Optimization Method for Digital Scheduling of Oilfield Sewage System
Abstract
1. Introduction
2. Materials and Methods
2.1. Overview of the Sewage System in the Study Area
2.2. Mathematical Model for Optimization of Water Dispatch in Sewage System
2.2.1. Objective Function
2.2.2. Constraint Conditions
- Supply and demand constraints
- 2.
- Water quantity constraints
- 3.
- Injection station effluent concentration constraints
- 4.
- Water injection station pressure constraints
2.3. PSO-CS Algorithm
2.3.1. PSO Algorithm
2.3.2. CS Algorithm
- (1)
- Each cuckoo lays one egg at a time and randomly selects a location for the nest to incubate;
- (2)
- In a randomly selected group of nests, the high-quality nests will be retained for the next generation;
- (3)
- The number of available nests is fixed, and the probability that the nest owner discovers an alien cuckoo egg is Pa ∈ [0, 1]. When a nest host discovers an alien cuckoo egg, it will either discard the cuckoo egg or re-establish a new nest.
2.3.3. PSO-CS Hybrid Algorithm
- 1.
- Feasibility Analysis
- 2.
- Levy Flight Speed Update Operators
- 3.
- Adaptive Stochastic Offset Operators
- 4.
- Brownian Motion Selection Operators
- 5.
- Hybrid Algorithm Solution Process
- (1)
- Set the initial values for the inertia weights and learning factors in the classical particle swarm and cuckoo algorithms; set the initial values for the Lévy flight speed updating operator, the adaptive stochastic offset operator, and the Brownian motion selection operator. These include the Lévy flight speed updating operator’s control parameter and control factor , the adaptive stochastic offset operator’s offset control parameter and the offset threshold ; the Brownian motion step length, population size, and termination conditions; read and store the objective function and constraints;
- (2)
- Generate an initial population of hybrid algorithms, compute the fitness function value, and store the historical optimal individual and the current global optimal individual ;
- (3)
- Calculate the Levy flight coefficients according to Formula (15), which in turn updates the velocities and positions of all individuals based on the Levy flight velocity update operator;
- (4)
- Judge whether the updated individual satisfies the constraints; if yes, go to step (6); otherwise, go to step (5);
- (5)
- Adjust the individuals that do not meet the constraints;
- (6)
- Calculate the fitness function values of all individuals in the hybrid algorithm population and update the historical optimal individual and the current global optimal individual ;
- (7)
- Based on the current global optimal individual, combine the Brownian motion step formula to form the potential states of the current optimal individual, construct the state space, calculate the fitness function value corresponding to each state, and update the current global optimal individual optimally;
- (8)
- Calculate the fitness function value of the hybrid algorithm population to update the historical optimal individual and the current global optimal individual ;
- (9)
- Judge whether the termination condition is satisfied; if yes, go to step (12); if not, go to step (3);
- (10)
- Output the global optimal solution. The PSO-CS algorithm flow is shown in Figure 3.
