Next Article in Journal
Towards Hydraulic Design Optimization of Shaft Hydropower Plants: A 3D-CFD Application Based on Physical Models
Previous Article in Journal
Assessment of the Health Status of Whitefish (Coregonus lavaretus Linnaeus, 1758) and the Quality of Its Habitat in Lake Sevan (Armenia) Using a Multi-Biomarker Approach
 
 
Font Type:
Arial Georgia Verdana
Font Size:
Aa Aa Aa
Line Spacing:
Column Width:
Background:
Article

Which Fish Predators Can Tell Us the Most about Changes in the Ecosystem of the Pomeranian Bay in the Southwest Baltic Proper?

by
Jarosław Dąbrowski
1,*,
Beata Więcaszek
2,
Adam Brysiewicz
1 and
Przemysław Czerniejewski
3
1
Institute of Technology and Life Sciences—National Research Institute, 05-090 Raszyn, Poland
2
Department of Hydrobiology, Ichthyology and Biotechnology of Reproduction, West Pomeranian University of Technology in Szczecin, 71-550 Szczecin, Poland
3
Department of Commodity, Quality Assessment, Process Engineering and Human Nutrition West Pomeranian University of Technology in Szczecin, 71-550 Szczecin, Poland
*
Author to whom correspondence should be addressed.
Water 2024, 16(19), 2788; https://doi.org/10.3390/w16192788
Submission received: 4 September 2024 / Revised: 26 September 2024 / Accepted: 27 September 2024 / Published: 30 September 2024
(This article belongs to the Section Oceans and Coastal Zones)

Abstract

The results of our preliminary studies indicated that the diets of predatory fishes can be bioindicators of faunistic changes in ecosystems and indirectly of changes taking place in aquatic environments in the Pomeranian Bay. We examined the diet composition of top predators Gadus morhua, Sander lucioperca, Perca fluviatilis, and the mesopredator Neogobius melanostomus. The diet composition of the perch, pikeperch, and round goby in the Pomeranian Bay was analyzed for the first time. Our findings indicated that perch, an euryphagous species, is the best potential bioindicator because it is present in the area studied most of the year and has a low to moderate feeding index (FI). Baltic cod, also an euryphagous species, could be a good bioindicator in the areas where it is abundant and occurs frequently, but not in the Pomeranian Bay, where it is caught mainly in the fall. Round goby, which is present in the area studied and had a low FI, is a stenophagous species that preys mainly on benthic species, while pikeperch had a very high FI and the least number of prey species in its diet. The results of trophic interaction analysis among the predators analyzed and their non-native/invasive prey are also provided.

1. Introduction

Aquatic ecosystems can be affected by climate change and stressors of anthropogenic origin, including pollution, intensification of transport, commercial fishing, eutrophication, and hydrotechnical constructions [1,2,3,4,5]. Coastal fish communities are also increasingly impacted by habitat degradation, recreational fishing, boating, food web interactions, and hazardous substances [6], while water warming and freshening in the future will also exert additional stress on coastal marine systems [7]. The occurrence of alien or invasive aquatic species, which could be an effect of the stressors mentioned above (mainly from the intensification of marine transport and climate warming), is another important challenge for environment stability [2,8]. Ship ballast water is recognized as one of the primary transport vectors for the global transfer of aquatic organisms and is now regarded as the major vector of introductions of non-indigenous species (NISs) [9,10,11].
Using fishes for environmental monitoring has a relatively long history, for example, Sweden and Finland began using them in the 1960s and 1970s, but these investigations focused on chemical contamination and biochemical analyses of fish tissues [12,13,14,15]. More recently, scientists have found that predatory fish can be used as living devices for sampling organisms co-occurring with them because their diet should include the taxa of prey available to them, modified by environmental conditions [16]. Fish stomach content is a compelling data source that can provide information about predator diets, prey fish distribution, predator–prey preferences, and changes in diets over time. Predatory fishes, which are at the apex of the trophic pyramid, indicate more or less clear changes in the environment through changes in the frequency and composition of diet components [16,17,18]. It is a comparatively easy method for monitoring long-term environmental changes, especially when using commercially important fish species [19].
When climate change is considered, ocean warming can increase metabolic costs within food webs for predators. Previous studies have demonstrated that this stressor can alter the structure and drive the collapse of marine trophic pyramids. Climate change affects aquatic environments, creating new food webs, which can be observed in predator diets. Yet, surprisingly, the impacts of climate change on predator diets remain poorly understood [20,21,22].
Diet analysis of piscivorous fishes like Atlantic cod, Gadus morhua, is an accepted bioindicator of ecosystem change, for example in the St. Lawrence Bay area. Highly significant changes in cod-consuming euphausiids and Atlantic herring would need to be included in the development and interpretation of ecosystem-based management models for this ecosystem [19]. Another species, the Greenland halibut, Reinhardtius hippoglossoides, was used as a bioindicator of environmental changes in the waters surrounding Greenland. Increased water temperature resulted in the migration of Atlantic cod toward colder waters, resulting in the decrease in cod predation pressure on Pandalus spp. shrimp, on which Greenland halibut started to feed [23,24]. Coastal predatory fishes are also of key importance for provisioning ecosystem services in the Baltic Sea [6]. Changes in the cod diet in the southern Baltic Sea [25] were caused by a long period without inflows of saline waters from the North Sea in the 1980s, and cod started to feed intensively on sprat, Sprattus sprattus, because of a lack of bottom invertebrate prey, the abundance of which depends on saline water inflows. In addition, according to many sources, European perch is commonly used as an indicator species in environmental monitoring programs because it is a key species in coastal fish communities in the Baltic Sea [5,6,26,27,28,29].
The epicontinental, enclosed, non-tidal Baltic Sea is one of the largest brackish water areas in the world, with a surface area of about 415,266 km2. It is a shallow sea, with a maximum depth of 460 m and a mean depth of 60 m [30]. The Pomeranian Bay in the southwestern Baltic Proper (Bornholm Basin) is a large, shallow basin off the Polish and German coasts with a mean depth of 13 m [31]. Salinity at the bottom layers ranges between 7.2 and 7.6 (average 7.4), while at the surface layers its range is between 3.9 and 7.3 (average 6.2). Water temperature in the bottom layers ranges from 7.0 to 22.3 °C (average 16.0 °C), while the surface layers range between 7.8 and 23.4 °C (average 16.4 °C) [32]. The Pomeranian Bay region has riverine water input and water exchange with adjacent open seawaters (Beszczyńska-Möller, 1999) [33]. There are 60 species of fishes and lampreys (Więcaszek et al., 2023) [34]. Top predators in the Pomeranian Bay include Baltic cod, G. morhua L., which is a typical marine species, while pikeperch, Sander lucioperca (L.), and European perch, Perca fluviatilis L., are freshwater fish species that also inhabit brackish waters [35]. The mesopredator round goby, Neogobius melanostomus (Pallas, 1814), one of the most wide-ranging invasive fishes on Earth, is a euryhaline species that can inhabit both freshwater and saline environments [36].
The hypothesis of our study is that predatory fish diets can be bioindicators of faunistic changes in ecosystems, and thus, they are indirectly bioindicators of changes occurring in aquatic environments. If the hypothesis is true, the question is which species of predatory fishes in the Pomeranian Bay—Baltic cod, European perch, pikeperch, or round goby, which all occur more or less permanently in this area—can tell us the most about environmental changes in the area. The additional goal of this study was to identify trophic interactions among these predators and their prey of non-native origin.

2. Materials and Methods

Material for this study was collected from the Pomeranian Bay (ICES IIId, subdivision SD 24). In the first phase of surveys (2012–2014), fishes were collected during commercial fish species monitoring surveys conducted from RV SNB-AR-1 with trawls (mesh size 10–20 mm) at depths of 5.0 to 12.8 m. Fishing routes (A, B, C, F, G, R, V, W, and Z) covered the area of 53°55′ N–54°15′ N and 14°15′ E–14°35′ E. In the second phase of surveys (2018–2019), fishes were collected during commercial catches (vessel DZI-97) as by-catch. The commercial fishing vessel also used trawl nets (30 mm mesh size in the cod end) in the area of 53°57′ N–54°10′ N and 14°19′ E–14°47′ E at depths of 5.5 to 12.0 m (Figure 1; Table S1).

2.1. Material

Catches were conducted from June to December, three times a year (once in summer, fall, and winter). After preliminary analyses of feeding index (FI), species abundance in the study area, and prey taxa spectrum, the diet of the European perch was chosen for further detailed analysis. Perch catches were conducted in 2012–2014 three times a year and in 2018–2019 only in September and November, because in winter the FI for perch was the highest.
Studies of pikeperch and round goby were concluded after two research years—2012 and 2013. Historical material from 2007 for round goby was also included in this study. Studies of Baltic cod were concluded in 2014; however, examinations were repeated in September 2019 (25 specimens) prompted by fishers reporting a high abundance of the invasive Harris mud crab, Rithropanaepeus harrisii, in cod stomachs in the study area.
A total of 1061 fishes (Baltic cod, pikeperch, European perch, and round goby) were examined, including 467 specimens of perch, 176 specimens of cod, 143 specimens of pikeperch, and 95 specimens of round goby. The characteristics of the species examined and the times of the catches are presented in Table 1 and Table 2.

