in solid phase extraction for trace elements preconcentration. TrAC Trends Anal. Chem. 2023, 158, 116891. [Google Scholar] [CrossRef]
- Liu, J.; Wang, J.; Guo, Y.; Yang, X.; Wu, Q.; Wang, Z. Effective solid-phase extraction of chlorophenols with covalent organic framework material as adsorbent. J. Chromatogr. A 2022, 1673, 463077. [Google Scholar] [CrossRef] [PubMed]
- Xu, M.; Li, J.; Chang, Q.; Zang, X.; Zhang, S.; Wang, C.; Wang, Z. Molecularly imprinted conjugated microporous polymer composite as solid phase extraction adsorbent for the extraction of phenolic endocrine disrupting chemicals in beverages. Microchem. J. 2023, 191, 108752. [Google Scholar] [CrossRef]
- Kardani, F.; Mirzajani, R. Electrospun polyacrylonitrile /MIL-53(Al) MOF@ SBA-15/ 4, 4′-bipyridine nanofibers for headspace solid-phase microextraction of benzene homologues in environmental water samples with GC-FID detection. Microchem. J. 2022, 180, 107591. [Google Scholar] [CrossRef]
- Gong, X.; Xu, L.; Kou, X.; Zheng, J.; Kuang, Y.; Zhou, S.; Huang, S.; Zheng, Y.; Ke, W.; Chen, G.; et al. Amino-functionalized metal–organic frameworks for efficient solid-phase microextraction of perfluoroalkyl acids in environmental water. Microchem. J. 2022, 179, 107661. [Google Scholar] [CrossRef]
- Fu, Q.; Xia, Z.; Sun, X.; Jiang, H.; Wang, L.; Ai, S.; Zhao, R. Recent advance and applications of covalent organic frameworks based on magnetic solid-phase extraction technology for food safety analysis. TrAC Trends Anal. Chem. 2023, 162, 117054. [Google Scholar] [CrossRef]
- Sereshti, H.; Karami, F.; Nouri, N. A green dispersive liquid-liquid microextraction based on deep eutectic solvents doped with β-cyclodextrin: Application for determination of tetracyclines in water samples. Microchem. J. 2021, 163, 105914. [Google Scholar] [CrossRef]
- Hoffmann, H.; Baldofski, S.; Hoffmann, K.; Flemig, S.; Silva, C.P.; Esteves, V.I.; Emmerling, F.; Panne, U.; Schneider, R.J. Structural considerations on the selectivity of an immunoassay for sulfamethoxazole. Talanta 2016, 158, 198–207. [Google Scholar] [CrossRef]
- Mei, Q.; Ma, B.; Li, J.; Deng, X.; Shuai, J.; Zhou, Y.; Zhang, M. Simultaneous detection of three nitrofuran antibiotics by the lateral flow immunoassay based on europium nanoparticles in aquatic products. Food Chem. 2024, 439, 138171. [Google Scholar] [CrossRef]
- Alhammadi, M.; Aliya, S.; Umapathi, R.; Oh, M.; Huh, Y.S. A simultaneous qualitative and quantitative lateral flow immunoassay for on-site and rapid detection of streptomycin in pig blood serum and urine. Microchem. J. 2023, 195, 109427. [Google Scholar] [CrossRef]
- Chen, D.; Xu, W.; Lu, Y.; Zhuo, Y.; Ji, T.; Long, F. Rapid and sensitive parallel on-site detection of antibiotics and resistance genes in aquatic environments using evanescent wave dual-color fluorescence fiber-embedded optofluidic nanochip. Biosens. Bioelectron. 2024, 257, 116281. [Google Scholar] [CrossRef] [PubMed]
- Zafar, R.; Bashir, S.; Nabi, D.; Arshad, M. Occurrence and quantification of prevalent antibiotics in wastewater samples from Rawalpindi and Islamabad, Pakistan. Sci. Total Environ. 2021, 764, 142596. [Google Scholar] [CrossRef]