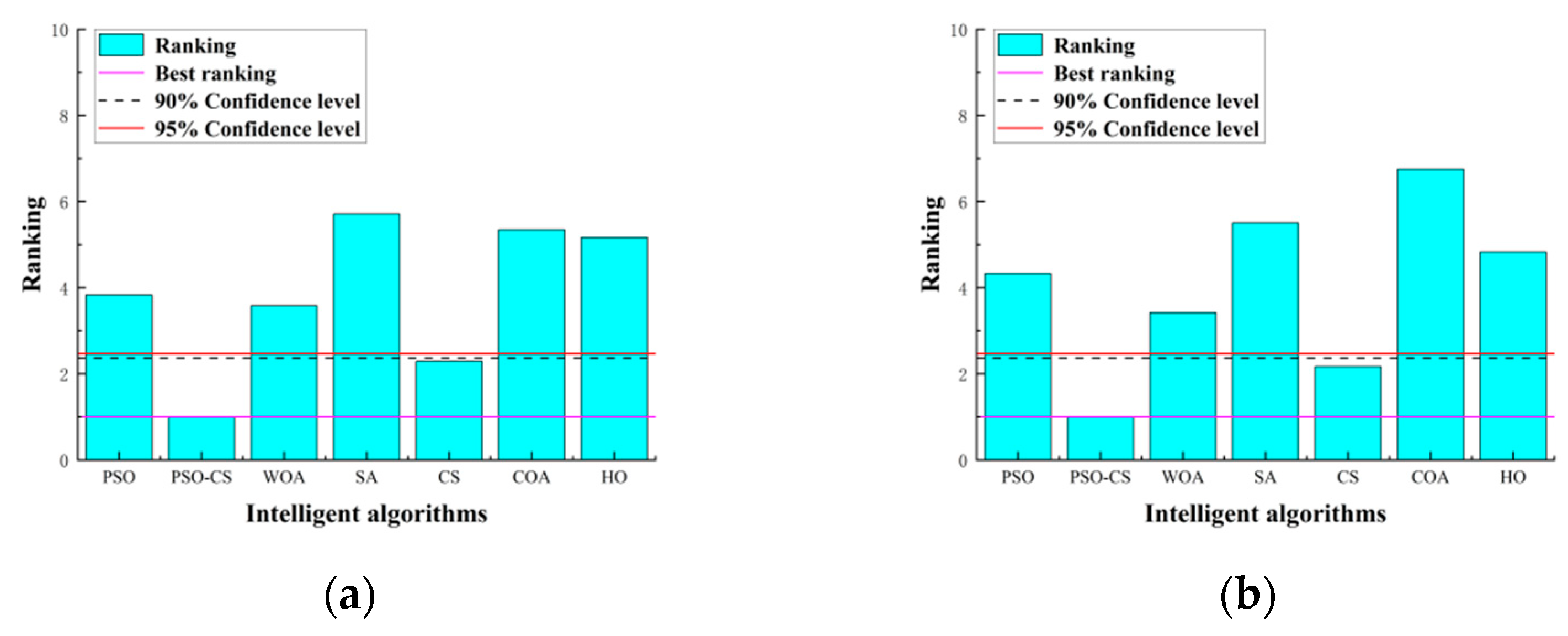
2.4. PSO-CS Algorithm Tests Based on CEC2022 Test Function Sets
3. Results and Discussions
3.1. Scheduling Optimization Results for Sewage System on a Certain Day
3.1.1. Scheduling Optimization Scheme
3.1.2. Comparison and Result Analysis before and after Optimization
3.2. Optimization Results of Sewage System Scheduling for a Particular Month
4. Conclusions
- (1)
- The optimized sewerage system water supply direction and quantity were effectively adjusted. This indicates that the optimized water scheduling strategy can effectively improve the operation of the system;
- (2)
- The operational energy consumption of the sewage system was effectively reduced after optimization. The total operational energy consumption generated by the scheduling program on the same day was reduced from 879.95 × 106 m5/d to 712.84 × 106 m5/d, and the operational energy consumption of the sewage system after optimization was 19% lower than that of the system before optimization;
- (3)
- Significant increase in water output from sewage stations after optimization, with the number of sewage stations in and out of the water balance rising to 7 compared to 0 before optimization and the rate of meeting the water requirements of downstream water injection stations reaching 100%;
- (4)
- Monthly scheduling optimization of the sewage system has a significant reduction in energy consumption. Before optimization, the energy consumption of the sewage system in June was 800 × 106 m5/d–950 × 106 m5/d. After optimization, the energy consumption was 650 × 106 m5/d–750 × 106 m5/d, and the energy consumption of the sewage system operation after optimization was significantly reduced.