2.2. Methods

In the laboratory, the TL and SL of the fish specimens were measured to the nearest 0.1 cms. The fishes were also weighed to the nearest 0.1 g. Next, the fishes were dissected ventrally, and the alimentary tract (esophagus and stomach) content was examined under a Nikon SMZ 1000 zoom stereo microscope with a magnification of 0.5–8× and a Motic K-Series with a magnification of 6–31×. Prey organisms were identified to the lowest possible taxonomic level, which was generally to the species level, except for a few prey items that were highly digested. Pieces of food items were weighed and measured (if possible), and otoliths were collected to confirm prey fish identification [37]. The taxonomical keys of Fish and Fish [38], Hayward and Ryland [39], and Barnes [40] were used to identify the prey.
The number of round goby fish in the stomachs of perch was counted. If possible, the TL of the round goby was measured. When the caudal fins were destroyed and only SL was measured, TL was reconstructed with the equation of the correlation between the SL and TL. Similarly, when only otoliths (sagittae) were found, TL was reconstructed using the equation of correlation between otolith length and round goby TL (Więcaszek et al., 2020) [36]. In 46 cases, single otoliths from round gobies were found (or only single otoliths could be extracted from gobies’ skulls), and in 30 cases, two otoliths each from round gobies (left and right) were recovered. The correlation between perch and round goby prey TL was also calculated, and its statistical significance was verified with Student’s t-test.
The following indices concerning the food of fishes were determined [41,42]:
-
Feeding index (FI)—the coefficient that determines the fraction of empty stomachs from all stomachs examined in percentage shares (in length classes) is calculated as follows:
F I = S E S × 100 ,
where SE—number of empty stomachs, S—number of all stomachs; in our study, empty stomachs were defined as the absence of any organic matter in the alimentary tracts;
-
The frequency of prey occurrence in the stomachs of predators (N) is calculated as follows:
N % = n i n × 100
where (in particular length classes of predators) N—percentage contribution of prey taxon ni—number of stomachs of predatory fish species containing i-th prey species, n—number of stomachs of all predatory fish species;
-
The percentage index of prey weight in the stomachs of predatory fish species (W) is calculated as follows:
W % = W i W × 100
where W—weight of all prey in stomachs of predatory fish species and Wi—weight of i-th prey in particular predatory fish species stomachs.
The composition of the diets was subjected to statistical inference in the R environment [43]. To analyze the overlap of the predator feeding niches and to assess similarity and to compare diet composition among the species and length classes, all taxa of prey were split into 13 groups of higher taxa (Table 3).
The overlap of feeding niches was calculated for the fish predators examined with the following formula:
α = ( p i a p j a ) / [ ( p i a 2 ) ( p j a 2 ) ] 2
where pia—weight contribution of food items in the feed of i-th predator and pja—weight contribution of food items in the feed of j-th predator [44,45,46]. Value α oscillates between 0 (totally different niches, not overlapping) and 1 (niches totally overlapping) [47].
In the analysis of similarity concerning the diet composition of all predators, and, separately for perch among the length classes, Ward’s hierarchical agglomerative clustering method and Euclidean distance were used in R [43,48].
Additionally, graphical analysis proposed by Costello [49] with Amundsen’s amendment [50] was performed to assess the proportion of food items in the perch diet. This method consists of a two-dimensional representation of prey percentage contribution of weight on the y axis and the frequency of occurrence on the x axis.
A comparative analysis of perch diet according to size class was performed to check for the possible influence of body size on feeding habitats and to determine whether it was a food generalist or specialist.
To check the relationship between the frequency of perch prey and predator length class, sex, and season of the year, the higher taxa and bulk taxonomic groups of prey were analyzed with the RcmdrPlugin. HH packet [51]. Comparison charts among the years of study for the higher prey taxa were performed with the ggstatplots package.
The diets of European perch and the remaining fish predators were also used to identify trophic interactions among them and their prey of non-native/invasive origin in the area studied.
In order to explain the influence of physicochemical variables of water downloaded from the website https://www.satbaltyk.pl [52] accessed on 16 September 2024, the FactoMineR package was used [53]

3. Results

3.1. Analysis of All Predators Diet

A total of 29 prey species were identified in the diets of all predatory fishes, while some prey species from higher taxa, such as Polychaeta, Mysidacea, Amphipoda, Decapoda, Mollusca, Clupeidae, and Pleuronectidae, were unidentified (Table 3). The highest number of prey species was found in the Baltic cod diet (17 species and 5 unidentified species from higher taxa), followed by the European perch diet (15 species and 2 unidentified species from higher taxa), the round goby diet (9 species and 2 unidentified species from higher taxa), and the pikeperch diet (8 species and 2 unidentified species from higher taxa) (Tables S2 and S3).
Table 3. Higher taxonomic groups of prey.
Table 3. Higher taxonomic groups of prey.
LpNameNo. of
Species
Characteristics
1Polychaetes (Polychaeta)At least oneAll taxa from this class (most often undetermined)
Crustacea:
2Mysids (Mysidacea)3Neomysis integer, Praunus flexuosus, Mysis mixta; Mysidacea indet *.
3Isopods (Isopoda)1Idotea sp.
4Amphipods (Amphipoda)6Corophium volutator, Echinogammarus ischnus, Gammarus duebeni, Gammarus locusta, Gammarus zaddachi, Pontogammarus robustoides; Amphipoda indet.
5Decapods (shrimps)(Decapoda)3Crangon crangon, Palaemon elegans, Rhithropanopeus harrisii
6Molluscs (Mollusca): (Bivalvia and Gastropoda)5Cerastoderma glaucum, Mytilus sp., Mya arenaria, Macoma balthica, Peringia ulvae; Mollusca indet.
Actinopterygii:
7Clupeids (Clupeidae)2Clupea harengus, Sprattus sprattus, and Clupeidae indet.
8European smelt Osmerus eperlanus (Osmeridae)1Osmerus eperlanus
9Sand eels (Ammodytidae)2Ammodytes tobianus and Hyperoplus lanceolatus
10Round goby Neogobius melanostomus (Gobiidae)1Neogobius melanostomus
11Flatfishes (Pleuronectidae)1Platichthys flesus and Pleuronectidae indet.
12Small pelagic fishes—SPF O. eperlanus + clupeids
13Small benthic fishes—SBF Sand eels + N. melanostomus + flatfishes
Others4Very rare taxa, recorded in single samples or in single predator stomachs; not included in the analysis: Amphibalanus improvisus, Zoarces viviparus, Sander lucioperca, Pomatoschistus minutus
The tree diagram of diet similarity among all four predatory fishes is presented in Figure 2. The round goby feeding niche overlaps minimally with the other predatory species. The pikeperch diet also stands out from both those of the round goby (to a greater extent) and perch and cod (to a much lesser extent). This was confirmed by the results of analysis based on the trophic groups of fishes (Table 4), which showed the similarity of the round goby diet composition compared to that of Baltic cod and pikeperch as close to null, while compared to European perch it was 0.06. The highest similarity (0.65) of diet composition was found between cod and perch. The similarity between the cod and pikeperch diets was much lower (0.32), while that between pikeperch and perch was very low (0.22).
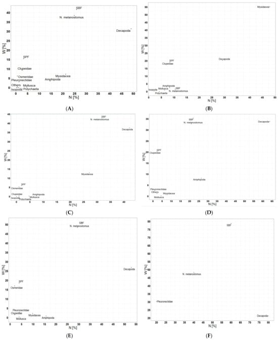
After analyzing FI (Table 5), the frequency of occurrence of species in the area studied, and the prey taxa spectrum (Tables S2 and S3), the diet of perch was chosen for further detailed analysis. Perch had a moderate FI (average 35.3%, with the highest ranges in winter), and it is present in the Pomeranian Bay during most of the year. Figure 3A, which presents the diet composition of all the perch specimens examined, indicates that, as a species, perch did not specialize in feeding on a few taxa of prey, nor was it as an opportunistic species that consumes any prey encountered. It is rather an “intermediate” species with a relatively broad spectrum of prey (17 taxa).
Baltic cod had the lowest FI values (4.3%) with the broadest spectrum of prey taxa (22) (Table 5 and Table S2). Nonetheless, it occurs in the Pomeranian Bay mainly in August and from September to December, as is illustrated in Figure 4, which shows the efficiency of cod specimens per hour of trawling in 2011–2019. Round goby, which had a low FI (13.9%) (Table 5) and is present in the Pomeranian Bay during most of the year [54], showed a relatively narrow prey spectrum (11 taxa) limited mainly to Mollusca (Table S2). Pikeperch had the highest FI (51.4%) with the relatively small number of 12 prey taxa (Table 5 and Table S2).