- Mahmoud, R.A.; Hadad, G.M.; Abdel Salam, R.A.; Mokhtar, H.I. Optimization of a solid-phase extraction coupled with a high-performance liquid chromatography and diode array ultraviolet detection method for monitoring of different antibiotic class residues in water samples. J. AOAC Int. 2024, 107, 52–60. [Google Scholar] [CrossRef] [PubMed]
- Li, F.; Wang, X.; Yang, M.; Zhu, M.; Chen, W.; Li, Q.; Sun, D.; Bi, X.; Maletskyi, Z.; Ratnaweera, H. Detection Limits of Antibiotics in Wastewater by Real-Time UV–VIS Spectrometry at Different Optical Path Length. Processes 2022, 10, 2614. [Google Scholar] [CrossRef]
- Pei, J.; Tian, Z.; Yu, X.; Zhang, S.; Ma, S.; Sun, Y.; Boukherroub, R. Highly-sensitive SERS detection of tetracycline: Sub-enhancement brought by light scattering of nano-diamond. Appl. Surf. Sci. 2023, 608, 155270. [Google Scholar] [CrossRef]
- Fabregat-Safont, D.; Gracia-Marín, E.; Ibáñez, M.; Pitarch, E.; Hernández, F. Analytical key issues and challenges in the LC-MS/MS determination of antibiotics in wastewater. Anal. Chim. Acta 2023, 1239, 340739. [Google Scholar] [CrossRef] [PubMed]
- Ikizoglu, B.; Turkdogan, F.I.; Kanat, G.; Aydiner, C. Seasonal analysis of commonly prescribed antibiotics in Istanbul city. Environ. Monit. Assess. 2023, 195, 566. [Google Scholar] [CrossRef] [PubMed]
- Hernandez, F.; Ibanez, M.; Portoles, T.; Hidalgo-Troya, A.; Ramirez, J.D.; Paredes, M.A.; Hidalgo, A.F.; Garcia, A.M.; Galeano, L.A. High resolution mass spectrometry-based screening for the comprehensive investigation of organic micropollutants in surface water and wastewater from Pasto city, Colombian Andean highlands. Sci. Total Environ. 2024, 922, 171293. [Google Scholar] [CrossRef] [PubMed]
- Silva, L.R.G.; Carvalho, J.H.S.; Stefano, J.S.; Oliveira, G.G.; Prakash, J.; Janegitz, B.C. Electrochemical sensors and biosensors based on nanodiamonds: A review. Mater. Today Commun. 2023, 35, 106142. [Google Scholar] [CrossRef]
- Zhou, Y.; Wang, J. Detection and removal technologies for ammonium and antibiotics in agricultural wastewater: Recent advances and prospective. Chemosphere 2023, 334, 139027. [Google Scholar] [CrossRef]
- Pan, Y.; Shan, D.; Ding, L.L.; Yang, X.D.; Xu, K.; Huang, H.; Wang, J.F.; Ren, H.Q. Developing a generally applicable electrochemical sensor for detecting macrolides in water with thiophene-based molecularly imprinted polymers. Water Res. 2021, 205, 117670. [Google Scholar] [CrossRef]
- Adane, W.D.; Chandravanshi, B.S.; Getachew, N.; Tessema, M. A cutting-edge electrochemical sensing platform for the simultaneous determination of the residues of antimicrobial drugs, rifampicin and norfloxacin, in water samples. Anal. Chim. Acta 2024, 1312, 342746. [Google Scholar] [CrossRef]
- Liu, Y.; Chen, J.; Hu, H.; Qu, K.; Cui, Z. A low-cost electrochemical method for the determination of sulfadiazine in aquaculture wastewater. Int. J. Environ. Res. Public. Health 2022, 19, 16945. [Google Scholar] [CrossRef] [PubMed]
- Zhang, Z.; Zhang, H.; Tian, D.; Phan, A.; Seididamyeh, M.; Alanazi, M.; Ping Xu, Z.; Sultanbawa, Y.; Zhang, R. Luminescent sensors for residual antibiotics detection in food: Recent advances and perspectives. Coordin Chem. Rev. 2024, 498, 215455. [Google Scholar] [CrossRef]
- Raja Lakshmi, P.; Nanjan, P.; Kannan, S.; Shanmugaraju, S. Recent advances in luminescent metal–organic frameworks (LMOFs) based fluorescent sensors for antibiotics. Coord. Chem. Rev. 2021, 435, 213793. [Google Scholar] [CrossRef]