Author Contributions
Funding
Data Availability Statement
Conflicts of Interest
References
- Qaderi, F. Efficiency Optimization of Petroleum Wastewater Treatment by Using of Serial Moving Bed Biofilm Reactors. J. Clean. Prod. 2018, 192, 665–677. [Google Scholar] [CrossRef]
- Farhadian, M.; Duchez, D.; Vachelard, C.; Larroche, C. Monoaromatics Removal from Polluted Water through Bioreactors A Review. Water Res. 2008, 42, 1325–1341. [Google Scholar] [CrossRef] [PubMed]
- Roudneshin, M.; Azadeh, A. A Novel Multi-objective Fuzzy Model for Optimization of Oil Sludge Management by Considering Health, Safety and Environment (HSE) and Resiliency Indicators in a Gas Refinery. J. Clean. Prod. 2018, 206, 559–571. [Google Scholar] [CrossRef]
- Zhou, X.; Zhang, H.; Qiu, R.; Lv, M.; Xiang, C.; Long, Y.; Liang, Y. A Two-stage Stochastic Programming Model for the Optimal Planning of a Coal-to-liquids Supply Chain Under Demand Uncertainty. J. Clean. Prod. 2018, 22, 10–28. [Google Scholar] [CrossRef]
- Smith, K.; Guo, S.; Zhu, Q.; Dong, X.; Liu, S. An Evaluation of the Environmental Benefit and Energy Footprint of China’s Stricter Wastewater Standards: Can Benefit be Increased? J. Clean. Prod. 2019, 219, 723–733. [Google Scholar] [CrossRef]
- Zhou, X.; Zhang, H.; Qiu, R.; Liang, Y.; Wu, G.; Xiang, C.; Yan, X. A hybrid time MILP model for the pump scheduling of multi-product pipelines based on the rigorous description of the pipeline hydraulic loss changes. Comput. Chem. Eng. 2019, 121, 174–199. [Google Scholar] [CrossRef]
- Jia, D.; Zhang, T.; Wu, L.; Su, X.; Bai, T.; Huang, Q. Multi-objective cooperative optimization of reservoir scheduling and water resources allocation for inter-basin water transfer project based on multi-stage coupling model. J. Hydrol. 2024, 630, 130673. [Google Scholar] [CrossRef]
- Yang, Y.; Chen, S.J.; Zhou, Y.R.; Ma, G.W.; Huang, W.B.; Zhu, Y.M. Method for quantitatively assessing the impact of an inter-basin water transfer project on ecological environment-power generation in a water supply region. J. Hydrol. 2023, 618, 129250. [Google Scholar] [CrossRef]
- Wu, L.Z.; Bai, T.; Huang, Q. Tradeoff analysis between economic and ecological benefits of the inter basin water transfer project under changing environment and its operation rules. J. Clean. Prod. 2020, 248, 119294. [Google Scholar] [CrossRef]
- Wang, B.; Liang, Y.; Yuan, M. Water transport system optimisation inoilfields: Environmental and economic benefits. J. Clean. Prod. 2019, 237, 117768. [Google Scholar] [CrossRef]
