Combining Activated Carbon Adsorption and CO2 Carbonation to Treat Fly Ash Washing Wastewater and Recover High-Purity Calcium Carbonate
Abstract
1. Introduction
2. Materials and Methods
2.1. Fly Ash Washing Wastewater
2.2. Activated Carbon and Other Chemicals
2.3. Procedures of Carbonation
2.4. Activated Carbon Tailoring and Adsorption
2.5. Chemical Analysis
2.6. Characterization of Precipitate
3. Results and Discussion
3.1. Carbonation
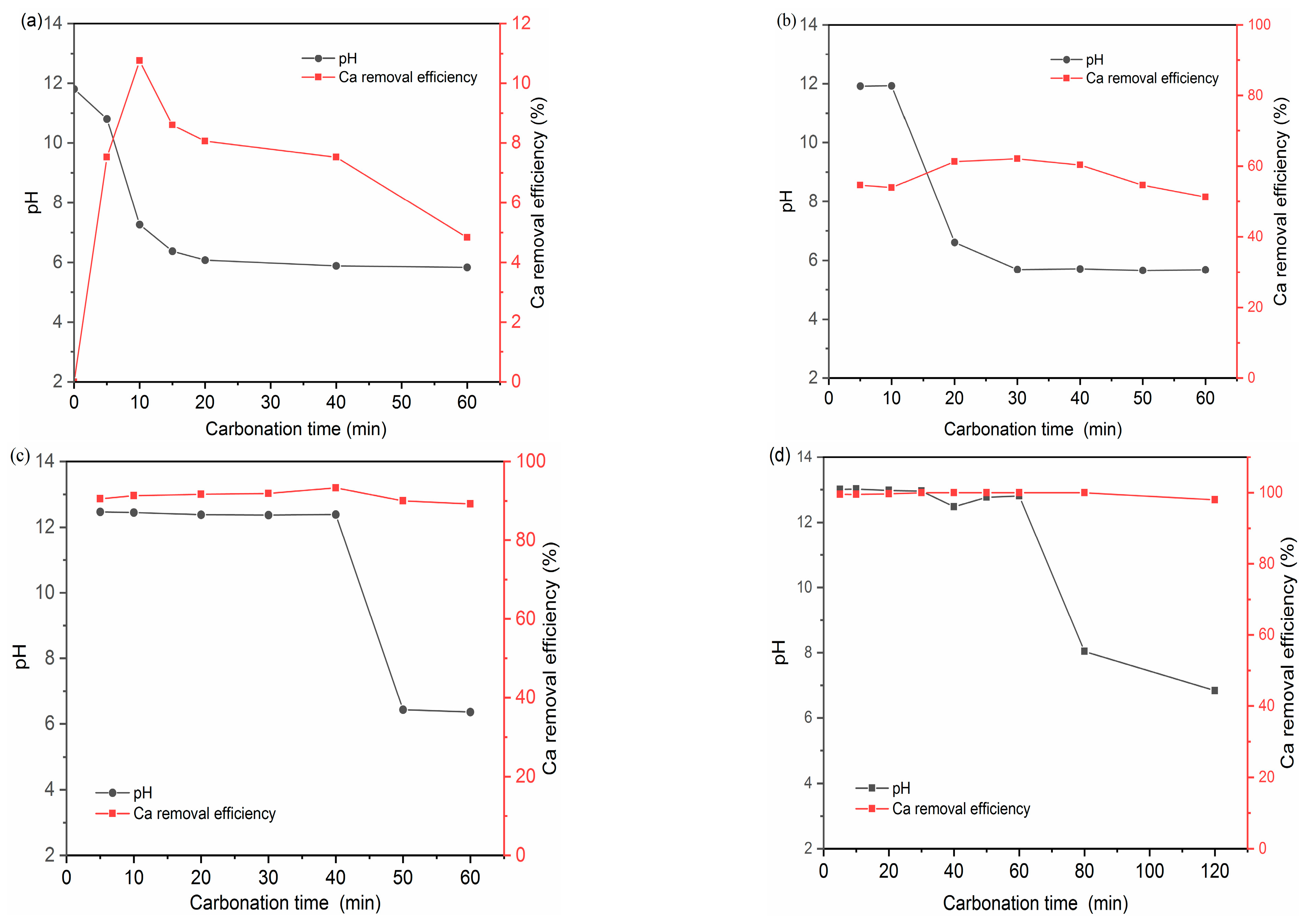
3.1.1. Effects of Initial pH
3.1.2. Effects of CO2 Flow Rates
3.2. Characteristics of Precipitate
3.3. Heavy Metals Removal from Fly Ash Wastewater
3.4. Carbonation after Activated Carbon Adsorption
4. Conclusions
Supplementary Materials
Author Contributions
Funding
Data Availability Statement
Conflicts of Interest
References
- Wei, X.K.; Shao, N.; Yan, F.; Wang, P.J.; Xie, F.; Zhang, Z.T. Safe disposal and recyclability of MSWI fly ash via mold-pressing and alkali-activation technology: Promotion of metakaolin and mechanism. J. Environ. Chem. Eng. 2022, 10, 107166. [Google Scholar] [CrossRef]
- Chen, Y.; Zhao, M.; Lv, Y.; Ting, Z.J.; Zhao, S.; Liu, Z.; Zhang, X.; Yang, Y.; You, Y.; Yuan, W. Utilization of municipal solid waste incineration fly ash as construction materials based on geopolymerization. Resour. Conserv. Recy. 2023, 19, 200162. [Google Scholar] [CrossRef]
- Li, P.; Shimaoka, T. Recovery of Zn and Cu from municipal solid waste incineration fly ash by integrating ammonium leaching and ammonia removal. Waste Manag. 2024, 178, 115–125. [Google Scholar] [CrossRef]
- Sai, A.; Wang, B.; Chen, W. The cementitious properties of alkali-activated municipal solid waste incineration fly ash-phosphorus slag-secondary aluminum dross matrix composites and the mechanism of solidification of heavy metals. Constr. Build. Mater. 2024, 438, 137254. [Google Scholar] [CrossRef]
- Ma, X.; He, T.; Da, Y.; Xu, Y.D.; Luo, R.; Yang, H. Improve toxicity leaching, physicochemical properties of incineration fly ash and performance as admixture by water washing. Constr. Build. Mater. 2023, 386, 131568. [Google Scholar] [CrossRef]
- Chen, W.F.; Wang, Y.G.; Sun, Y.M.; Fang, G.L.; Li, Y.L. Release of soluble ions and heavy metal during fly ash washing by deionized water and sodium carbonate solution. Chemosphere 2022, 307, 135860. [Google Scholar] [CrossRef]
- Zhao, H.; Yang, F.; Wang, Z.; Li, Y.; Guo, J.; Li, S.; Shu, J.; Chen, M. Chlorine and heavy metals removal from municipal solid waste incineration fly ash by electric field enhanced oxalic acid washing. J. Environ. Manag. 2023, 340, 117939. [Google Scholar] [CrossRef] [PubMed]