- Sankhla, L.; Kushwaha, H.S. Development of optical sensor for detection of tetracycline using manganese Metal–Organic Framework (Mn-MOF). J. Electron. Mater. 2024, 53, 1896–1902. [Google Scholar] [CrossRef]
- Zhao, Y.; Wang, Y.J.; Wang, N.; Zheng, P.; Fu, H.R.; Han, M.L.; Ma, L.F.; Wang, L.Y. Tetraphenylethylene-Decorated Metal-Organic Frameworks as Energy-Transfer Platform for the Detection of Nitro-Antibiotics and White-Light Emission. Inorg. Chem. 2019, 58, 12700–12706. [Google Scholar] [CrossRef]
- Lei, M.; Ge, F.; Ren, S.; Gao, X.; Zheng, H. A water-stable Cd-MOF and corresponding MOF@melamine foam composite for detection and removal of antibiotics, explosives, and anions. Sep. Purif. Technol. 2022, 286, 120433. [Google Scholar] [CrossRef]
- Yang, Q.; Hong, H.; Luo, Y. Heterogeneous nucleation and synthesis of carbon dots hybrid Zr-based MOFs for simultaneous recognition and effective removal of tetracycline. Chem. Eng. J. 2020, 392, 123680. [Google Scholar] [CrossRef]
- Mao, K.; Zhang, H.; Pan, Y.; Yang, Z. Biosensors for wastewater-based epidemiology for monitoring public health. Water Res. 2021, 191, 116787. [Google Scholar] [CrossRef] [PubMed]
- Kramat, J.; Kraus, L.; Gunawan, V.J.; Smyej, E.; Froehlich, P.; Weber, T.E.; Spiehl, D.; Koeppl, H.; Blaeser, A.; Suess, B. Sensing Levofloxacin with an RNA Aptamer as a Bioreceptor. Biosensors 2024, 14, 56. [Google Scholar] [CrossRef] [PubMed]
- Wang, B.; Liu, L.; Zhang, H.; Wang, Z.; Chen, K.; Wu, B.; Hu, L.; Zhou, X.; Liu, L. A group-targeting biosensor for sensitive and rapid detection of quinolones in water samples. Anal. Chim. Acta 2024, 1301, 342475. [Google Scholar] [CrossRef]
- Vera-Candioti, L.; Olivieri, A.C.; Goicoechea, H.C. Development of a novel strategy for preconcentration of antibiotic residues in milk and their quantitation by capillary electrophoresis. Talanta 2010, 82, 213–221. [Google Scholar] [CrossRef] [PubMed]
- Zhu, Y.; He, P.; Hu, H.; Qi, M.; Li, T.; Zhang, X.; Guo, Y.; Wu, W.; Lan, Q.; Yang, C.; et al. Determination of quinolone antibiotics in environmental water using automatic solid-phase extraction and isotope dilution ultra-performance liquid chromatography tandem mass spectrometry. J. Chromatogr. B Anal. Technol. Biomed. Life Sci. 2022, 1208, 123390. [Google Scholar] [CrossRef] [PubMed]
- Košutić, K.; Dolar, D.; Ašperger, D.; Kunst, B. Removal of antibiotics from a model wastewater by RO/NF membranes. Sep. Purif. Technol. 2007, 53, 244–249. [Google Scholar] [CrossRef]
- Cui, J.; Zhang, Y.; Pan, Y.; Li, J.; Xie, A.; Xue, C.; Pan, J. Preparation of antifouling zwitterion PVDF-imprinted composite membranes for selective antibiotic and oil/water emulsion separation. React. Funct. Polym. 2023, 187, 105580. [Google Scholar] [CrossRef]
- Cheng, N.; Wang, B.; Wu, P.; Lee, X.; Xing, Y.; Chen, M.; Gao, B. Adsorption of emerging contaminants from water and wastewater by modified biochar: A review. Environ. Pollut. 2021, 273, 116448. [Google Scholar] [CrossRef]
- Yang, S.; Lin, C.; Wu, C.; Ng, K.; Yu-Chen Lin, A.; Andy Hong, P. Fate of sulfonamide antibiotics in contact with activated sludge—Sorption and biodegradation. Water Res. 2012, 46, 1301–1308. [Google Scholar] [CrossRef]