- Wang, Z.; Tian, J.; Feng, K. Optimal Allocation of Regional Water Resources Based on Simulated Annealing Particle Swarm Optimization Algorithm. Energy Rep. 2022, 8, 9119–9126. [Google Scholar] [CrossRef]
- Al-Abaji, M.A. Cuckoo Search Algorithm: Review and its Application. Tikrit J. Pure Sci. 2022, 26, 137–144. [Google Scholar] [CrossRef]
- Chen, H.; Wang, W.; Chen, X.; Qiu, L. Multi-objective Reservoir Operation Using Particle Swarm Optimization with Adaptive Random Inertia Weights. Water Sci. Eng. 2020, 13, 136–144. [Google Scholar] [CrossRef]
- Ezzeldin, R.; Zelenakova, M.; Abd-Elhamid, H.F.; Pietrucha-Urbanik, K.; Elabd, S. Hybrid Optimization Algorithms of Firefly with GA and PSO for the Optimal Design of Water Distribution Networks. Water 2023, 15, 1906. [Google Scholar] [CrossRef]
- Deng, A.N.; Wang, Z.C.; Liu, H.F.; Wu, T.H. A bio-inspired algorithm for a classical water resources allocation problem based on Adleman–Lipton model. Desalin. Water Treat. 2020, 185, 168–174. [Google Scholar] [CrossRef]
- de Oliveira Turci, L.; Sun, H.; Bai, M.; Wang, J.; Hu, P. Water Pump Station Scheduling Optimization Using an Improved Genetic Algorithm Approach. In Proceedings of the 2019 IEEE Congress on Evolutionary Computation (CEC), Wellington, New Zealand, 10–13 June 2019. [Google Scholar]
- Dong, W.; Yang, Q. Data-Driven Solution for Optimal Pumping Units Scheduling of Smart Water Conservancy. IEEE Internet Things J. 2019, 7, 1919–1926. [Google Scholar] [CrossRef]
- Eryiğit, M.; Sulaiman, S.O.; Najm, A.B.A.; Mhedi, N.M. Optimal management of multiple water resources by a heuristic optimization for a water supply in the desert cities of Western Iraq. Desalination Water Treat. 2023, 281, 7–14. [Google Scholar] [CrossRef]
- Ma, H.; Shen, S.; Yu, M.; Yang, Z.; Fei, M.; Zhou, H. Multi-population techniques in nature inspired optimization algorithms: A comprehensive survey. Swarm Evol. Comput. 2019, 44, 365–387. [Google Scholar] [CrossRef]
- Wu, X.; Shen, X.; Wei, C.; Xie, X.; Li, J. A Hybrid Particle Swarm Optimization-Genetic Algorithm for Multiobjective Reservoir Ecological Dispatching. Water Resour. Manag. 2024, 38, 2229–2249. [Google Scholar] [CrossRef]
- Kennedy, J.; Eberhart, R. Particle Swarm Optimization. In Proceedings of the ICNN’95-International Conference on Neural Networks, Perth, WA, USA, 27 November–1 December 1995; pp. 1942–1948. [Google Scholar]