- Chen, K.; Han, S.; Meng, F.; Lin, L.; Li, J.; Gao, Y.; Qin, W.; Jiang, J. Acid controlled washing of municipal solid waste incineration fly ash: Extraction of calcium inhibiting heavy metals and reaction kinetics. Sci. Total. Environ. 2024, 909, 168599. [Google Scholar] [CrossRef]
- Chen, W.; Wang, F.; Li, Z.; Li, Q. A comprehensive evaluation of the treatment of lead in MSWI fly ash by the combined cement solidification and phosphate stabilization process. Waste Manag. 2020, 114, 107–114. [Google Scholar] [CrossRef]
- Wang, Y.; Li, W.; Nie, Q.; Yue, Y.; He, J.; Qian, G. Potential and durability of supplementary cementitious material prepared by incineration fly ash: Co-sintering and water-washing treatment. Chem. Eng. J. 2024, 496, 153992. [Google Scholar] [CrossRef]
- Yao, G.; Xu, R.; Liang, Z.; Li, P.; Xu, Y.; Liu, Y.; Qian, C.; Huang, Q. Evolution of physicochemical and leaching characteristics of municipal solid waste incineration fly ash in China under ultra-low emission standard. J. Environ. Manag. 2024, 364, 121432. [Google Scholar] [CrossRef]
- Teng, F.; Wang, Z.; Ren, K.; Liu, S.; Ding, H. Analysis of composition characteristics and treatment techniques of municipal solid waste incineration fly ash in China. J. Environ. Manag. 2024, 357, 120783. [Google Scholar] [CrossRef]
- Bernasconi, D.; Caviglia, C.; Destefanis, E.; Agostino, A.; Boero, R.; Marinoni, N.; Bonadiman, C.; Pavese, A. Influence of speciation distribution and particle size on heavy metal leaching from MSWI fly ash. Waste Manag. 2022, 138, 318–327. [Google Scholar] [CrossRef] [PubMed]
- Ju, Y.; Zhang, K.; Yang, T.; Deng, D.; Qiao, J.; Wang, P.; You, Y.; Du, L.; Chen, G.; Kołodyńska, D.; et al. The influence of a washing pretreatment containing phosphate anions on single-mode microwave-based detoxification of fly ash from municipal solid waste incinerators. Chem. Eng. J. 2020, 387, 124053. [Google Scholar] [CrossRef]
- Qin, J.; Zhang, Y.; Yi, Y.; Fang, M. Carbonation treatment of gasification fly ash from municipal solid waste using sodium carbonate and sodium bicarbonate solutions. Environ. Pollut. 2022, 299, 118906. [Google Scholar] [CrossRef] [PubMed]
- Sorrentino, G.P.; Zanoletti, A.; Ducoli, S.; Zacco, A.; Lora, P.; Invernizzi, C.M.; Marcoberardino, G.D.; Depero, L.E.; Bontempi, E. Accelerated and natural carbonation of a municipal solid waste incineration (MSWI) fly ash mixture: Basic strategies for higher carbon dioxide sequestration and reliable mass quantification. Environ. Res. 2023, 217, 114805. [Google Scholar] [CrossRef] [PubMed]