3.2. Analysis of the European Perch Diet

A detailed distribution of perch length classes (TL) is presented in Figure 3. The most numerous were perch of 15–25 cm TL (over 65% of the sample), while the least numerous were the largest perch (1.5% of the sample).
The perch diet in 2012–2015 and 2018–2019 is presented in Figure 4 and in Table S3. In the whole sample, the most frequent prey was decapods, followed by small benthic fishes (SBFs), round goby, mysids, and amphipods. In terms of the weight ratio, SBF and decapods predominated markedly. Isopods, polychaetes, and other species were the least important (Figure 3A).
The strongest distinctiveness (both in prey taxa frequency of occurrence and weight proportion) was noted in the smallest perch specimens and then, to a lesser degree, in the largest ones (Figure 5). In perch from the 2nd to 4th length classes, close similarity was noted both in the prey taxa frequency of occurrence (Figure 5A) and weight contribution (Figure 5B). The similarity between the largest perch and the medium-sized perch (2nd to 4th length classes) was much closer to the smallest ones.
Among the smallest perch (10.0–14.9 cm) (Figure 3B), the most important diet component was mysids (both in frequency and weight ratio), but their contribution decreased as fish length increased. Decapods were the second most important (both in weight ratio and frequency), while their importance increased with perch length. The SBF contribution (with round goby and pleuronectids) was low but increased with perch length. The least important diet components were isopods, polychaetes, and mollusks. There was a high contribution of small pelagic fishes (SPF), that is, clupeids and smelt, in the smallest perch, but this decreased markedly in the next length class, then slowly increased in significance up to the 4th length class. For perch 15.0–19.9 cm of TL (Figure 3C), the most important diet components were decapods, then SBF and round goby (both in weight ratio and frequency) and mysids (but only in frequency). The least important were polychaetes, clupeids, mollusks, and amphipods. For perch 20.0–24.9 cm TL (Figure 3D), the most important diet components were decapods, then SBF and round goby (both in weight ratio and frequency), and then amphipods (but only in frequency). The least important were mollusks, mysids, and others. For perch 25.0–29.9 cm TL, the most important diet components were decapods and then SBF and round goby (both in weight ratio and frequency), while the least important were mollusks, mysids, and clupeids (Figure 3E). For the largest perch (Figure 3F) (30.0–34.9 cm TL), the most important prey was SBF, then round goby (both in weight ratio and frequency), while decapods were found most frequently. The least important were pleuronectids.
Plots of interaction among length class, study season, and predator sex for higher prey taxa and the weight contribution to perch diets for invertebrate and fish prey are illustrated in Figures S1 and S2, respectively. The analysis of weight contribution in the seasons of the year studied revealed that the highest contributions of all groups of invertebrates were in the summer (Figure S1). Decapods (Figure S1A1), a very important taxon in the perch diet, were present in all perch length classes from summer to winter (Figure S1A2), with the highest weight in stomach content noted in summer. Perch females strongly dominated the sex distribution, followed by males and juveniles (Figure S1A3). Mysids, the second most important taxon in the perch diet, were present in the stomach content of perch from the 1st to 4th length classes (Figure S1B1) from summer to winter with a distinct peak in summer (Figure S1B2), and they were recorded more frequently in males (Figure S1C3). Mollusks were present in perch from the 1st to 4th length classes (Figure S1C1) and were recorded in diets in summer and autumn (Figure S1C2), with the highest mass noted in the stomach content of juveniles and females (Figure S1C3). Amphipods were recorded in perch diets in fish from the 1st to 4th length classes (the highest biomass was recorded in the 3rd length class) (Figure S1D1) in summer, autumn, and winter (the highest biomass was recorded in fall) (Figure S1D2), with the highest prey weight noted in the stomachs of females and males (Figure S1D3).
Prey fish species were recorded most often in the summer and fall, while in winter, only round goby and SBF were noted. Clupeids (Figure S2A1–A3) were present in perch mainly in the 3rd length class exclusively in summer and mainly in the stomachs of females. Round goby fish (Gobiidae) (Figure S2B1–B3) were present at similar levels from summer to winter, more frequently in females and, to a lesser extent, in males. Pleuronectids (Figure S2C1–C3) were present in the stomach content only of female perch in the summer and fall. SBF (including Gobiidae and Pleuronectidae) (Figure S2D1–D3) were present mainly in the stomachs of females from summer to winter. SPF (including clupeids and smelt) were recorded in the perch diet in the summer and fall, mainly in the stomachs of juvenile and female perch (Figure S2E1–E3).
A comparison of the weight contribution of higher prey taxa in the perch diet during this study is presented in Figure S3. In the case of mollusks (Figure S3A), a continuous decline in the mean weight of Mollusca was noted from 2014 to 2019. Mysids (Figure S3B) were present in the perch diet in 2012–2014 and in 2019, with the highest mean weights in 2013 and in 2014, while the lowest weight was recorded in 2019. Amphipods (Figure S3C) were recorded in perch stomach content in 2013–2014 and 2018–2019, with the highest mean weight noted in 2018 and the lowest in 2019. Decapods (Figure S3D) were the most frequent prey taxa of perch and were recorded in 2012–2014 and 2018–2019, with the highest mean weight in 2012 and in 2013, while the lowest was in 2014 and in 2018. Round goby (Figure S3E) was recorded in 2012–2014 and 2018–2019. The highest mean weight of round goby was noted in 2013, while the lowest was in 2018. Pleuronectids (Figure S3F) and SPF (Figure S3G) were found only in 2012 and 2014. SBF (Figure S3H) trends were the same as those of round goby (Figure S3E).
From the PCA chart (Figure S4) explaining a total of almost 99% of the variation, it is clear that salinity positively affects the abundance of Neogobius melanostomus, Pleuronectidae, Clupeidae, Amphipoda, empty stomach, and also Decapoda. In addition, the temperature has a positive effect on Mollusca and Mysidacea. In contrast, the content of O2 (mg), PO4, NO3, and NO2 (taken together) in water negatively affects the abundance of Mollusca.

3.3. Relationships in the Food Web among Predatory Species and Their Invasive/Alien Prey Species

Relationships in the food web among predatory species and their invasive/alien prey species are presented in Figure 6. In this food web, in addition to short predator–prey food chains, there are also long, three-node food chains through the round goby. Seven alien species were recorded as follows: soft-shell clam, Mya arenaria (Mollusca and Bivalvia); rockpool prawn, Palaemon elegans; Harris mud crab (Crustacea and Decapoda); barnacle, Amphibalanus improvisus (Crustacea and Cirripedia); Pontogammarus robustoides; Echinogammarus ischnus (Crustacea and Amphipoda); and round goby (Actinopterygii and Gobiidae).
All the top predators in this study had round goby in their diets, and it was most frequent in perch alimentary tracts, followed by those of Baltic cod. It was noted least frequently in the pikeperch diet and was the only invasive species found in the diet of this species.
During the five years of study, in the diet of 75 perch, 154 specimens of round goby were recorded both as whole fish or only as otoliths (76 sagittae). The distribution of round goby numbers and their TL range in perch length classes by study year are illustrated in Table 4. Round goby was present in all perch length classes. The TL of prey ranged from 1.46 cm to 8.28 cm. The most round goby was noted in perch in the 15.0–19.9 cm TL class—35.1%; they were also numerous in the subsequent 20.0–29.9 cm TL class—approximately below 30%. The least numerous round goby was in the smallest and largest perch (approximately 6.4% in total). The most round goby was recorded in the perch diet in 2013 (98 individuals), and then their number decreased to 4 in 2018 and increased to 26 in 2019. The largest round goby (mean 5.79 cm TL) was noted in 20–24.9 cm perch and then in 30–34.9 cm perch (mean 5.32 cm TL), while the fewest round goby was noted in the smallest perch (mean 2.06 cm TL). The correlation between perch and round goby TL was not statistically significant.
The perch diets also included single specimens of the alien decapod rockpool prawn, which was noted once in 2013, 2014, and 2019, while Harris mud crab was noted only in two stomachs in 2019. Single specimens of soft-shell clam were noted in 2018 and 2019, while the barnacle was found only once in fall 2012.
In addition to round goby, the Baltic cod diet included the following alien crustaceans: amphipods (E. ischnus and P. robustoides), the decapod rockpool prawn, and soft-shell clam. Additional studies in 2019 revealed the presence of the Harris mud crab in 90% of Baltic cod stomachs (from one to five specimens per fish).
The analysis of the round goby diet indicated the presence of single specimens of soft-shell clam, barnacle, and Harris mud crab.

