Evaluation of the Impact of Recycled Distillery Effluent on the Cultivation of Wheat and Sorghum
Abstract
1. Introduction
2. Materials and Methods
2.1. Study Site
2.2. Experimental Design
2.3. Analytical Methods for Water, Soil, and Plant
2.4. Statistical Analysis
3. Results
3.1. Water Properties
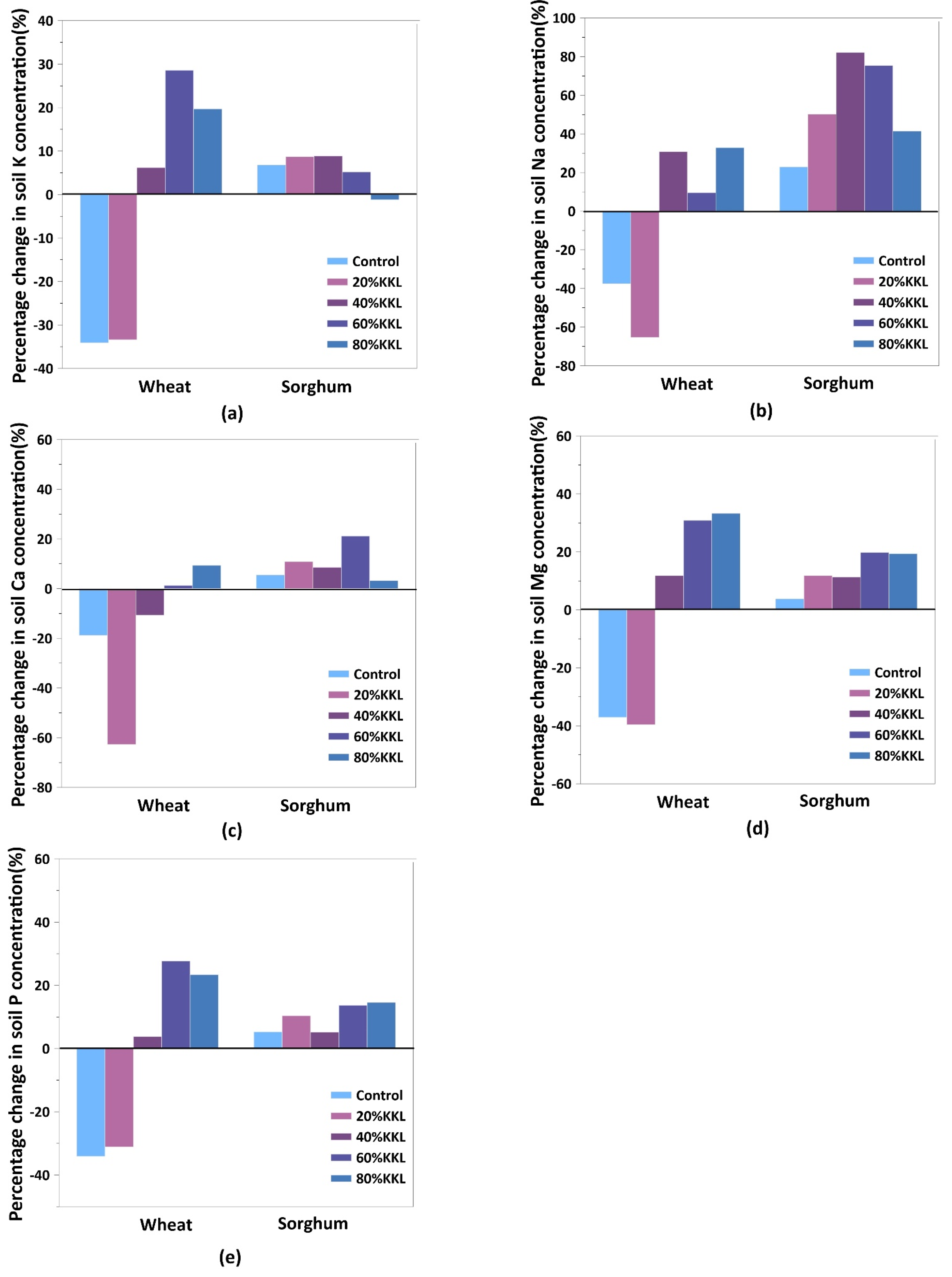
3.2. Soil Properties
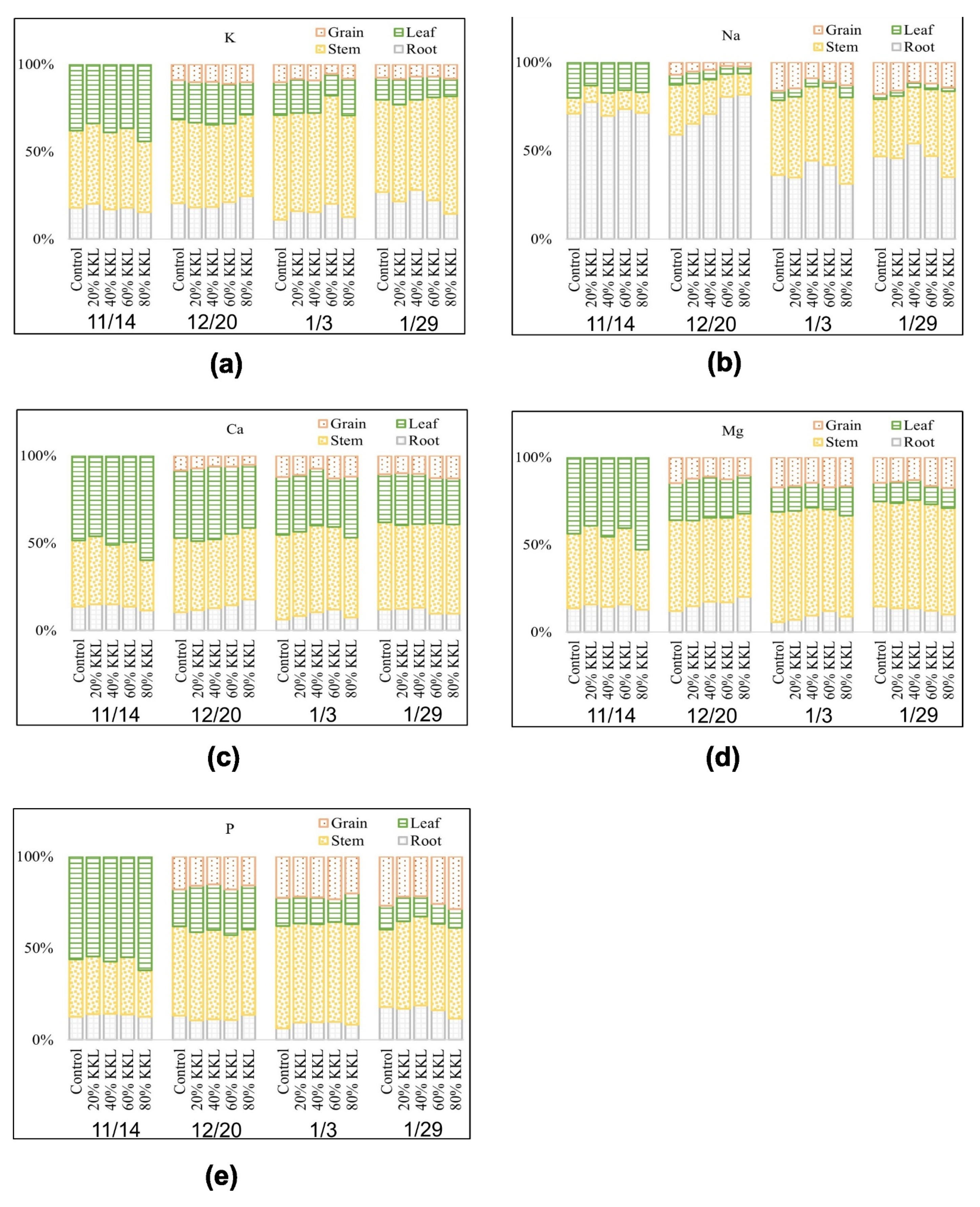
3.3. Plant Properties
4. Discussion
4.1. Effect of KKL Water Irrigation on Soil Properties
4.2. Effect of KKL Water Irrigation on Nutrient Distribution in Plants
4.3. Effect of KKL Water Irrigation on Nutrient Accumulation in Plants
5. Conclusions
Author Contributions
Funding
Data Availability Statement
Acknowledgments
Conflicts of Interest
References
- Pham, D.D.; Watanabe, T. Municipal Wastewater Irrigation for Rice Cultivation. In Current Perspective on Irrigation and Drainage; Kulshreshtha, S., Elshorbagy, A., Eds.; IntechOpen: London, UK, 2017; pp. 37–52. [Google Scholar] [CrossRef]
- FAO. Sustainability and Environmental Aspects of Agriculture. In World Food and Agriculture—Statistical Yearbook 2023; Food and Agriculture Organization of the United Nations: Rome, Italy, 2023. [Google Scholar] [CrossRef]
- Silva, L.R.B.; Kardos, L. Composting of distillery spent wash. J. Environ. Geogr. 2024, 17, 15–28. [Google Scholar] [CrossRef]
- Howell, C.; Myburgh, P.; Lategan, E.; Hoffman, J. Effect of irrigation using diluted winery wastewater on the chemical status of a sandy alluvial soil, with particular reference to potassium and sodium. S. Afr. J. Enol. Vitic. 2018, 39, 284–296. [Google Scholar] [CrossRef]
- Singh, A. A review of wastewater irrigation: Environmental implications. Resour. Conserv. Recycl. 2021, 168, 105454. [Google Scholar] [CrossRef]
- Mabasa, N.C.; Jones, C.L.; Laing, M. The use of treated brewery effluent for salt tolerant crop irrigation. Agric. Water Manag. 2021, 245, 106590. [Google Scholar] [CrossRef]
- Shah, A.H.; Shahid, M.; Tahir, M.; Natasha, N.; Bibi, I.; Tariq, T.Z.; Khalid, S.; Nadeem, M.; Abbas, G.; Saeed, M.F.; et al. Risk assessment of trace element accumulation in soil and Brassica oleracea after wastewater irrigation. Environ. Geochem. Heal. 2023, 45, 8929–8942. [Google Scholar] [CrossRef]
- Younas, S.; Rizvi, H.; Ali, S.; Abbas, F. Irrigation of Zea mays with UASB-treated textile wastewater; effect on early irrigation of Zea mays with UASB-treated textile wastewater; effect on early growth and physiology. Environ. Sci. Pollut. Res. 2020, 27, 15305–15324. [Google Scholar] [CrossRef]
- Hirzel, D.R.; Steenwerth, K.; Parikh, S.J.; Oberholster, A. Impact of winery wastewater irrigation on soil, grape and wine composition. Agric. Water Manag. 2017, 180, 178–189. [Google Scholar] [CrossRef]
- Mosse, K.; Patti, A.; Smernik, R.; Christen, E.; Cavagnaro, T. Physicochemical and microbiological effects of long- and short-term winery wastewater application to soils. J. Hazard. Mater. 2012, 201, 219–228. [Google Scholar] [CrossRef]
- Holtman, G.; Haldenwang, R.; Welz, P. Biological sand filter system treating winery effluent for effective reduction in organic load and pH neutralisation. J. Water Process. Eng. 2018, 25, 118–127. [Google Scholar] [CrossRef]