- Kim, Y.-G.; Sun, B.-Q.; Kim, P.; Jo, M.-B.; Ri, T.-H.; Pak, G.-H. A Study on Optimal Operation of Gate-controlled Reservoir System for Flood Control Based on PSO Algorithm Combined with Rearrangement Method of Partial Solution Groups. J. Hydrol. 2021, 593, 125783. [Google Scholar] [CrossRef]
- Shi, Y.H.; Eberhart, R. Population Diversity of Particle Swarm. In Proceedings of the 2008 IEEE Congress on Evolutionary Computation (IEEE World Congress on Computational Intelligence), Hong Kong, China, 1–6 June 2008. [Google Scholar]
- Cuong-Le, T.; Minh, H.-L.; Khatir, S.; Wahab, M.A.; Tran, M.T.; Mirjalili, S. A Novel Version of Cuckoo Search Algorithm for Solving Optimization Problems. Expert Syst. Appl. 2021, 186, 115669. [Google Scholar] [CrossRef]
- Yang, X.-S.; Deb, S. Engineering Optimisation by Cuckoo Search. Math. Model. Numer. Optim. 2010, 1, 330–343. [Google Scholar] [CrossRef]
- Dunn, O.J. Multiple Comparisons among Means. J. Am. Stat. Assoc. 1961, 56, 52–64. [Google Scholar] [CrossRef]











| Flow Pattern | ||
|---|---|---|
| Laminar flow | 1 | |
| Turbulent flow | Hydraulically smooth | 0.25 |
| Mixed friction | 0.123 | |
| Completely rough | 0 | |
| Function | Dim | Values | PSO | PSO-CS | WOA | SA | CS | COA | HO |
|---|---|---|---|---|---|---|---|---|---|
| 10 | Mean | 4.5945 × 103 | 2.9713 × 102 | 6.0795 × 103 | 2.7305 × 104 | 3.0000 × 102 | 3.0000 × 102 | 9.0867 × 103 | |
| Std | 1.6852 × 103 | 0.0000 × 100 | 5.6259 × 102 | 1.9669 × 104 | 0.0000 × 100 | 0.0000 × 100 | 2.2343 × 103 | ||
| Rank | 3 | 1 | 4 | 6 | 2 | 2 | 5 | ||
| 20 | Mean | 2.4409 × 104 | 3.0001 × 102 | 1.3581 × 103 | 8.6333 × 104 | 3.0469 × 102 | 1.5951 × 105 | 4.9359 × 104 | |
| Std | 5.2925 × 103 | 2.4612 × 10−2 | 4.8853 × 102 | 1.8075 × 104 | 1.3221 × 100 | 3.0678 × 10−11 | 1.3501 × 104 | ||
| Rank | 4 | 1 | 3 | 6 | 2 | 7 | 5 | ||
| 10 | Mean | 4.7014 × 10 × 102 | 4.0004 × 102 | 4.3611 × 102 | 5.1237 × 102 | 4.0607 × 102 | 5.0172 × 104 | 7.2524 × 102 | |
| Std | 6.0995 × 10 | 3.2406 × 10−2 | 3.8456 × 10 | 1.7181 × 10 | 2.8569 × 100 | 2.4964 × 102 | 1.9308 × 102 | ||
| Rank | 4 | 1 | 3 | 5 | 2 | 7 | 6 | ||
| 20 | Mean | 7.9187 × 102 | 4.0000 × 102 | 4.5007 × 102 | 9.6509 × 102 | 4.1323 × 102 | 7.2730 × 103 | 1.6328 × 103 | |
| Std | 7.7825 × 10 | 2.5139 × 10 | 3.3160 × 10 | 2.4981 × 102 | 1.5138 × 10 | 0.0000 × 100 | 3.9209 × 102 | ||
| Rank | 4 | 1 | 3 | 5 | 2 | 7 | 6 | ||
| 10 | Mean | 6.2905 × 102 | 6.0313 × 102 | 6.2463 × 102 | 6.7429 × 102 | 6.0417 × 102 | 6.9074 × 102 | 6.3250 × 102 | |