4. Discussion

4.1. New Tools for Measuring Ecosystem Dynamics Using Analyses of Aquatic Predators Diet

Recently, the rapid pace of environmental change has forced the development of a new suite of tools for measuring ecosystem dynamics. Knowledge about factors influencing trophic interactions is fundamental to understanding food web dynamics. As sentinel species, marine top predators can provide insight into ecosystem functioning and predict future change. An understanding of trophic links in marine food webs is important for identifying the prey resources used by predators and important prey that might affect their survival and resource partitioning [16,26,55,56].
Predators used for the bio-monitoring purposes should demonstrate biological traits such as euryphagous feeding habits, low FI, constant and sufficient abundance in areas of study, and they should not exhibit highly migratory behavior. Therefore, in our preliminary study, we tried to answer the question of which predatory fish species in the Pomeranian Bay could provide the most information on environmental changes in the area based on their diet. We tried to identify trophic links of predatory fishes to improve our understanding of marine ecosystem dynamics in response to the different stressors in the Pomeranian Bay. Climate change, inflows of saline waters from the North Sea, the occurrence of alien/invasive species, or pollutants that cause the extinction of sensitive species are such stressors [57].
Among the species studied, the Baltic cod, an omnivorous species [41,58,59,60], with the most numerous prey in its diet and a low FI in this study, seemed to be the best bioindicator. What also seemed to be important was that cod can readily change its diet in response to various changes in the environment [19]. However, in the Pomeranian Bay, it has been caught rarely in recent years and mainly in the fall. Its contribution to the research catches was low, oscillating between 25 and 35% of hauls [54]. Further, on 22 July 2019, the European Commission approved emergency measures to protect eastern Baltic cod and established a prohibition to target cod in ICES SDs 24–26 of the Baltic Sea, which remains in force today [61].
Round goby, which is present in the Pomeranian Bay almost throughout the year and had a low FI in this study, seemed to be suitable for monitoring purposes in this area but only for the benthic zone because it preys mainly upon invertebrates, especially Mollusca [62,63]. Pikeperch had the lowest number of prey in its diet and the highest FI. To date, there are very few data on the diet of subadult and adult pikeperch in the Baltic Sea. Studies on this species in Kiel Bay [64] revealed at least 11 prey taxa in its alimentary tracts; interestingly, round goby was a major food taxon during the study in 2011–2013. In our study, smelt was the dominant species, with round goby as the next most frequent prey item in the pikeperch diet.
Thus, the most suitable species for monitoring purposes in this area was perch, a species with a wide prey spectrum and moderate FI values that occurs almost throughout the year in the Pomeranian Bay, with presence in 88–97% of research hauls [54]. The perch pelagic larval phase is short at just a few weeks, and later stages do not appear to migrate long distances [65]. Perch is an omnivorous predator that can feed on zooplankton throughout its life span or turn to zoobenthos and then to the piscivorous stage, with some cases of cannibalism noted [66,67,68]. According to Jacobson et al. (2019), the first diet shift of Baltic perch from zooplankton to macroinvertebrates occurs at lengths of 4–7 cm, while the second diet shift from macroinvertebrates to fishes occurs at lengths of 5–25 cm; however, ref. [67] noted fishes in the diet of perch in the northern Baltic at a size of 3.8 cm TL. In the current study, prey fish (round goby and clupeids) were recorded in the alimentary tracts of the smallest perch (10.0–14.9 cm TL); however, in this length class, mysids dominated in the perch diet. With increased perch length, the contribution of mysids decreased along with increased amphipod significance in perch 20.0–29.9 cm TL. Pleuronectids appeared in perch 20–24.9 cm TL. Round goby and pleuronectids dominated in the diets of the largest perch (30.0–34.9 cm). In general, however, decapods, of which Crangon crangon was the most frequent and was noted in 48.7% of perch stomachs, were the most important diet component in perch studied, especially in perch of 15 cm TL (mainly in frequency of occurrence). Jacobson et al. [26] confirm the significance of macroinvertebrates in the perch diet (10.0–25.0 cm TL), indicating that large perch feed on a mix of small, medium, and large prey. The effect of perch food on their growth rate was described, for example, by Hansson [69]. In this study, in larger perch (from 24.9 cm TL), the most important prey by weight contribution was round goby. In 2018–2019, a few individuals were found in the perch diet (4 and 26, respectively); the results of monitoring surveys conducted by Więcaszek et al. [36] showed drastic decreases in round goby abundance in the Pomeranian Bay in these years, probably stemming from the very low proportion of females in the population studied in 2017–2018.
The number of all recorded prey taxa in Jacobson et al. [26] was 14, while Mustamäki et al. [67] found 42 taxa in the perch diet. The number of prey in a predator’s diet is highly significant in its role as a bioindicator.

4.2. Trophic Interactions among the Predators and Their Prey of Non-Native Origin

Which food components in predator diets can tell us the most about the environment they inhabit, and possible environmental changes in the years of this study are discussed below. Among different factors that can alter food web structure, the occurrence of NIS is a substantial one. The spread of invasive species contributes additional complexity to food webs, altering trophic linkages [70,71]. During the establishment phase, invaders may change previously important trophic pathways or create new ones. While predatory NIS in aquatic environments are studied widely, their role as prey items for native predators is often overlooked [72]. Nearly all NIS are eventually preyed upon by native predators; in turn, newly abundant prey items can increase predator fitness, as is demonstrated with native fish predators and the invasive round goby in the Laurentian Great Lakes [73]. Sometimes the increased resource leads to an increase in predator populations and results in increased predation on native species [74]. In addition, prey naivety toward invasive predators has been widely studied and reported [75], but far less attention has focused on predator naivety, although similar naivety may occur especially toward novel prey, which may result in low predation pressure on novel species [76].
Currently, over 120 non-native aquatic species are recorded in the Baltic Sea, and approximately 80 of them have established viably reproducing populations in some parts of the Baltic [77]. Seven alien/invasive species from about 30 taxa identified were found in the diets of the predators in the present study. All top predators in this study preyed on the invasive round goby. The recent successful establishment of this species in the Baltic Sea poses questions about its own trophic niche, competition with native benthivores, how commercially important fish species could be affected, and how the round goby creates novel trophic links within the food web (Rakauskas et al., 2020) [78]. Recent studies showed that the round goby plays the roles of predator, competitor, and prey [79]. In this study, round goby was both prey and predator, but it was not a competitor for the species studied. In the Baltic Sea, it has become a significant component of the diets of the following piscivorous fishes: European perch [5,78,80,81,82,83]; pikeperch; Baltic cod; shorthorn sculpin, Myoxocephalus scorpius; turbot, Scophthalmus maximus; brill, Scophthalmus rhombus; and pike, Esox lucius. It is also preyed upon by piscivorous birds [62,84]. Round goby in Latvian waters of the Baltic Sea dominated the warm season (spring–fall) diet of piscivorous fishes, for example, Baltic cod and perch [62]. In the present study, round goby was found in the alimentary tracts of perch mostly in late summer and fall (September–October).
All other alien species found in the alimentary tracts of predators (perch, cod, and round goby) in the current study, like soft-shell clam, barnacle, A. improvisus, and Chaetogammarus ischnus (currently Echinogammarus), are considered invasive in the Baltic Sea [85,86,87]. Soft-shell clam appeared in the Baltic Sea approximately 700 to 750 years ago [88,89,90], and despite this long period of time since its invasion, [87] claims that this species can compete with mollusks of similar ecology, like Macoma balthica and Cerastodermum glaucum. The sessile barnacle, a nineteenth-century invader, is now one of the few species that builds stable biogenic structures, which can be assumed to be a bioindicator of climate change in the Baltic Sea, because available evidence suggests that both larval stages and juvenile to adult stages are likely to respond positively to the warming and freshening of coastal areas that are predicted by near-future climate change models since the species has a broad salinity tolerance, albeit with a preference for brackish conditions (Nasrolahi et al., 2016; Leppäkoski and Olenin 2000) [7,91].
Pontogammarus robustoides is an example of an alien species that is an effect of anthropogenic stressor activity, as it was introduced intentionally to the aquatic environment as a valuable food for fishes in, among other areas, the Curonian Lagoon. From there, it has spread along the Baltic coast [92], including the coastal part of the Pomeranian Bay.
Another NIS in the diets of the fishes studied was the Harris mud crab, one of the most successful brachyuran invaders in the world [93], whose invasion in the Baltic Proper presents an opportunity to investigate how a novel prey item becomes part of native predators’ diets because there are no native crab species in this area [72,94]. The first confirmed public observations of the mud crab in fish stomachs were noted in 2011 in the Archipelago Sea (Northern Baltic), and it was found most frequently in perch digestive tracts (Puntilla-Dodd et al., 2019; Luonnonvarakeskus 2014) [72,95]. In the present study, a single specimen of this species was recorded in the perch diet in 2019, but earlier, single mud crab specimens were only noted in the round goby diet in 2007. In addition, it was found in the diet of Baltic cod in high abundance, but only in 2019, and this was the first report to date of this data in the available literature.
To date, no negative effects of the appearance of rockpool prawn have been noted in Poland; however, it has replaced the native shrimp, Palaemon adspersus, in many sites in the Puck Bay and in the Vistula Fens [96]. This species tolerates temperatures higher than those most suitable for P. adspersus, and, as opposed to the latter, it is able to survive in many different habitats because of its higher physiological tolerance, dispersal ability, smaller size, and higher mobility [97,98].
In turn, the common eelpout, Zoarces viviparous, noted in this study in perch and pikeperch alimentary tracts (only in 2013), is a cold-water relict species that can indicate climate change. The common eelpout, a native eurythermal species and a nonmigratory inhabitant of shallow areas of the coastal zone, is one of key species presently affected by warming trends. A recent study provided further evidence that variations in eelpout abundance were associated with sea temperatures [99]. Common eelpout was noted in predator alimentary tracts only in 2013, and this may be proof of the worsening state of the Baltic Sea due to climate warming. In the 1990s, the eelpout population was abundant throughout the Baltic Sea, and it was used as a sentinel species in monitoring emissions of harmful substances [100,101]. Since 2005, the abundance of this species has decreased markedly [54]. The large scientific knowledge base and considerable experience of long-term chemical and biological effects monitoring and specimen banking make eelpout a suitable species for Good Environmental Status in the Baltic and North Seas [102].
Regarding the biological effects of global warming, it is important that perch exhibit a unique sensitivity to temperature and is relatively specialized for specific water depths and temperature ranges. Predation success increases with temperature, and this effect is more pronounced in perch than in other co-occurring piscivores [81]. Rowiński et al. [66] report that environmental warming can lead to increased body depth in young perch, which, with associated differences in swimming dynamics and niche utilization, may be among the effects that fishes will face in the future that will affect fitness, population viability, and species displacement.
We concluded that the marine organism food web is subject to persistent changes connected with different environmental stressors that are not necessarily linked to fishing activities. What is important for knowledge about the sustainable management of ecosystems is that fish diet analyses also provide an opportunity to estimate abundance and assess the condition of organisms that are not fished commercially because, in practice, there are no programs to monitor noncommercial species [19]. Monitoring environmental changes through fish diet analyses should be a long-term, systematic process that continues for at least several decades in certain areas of research, bearing in mind that it is often ecosystem-specific.