- Ben, W.; Qiang, Z.; Yin, X.; Qu, J.; Pan, X. Adsorption behavior of sulfamethazine in an activated sludge process treating swine wastewater. J. Environ. Sci. 2014, 26, 1623–1629. [Google Scholar] [CrossRef]
- Lakshminarasimman, N.; Quinones, O.; Vanderford, B.J.; Campo-Moreno, P.; Dickenson, E.V.; McAvoy, D.C. Biotransformation and sorption of trace organic compounds in biological nutrient removal treatment systems. Sci. Total Environ. 2018, 640–641, 62–72. [Google Scholar] [CrossRef]
- Gupta, A.; Vyas, R.K.; Vyas, S. A review on antibiotics pervasiveness in the environment and their removal from wastewater. Sep. Sci. Technol. 2023, 58, 326–344. [Google Scholar] [CrossRef]
- Wang, J.; Guo, X.; Xue, J. Biofilm-developed microplastics as vectors of pollutants in aquatic environments. Environ. Sci. Technol. 2021, 55, 12780–12790. [Google Scholar] [CrossRef]
- Zhao, H.; Wang, Z.; Liang, Y.; Wu, T.; Chen, Y.; Yan, J.; Zhu, Y.; Ding, D. Adsorptive decontamination of antibiotics from livestock wastewater by using alkaline-modified biochar. Environ. Res. 2023, 226, 115676. [Google Scholar] [CrossRef] [PubMed]
- Feng, Y.; Yang, L.; Liu, J.; Logan, B.E. Electrochemical technologies for wastewater treatment and resource reclamation. Environ. Sci. Water Res. 2016, 2, 800–831. [Google Scholar] [CrossRef]
- Yuan, Q.; Qu, S.; Li, R.; Huo, Z.; Gao, Y.; Luo, Y. Degradation of antibiotics by electrochemical advanced oxidation processes (EAOPs): Performance, mechanisms, and perspectives. Sci. Total Environ. 2023, 856, 159092. [Google Scholar] [CrossRef] [PubMed]
- Wang, J.; Zhuan, R. Degradation of antibiotics by advanced oxidation processes: An overview. Sci. Total Environ. 2020, 701, 135023. [Google Scholar] [CrossRef] [PubMed]
- Frontistis, Z.; Mantzavinos, D.; Meriç, S. Degradation of antibiotic ampicillin on boron-doped diamond anode using the combined electrochemical oxidation—Sodium persulfate process. J. Environ. Manag. 2018, 223, 878–887. [Google Scholar] [CrossRef]
- Yao, B.; Luo, Z.; Yang, J.; Zhi, D.; Zhou, Y. Fe(II)Fe(III) layered double hydroxide modified carbon felt cathode for removal of ciprofloxacin in electro-Fenton process. Environ. Res. 2021, 197, 111144. [Google Scholar] [CrossRef]
- Miyata, M.; Ihara, I.; Yoshid, G.; Toyod, K.; Umetsu, K. Electrochemical oxidation of tetracycline antibiotics using a Ti/IrO2 anode for wastewater treatment of animal husbandry. Water Sci. Technol. 2011, 63, 456–461. [Google Scholar] [CrossRef]
- Hu, J.; Bian, X.; Xia, Y.; Weng, M.; Zhou, W.; Dai, Q. Application of response surface methodology in electrochemical degradation of amoxicillin with Cu-PbO2 electrode: Optimization and mechanism. Sep. Purif. Technol. 2020, 250, 117109. [Google Scholar] [CrossRef]
- Nabgan, W.; Saeed, M.; Jalil, A.A.; Nabgan, B.; Gambo, Y.; Ali, M.W.; Ikram, M.; Fauzi, A.A.; Owgi, A.; Hussain, I.; et al. A state of the art review on electrochemical technique for the remediation of pharmaceuticals containing wastewater. Environ. Res. 2022, 210, 112975. [Google Scholar] [CrossRef]
- Ma, J.; Wang, X.; Sun, H.; Tang, W.; Wang, Q. A review on three-dimensional electrochemical technology for the antibiotic wastewater treatment. Environ. Sci. Pollut. Res. 2023, 30, 73150–73173. [Google Scholar] [CrossRef]