- Welz, P.; Mbasha, W.; Smith, I.; Holtman, G.; Terblanche, G.; Le Roes-Hill, M.; Haldenwang, R. The influence of grain physicochemistry and biomass on hydraulic conductivity in sand-filled treatment wetlands. Ecol. Eng. 2018, 116, 21–30. [Google Scholar] [CrossRef]
- Howell, C.; Myburgh, P. Management of winery wastewater by re-using it for crop irrigation—A review. S. Afr. J. Enol. Vitic. 2018, 39, 116–131. [Google Scholar] [CrossRef]
- Bolzonella, D.; Papa, M.; Da Ros, C.; Muthukumar, L.A.; Rosso, D. Winery wastewater treatment: A critical overview of advanced biological processes. Crit. Rev. Biotechnol. 2019, 39, 489–507. [Google Scholar] [CrossRef] [PubMed]
- Ngwenya, N.; Gaszynski, C.; Ikumi, D. A review of winery wastewater treatment: A focus on UASB biotechnology optimisation and recovery strategies. J. Environ. Chem. Eng. 2022, 10, 108172. [Google Scholar] [CrossRef]
- Latessa, S.H.; Hanley, L.; Tao, W. Characteristics and practical treatment technologies of winery wastewater: A review for wastewater management at small wineries. J. Environ. Manag. 2023, 342, 118343. [Google Scholar] [CrossRef] [PubMed]
- Samarah, N.H.; Bashabsheh, K.Y.; Mazahrih, N.T. Treated wastewater outperformed freshwater for barley irrigation in arid lands. Ital. J. Agron. 2020, 15, 183–193. [Google Scholar] [CrossRef]
- Alkhamisi, S.A.; Ahmed, M.; Al-Wardy, M.; Prathapar, S.A.; Choudri, B.S. Effect of reclaimed water irrigation on yield attributes and chemical composition of wheat (Triticum aestivum), cowpea (Vigna sinensis), and maize (Zea mays) in rotation. Irrig. Sci. 2016, 35, 87–98. [Google Scholar] [CrossRef]
- Alkhamisi, S.A.; Abdelrahman, H.A.; Ahmed, M.; Goosen, M.F.A. Assessment of reclaimed water irrigation on growth, yield, and water-use efficiency of forage crops. Appl. Water Sci. 2011, 1, 57–65. [Google Scholar] [CrossRef]
- Kiziloglu, F.; Turan, M.; Sahin, U.; Kuslu, Y.; Dursun, A. Effects of untreated and treated wastewater irrigation on some chemical properties of cauliflower (Brassica olerecea L. var. botrytis) and red cabbage (Brassica olerecea L. var. rubra) grown on calcareous soil in Turkey. Agric. Water Manag. 2008, 95, 716–724. [Google Scholar] [CrossRef]
- Atta, K.; Mondal, S.; Gorai, S.; Singh, A.P.; Kumari, A.; Ghosh, T.; Roy, A.; Hembram, S.; Gaikwad, D.J.; Mondal, S.; et al. Impacts of salinity stress on crop plants: Improving salt tolerance through genetic and molecular dissection. Front. Plant Sci. 2023, 14, 1241736. [Google Scholar] [CrossRef]
- Hasegawa, P.M. Sodium (Na+) homeostasis and salt tolerance of plants. Environ. Exp. Bot. 2013, 92, 19–31. [Google Scholar] [CrossRef]
- Unite State Salinity Laboratory (USSL). Diagnosis and Improvement of Saline and Alkali Soils; U.S. Government Printing Office: Washington, DC, USA, 1954; Volume 60. [Google Scholar]
- Chatzistathis, T.; Koutsos, T. Olive mill wastewater as a source of organic matter, water and nutrients for restoration of degraded soils and for crops managed with sustainable systems. Agric. Water Manag. 2017, 190, 55–64. [Google Scholar] [CrossRef]
- Santiago-Rosario, L.Y.; Harms, K.E.; Elderd, B.D.; Hart, P.B.; Dassanayake, M. No escape: The influence of substrate sodium on plant growth and tissue sodium responses. Ecol. Evol. 2021, 11, 14231–14249. [Google Scholar] [CrossRef] [PubMed]