5. Conclusions

  • The results of preliminary studies indicate that the European perch is the most suitable species for bio-monitoring faunistic changes in the coastal area of the Pomeranian Bay. Our findings suggest that in the Pomeranian Bay, annual sampling of European perch alimentary tracts offers a unique means of detecting changes in ecosystem functioning. In the current study, perch had a wide spectrum of prey, a moderate feeding index, and was present almost throughout the year in this area.
  • Seven alien/invasive species were found in the stomachs of the predators studied, which created new food webs (simple or more complex) in the Pomeranian Bay. All the top predators in this study preyed upon round goby.
  • The lack of sufficient information for fully understanding the life histories of species that are monitored in the Pomeranian Bay demands further research.

Supplementary Materials

The following supporting information can be downloaded at: https://www.mdpi.com/article/10.3390/w16192788/s1, Table S1: Fishing routes and navigational coordinates of vessels; Table S2: Diet composition of Baltic cod, pikeperch, and round goby; Table S3: Diet composition of all perch specimens in 2012–2014 and 2018–2019 with prey frequency of occurrence (N) and weight contributions (W); Table S4: Distribution of round goby numbers (N) in perch length classes and TL ranges in centimeters in perch stomach content by study year; Figure S1: Plot of interaction among length class, research season, and predator sex and higher taxa biomass in perch diets for invertebrate prey; Figure S2: Plot of interaction among length class, research season, and predator sex for higher fish prey taxa in perch diets; Figure S3: Comparison of higher prey taxa weight by study years. Figure S4. PCA graph for the average values of physicochemical variables of water and higher perch food taxa in 2012–2019.

Author Contributions

Conceptualization, J.D. and B.W.; methodology, B.W.; software, J.D.; validation, J.D., B.W., A.B. and P.C.; formal analysis, J.D.; investigation, J.D. and B.W.; resources, J.D. and B.W.; data curation, J.D. and B.W.; writing—original draft preparation, J.D. and B.W.; writing—review and editing, J.D., B.W., A.B. and P.C.; visualization, J.D.; supervision, B.W., A.B. and P.C.; project administration, B.W.; funding acquisition, B.W., A.B. and P.C. All authors have read and agreed to the published version of the manuscript.

Funding

This study was funded by the West Pomeranian University of Technology in Szczecin. It was an Internal Grant of Faculty of Food Science and Fisheriers; grant number is WNoZiR 15/2012.

Data Availability Statement

Dataset available on request from the authors.

Acknowledgments

We would like to thank Tomasz Podolski very much for his assistance in catching European perch.

Conflicts of Interest

The authors declare no conflicts of interest.