- Chen, Q.; Zhou, D.; Zhu, Y.; Luo, M.; Wu, Z. An insight into freezing crystallization with a perspective on its application in high-salinity industrial wastewater. Desalination 2024, 590, 117985. [Google Scholar] [CrossRef]
- Yadav, A.; Rene, E.R.; Sharma, M.; Jatain, I.; Mandal, M.K.; Dubey, K.K. Valorization of wastewater to recover value-added products: A comprehensive insight and perspective on different technologies. Environ. Res. 2022, 214, 113957. [Google Scholar] [CrossRef]
- Lin, H.; Li, S.; Wang, Y.; Zhao, Z.; Cai, W. Molecular-level understanding of membrane fouling formation during ultrafiltration of high-saline organic wastewater: Insights from molecular dynamics simulations. J. Membr. Sci. 2024, 711, 123208. [Google Scholar] [CrossRef]
- Ting, W.; Tan, I.; Salleh, S.F.; Abdul, W.N.; Atan, M.F.; Abdul, R.; Kong, S.L.; Lam, L.S. Sustainable saline wastewater treatment using eutectic freeze crystallization: Recent advances, challenges and future prospects. J. Environ. Chem. Eng. 2024, 12, 112919. [Google Scholar] [CrossRef]
- Ho, H.J.; Iizuka, A.; Shibata, E.; Ojumu, T. Circular indirect carbonation of coal fly ash for carbon dioxide capture and utilization. J. Environ. Chem. Eng. 2022, 10, 108269. [Google Scholar] [CrossRef]
- Lai, Y.; Zhang, J.; Li, W.; Song, Y. Water quality monitoring of large reservoirs in China based on water color change from 1999 to 2021. J. Hydrol. 2024, 633, 130988. [Google Scholar] [CrossRef]
- Wei, Y.; Du, X.; Liu, S.; Wen, Y.; Liao, Q.; Jiao, G.; Shimaoka, T.; Tang, S. Promotion of chloride removal from MSWI fly ash by an accelerated wet-carbonation process to enhance ash recycling in cement manufacture. J. Environ. Chem. Eng. 2024, 12, 112591. [Google Scholar] [CrossRef]
- Pan, Z.; Cao, C.; Wang, B.; Zhang, F.; Chen, L.; Zhao, J.; Zhang, Z.; Cheng, H. The effects of impurities in carbide slag on the morphological evolution of CaCO3 during carbonation. J. Environ. Manag. 2024, 363, 121361. [Google Scholar] [CrossRef] [PubMed]
- González-López, J.; Fernández-González, A.; Jiménez, A. Precipitation behaviour in the system Ca2+-Co2+-CO32−-H2O at ambient conditions-Amorphous phases and CaCO3 polymorphs. Chem. Geol. 2018, 482, 91–100. [Google Scholar] [CrossRef]
- Huang, F.; Liang, Y.; He, Y. On the Pickering emulsions stabilized by calcium carbonate particles with various morphologies. Colloids Surf. Physicochem. Eng. Asp. 2019, 580, 123722. [Google Scholar] [CrossRef]