| Std | 1.7356 × 100 | 8.7382 × 10−1 | 1.7667 × 10 | 2.6685 × 100 | 0.0000 × 100 | 0.0000 × 100 | 2.0709 × 100 | ||
| Rank | 4 | 1 | 3 | 6 | 2 | 7 | 5 | ||
| 20 | Mean | 6.4835 × 102 | 6.0321 × 102 | 6.5840 × 102 | 7.1149 × 102 | 6.1815 × 102 | 7.4688 × 102 | 6.7073 × 102 | |
| Std | 5.3247 × 100 | 4.8070 × 100 | 1.4006 × 10 | 9.1742 × 100 | 3.8591 × 100 | 1.1984 × 10−13 | 7.8182 × 100 | ||
| Rank | 3 | 1 | 4 | 6 | 2 | 7 | 5 | ||
| 10 | Mean | 8.4823 × 102 | 8.1559 × 10 | 8.4278 × 102 | 9.1932 × 102 | 8.1940 × 102 | 9.0608 × 102 | 8.3458 × 102 | |
| Std | 7.9324 × 100 | 2.7722 × 100 | 1.9700 × 10 | 8.8567 × 100 | 2.1106 × 100 | 0.0000 × 100 | 1.4224 × 101 | ||
| Rank | 5 | 1 | 4 | 7 | 2 | 6 | 3 | ||
| 20 | Mean | 9.5769 × 102 | 8.6786 × 102 | 9.1931 × 102 | 1.0924 × 103 | 8.9122 × 102 | 1.1106 × 103 | 9.5849 × 102 | |
| Std | 9.8838 × 100 | 2.2900 × 101 | 3.4061 × 101 | 2.1452 × 101 | 7.6080 × 100 | 2.3967 × 10−13 | 1.7615 × 101 | ||
| Rank | 4 | 1 | 3 | 6 | 2 | 7 | 5 | ||
| 10 | Mean | 1.1892 × 103 | 9.0531 × 102 | 1.3677 × 103 | 1.9351 × 103 | 9.0638 × 102 | 3.8096 × 103 | 1.1502 × 103 | |
| Std | 5.8726 × 101 | 0.0000 × 100 | 3.7566 × 101 | 5.3324 × 102 | 2.8555 × 100 | 0.0000 × 100 | 2.2494 × 102 | ||
| Rank | 4 | 1 | 5 | 6 | 2 | 7 | 3 | ||
| 20 | Mean | 4.3709 × 103 | 1.4389 × 103 | 3.5909 × 103 | 8.3292 × 103 | 1.4948 × 103 | 5.5721 × 103 | 3.0879 × 103 | |
| Std | 5.8027 × 102 | 3.3996 × 102 | 1.2000 × 103 | 1.4561 × 103 | 6.9299 × 101 | 9.5869 × 10−13 | 5.1781 × 102 | ||
| Rank | 5 | 1 | 4 | 7 | 2 | 6 | 3 | ||
| 10 | Mean | 9.0851 × 105 | 1.8008 × 103 | 5.0653 × 103 | 6.6556 × 103 | 6.9061 × 103 | 2.1947 × 108 | 2.2076 × 106 | |
| Std | 4.0209 × 105 | 3.3110 × 10−1 | 9.7850 × 102 | 1.9873 × 103 | 7.3874 × 101 | 0.0000 × 100 | 3.1119 × 106 | ||
| Rank | 5 | 1 | 2 | 3 | 4 | 7 | 6 | ||
| 20 | Mean | 1.1266 × 108 | 1.8440 × 103 | 8.1254 × 103 | 1.1053 × 105 | 1.0345 × 104 | 1.0197 × 1010 | 6.2254 × 108 | |
| Std | 8.1138 × 10 7 | 4.0885 × 100 | 7.9809 × 103 | 2.7820 × 105 | 9.5156 × 103 | 2.0105 × 106 | 2.9250 × 108 | ||
| Rank | 6 | 1 | 2 | 4 | 3 | 5 | 7 | ||
| 10 | Mean | 2.0510 × 103 | 2.0272 × 103 | 2.0684 × 103 | 2.1363 × 103 | 2.0298 × 103 | 2.2848 × 103 | 2.0770 × 103 | |
| Std | 4.2911 × 100 | 1.3434 × 100 | 1.2496 × 101 | 1.3888 × 101 | 1.4291 × 100 | 2.0497 × 101 | 4.0105 × 101 | ||
| Rank | 3 | 1 | 4 | 5 | 2 | 6 | 7 | ||
| 20 | Mean | 2.1344 × 103 | 2.0698 × 103 | 2.1733 × 103 | 2.3343 × 103 | 2.0885 × 103 | 2.5103 × 103 | 2.1858 × 103 | |