References

  1. Plesiński, K.K.; Filipczyk, J.M.; Bień, M.M.; Karadağ, M. Assessment of Migration Conditions for Fish Swimming through a Semi-Natural Fish Pass on the Nidzica River in Bronocice. J. Water Land Dev. 2023, 59, 54–65. [Google Scholar] [CrossRef]
  2. Holopainen, R.; Lehtiniemi, M.; Meier, H.E.M.; Albertsson, J.; Gorokhova, E.; Kotta, J.; Viitasalo, M. Impacts of Changing Climate on the Non-Indigenous Invertebrates in the Northern Baltic Sea by End of the Twenty-First Century. Biol. Invasions 2016, 18, 3015–3032. [Google Scholar] [CrossRef]
  3. Szymczycha, B. Submarine Groundwater Discharge to the Bay of Puck, Southern Baltic Sea and Its Possible Changes with Regard to Predicted Climate Changes. In Impact of Climate Changes on Marine Environments. GeoPlanet: Earth and Planetary Sciences; Zielinski, T., Weslawski, M., Kuliński, K., Eds.; Springer: Cham, Switzerland, 2015; pp. 61–73. [Google Scholar] [CrossRef]
  4. Jażdżewski, K.; Grabowski, M. Alien Crustaceans Along the Southern and Western Baltic Sea. In In the Wrong Place—Alien Marine Crustaceans: Distribution, Biology and Impacts; Galil, B.S., Clark, P.F., Carlton, J.T., Eds.; Springer: Dordrecht, Netherlands, 2011; pp. 323–344. [Google Scholar] [CrossRef]
  5. Almqvist, G.; Strandmark, A.K.; Appelberg, M. Has the Invasive Round Goby Caused New Links in Baltic Food Webs? Environ. Biol. Fishes 2010, 89, 79–93. [Google Scholar] [CrossRef]
  6. Olsson, J. Past and Current Trends of Coastal Predatory Fish in the Baltic Sea with a Focus on Perch, Pike, and Pikeperch. Fishes 2019, 4, 7. [Google Scholar] [CrossRef]
  7. Nasrolahi, A.; Havenhand, J.; Wrange, A.L.; Pansch, C. Population and Life-Stage Specific Sensitivities to Temperature and Salinity Stress in Barnacles. Sci. Rep. 2016, 6, 32263. [Google Scholar] [CrossRef]
  8. Hecky, R.; DePinto, J. Understanding Declining Productivity in the Offshore Regions of the Great Lakes. International Joint Commission. 2020. Available online: https://ijc.org/en/sab/understanding-declining-productivity-offshore-regions-great-lakes (accessed on 28 July 2024).
  9. Zatoń-Sieczka, K.; Błaszak, M.; Buśko, M.; Czerniejewski, P. Microorganisms’ Communities from Ballast Water Transferred into the Odra River Estuary. J. Water Land Dev. 2022, 54, 48–58. [Google Scholar] [CrossRef]
  10. Gollasch, S.; David, M. Ballast Water: Problems and Management. World Seas: Environ. Eval. 2019, 3, 237–250. [Google Scholar] [CrossRef]
  11. Adebayo, A.A.; Zhan, A.; Bailey, S.A.; Macisaac, H.J. Domestic Ships as a Potential Pathway of Nonindigenous Species from the Saint Lawrence River to the Great Lakes. Biol. Invasion 2013, 16, 793–801. [Google Scholar] [CrossRef]
  12. Sandström, O.; Larsson, Å.; Andersson, J.; Appelberg, M.; Bignert, A.; Ek, H.; Förlin, L.; Olsson, M. Three Decades of Swedish Experience Demonstrates the Need for Integrated Long-Term Monitoring of Fish in Marine Coastal Areas. Water Qual. Res. J. 2005, 40, 233–250. [Google Scholar] [CrossRef]
  13. Thoresson, G. Guidelines for Coastal Fish Monitoring; Gothenburg University: Gothenburg, Sweden, 1996. [Google Scholar]
  14. Vetemaa, M.; Sandström, O.; Förlin, L. Chemical Industry Effluent Impacts on Reproduction and Biochemistry in a North Sea Population of Viviparous Blenny (Zoarces viviparus). J. Aquat. Ecosyst. Stress Recovery 1997, 6, 33–41. [Google Scholar] [CrossRef]
  15. Jacobsson, A.; Neuman, E.; Thoresson, G. The Viviparous Blenny as an Indicator of Environmental Effects of Harmful Substances. Ambio 1986, 15, 236–238. [Google Scholar]
  16. Sturdevant, M.V.; Orsi, J.A.; Fergusson, E.A. Diets and Trophic Linkages of Epipelagic Fish Predators in Coastal Southeast Alaska during a Period of Warm and Cold Climate Years, 1997–2011. Mar. Coast. Fish. 2012, 4, 526–545. [Google Scholar] [CrossRef]
  17. Taylor, C.E.; Lauzon, R.; Davis, C.; Lee, V.; Dunlop, E.S. Regional Predatory Fish Diets Following a Regime Shift in Lake Huron. J. Great Lakes Res. 2024, 50, 102301. [Google Scholar] [CrossRef]
  18. Strungaru, S.A.; Nicoara, M.; Teodosiu, C.; Micu, D.; Plavan, G. Toxic Metals Biomonitoring Based on Prey-Predator Interactions and Environmental Forensics Techniques: A Study at the Romanian-Ukraine Cross Border of the Black Sea. Mar. Pollut. Bull. 2017, 124, 321–330. [Google Scholar] [CrossRef]
  19. Hanson, J.M.; Chouinard, G.A. Diet of Atlantic Cod in the Southern Gulf of St Lawrence as an Index of Ecosystem Change, 1959–2000. J. Fish Biol. 2002, 60, 902–922. [Google Scholar] [CrossRef]
  20. Durante, L.; Wing, S.; Ingram, T.; Sabadel, A.; Shima, J. Changes in Trophic Structure of an Exploited Fish Community at the Centennial Scale Are Linked to Fisheries and Climate Forces. Sci. Rep. 2022, 12, 4309. [Google Scholar] [CrossRef]
  21. Chapman, E.J.; Byron, C.J.; Lasley-Rasher, R.; Lipsky, C.; Stevens, J.R.; Peters, R. Effects of Climate Change on Coastal Ecosystem Food Webs: Implications for Aquaculture. Mar. Env. Res 2020, 162, 105103. [Google Scholar] [CrossRef]
  22. Bestion, E.; Soriano-Redondo, A.; Cucherousset, J.; Jacob, S.; White, J.; Zinger, L.; Fourtune, L.; Di Gesu, L.; Teyssier, A.; Cote, J. Altered Trophic Interactions in Warming Climates: Consequences for Predator Diet Breadth and Fitness. Proc. R. Soc. B 2019, 286, 20192227. [Google Scholar] [CrossRef]
  23. Dawe, E.G.; Koen-Alonso, M.; Chabot, D.; Stansbury, D.; Mullowney, D. Trophic Interactions between Key Predatory Fishes and Crustaceans: Comparison of Two Northwest Atlantic Systems during a Period of Ecosystem Change. Mar. Ecol. Prog. Ser. 2012, 469, 233–248. [Google Scholar] [CrossRef]
  24. Dwyer, K.S.; Buren, A.; Koen-Alonso, M. Greenland Halibut Diet in the Northwest Atlantic from 1978 to 2003 as an Indicator of Ecosystem Change. J. Sea Res. 2010, 64, 436–445. [Google Scholar] [CrossRef]
  25. Uzars, D. Feeding of Cod (Gadus Morhua callarias L.) in the Central Baltic in Relation to Environmental Changes. ICES Mar. Sci. Symp. 1994, 198, 612–623. [Google Scholar]
  26. Jacobson, P.; Bergström, U.; Eklöf, J. Size-Dependent Diet Composition and Feeding of Eurasian Perch (Perca fluviatilis) and Northern Pike (Esox lucius) in the Baltic Sea. Boreal Environ. Res. 2019, 24, 137–153. [Google Scholar]
  27. HELCOM. Guidelines for Coastal Fish Monitoring; Sampling Methods; HELCOM: Helsinki, Finland, 2019. [Google Scholar]
  28. HELCOM. Manual for Marine Monitoring in the COMBINE Programme of HELCOM; HELCOM: Helsinki, Finland, 2014. [Google Scholar]
  29. Neuman, E.; Sandström, O. Fish Monitoring as a Tool for Assessing the Health of Baltic Coastal Ecosystems. Bull. Sea Fish. Inst. 1996, 3, 3–11. [Google Scholar]
  30. Ojaveer, H.; Jaanus, A.; Mackenzie, B.R.; Martin, G.; Olenin, S.; Radziejewska, T.; Telesh, I.; Zettler, M.L.; Zaiko, A. Status of Biodiversity in the Baltic Sea. PLoS ONE 2010, 5, e12467. [Google Scholar] [CrossRef] [PubMed]
  31. Czugała, A.; Woźniczka, A. The River Odra Estuary-Another Baltic Sea Area Colonized by the Round Goby Neogobius Melanostomus Pallas, 1811. Aquat. Invasions 2010, 5, 61–65. [Google Scholar] [CrossRef]
  32. Abbas, B.; Jaszkowiak, K.; Nawrocki, A.; Junge, M.; Rohde, S.; Kulaszka, W.; Demidowicz, M.; Siwka, A.; Mazur-Chrzanowska, B.; Landsberg-Uczciwek, M.; et al. Raport o Jakości Polsko-Niemieckich Wód Granicznych 2014; Grupa Robocza W2 Ochrona Wód: Zielona Góra, Poland, 2015. [Google Scholar]
  33. Beszczyńska-Möller, A. Transport of the Odra River Waters and Circulation Patterns in the Pomeranian Bay* Pomeranian Bay River Odra Riverine Water Transport Circulation River Plume. Oceanologia 1999, 41, 279–309. [Google Scholar]
  34. Więcaszek, B.; Panicz, R.; Eljasik, P.; Tański, A.; Bushra, A.; Beata, W.; Adam, T.; Remigiusz, P.; Piotr, E.; Amin, B. Molecular and Biological Studies of Nonindigenous and Extremely Rare Fish Species from the Western Baltic Reported from the Pomeranian Bay (Southwest Baltic Proper). Folia Biol. Kraków 2023, 71, 181–194. [Google Scholar] [CrossRef]
  35. Lehtonen, H.; Hansson, S.; Winkler, H. Biology and Exploitation of Pikeperch, Stizostedion lucioperca (L.), in the Baltic Sea Area. Ann. Zool. Fennici 1995, 33, 525–535. [Google Scholar]
  36. Więcaszek, B.; Nowosielski, A.; Dąbrowski, J.; Górecka, K.; Keszka, S.; Strzelczak, A. Fish Size Effect on Sagittal Otolith Outer Shape Variability in Round Goby Neogobius melanostomus (Pallas 1814). J. Fish Biol. 2020, 97, 1520–1541. [Google Scholar] [CrossRef]
  37. Schmidt, W. Vergleichend Morphologische Studie Über Die Otolithen Mariner Knochenfische, 1st ed.; Archiv für Fischereiwissenschaft: Berlin, Germany, 1968. [Google Scholar]
  38. Fish, J.D.; Fish, S. A Student’s Guide to the Seashore, 3rd ed.; Cambridge University Press: Cambridge, UK, 2011. [Google Scholar]
  39. Hayward, P.J.; Ryland, J.S. Handbook of the Marine Fauna of North-West Europe; Oxford University Press: Oxford, UK, 1995. [Google Scholar]
  40. Barnes, R.S.K. The Brackish-Water Fauna of Northwestern Europe; Cambridge University Press: Cambridge, UK, 1995. [Google Scholar]
  41. Więcaszek, B. Analysis of Taxonomic Position of Cod Gadus Morhua, L. from the Baltic Sea Based on the Morphological, Biological and Genetical Characters of Cod Populations from Different Areas of Its Distribution; Western Pomeranian University of Technology: Szczecin, Poland, 2010. [Google Scholar]
  42. Kangur, P.; Kangur, A.; Kangur, K. Dietary Importance of Various Prey Fishes for Pikeperch Sander lucioperca (L.) in Large Shallow Lake Võrtsjärv (Estonia). Proc. Est. Acad. Sci. Biol. Ecol. 2007, 56, 154–167. [Google Scholar] [CrossRef]
  43. R Core Team. A Language and Environment for Statistical Computing; R Foundation for Statistical Computing: Vienna, Austria, 2020. [Google Scholar]
  44. Jędrzejewska, B.; Jędrzejewski, W. Predation in Vertebrate Communities. The Bialowieza Primeval Forest as a Case Study, 1st ed.; Springer: Berlin/Heidelberg, Germany, 1998; Volume 135. [Google Scholar]
  45. Ruiz-Capillas, P.; Mata, C.; Fernández, B.; Fernandes, C.; Malo, J.E. Do Roads Alter the Trophic Behavior of the Mesocarnivore Community Living Close to Them? Diversity 2021, 13, 173. [Google Scholar] [CrossRef]
  46. Pianka, E.R. The Structure of Lizard Communities. Ann. Rev. Ecol. Syst. 1973, 4, 53–74. [Google Scholar] [CrossRef]
  47. Krebs, C.J. Ecology. The Experimental Analysis of Distribution and Abundance; Pearson: London, UK, 2014. [Google Scholar]
  48. Cottenie, K.; Nuytten, N.; Michels, E.; De Meester, L. Zooplankton Community Structure and Environmental Conditions in a Set of Interconnected Ponds. Hydrobiologia 2001, 442, 339–350. [Google Scholar] [CrossRef]
  49. Costello, M.J. Predator Feeding Strategy and Prey Importance: A New Graphical Analysis. J. Fish Biol. 1990, 36, 261–263. [Google Scholar] [CrossRef]
  50. Amundsen, P.A.; Gabler, H.M.; Staldvik, F.J. A New Approach to Graphical Analysis of Feeding Strategy from Stomach Contents Data—Modification of the Costello (1990) Method. J. Fish Biol. 1996, 48, 607–614. [Google Scholar] [CrossRef]
  51. Heiberger, R.M.; Holland, B. CRAN: Package RcmdrPlugin.HH. 2024. Available online: https://cran.r-project.org/web/packages/RcmdrPlugin.HH/index.html (accessed on 28 August 2024).
  52. Sat Bałtyk. Available online: https://www.satbaltyk.pl (accessed on 16 September 2024).
  53. Kassambara, A. Practical Guide to Principal Component Methods in R (Multivariate Analysis). PCA, (M)CA, FAMD, MFA, HCPC, 1st ed.; Factoextra, STDHA: Oxford, UK, 2017; Volume 2, ISBN 1975721136. [Google Scholar]
  54. Dudko, S.; Król, S.; Wojnar, K. Wawrzyniak W Fisheries Characteristics of Ichthyofauna in the Pomeranian Bay; Josephs’s Sons: Szczecin, Poland, 2015. [Google Scholar]
  55. Funk, S.; Frelat, R.; Möllmann, C.; Temming, A.; Krumme, U. The Forgotten Feeding Ground: Patterns in Seasonal and Depth-Specific Food Intake of Adult Cod Gadus Morhua in the Western Baltic Sea. J. Fish Biol. 2021, 98, 707–722. [Google Scholar] [CrossRef]
  56. Hazen, E.L.; Abrahms, B.; Brodie, S.; Carroll, G.; Jacox, M.G.; Savoca, M.S.; Scales, K.L.; Sydeman, W.J.; Bograd, S.J. Marine Top Predators as Climate and Ecosystem Sentinels. Front. Ecol. Environ. 2019, 17, 565–574. [Google Scholar] [CrossRef]
  57. Hinrichsen, H.-H.; Piatkowski, U.; Jaspers, C. Sightings of Extraordinary Marine Species in the SW Baltic Sea Linked to Saline Water Inflows. J. Sea Res. 2022, 181, 102175. [Google Scholar] [CrossRef]
  58. Wennhage, H.; Pihl, L. Fish Feeding Guilds in Shallow Rocky and Soft Bottom Areas on the Swedish West Coast. J. Fish Biol. 2002, 61, 207–228. [Google Scholar] [CrossRef]
  59. Bogstad, B.; Mehl, S. Interactions between Cod (Gadus morhua L.) and Its Prey Species in the Barents Sea. Forage Fishes in Marine Ecosystems. Proceedings of the International Symposium on the Role of Forage Fishes in Marine Ecosystems. Alsk. Sea Grant Coll. Program Rep. 1 1997, 97, 591–615. [Google Scholar]
  60. Załachowski, W. An Attempt to Apply Bajkov’s Formula to Estimation of Food Uptake of Cod in the Southern Baltic. Acta Ichthyol. Piscat. 1985, 15, 3–19. [Google Scholar] [CrossRef][Green Version]
  61. EU Commission. Steps in to Protect Baltic Cod. 2019. Available online: https://www.fishsec.org/2019/08/14/eu-commission-steps-in-to-protect-baltic-cod/ (accessed on 29 July 2024).