- Pan, L.; Li, G.; Li, J.; Gao, J.; Liu, Q.; Shi, B. Heavy metal enrichment in drinking water pipe scales and speciation change with water parameters. Sci. Total Environ. 2022, 806, 150549. [Google Scholar] [CrossRef]
- Layglon, N.; Abdou, M.; Massa, F.; Castellano, M.; Bakker, E.; Povero, P.; Tercier-Waeber, M.L. Speciation of Cu, Cd, Pb and Zn in a contaminated harbor and comparison to environmental quality standards. J. Environ. Manag. 2022, 317, 115375. [Google Scholar] [CrossRef]
- Liang, D.; Yu, F.; Zhu, K.; Zhang, Z.; Tang, J.; Xie, Q.; Liu, J.; Xie, F. Quaternary ammonium salts targeted regulate the surface charge distribution of activated carbon: A study of their binding modes and modification effects. Environ. Res. 2022, 214, 114103. [Google Scholar] [CrossRef]
- Shen, Y.; Hao, S.; Suonan, A.; Liu, Y.; Li, H.; Ma, W.; Zhao, L.; Zhang, Y. Controllable Synthesis of Nano-Micro Calcium Carbonate Mediated by Additive Engineering. Crystals 2023, 13, 1432. [Google Scholar] [CrossRef]
- Ren, P.; Ling, T.; Mo, K.H. CO2 pretreatment of municipal solid waste incineration fly ash and its feasible use as supplementary cementitious material. J. Hazard. Mater. 2022, 424, 127457. [Google Scholar] [CrossRef] [PubMed]
- Viet, D.B.; Chan, W.P.; Phua, Z.H.; Ebrahimi, A.; Abbas, A.; Lisak, G. The use of fly ashes from waste-to-energy processes as mineral CO2 sequesters and supplementary cementitious materials. J. Hazard. Mater. 2020, 398, 122906. [Google Scholar] [CrossRef] [PubMed]
- Wang, C.; Jiang, H.; Miao, E.; Wang, Y.; Zhang, T.; Xiao, Y.; Liu, Z.; Ma, J.; Xiong, Z.; Zhao, Y.; et al. Accelerated CO2 mineralization technology using fly ash as raw material: Recent research advances. Chem. Eng. J. 2024, 488, 150676. [Google Scholar] [CrossRef]





| Parameters | Concentration (mg/L) | Heavy Metal | Concentration (mg/L) |
|---|---|---|---|
| Na+ | 22,764 | Pb | 14.50 |
| Ca2+ | 11,731 | Zn | 10.20 |
| K+ | 19,712 | Cd | 12.29 |
| Cl− | 66,721 | Ni | 3.03 |
| SO42− | 878 | Cu | 0.57 |
| Mg2+ | 0.33 | Cr | 0.07 |
| CO32− | 1800 | ||
| Total organic carbon (TOC) | 52.5 |
| Element (wt%) | Carbonation Time | |||
|---|---|---|---|---|
| 5 min | 30 min | 60 min | 120 min | |
| Ca | 35.409 | 30.197 | 30.468 | 30.850 |
| Cl | 0.525 | 1.188 | 0.724 | 0.812 |
| Na | 0.135 | 0.401 | 0.280 | 0.324 |
| K | 0.116 | 0.244 | 0.110 | 0.268 |
| Pb | 0.489 | 0.384 | 0.612 | 0.550 |
| Zn | 0.020 | 0.014 | 0.016 | 0.016 |
| Fe | 0.029 | 0.023 | 0.027 | 0.031 |
| S | 0.054 | 0.082 | 0.125 | 0.079 |
| Si | 0.160 | 0.137 | 0.150 | 0.161 |