- Alkharabsheh, H.M.; Seleiman, M.F.; Hewedy, O.A.; Battaglia, M.L.; Jalal, R.S.; Alhammad, B.A.; Schillaci, C.; Ali, N.; Al-Doss, A. Field Crop Responses and Management Strategies to Mitigate Soil Salinity in Modern Agriculture: A Review. Agronomy 2021, 11, 2299. [Google Scholar] [CrossRef]
- Sajid, H.; Muhammad, S.; Muhammad, A.; Chunquan, Z.; Qianyu, J.; Junhua, Z. Salinity Stress in Arid and Semi-Arid Climates: Effects and Management in Field Crops. In Climate Change and Agriculture; Saddam, H., Ed.; IntechOpen: London, UK, 2019; Chapter 12. [Google Scholar] [CrossRef]
- Shoushtarian, F.; Negahban-Azar, M. Worldwide regulations and guidelines for agricultural water reuse: A critical review. Water 2020, 12, 971. [Google Scholar] [CrossRef]
- Lyu, S.; Chen, W.; Zhang, W.; Fan, Y.; Jiao, W. Wastewater reclamation and reuse in China: Opportunities and chal-lenges. J. Environ. Sci. 2016, 39, 86–96. [Google Scholar] [CrossRef]
- Šteflová, M.; Koop, S.; Elelman, R.; Vinyoles, J.; Van Leeuwen, K. Governing non-potable water-reuse to alleviate water stress: The case of sabadell, Spain. Water 2018, 10, 739. [Google Scholar] [CrossRef]
- Trotta, V.; Baaloudj, O.; Brienza, M. Risks associated with wastewater reuse in agriculture: Investigating the effects of contaminants in soil, plants, and insects. Front. Environ. Sci. 2024, 12, 1358842. [Google Scholar] [CrossRef]
- Ungureanu, N.; Vlăduț, V.; Voicu, G. Water Scarcity and Wastewater Reuse in Crop Irrigation. Sustainability 2020, 12, 9055. [Google Scholar] [CrossRef]
- Shen, H. Wheat Taichung Sel. 2. Collect. Cultiv. Dev. Over Years 2009, 94, 92. [Google Scholar]
- Zhan, M.-Y. The Research Report on Water Resource Management in Offshore Island Areas Using the Concept of Virtual Water (NSC 99-2221-E-214-028-); National Science and Technology Council: Taipei, Taiwan, 2011. [Google Scholar]
- Chang, L.-J. Hybrid Sorghum Taichung 5. Collect. Cultiv. Dev. Over Years 2009, 94, 85–86, In Chinese. [Google Scholar] [CrossRef]
- Howell, C.; Myburgh, P.; Lategan, E.; Hoffman, J. An assessment of winery wastewater diluted for irrigation of grapevines in the Breede River Valley with respect to water quality and nutrient load. S. Afr. J. Enol. Vitic. 2015, 36, 413–425. [Google Scholar] [CrossRef][Green Version]
- Chiang, L.-C.; Liao, C.-J.; Fan, C.; Huang, Y.-Z.; Chen, F.-W. Suitability assessment of treated wastewater with various dilution levels for irrigation in a rain-fed area: Implications for crop growth and element translocations in Sorghum bicolor (L.) Moench. Paddy Water Environ. 2024, 1–15. [Google Scholar] [CrossRef]
- National Environmental Research Academy (NERA) (2019) W31154C.PDF. Available online: https://www.moenv.gov.tw/nera/32A85B63C9EC18C0/12fd5f3f-a6ed-4f42-9c80-419887fe26cc (accessed on 21 May 2019).
- Taiwan Agricultural Research Institute (TARI). TARI S101.1B and TARI S501.1B. 2023. Available online: https://www.tari.gov.tw/form/index-1.asp?Parser=2,27,298,277,,,8570 (accessed on 7 August 2023).
- National Environmental Research Academy (NERA) (2018a) S30161B.PDF. Available online: https://www.moenv.gov.tw/nera/D650FF755904A079/c88ca281-7bdb-4b1a-b8a4-0f4badd590e2 (accessed on 2 December 2022).
- National Environmental Research Academy (NERA) (2018b) M10402C.PDF. Available online: https://www.moenv.gov.tw/nera/B75C57336584DBF6/6d009f5f-8f73-4551-b704-bbb2a127a0f4 (accessed on 2 December 2022).