  62. Rakauskas, V.; Pūtys, Ž.; Dainys, J.; Lesutienė, J.; Ložys, L.; Arbačiauskas, K. Increasing Population of the Invader Round Goby, Neogobius melanostomus (Actinopterygii: Perciformes: Gobiidae), and Its Trophic Role in the Curonian Lagoon, SE Baltic Sea. Acta Ichthyol. Piscat. 2013, 43, 95–108. [Google Scholar] [CrossRef]
  63. Kipp, R.; Hébert, I.; Lacharité, M.; Ricciardi, A. Impacts of Predation by the Eurasian Round Goby (Neogobius melanostomus) on Molluscs in the Upper St. Lawrence River. J. Great Lakes Res. 2012, 38, 78–89. [Google Scholar] [CrossRef]
  64. Hempel, M.; Neukamm, R.; Thiel, R. Effects of Introduced Round Goby (Neogobius melanostomus) on Diet Composition and Growth of Zander (Sander lucioperca), a Main Predator in European Brackish Waters. Aquat. Invasions 2016, 11, 167–178. [Google Scholar] [CrossRef]
  65. Imbrock, F.; Appenzeller, A.; Eckmann, R. Diel and Seasonal Distribution of Perch in Lake Constance: A Hydroacoustic Study and in Situ Observations. J. Fish Biol. 1996, 49, 1–13. [Google Scholar] [CrossRef]
  66. Rowiński, P.K.; Mateos-Gonzalez, F.; Sandblom, E.; Jutfelt, F.; Ekström, A.; Sundström, L.F. Warming Alters the Body Shape of European Perch Perca fluviatilis. J. Fish Biol. 2015, 87, 1234–1247. [Google Scholar] [CrossRef]
  67. Mustamäki, N.; Cederberg, T.; Mattila, J. Diet, Stable Isotopes and Morphology of Eurasian Perch (Perca fluviatilis) in Littoral and Pelagic Habitats in the Northern Baltic Proper. Environ. Biol. Fishes 2014, 97, 675–689. [Google Scholar] [CrossRef]
  68. Lappalainen, A.; Rask, M.; Koponen, H.; Vesala, S. Relative Abundance, Diet and Growth of Perch (Perca fluviatilis) and Roach (Rutilus rutilus) at Tvarminne, Northern Baltic Sea, in 1975 and 1997: Responses to Eutrophication? Boreal Environ. Res. 2001, 6, 107–118. [Google Scholar]
  69. Hansson, S. Local Growth Differences in Perch (Perca fluviatilis L.) in a Baltic Archipelago. Hydrobiologia 1985, 121, 3–10. [Google Scholar] [CrossRef]
  70. David, P.; Thébault, E.; Anneville, O.; Duyck, P.F.; Chapuis, E.; Loeuille, N. Impacts of Invasive Species on Food Webs: A Review of Empirical Data. Adv. Ecol. Res. 2017, 56, 1–60. [Google Scholar] [CrossRef]
  71. Grabowski, M.; Bacela, K.; Konopacka, A. How to Be an Invasive Gammarid (Amphipoda: Gammaroidea)—Comparison of Life History Traits. Hydrobiologia 2007, 590, 75–84. [Google Scholar] [CrossRef]
  72. Puntila-Dodd, R.; Loisa, O.; Riipinen, K.; Fowler, A.E. A Taste for Aliens: Contribution of a Novel Prey Item to Native Fishes’ Diet. Biol. Invasions 2019, 21, 2907–2917. [Google Scholar] [CrossRef]
  73. Crane, D.P.; Farrell, J.M.; Einhouse, D.W.; Lantry, J.R.; Markham, J.L. Trends in Body Condition of Native Piscivores Following Invasion of Lakes Erie and Ontario by the Round Goby. Freshw. Biol. 2015, 60, 111–124. [Google Scholar] [CrossRef]
  74. Noonburg, E.G.; Byers, J.E. More Harm Than Good: When Invader Vulnerability to Predators Enhances Impact on Native Species. Ecology 2005, 86, 2555–2560. [Google Scholar] [CrossRef]
  75. Sih, A.; Bolnick, D.I.; Luttbeg, B.; Orrock, J.L.; Peacor, S.D.; Pintor, L.M.; Preisser, E.; Rehage, J.S.; Vonesh, J.R. Predator–Prey Naïveté, Antipredator Behavior, and the Ecology of Predator Invasions. Oikos 2010, 119, 610–621. [Google Scholar] [CrossRef]
  76. Reid, A.; Seebacher, F.; Ward, A. Learning to Hunt: The Role of Experience in Predator Success. Behaviour 2010, 147, 223–233. [Google Scholar] [CrossRef]
  77. HELCOM. Invasive Species. 2023. Available online: https://archive.iwlearn.net/helcom.fi/environment2/biodiv/alien/en_GB/alienspecies/index.html (accessed on 29 July 2024).
  78. Rakauskas, V.; Šidagytė-Copilas, E.; Stakėnas, S.; Garbaras, A. Invasive Neogobius melanostomus in the Lithuanian Baltic Sea Coast: Trophic Role and Impact on the Diet of Piscivorous Fish. J. Great Lakes Res. 2020, 46, 597–608. [Google Scholar] [CrossRef]
  79. Morkūnė, R.; Tomczak, M.T.; Bacevičius, E.; Gasiūnaitė, Z.R. Changes in the Baltic Sea Coastal Food Web: A Case Study on the Invasion of Round Goby Neogobius melanostomus (Pallas, 1814). Estuar. Coast. Shelf Sci. 2024, 296, 108591. [Google Scholar] [CrossRef]
  80. Westlund, M.-H. European Perch (Perca fluviatilis) as a Possible Predator of the Invasive Round Goby (Neogobius melanostomus) in the Baltic Sea; Swedish University of Agricultural Sciences: Öregrund, Sweden, 2020. [Google Scholar]
  81. Liversage, K.; Nurkse, K.; Kotta, J.; Järv, L. Environmental Heterogeneity Associated with European Perch (Perca fluviatilis) Predation on Invasive Round Goby (Neogobius melanostomus). Mar. Environ. Res. 2017, 132, 132–139. [Google Scholar] [CrossRef]
  82. Oesterwind, D.; Bock, C.; Förster, A.; Gabel, M.; Henseler, C.; Kotterba, P.; Menge, M.; Myts, D.; Winkler, H.M. Predator and Prey: The Role of the Round Goby Neogobius melanostomus in the Western Baltic. Mar. Biol. Res. 2017, 13, 188–197. [Google Scholar] [CrossRef]
  83. Gruszka, P.; Więcaszek, B. Palaemon Elegans Rathke, 1837 in the Food of Baltic Cod (Gadus Morhua Callarias L., 1758) from the Gulf of Gdańsk. Mar. Biol. Res. 2011, 7, 100–105. [Google Scholar] [CrossRef]
  84. Bzoma, S.; Meissner, W. Some Results of Long-Term Counts of Waterbirds Wintering in the Western Part of the Gulf of Gdańsk (Poland), with Special Emphasis on the Increase in the Number of Cormorants (Phalacrocorax carbo). Acta Zool. Litu. 2005, 15, 105–108. [Google Scholar] [CrossRef]
  85. Smith, C.; Papadopoulou, N.; Sevastou, K.; Kiriakopoulou, N.; Teixeira, H.; Katsanevakis, S.; Piroddi, C.; Beauchard, O.; Franco, A.; Fürhaupter, K.; et al. Keystone Species Catalogue. DEVOTES WP6.1.3—List of Available Keystone Species for Possible Use in GES Assessment of Descriptors 1,2,4 and 6 of the MSFD; Report on Identification of Keystone Species and Processes across Regional Seas; Annex 2; Hellenic Centre for Marine Research: Anavyssos, Greece, 2014. [Google Scholar]
  86. Zaiko, A.; Olenin, S.; Daunys, D.; Nalepa, T. Vulnerability of Benthic Habitats to the Aquatic Invasive Species. Biol. Invasions 2007, 9, 703–714. [Google Scholar] [CrossRef]
  87. Strasser, M. Mya arenaria—An Ancient Invader of the North Sea Coast. Helgoländer Meeresunters. 1998, 52, 309–324. [Google Scholar] [CrossRef]
  88. Galil, B.; Gollash, S.; Minchin, D.; Olenin, S. Alien Marine Biota of Europe. In Handbook of Alien Species in Europe; DAISE; Springer: Dordrecht, Netherlands, 2009; pp. 93–104. ISBN 978-1-4020-8280-1. [Google Scholar]
  89. Behrends, B.; Hertweck, G.; Liebezeit, G.; Goodfriend, G. Earliest Holocene Occurrence of the Soft-Shell Clam, Mya arenaria, in the Greifswalder Bodden, Southern Baltic. Mar. Geol. 2005, 216, 79–82. [Google Scholar] [CrossRef]
  90. Petersen, K.; Rasmussen, K.; Heinemeier, J.; Rud, N. Clams before Columbus? Nature 1992, 359, 679. [Google Scholar] [CrossRef]
  91. Leppäkoski, E.; Olenin, S. Non-Native Species and Rates of Spread: Lessons from the Brackish Baltic Sea. Biol. Invasions 2000, 2, 151–163. [Google Scholar] [CrossRef]
  92. Grabowski, M.; Jażdżewski, K.; Konopacka, A. Alien Crustacea in Polish Waters—Amphipoda. Aquat. Invasions 2007, 2, 25–38. [Google Scholar] [CrossRef]
  93. Roche, D.; Torchin, M.E. Established Population of the North American Harris Mud Crab, Rhithropanopeus harrisii (Gould 1841) (Crustacea: Brachyura: Xanthidae), in the Panama Canal. Aquat. Invasions 2007, 2, 155–161. [Google Scholar] [CrossRef]
  94. Kotta, J.; Ojaveer, H. Rapid Establishment of the Alien Crab Rhithropanopeus harrisii (Gould) in the Gulf of Riga. Est. J. Ecol. 2012, 61, 293–298. [Google Scholar] [CrossRef]
  95. Luonnonvarakeskus. Vapaa-Ajankalastus 2012. 2012. Available online: https://www.luke.fi/fi/tilastot/vapaaajankalastus/vapaaajankalastus-2012 (accessed on 29 August 2024).
  96. Grabowski, M.; Jażdżewski, K.; Konopacka, A. Alien Crustacea in Polish Waters (Part I) Introduction and Decapoda. Oceanol. Hydrobiol. Stud. 2005, 24, 43–62. [Google Scholar]
  97. Via, J.D. Oxygen Consumption and Temperature Change in the Shrimp Palaemon Elegans. Mar. Ecol. Prog. Ser. 1985, 26, 199–202. [Google Scholar]
  98. Berglund, A. Niche Differentiation between Two Littoral Prawns in Gullmar Fjord, Sweden: Palaemon adspersus and P. squilla. Ecography 1980, 3, 111–115. [Google Scholar] [CrossRef]
  99. Pörtner, H.-O.; Bock, C.; Knust, R.; Lannig, G.; Lucassen, M.; Mark, F.C.; Sartoris, F.J. Physiological Analyses of Climate Effects in Marine Fishes. Clim. Res. 2008, 37, 253–270. [Google Scholar] [CrossRef]
  100. Więcaszek, B. Biometric Characteristics of Baltic Eelpout Zoarces viviparus (L.) from the Pomeranian Bay. Acta Ichthyol. Piscat. 1992, 22, 39–57. [Google Scholar] [CrossRef][Green Version]
  101. Więcaszek, B. On the Morphometry and Growth Rate in the Viviparous eelpout, Zoarces viviparus (Zoarcidae) from Waters of Different Salinity. Ital. J. Zool. 1998, 65, 211–214. [Google Scholar] [CrossRef][Green Version]
  102. Hedman, J.E.; Rüdel, H.; Gercken, J.; Bergek, S.; Strand, J.; Quack, M.; Appelberg, M.; Förlin, L.; Tuvikene, A.; Bignert, A. Eelpout (Zoarces viviparus) in Marine Environmental Monitoring. Mar. Pollut. Bull. 2011, 62, 2015–2029. [Google Scholar] [CrossRef]
Figure 1. Sampling locations and range: 54°15–53°55 N, 14°35–14°15 E, 53°57′ N–54°10′ N, and 14°19′ E–14°47′ E.
Figure 1. Sampling locations and range: 54°15–53°55 N, 14°35–14°15 E, 53°57′ N–54°10′ N, and 14°19′ E–14°47′ E.
Water 16 02788 g001
Figure 2. Tree diagram of the similarity of the diets of Baltic cod (1), pike-perch (2), European perch (3), and round goby (4) based on the mass of prey.
Figure 2. Tree diagram of the similarity of the diets of Baltic cod (1), pike-perch (2), European perch (3), and round goby (4) based on the mass of prey.
Water 16 02788 g002
Figure 3. Costello’s plot interaction between frequency of occurrence and weight contribution among perch TL length classes: (A)—all fishes, (B)—1st class, (C)—2nd class, (D)—3rd class, (E)—4th class, (F)—5th class (see Table 2); N—number of prey; W—weight of prey.
Figure 3. Costello’s plot interaction between frequency of occurrence and weight contribution among perch TL length classes: (A)—all fishes, (B)—1st class, (C)—2nd class, (D)—3rd class, (E)—4th class, (F)—5th class (see Table 2); N—number of prey; W—weight of prey.
Water 16 02788 g003
Figure 4. Length class distribution of perch specimens examined.
Figure 4. Length class distribution of perch specimens examined.
Water 16 02788 g004
Figure 5. Dendrogram of similarity among perch TL length classes by higher prey taxa frequency of occurrence (A) and weight contribution (B).
Figure 5. Dendrogram of similarity among perch TL length classes by higher prey taxa frequency of occurrence (A) and weight contribution (B).
Water 16 02788 g005
Figure 6. Food web of predatory fish species (Baltic cod, pikeperch, European perch, and round goby) and alien/invasive prey in the Pomeranian Bay.
Figure 6. Food web of predatory fish species (Baltic cod, pikeperch, European perch, and round goby) and alien/invasive prey in the Pomeranian Bay.
Water 16 02788 g006
Table 1. Characteristics of fish species examined—number of fishes, length ranges, and study period.
Table 1. Characteristics of fish species examined—number of fishes, length ranges, and study period.
SpeciesNo. of Fishes (♂/♀/Juveniles)TL (cm) RangeSL (cm) RangeStudy Period
Baltic cod, Gadus morhua173 (60/84/4)14.0–60.812.9–57.1Fall 2012–fall 2014;
Fall 2019
Pikeperch, Sander lucioperca143 (60/63/20)8.7–5812.2–51.5 Fall 2012–fall 2013
Round goby, Neogobius melanostomus75 (27/38/10)
105
6.3–19.65.0–17.4Summer 2012–summer 2013;
Archival data from 2007
European perch, Perca fluviatilis467 (126/278/63)
In years of this study:
2012–98;
2013–166;
2014–113;
2018–142;
2019–148
10.0–34.08.5–30.0Fall 2012–summer 2014 (9 samples);
Late summer and fall 2018 (2 samples)
Summer and fall 2019 (2 samples)
Table 2. Length classes by total length (TL) in centimeters of fish species examined.
Table 2. Length classes by total length (TL) in centimeters of fish species examined.
ClassBaltic Cod G. morhuaPikeperch
S. lucioperca
European Perch P. fluviatilisRound Goby
N. melanostomus
(1)10.5–35.0 10.0–19.910.0–14.9 6.3–11.9
(2)35.1–45.020.0–29.9 15.0–19.912.0–15.9
(3)45.1–55.0 30.0–39.920.0–24.916.0–19.9
(4)55.1–65.0 40.0–49.925.0–29.9
(5) 50.0–59.9 30.0–34.9
Note(s): in bold—the most numerous length classes.
Table 4. Analysis of feeding niche overlap among all four predatory fish.
Table 4. Analysis of feeding niche overlap among all four predatory fish.
CodPikeperchPerchRound Goby
Baltic cod-0.340.650.02
Pikeperch0.34-0.220.01
European perch0.650.22-0.06
Table 5. Feeding index (FI) values for Baltic cod, pikeperch, and round goby throughout this study.
Table 5. Feeding index (FI) values for Baltic cod, pikeperch, and round goby throughout this study.
SpeciesFeeding Index (%) Mean ValueRange (%)
Baltic cod4.30.0–14.3
Pikeperch51.421.4–100.0
European perch35.3
Winter season—50.9
Late summer season—25.0
Early fall season—35.1
7.84–58.5
Round goby13.90.0–50.0
Disclaimer/Publisher’s Note: The statements, opinions and data contained in all publications are solely those of the individual author(s) and contributor(s) and not of MDPI and/or the editor(s). MDPI and/or the editor(s) disclaim responsibility for any injury to people or property resulting from any ideas, methods, instructions or products referred to in the content.