- Vignati, D.; Lofrano, G.; Libralato, G.; Guida, M.; Siciliano, A.; Carraturo, F.; Carotenuto, M. Photocatalytic ZnO-Assisted degradation of spiramycin in urban wastewater: Degradation kinetics and toxicity. Water 2021, 13, 1051. [Google Scholar] [CrossRef]
- Nasuhoglu, D.; Rodayan, A.; Berk, D.; Yargeau, V. Removal of the antibiotic levofloxacin (LEVO) in water by ozonation and TiO2 photocatalysis. Chem. Eng. J. 2012, 189–190, 41–48. [Google Scholar] [CrossRef]
- Sneha, Y.; Yashas, S.R.; Thinley, T.; Prabagar, J.S.; Puttaiah, S.H. Photocatalytic degradation of lomefloxacin antibiotics using hydrothermally synthesized magnesium titanate under visible light-driven energy sources. Environ. Sci. Pollut. Res. Int. 2022, 29, 67969–67980. [Google Scholar] [CrossRef]
- Singh, M.; Rugma, T.P.; Golda, A.S.; Neppolian, B.; Naushad, M.; Lakhera, S.K. Selective vanadium etching and in-situ formation of δ-Bi2O3 on m-BiVO4 with g-C3N4 nanosheets for photocatalytic degradation of antibiotic tetracycline. J. Clean. Prod. 2024, 442, 140921. [Google Scholar] [CrossRef]
- Saadati, F.; Keramati, N.; Ghazi, M.M. Influence of parameters on the photocatalytic degradation of tetracycline in wastewater: A review. Crit. Rev. Environ. Sci. Technol. 2016, 46, 757–782. [Google Scholar] [CrossRef]
- Dimitrakopoulou, D.; Rethemiotaki, I.; Frontistis, Z.; Xekoukoulotakis, N.P.; Venieri, D.; Mantzavinos, D. Degradation, mineralization and antibiotic inactivation of amoxicillin by UV-A/TiO2 photocatalysis. J. Environ. Manag. 2012, 98, 168–174. [Google Scholar] [CrossRef]
- Ahmadi, M.; Ramezani Motlagh, H.; Jaafarzadeh, N.; Mostoufi, A.; Saeedi, R.; Barzegar, G.; Jorfi, S. Enhanced photocatalytic degradation of tetracycline and real pharmaceutical wastewater using MWCNT/TiO2 nano-composite. J. Environ. Manag. 2017, 186, 55–63. [Google Scholar] [CrossRef]
- Wang, J.; Wang, S. Microbial degradation of sulfamethoxazole in the environment. Appl. Microbiol. Biotechnol. 2018, 102, 3573–3582. [Google Scholar] [CrossRef]
- Verlicchi, P.; Galletti, A.; Petrovic, M.; Barceló, D.; Al Aukidy, M.; Zambello, E. Removal of selected pharmaceuticals from domestic wastewater in an activated sludge system followed by a horizontal subsurface flow bed—Analysis of their respective contributions. Sci. Total Environ. 2013, 454–455, 411–425. [Google Scholar] [CrossRef]
- Alvarino, T.; Suarez, S.; Lema, J.M.; Omil, F. Understanding the removal mechanisms of PPCPs and the influence of main technological parameters in anaerobic UASB and aerobic CAS reactors. J. Hazard. Mater. 2014, 278, 506–513. [Google Scholar] [CrossRef]
- Nguyen, P.Y.; Carvalho, G.; Reis, A.C.; Nunes, O.C.; Reis, M.A.M.; Oehmen, A. Impact of biogenic substrates on sulfamethoxazole biodegradation kinetics by Achromobacter denitrificans strain PR1. Biodegradation 2017, 28, 205–217. [Google Scholar] [CrossRef] [PubMed]
- Chen, C.X.; Aris, A.; Yong, E.L.; Noor, Z.Z. A review of antibiotic removal from domestic wastewater using the activated sludge process: Removal routes, kinetics and operational parameters. Environ. Sci. Pollut. Res. 2022, 29, 4787–4802. [Google Scholar] [CrossRef] [PubMed]
- Tambosi, J.L.; de Sena, R.F.; Favier, M.; Gebhardt, W.; José, H.J.; Schröder, H.F.; Moreira, R.D.F.P. Removal of pharmaceutical compounds in membrane bioreactors (MBR) applying submerged membranes. Desalination 2010, 261, 148–156. [Google Scholar] [CrossRef]