- Distillery, K. Sustainability Report 2022; Kinmen Kaoliang Liquor Inc.: Kinmen, Taiwan, 2022. [Google Scholar]
- Ministry of Agriculture (MOA). Regulations on Farmland Irrigation and Drainage Management. 2021. Available online: https://law.moj.gov.tw/LawClass/LawAll.aspx?PCODE=M0100027 (accessed on 23 December 2021).
- Al-Kubaisi, Q.Y.; Al-Salih, S.A. Hydrochemical assessment of water resources in Al-Teeb area, NE Maissan Gover-norate south of Iraq. Iraqi Bull. Geol. Min. 2016, 12, 43–52. [Google Scholar]
- Çiçek, A.; Karaman, M.R.; Turan, M.; Günes, A.; Çigdem, A. Yield and nutrient status of wheat plant (T. aestivum) influenced by municipal wastewater irrigation. J. Food Agric. Environ. 2013, 11, 733–737. [Google Scholar]
- Krishnasamy, K.; Bell, R.; Ma, Q. Wheat responses to sodium vary with potassium use efficiency of cultivars. Front. Plant SCI. 2014, 5, 631. [Google Scholar] [CrossRef] [PubMed]
- Zhan, A.; Zou, C.; Ye, Y.; Liu, Z.; Cui, Z.; Chen, X. Estimating on-farm wheat yield response to potassium and potassium uptake requirement in China. Field Crops Res. 2016, 191, 13–19. [Google Scholar] [CrossRef]
- Maathuis, F.J. Sodium in plants: Perception, signalling, and regulation of sodium fluxes. J. Exp. Bot. 2014, 65, 849–858. [Google Scholar] [CrossRef]
- Asgaria, H.R.; Cornelisb, W.; Dammec, P.V. Salt stress effect on wheat (Triticum aestivum L.) growth and leaf ion concentrations. Int. J. Plant Prod. 2012, 6, 195–208. [Google Scholar]
- Sadeghi, H. Effects of different levels of sodium chloride on yield and chemical composition in two barley cultivars. AEJSA 2009, 73, 314–320. [Google Scholar]
- Bavi, V.; Shiran, B.; Arzani, A. Evaluation of salinity tolerance in sorghum (Sorghum bicolor L.) using ion accumulation, proline and peroxidase criteria. Plant Growth Regul. 2011, 64, 275–285. [Google Scholar] [CrossRef]
- Guo, R.; Yang, Z.; Li, F.; Yan, C.; Zhong, X.; Liu, Q.; Xia, X.; Li, H.; Zhao, L. Comparative metabolic responses and adaptive strategies of wheat (Triticum aestivum) to salt and alkali stress. BMC Plant Biol. 2015, 15, 170. [Google Scholar] [CrossRef]
- Suarez, D.L.; Grieve, C.M. Predicting Cation Ratios in Corn from Saline Solution Composition. J. Exp. Bot. 1988, 39, 605–612. [Google Scholar] [CrossRef]
- Hermans, C.; Johnson, G.N.; Strasser, R.J.; Verbruggen, N. Physiological characterisation of magnesium deficiency in sugar beet: Acclimation to low magnesium differentially affects photosystems I and II. Planta. 2004, 220, 344–355. [Google Scholar] [CrossRef] [PubMed]
- Ferreira, L.; Oliveira, V.; Marchiori, J.; Ferreira, T.; Bernabé, A.; Boone, G.; Pereira, L.; Carriço, E. The Nutrient Magnesium in Soil and Plant: A Review. J. Plan Soil Sci. 2023, 35, 136–144. [Google Scholar] [CrossRef]
- Pujos, A.; Morard, P. Effects of potassium deficiency on tomato growth and mineral nutrition at the early production stage. Plant Soil. 1997, 189, 189–196. [Google Scholar] [CrossRef]
- Veneklaas, E.J.; Lambers, H.; Bragg, J.; Finnegan, P.M.; Lovelock, C.E.; Plaxton, W.C.; Price, C.A.; Scheible, W.R.; Shane, M.W.; White, P.J.; et al. Opportunities for improving phosphorus-use efficiency in crop plants [Review]. New Phytol. 2012, 195, 306–320. [Google Scholar] [CrossRef]