| Std | 1.2132 × 101 | 2.9131 × 101 | 4.3172 × 101 | 4.2579 × 101 | 5.4936 × 100 | 4.7935 × 101 | 4.3149 × 101 | ||
| Rank | 3 | 1 | 4 | 6 | 2 | 7 | 5 | ||
| 10 | Mean | 2.2295 × 103 | 2.2114 × 103 | 2.2293 × 103 | 2.2459 × 103 | 2.2209 × 103 | 2.9437 × 103 | 2.2351 × 103 | |
| Std | 1.8604 × 100 | 1.0935 × 100 | 5.1993 × 100 | 6.3473 × 101 | 1.2369 × 100 | 1.3207 × 102 | 8.0561 × 100 | ||
| Rank | 4 | 1 | 3 | 6 | 2 | 7 | 5 | ||
| 20 | Mean | 2.3684 × 103 | 2.2339 × 103 | 2.3328 × 103 | 2.3181 × 103 | 2.2519 × 103 | 3.3954 × 104 | 2.4012 × 103 | |
| Std | 1.5466 × 101 | 1.1876 × 100 | 1.2793 × 102 | 1.9100 × 101 | 7.8982 × 10−1 | 2.5153 × 104 | 1.7064 × 102 | ||
| Rank | 6 | 1 | 5 | 4 | 3 | 7 | 2 | ||
| 10 | Mean | 2.6231 × 103 | 2.5273 × 103 | 2.5294 × 103 | 2.7251 × 103 | 2.5289 × 103 | 4.0536 × 103 | 2.6748 × 103 | |
| Std | 1.1439 × 102 | 1.1962 × 10−1 | 1.3342 × 10−2 | 1.0071 × 102 | 7.4448 × 10−2 | 2.2546 × 102 | 4.7994 × 101 | ||
| Rank | 4 | 1 | 2 | 6 | 3 | 7 | 5 | ||
| 20 | Mean | 2.5549 × 103 | 2.4808 × 103 | 2.4829 × 103 | 3.0348 × 103 | 2.4809 × 103 | 5.1532 × 103 | 2.9109 × 103 | |
| Std | 4.6963 × 101 | 1.0868 × 10−3 | 2.2575 × 100 | 1.6038 × 102 | 2.3199 × 10−2 | 6.9633 × 102 | 5.9396 × 101 | ||
| Rank | 4 | 1 | 3 | 6 | 2 | 7 | 5 | ||
| 10 | Mean | 2.5078 × 103 | 2.5004 × 103 | 2.5688 × 103 | 2.6107 × 103 | 2.5009 × 103 | 4.9524 × 103 | 2.5165 × 103 | |
| Std | 1.1964 × 100 | 1.0658 × 10−2 | 9.6564 × 10 | 1.0047 × 102 | 7.2031 × 10−2 | 3.9130 × 10 | 1.1755 × 101 | ||
| Rank | 3 | 1 | 5 | 6 | 2 | 7 | 4 | ||
| 20 | Mean | 5.5576 × 103 | 2.5008 × 103 | 5.2629 × 103 | 6.2856 × 103 | 2.5009 × 103 | 8.7814 × 103 | 5.1262 × 103 | |
| Std | 2.5691 × 102 | 1.0372 × 10−1 | 5.1585 × 102 | 1.1019 × 103 | 3.7636 × 10 | 5.9494 × 10 | 1.7837 × 103 | ||
| Rank | 6 | 1 | 3 | 4 | 2 | 7 | 5 | ||
| 10 | Mean | 2.7946 × 103 | 2.6000 × 103 | 2.8753 × 103 | 3.1918 × 103 | 2.7504 × 103 | 5.1052 × 103 | 2.8180 × 103 | |
| Std | 1.4312 × 10 | 2.8584 × 10−9 | 1.7655 × 102 | 4.9260 × 102 | 3.5493 × 10−9 | 0.0000 × 100 | 4.2883 × 10 | ||
| Rank | 3 | 1 | 5 | 6 | 2 | 7 | 4 | ||
| 20 | Mean | 5.1297 × 103 | 2.9251 × 103 | 3.0096 × 103 | 9.5241 × 103 | 2.9500 × 103 | 1.0783 × 104 | 6.6099 × 103 | |
| Std | 1.6095 × 103 | 1.2504 × 102 | 1.0273 × 102 | 1.1613 × 103 | 7.0711 × 10 | 0.0000 × 100 | 4.1787 × 102 | ||
| Rank | 4 | 1 | 3 | 6 | 2 | 7 | 5 | ||
| 10 | Mean | 2.8651 × 103 | 2.8589 × 103 | 2.8696 × 103 | 2.9014 × 103 | 2.8626 × 103 | 2.9907 × 103 | 2.9887 × 103 | |