- Radjenovic, J.; Petrovic, M.; Barceló, D. Analysis of pharmaceuticals in wastewater and removal using a membrane bioreactor. Anal. Bioanal. Chem. 2007, 387, 1365–1377. [Google Scholar] [CrossRef] [PubMed]
- Sahar, E.; Ernst, M.; Godehardt, M.; Hein, A.; Herr, J.; Kazner, C.; Melin, T.; Cikurel, H.; Aharoni, A.; Messalem, R.; et al. Comparison of two treatments for the removal of selected organic micropollutants and bulk organic matter: Conventional activated sludge followed by ultrafiltration versus membrane bioreactor. Water Sci. Technol. 2011, 63, 733–740. [Google Scholar] [CrossRef] [PubMed]
- Hamjinda, N.S.; Chiemchaisri, W.; Chiemchaisri, C. Upgrading two-stage membrane bioreactor by bioaugmentation of Pseudomonas putida entrapment in PVA/SA gel beads in treatment of ciprofloxacin. Int. Biodeter. Biodegr. 2017, 119, 595–604. [Google Scholar] [CrossRef]
- Shi, B.; Wang, Y.; Geng, Y.; Liu, R.; Pan, X.; Li, W.; Sheng, G. Application of membrane bioreactor for sulfamethazine-contained wastewater treatment. Chemosphere 2018, 193, 840–846. [Google Scholar] [CrossRef]
- Balu, S.; Chuaicham, C.; Balakumar, V.; Rajendran, S.; Sasaki, K.; Sekar, K.; Maruthapillai, A. Recent development on core-shell photo(electro)catalysts for elimination of organic compounds from pharmaceutical wastewater. Chemosphere 2022, 298, 134311. [Google Scholar] [CrossRef]
- Sun, J.; Yang, P.; Huang, S.; Li, N.; Zhang, Y.; Yuan, Y.; Lu, X. Enhanced removal of veterinary antibiotic from wastewater by photoelectroactive biofilm of purple anoxygenic phototroph through photosynthetic electron uptake. Sci. Total Environ. 2020, 713, 136605. [Google Scholar] [CrossRef] [PubMed]
- Chiemchaisri, W.; Chiemchaisri, C.; Witthayaphirom, C.; Saengam, C.; Mahavee, K. Reduction of antibiotic-resistant-E. coli, -K. pneumoniae, -A. baumannii in aged-sludge of membrane bioreactor treating hospital wastewater. Sci. Total Environ. 2022, 812, 152470. [Google Scholar] [CrossRef]
- Polesel, F.; Andersen, H.R.; Trapp, S.; Plosz, B.G. Removal of antibiotics in biological wastewater treatment systems-A critical assessment using the activated sludge modeling framework for Xenobiotics (ASM-X). Environ. Sci. Technol. 2016, 50, 10316–10334. [Google Scholar] [CrossRef] [PubMed]
- Wu, C.; Zhou, Y.; Sun, X.; Fu, L. The recent development of advanced wastewater treatment by ozone and biological aerated filter. Environ. Sci. Pollut. Res. 2018, 25, 8315–8329. [Google Scholar] [CrossRef] [PubMed]
- Jin, L.; Sun, X.; Ren, H.; Huang, H. Biological filtration for wastewater treatment in the 21st century: A data-driven analysis of hotspots, challenges and prospects. Sci. Total Environ. 2023, 855, 158951. [Google Scholar] [CrossRef] [PubMed]
Disclaimer/Publisher’s Note: The statements, opinions and data contained in all publications are solely those of the individual author(s) and contributor(s) and not of MDPI and/or the editor(s). MDPI and/or the editor(s) disclaim responsibility for any injury to people or property resulting from any ideas, methods, instructions or products referred to in the content. |
© 2024 by the authors. Licensee MDPI, Basel, Switzerland. This article is an open access article distributed under the terms and conditions of the Creative Commons Attribution (CC BY) license (https://creativecommons.org/licenses/by/4.0/).