- Rose, T.J.; Rengel, Z.; Ma, Q.; Bowden, J.W. Differential accumulation patterns of phosphorus and potassium by canola cultivars compared to wheat. J. Plant Nutr. Soil Sci. 2007, 170, 404–411. [Google Scholar] [CrossRef]
- Bartha, C.; Fodorpataki, L.; Martínez-Ballesta, M.; Popescu, O.; Carvajal, M. Sodium accumulation contributes to salt stress tolerance in lettuce cultivars. J. Appl. Bot. Food Qual. 2015, 88, 42–48. [Google Scholar] [CrossRef]
- Kaiwen, G.; Zisong, X.; Yuze, H.; Qi, S.; Yue, W.; Yanhui, C.; Jiechen, W.; Wei, L.; Huihui, Z. Effects of salt concentration, pH, and their interaction on plant growth, nutrient uptake, and photochemistry of alfalfa (Medicago sativa) leaves. Plant Signal Behav. 2020, 15, 1832373. [Google Scholar] [CrossRef]
- Ma, Q.; Bell, R.; Brennan, R. Moderate sodium has positive effects on shoots but not roots of salt-tolerant barley grown in a potassium-deficient sandy soil. Crop Pasture. Sci. 2011, 62. [Google Scholar] [CrossRef]
- Kafi, M.; Nabati, J.; Masoumi, A.; Mehrgerdi, M. Effect of salinity and silicon application on oxidative damage of sorghum [Sorghum bicolor (L.) moench.]. Pak. J. Bot. 2011, 43, 2457–2462. [Google Scholar]
- Essa, T.A. Effect of Salinity Stress on Growth and Nutrient Composition of Three Soybean (Glycine max L. Merrill) Cultivars. J. Agron. Crop Sci. 2002, 188, 86–93. [Google Scholar] [CrossRef]
- Jamal, Y.; Shafi, M.; Bakht, J.; Arif, M. Seed priming improves salinity tolerance of wheat varieties. Pak. J. Bot. 2011, 43, 2683–2686. [Google Scholar]
- Morales, S.G.; Trejo-Téllez, L.I.; Gómez Merino, F.C.; Caldana, C.; Espinosa-Victoria, D.; Herrera Cabrera, B.E. Growth, photosynthetic activity, and potassium and sodium concentration in rice plants under salt stress. Acta Sci. Agron. 2012, 34. [Google Scholar] [CrossRef]
- Asgharipour, M.R.; Heidari, M. Effect of potassium supply on drought resistance in sorghum: Plant growth and macronutrient content. Pak. J. Agric. Sci. 2011, 48, 197–204. [Google Scholar]



| Control | KKL Treatments | Original KKL Effluent | Standards 1 | |||||
|---|---|---|---|---|---|---|---|---|
| 20% | 40% | 60% | 80% | |||||
| Wheat | pH | 6.55 | 7.40 | 7.77 | 8.13 | 7.99 | 7.87 | 6~9 |
| EC (µS/cm) | 597.6 | 1084.6 | 2073.5 | 2779.0 | 3397.0 | 3625.0 | <750 | |
| K (mg/L) | 20.53 | 57.68 | 137.80 | 197.05 | 254.58 | 283.58 | - | |
| Na (mg/L) | 71.40 | 150.40 | 327.35 | 455.60 | 579.90 | 591.08 | - | |
| Ca (mg/L) | 24.70 | 24.78 | 26.20 | 26.63 | 29.53 | 27.65 | - | |
| Mg (mg/L) | 5.75 | 18.20 | 44.28 | 62.88 | 80.95 | 92.10 | - | |
| P (mg/L) | 3.78 | 20.50 | 56.40 | 83.28 | 111.03 | 126.03 | - | |
| Cr (mg/L) | ND | ND | ND | ND | ND | ND | <0.1 | |
| Ni (mg/L) | ND | ND | ND | ND | ND | ND | <0.2 | |
| Cu (mg/L) | ND | ND | ND | ND | ND | ND | <0.2 | |
| Zn (mg/L) | 0.13 | 0.1 | 0.15 | 0.18 | 0.3 | 0.15 | <2 | |
| Cd (mg/L) | ND | ND | ND | ND | ND | ND | <0.01 | |
| Pb (mg/L) | ND | ND | ND | ND | ND | ND | <0.1 | |
| As (mg/L) | ND | ND | ND | ND | ND | ND | <0.05 | |
| Hg (mg/L) | ND | ND | ND | ND | ND | ND | <0.002 | |
| NH3-N (mg/L) | 1.7 | 1.75 | 1.9 | 1.4 | 1.75 | 1.95 | <3 | |
| Cl⁻ (mg/L) | 93.14 | 113.78 | 141.82 | 162.49 | 190.23 | 190.60 | <175 | |