Share and Cite

MDPI and ACS Style

Dąbrowski, J.; Więcaszek, B.; Brysiewicz, A.; Czerniejewski, P. Which Fish Predators Can Tell Us the Most about Changes in the Ecosystem of the Pomeranian Bay in the Southwest Baltic Proper? Water 2024, 16, 2788. https://doi.org/10.3390/w16192788

AMA Style

Dąbrowski J, Więcaszek B, Brysiewicz A, Czerniejewski P. Which Fish Predators Can Tell Us the Most about Changes in the Ecosystem of the Pomeranian Bay in the Southwest Baltic Proper? Water. 2024; 16(19):2788. https://doi.org/10.3390/w16192788

Chicago/Turabian Style

Dąbrowski, Jarosław, Beata Więcaszek, Adam Brysiewicz, and Przemysław Czerniejewski. 2024. "Which Fish Predators Can Tell Us the Most about Changes in the Ecosystem of the Pomeranian Bay in the Southwest Baltic Proper?" Water 16, no. 19: 2788. https://doi.org/10.3390/w16192788

APA Style

Dąbrowski, J., Więcaszek, B., Brysiewicz, A., & Czerniejewski, P. (2024). Which Fish Predators Can Tell Us the Most about Changes in the Ecosystem of the Pomeranian Bay in the Southwest Baltic Proper? Water, 16(19), 2788. https://doi.org/10.3390/w16192788

Note that from the first issue of 2016, this journal uses article numbers instead of page numbers. See further details here.

Article Metrics

Back to TopTop