| Cu | ND | ND | ND | ND |
| Ni | ND | ND | ND | ND |
| Cd | ND | ND | ND | ND |
| Cr | 0.007 | ND | ND | 0.006 |
| Mn | ND | ND | ND | ND |
| Parameters | Concentration (mg/L) | Heavy Metal | Concentration (mg/L) |
|---|---|---|---|
| Na+ | 22,350 | Pb | <0.01 |
| K+ | 18,900 | Zn | <0.01 |
| Cl− | 67,230 | Cd | 9.32 |
| Ca2+ | 10,750 | Ni | 2.50 |
| SO42− | 620 | Cu | 0.33 |
| CO32− | 1750 | Cr | 0.05 |
| TOC | 10.1 |
| Element | Ca | Cl | K | Pb | Zn | Cu | Ni | Cd | Cr | Fe | Mn | S | Si |
|---|---|---|---|---|---|---|---|---|---|---|---|---|---|
| Content (wt%) | 38.29 | 0.52 | 0.12 | ND | ND | ND | ND | ND | ND | 0.006 | 0.005 | 0.05 | 0.15 |
| Parameters | Concentration (mg/L) | Heavy Metal | Concentration (mg/L) |
|---|---|---|---|
| Na+ | 21,250 | Pb | <0.01 |
| K+ | 18,920 | Zn | <0.01 |
| Cl− | 63,530 | Cd | 8.23 |
| Ca2+ | 28 | Ni | 1.70 |
| SO42− | 420 | Cu | 0.30 |
| CO32− | 4250 | Cr | 0.04 |
| TOC | 8.50 |
Disclaimer/Publisher’s Note: The statements, opinions and data contained in all publications are solely those of the individual author(s) and contributor(s) and not of MDPI and/or the editor(s). MDPI and/or the editor(s) disclaim responsibility for any injury to people or property resulting from any ideas, methods, instructions or products referred to in the content. |
© 2024 by the authors. Licensee MDPI, Basel, Switzerland. This article is an open access article distributed under the terms and conditions of the Creative Commons Attribution (CC BY) license (https://creativecommons.org/licenses/by/4.0/).
Share and Cite
Chen, W.; Chen, Y.; Wang, Y.; Zhao, N. Combining Activated Carbon Adsorption and CO2 Carbonation to Treat Fly Ash Washing Wastewater and Recover High-Purity Calcium Carbonate. Water 2024, 16, 2896. https://doi.org/10.3390/w16202896
Chen W, Chen Y, Wang Y, Zhao N. Combining Activated Carbon Adsorption and CO2 Carbonation to Treat Fly Ash Washing Wastewater and Recover High-Purity Calcium Carbonate. Water. 2024; 16(20):2896. https://doi.org/10.3390/w16202896
Chicago/Turabian StyleChen, Weifang, Yifan Chen, Yegui Wang, and Na Zhao. 2024. "Combining Activated Carbon Adsorption and CO2 Carbonation to Treat Fly Ash Washing Wastewater and Recover High-Purity Calcium Carbonate" Water 16, no. 20: 2896. https://doi.org/10.3390/w16202896
APA StyleChen, W., Chen, Y., Wang, Y., & Zhao, N. (2024). Combining Activated Carbon Adsorption and CO2 Carbonation to Treat Fly Ash Washing Wastewater and Recover High-Purity Calcium Carbonate. Water, 16(20), 2896. https://doi.org/10.3390/w16202896