| SO42⁻ (mg/L) | 37.49 | 38.71 | 31.59 | 28.15 | 25.20 | 23.23 | <200 | |
| SAR (meq/L)1/2 | 3.38 | 5.62 | 9.09 | 11.04 | 12.5 | 12.20 | <6.0 | |
| Sorghum | pH | 6.58 | 7.40 | 7.74 | 7.85 | 7.92 | 8.02 | 6~9 |
| EC (µS/cm) | 694.0 | 1212.5 | 1809.0 | 2393.5 | 2725.5 | 3727.0 | <750 | |
| K (mg/L) | 23.74 | 58.70 | 101.99 | 143.66 | 169.18 | 241.94 | - | |
| Na (mg/L) | 65.02 | 147.83 | 246.60 | 339.60 | 392.49 | 543.16 | - | |
| Ca (mg/L) | 38.41 | 39.12 | 39.07 | 38.12 | 44.94 | 30.51 | - | |
| Mg (mg/L) | 7.36 | 21.25 | 38.61 | 54.72 | 66.16 | 93.26 | - | |
| P (mg/L) | 2.44 | 20.37 | 41.95 | 62.67 | 81.69 | 109.90 | - | |
| Cr (mg/L) | ND | ND | ND | ND | ND | ND | <0.1 | |
| Ni (mg/L) | ND | ND | ND | ND | ND | ND | <0.2 | |
| Cu (mg/L) | ND | ND | ND | ND | ND | ND | <0.2 | |
| Zn (mg/L) | 0 | 0.12 | 0.15 | 0.15 | 0.31 | 0.06 | <2 | |
| Cd (mg/L) | ND | ND | ND | ND | ND | ND | <0.01 | |
| Pb (mg/L) | ND | ND | ND | ND | ND | ND | <0.1 | |
| As (mg/L) | 0.01 | 0.02 | 0.01 | 0.02 | 0.02 | 0.01 | <0.05 | |
| Hg (mg/L) | ND | ND | ND | ND | ND | ND | <0.002 | |
| NH3-N (mg/L) | 1.45 | 4 | 3.5 | 4.55 | 5.15 | 5.7 | <3 | |
| Cl⁻ (mg/L) | 93.14 | 113.78 | 141.82 | 162.49 | 190.23 | 190.60 | <175 | |
| SO42⁻ (mg/L) | 78.99 | 65.91 | 43.36 | 30.70 | 23.71 | ND | <200 | |
| SAR (meq/L)1/2 | 2.55 | 4.75 | 6.72 | 8.27 | 8.73 | 11.06 | <6.0 | |
| Date | Control | KKL Treatments | p-Value 1 | ||||
|---|---|---|---|---|---|---|---|
| 20% | 40% | 60% | 80% | ||||
| Before planting (2/14) | pH | 4.44 ± 0.32c | 4.73 ± 0.45ab | 4.60 ± 0.20bc | 4.95 ± 0.13a | 4.74 ± 0.29ab | 0.551 |
| EC (1:5) (µS/cm) | 193.43 ± 41.18c | 328.63 ± 193.78ab | 289.77 ± 129.39bc | 252.03 ± 72.90bc | 393.33 ± 92.75a | 0.541 | |
| K (mg/kg) | 1589.33 ± 190.72a | 1465.00 ± 225.71a | 1082.67 ± 396.69b | 1040.67 ± 166.64b | 1497.00 ± 178.19a | 0.153 | |
| Na (mg/kg) | 171.33 ± 35.31b | 212.33 ± 72.34b | 215.33 ± 72.44b | 270.67 ± 61.76a | 309.33 ± 35.16a | 0.215 | |
| Ca (mg/kg) | 810.67 ± 127.42b | 1216.67 ± 468.39a | 1051.67 ± 145.21a | 1192.00 ± 160.81a | 1187.33 ± 69.59a | 0.450 | |
| Mg (mg/kg) | 455.00 ± 47.84ab | 482.00 ± 112.02a | 381.67 ± 100.45b | 480.00 ± 104.55a | 523.67 ± 105.75a | 0.681 | |
| P (mg/kg) | 730.67 ± 149.24b | 828.33 ± 214.84ab | 764.67 ± 14.38b | 911.33 ± 42.87a | 789.67 ± 43.05b | 0.631 | |
| Available P (mg/kg) | 108.07 ± 47.50b | 133.70 ± 51.37ab | 124.20 ± 15.00ab | 126.00 ± 11.39ab | 142.50 ± 0.45a | 0.864 | |
| Available K (mg/kg) | 108.13 ± 14.61b | 148.40 ± 61.21ab | 174.33 ± 88.89a | 110.47 ± 25.95b | 164.93 ± 59.04a | 0.681 | |
| After harvest (4/11) | pH | 5.04 ± 0.06a | 4.73 ± 0.24b | 4.49 ± 0.12c | 5.05 ± 0.29a | 4.76 ± 0.10b | 0.053 |
| EC (1:5) (µS/cm) | 120.68 ± 34.13c | 154.73 ± 52.16c | 322.23 ± 72.57b | 339.80 ± 84.43b | 409.43 ± 114.17a | 0.015 | |
| K (mg/kg) | 1046.67 ± 36.54cd | 977.00 ± 51.98d | 1166.00 ± 281.64c | 1459.00 ± 271.68b | 1796.67 ± 231.62a | 0.014 | |
| Na (mg/kg) | 107.00 ± 31.79c | 105.67 ± 7.13c | 266.00 ± 97.16b | 291.00 ± 86.10b | 378.33 ± 132.15a | 0.033 | |
| Ca (mg/kg) | 658.00 ± 137.57c | 680.33 ± 97.72c | 953.67 ± 304.37b | 1207.67 ± 37.75a | 1305.67 ± 444.09a | 0.090 | |
| Mg (mg/kg) | 286.00 ± 9.63c | 311.33 ± 18.19c | 429.67 ± 104.93b | 629.00 ± 80.65a | 692.33 ± 165.08a | 0.005 | |
| P (mg/kg) | 481.33 ± 101.73e | 593.33 ± 80.71d | 794.00 ± 210.32c | 1141.00 ± 22.76a | 991.33 ± 58.98b | 0.001 | |
| Available P (mg/kg) | 130.90 ± 22.09c | 137.07 ± 17.03c | 143.77 ± 35.42c | 258.07 ± 51.04a | 177.40 ± 35.86b | 0.022 | |
| Available K (mg/kg) | 93.53 ± 15.84b | 85.40 ± 26.91b | 106.57 ± 22.27b | 218.77 ± 36.13a | 200.33 ± 69.34a | 0.015 | |
| Date | Control | KKL Treatments | p-Value 1 | ||||
|---|---|---|---|---|---|---|---|
| 20% | 40% | 60% | 80% | ||||
| Before planting (11/14) | pH | 5.60 ± 0.06b | 5.86 ± 0.05a | 5.90 ± 0.09a | 5.84 ± 0.04a | 5.64 ± 0.14b | 0.016 |
| EC (1:5) (µS/cm) | 309.63 ± 63.13a | 363.33 ± 43.56a | 336.50 ± 91.82a | 489.77 ± 56.06a | 833.50 ± 367.01a | 0.179 * | |
| K (mg/kg) | 1854.33 ± 353.39b | 1766.67 ± 62.99b | 1913.67 ± 337.66b | 2096.33 ± 148.72b | 2573.33 ± 853.89a | 0.435 | |
| Na (mg/kg) | 205.67 ± 74.92c | 212.00 ± 46.50c | 239.67 ± 50.62c | 295.33 ± 24.25b | 445.67 ± 41.59a | 0.004 | |
| Ca (mg/kg) | 1663.67 ± 286.05c | 1972.00 ± 112.82bc | 2185.67 ± 429.46b | 2059.67 ± 193.28b | 2626.00 ± 418.38a | 0.109 | |
| Mg (mg/kg) | 593.33 ± 131.60c | 622.00 ± 47.10c | 707.33 ± 71.21b | 711.33 ± 61.33b | 796.33 ± 56.10a | 0.162 | |
| P (mg/kg) | 945.67 ± 133.56d | 1152.33 ± 70.41c | 1279.33 ± 139.99bc | 1329.00 ± 133.84ab | 1431.00 ± 178.00a | 0.040 | |
| Available P (mg/kg) | 173.93 ± 5.83c | 202.17 ± 24.52b | 219.13 ± 16.12a | 218.33 ± 15.78ab | 205.90 ± 14.92ab | 0.113 | |
| Available K (mg/kg) | 239.50 ± 53.20c | 291.30 ± 23.76bc | 335.80 ± 109.66b | 355.07 ± 25.27b | 442.07 ± 143.86a | 0.260 | |
| After harvest (1/29) | pH | 5.64 ± 0.25c | 5.97 ± 0.18b | 6.12 ± 0.08a | 5.99 ± 0.10ab | 6.02 ± 0.20ab | 0.157 |
| EC (1:5) (µS/cm) | 389.17 ± 235.19b | 407.33 ± 162.45b | 607.60 ± 80.69a | 639.57 ± 133.35a | 699.47 ± 265.59a | 0.396 | |
| K (mg/kg) | 1979.67 ± 653.91b | 1920.67 ± 428.41b | 2084.67 ± 259.56b | 2205.67 ± 218.48ab | 2543.33 ± 438.29a | 0.632 | |
| Na (mg/kg) | 252.67 ± 87.45e | 318.33 ± 104.47d | 436.33 ± 38.42c | 518.00 ± 14.72b | 630.00 ± 87.18a | 0.003 | |
| Ca (mg/kg) | 1755.33 ± 428.50c | 2187.33 ± 431.27b | 2373.00 ± 425.38b | 2497.00 ± 224.00ab | 2710.67 ± 272.78a | 0.181 | |
| Mg (mg/kg) | 616.00 ± 168.92d | 695.33 ± 159.80cd | 787.00 ± 100.57bc | 852.00 ± 86.40ab | 951.00 ± 40.36a | 0.126 | |
| P (mg/kg) | 995.33 ± 17.82d | 1272.67 ± 183.16c | 1346.00 ± 127.67c | 1511.67 ± 166.97b | 1640.33 ± 82.14a | 0.006 | |
| Available P (mg/kg) | 191.07 ± 28.50c | 239.57 ± 2.69c | 298.03 ± 4.73a | 285.50 ± 3.83b | 300.30 ± 3.29a | <0.0001 * | |
| Available K (mg/kg) | 220.47 ± 122.85c | 305.23 ± 99.84b | 444.73 ± 65.27a | 397.83 ± 52.51a | 433.37 ± 97.18a | 0.143 | |
| Wheat | Sorghum | |||||||||
|---|---|---|---|---|---|---|---|---|---|---|
| Control | 20% | 40% | 60% | 80% | Control | 20% | 40% | 60% | 80% | |
| K (g/kg) | ||||||||||
| Root | 7.19 | 4.23 | 4.66 | 6.90 | 8.86 | 10.12 | 8.31 | 11.17 | 9.75 | 10.03 |
| Stem | 23.68 | 23.42 | 26.30 | 31.11 | 36.24 | 13.86 | 13.57 | 13.05 | 15.60 | 17.78 |
| Leaf | 9.22 | 9.84 | 9.85 | 11.05 | 11.07 | 12.55 | 14.34 | 13.84 | 15.21 | 14.78 |
| Grain | 5.44 | 4.54 | 5.69 | 7.37 | 10.87 | 5.20 | 6.51 | 6.13 | 6.21 | 6.30 |
| Na (g/kg) | ||||||||||
| Root | 1.40 | 1.04 | 1.18 | 2.97 | 2.21 | 0.77 | 0.85 | 1.62 | 1.95 | 2.11 |
| Stem | 0.97 | 2.50 | 3.06 | 4.70 | 5.52 | 0.35 | 0.40 | 0.61 | 0.92 | 1.10 |
| Leaf | 0.40 | 0.75 | 0.91 | 1.44 | 1.47 | 0.12 | 0.13 | 0.23 | 0.38 | 0.29 |
| Grain | 0.18 | 0.25 | 0.45 | 0.83 | 1.72 | 0.50 | 0.61 | 0.73 | 0.98 | 1.02 |
| Ca (g/kg) | ||||||||||
| Root | 1.41 | 1.59 | 1.26 | 1.37 | 1.71 | 1.35 | 1.28 | 1.19 | 0.86 | 1.05 |
| Stem | 2.27 | 3.61 | 3.17 | 3.99 | 3.62 | 3.88 | 2.96 | 2.78 | 2.73 | 2.16 |
| Leaf | 6.53 | 8.81 | 7.29 | 9.06 | 9.42 | 8.11 | 7.29 | 6.89 | 6.56 | 6.16 |
| Grain | 0.97 | 1.18 | 1.56 | 2.06 | 2.58 | 2.15 | 1.82 | 2.12 | 2.25 | 1.66 |
| Mg (g/kg) | ||||||||||
| Root | 0.38 | 0.45 | 0.42 | 0.45 | 0.54 | 1.18 | 1.13 | 1.21 | 1.03 | 1.14 |
| Stem | 0.63 | 0.79 | 0.71 | 0.83 | 0.84 | 3.33 | 3.04 | 3.55 | 3.11 | 2.64 |
| Leaf | 1.46 | 1.93 | 1.75 | 1.80 | 2.04 | 2.21 | 2.50 | 2.86 | 2.65 | 2.83 |
| Grain | 1.26 | 1.30 | 1.44 | 1.50 | 1.78 | 2.16 | 2.32 | 2.58 | 2.74 | 2.31 |
| P (g/kg) | ||||||||||
| Root | 0.48 | 0.59 | 0.50 | 0.59 | 0.83 | 1.48 | 1.57 | 1.76 | 1.59 | 1.55 |
| Stem | 0.29 | 0.40 | 0.35 | 0.46 | 0.96 | 2.39 | 2.76 | 2.92 | 2.83 | 2.55 |
| Leaf | 1.41 | 2.02 | 1.63 | 1.73 | 2.52 | 2.83 | 3.13 | 2.77 | 3.04 | 2.97 |
| Grain | 2.51 | 2.58 | 2.49 | 2.90 | 3.46 | 4.08 | 4.20 | 4.63 | 4.90 | 4.53 |
| Wheat | Sorghum | |||||||||
|---|---|---|---|---|---|---|---|---|---|---|
| Control | 20% | 40% | 60% | 80% | Control | 20% | 40% | 60% | 80% | |
| K | 1.91 | 2.80 | 3.84 | 2.50 | 3.24 | 1.25 | 1.21 | 1.38 | 1.22 | 1.23 |
| Na | 0.72 | 1.56 | 1.83 | 0.96 | 1.48 | 0.12 | 0.09 | 0.12 | 0.11 | 0.09 |
| Ca | 1.30 | 1.80 | 2.09 | 2.33 | 2.08 | 1.70 | 1.80 | 1.66 | 1.71 | 1.76 |
| Mg | 2.89 | 2.64 | 2.81 | 2.90 | 2.88 | 1.84 | 1.64 | 1.75 | 1.44 | 1.51 |
| P | 3.91 | 2.96 | 3.33 | 3.39 | 4.38 | 1.86 | 1.89 | 1.65 | 1.68 | 1.56 |
Disclaimer/Publisher’s Note: The statements, opinions and data contained in all publications are solely those of the individual author(s) and contributor(s) and not of MDPI and/or the editor(s). MDPI and/or the editor(s) disclaim responsibility for any injury to people or property resulting from any ideas, methods, instructions or products referred to in the content. |
© 2024 by the authors. Licensee MDPI, Basel, Switzerland. This article is an open access article distributed under the terms and conditions of the Creative Commons Attribution (CC BY) license (https://creativecommons.org/licenses/by/4.0/).
Share and Cite
Huang, C.-H.; Chiang, L.-C.; Liao, C.-J.; Chen, F.-W. Evaluation of the Impact of Recycled Distillery Effluent on the Cultivation of Wheat and Sorghum. Water 2024, 16, 3220. https://doi.org/10.3390/w16223220
Huang C-H, Chiang L-C, Liao C-J, Chen F-W. Evaluation of the Impact of Recycled Distillery Effluent on the Cultivation of Wheat and Sorghum. Water. 2024; 16(22):3220. https://doi.org/10.3390/w16223220
Chicago/Turabian StyleHuang, Chi-Hsuan, Li-Chi Chiang, Ci-Jyun Liao, and Feng-Wen Chen. 2024. "Evaluation of the Impact of Recycled Distillery Effluent on the Cultivation of Wheat and Sorghum" Water 16, no. 22: 3220. https://doi.org/10.3390/w16223220
APA StyleHuang, C.-H., Chiang, L.-C., Liao, C.-J., & Chen, F.-W. (2024). Evaluation of the Impact of Recycled Distillery Effluent on the Cultivation of Wheat and Sorghum. Water, 16(22), 3220. https://doi.org/10.3390/w16223220