| Std | 1.6179 × 10−1 | 1.6050 × 10−1 | 8.0333 × 100 | 4.9578 × 100 | 5.2891 × 10−1 | 4.3252 × 10 | 4.1039 × 10 | ||
| Rank | 3 | 1 | 4 | 5 | 2 | 7 | 6 | ||
| 20 | Mean | 2.9702 × 103 | 2.9474 × 103 | 3.0309 × 103 | 3.2915 × 103 | 2.9510 × 103 | 3.5523 × 103 | 3.3798 × 103 | |
| Std | 2.0820 × 10 | 7.9699 × 10−1 | 1.5233 × 10 | 9.7613 × 10 | 7.6760 × 100 | 2.3911 × 10 | 2.5929 × 102 | ||
| Rank | 3 | 1 | 4 | 6 | 2 | 7 | 5 |
| Mean of Optimal Values | SD | ||
|---|---|---|---|
| N | 12 | 12 | |
| Test results | Chi-square | 57.358 | 59.964 |
| p-value | <0.01 | <0.01 | |
| PSO | 3.83 | 4.33 | |
| PSO-CS | 1.00 | 1.00 | |
| WOA | 3.58 | 3.42 | |
| Friedman test value | SA | 5.71 | 5.50 |
| CS | 2.29 | 2.17 | |
| COA | 6.42 | 6.75 | |
| HO | 5.17 | 4.83 |
| Name of Sewage Station | Name of Water Injection Station | Pipeline Path | Length (m) |
|---|---|---|---|
| NIII;-1D | ZN3 | NIII;-1D→ZN3 | 2600 |
| NIII;-1D | ZN11 | NIII;-1D→ZN11 | 3100 |
| NIII;-1D | ZN16-P | NIII;-1D→ZN16-P | 1100 |
| NIII;-1D | ZN17-P | NIII;-1D→ZN17-P | 1200 |
| NIII;-1 | ZN8 | NIII;-1→ZN8 | 1207 |
| NIII;-1 | ZN7 | NIII;-1→ZN7 | 2250 |
| NIII;-1 | ZN19 | NIII;-1→ZN19 | 500 |
| NIII;-1 | ZN10 | NIII;-1→ZN10 | 1382 |
| NII-2-G | ZNII-4 | NII-2-G→ZNII-4 | 5150 |
| NII-2-G | ZN22 | NII-2-G→ZN22 | 1350 |
| NII-2 | ZNII-4 | NII-2→ZNII-4 | 5240 |
| NII-2 | ZN8 | NII-2→ZN8 | 650 |
| NII-2 | ZN22 | NII-2→ZN22 | 340 |
| NII-2 | ZN11 | NII-2→ZN11 | 2390 |
| N16 | ZNII-4 | N16→ZNII-4 | 2550 |
| N16 | ZN22 | N16→ZN22 | 920 |
| N16 | ZN7 | N16→ZN7 | 800 |
| N16 | ZN11 | N16→ZN11 | 1100 |
| N16 | ZN16-P | N16→ZN16-P | 70 |
| N11-D | ZN11 | N11-D→ZN11 | 50 |
| N11-D | ZN16-P | N11-D→ZN16-P | 820 |
| NII-7 T | ZNII-4 | NII-7 T→ZNII-4 | 2750 |
| NII-7 T | ZN22 | NII-7 T→ZN22 | 1925 |
| NII-7 T | ZN16-P | NII-7 T→ZN16-P | 1100 |
| NII-7 D | ZN16-P | NII-7 D→ZN16-P | 1000 |
| NII-7 D | ZN17-P | NII-7 D→ZN17-P | 980 |
| NIII;-2D | ZNIII;-2 | NIII;-2D→ZNIII;-2 | 60 |
| NIII;-2D | ZN16-P | NIII;-2D→ZN16-P | 3500 |
| SN2801 | ZN23 | SN2801→ZN23 | 2780 |
| SN2801 | ZN9 | SN2801→ZN9 | 600 |
| N20-D | ZN20 | N20-D→ZN20 | 1378 |
| N4 | ZN20 | N4→ZN20 | 850 |
| N4 | ZN7 | N4→ZN7 | 230 |
| N17 | ZNIII;-2 | N17→ZNIII;-2 | 1750 |
| N17 | ZN8 | N17→ZN8 | 800 |
| N17 | ZN7 | N17→ZN7 | 450 |
| N17 | ZN10 | N17→ZN10 | 1200 |
| N17 | ZN17-P | N17→ZN17-P | 1350 |
| NIII;-7T | ZN8 | NIII;-7T→ZN8 | 1350 |
| NIII;-7T | ZN7 | NIII;-7T→ZN7 | 2110 |
| NIII;-7T | ZN17-P | NIII;-7T→ZN17-P | 800 |
| N5-P | ZN5 | N5-P→ZN5 | 780 |
| N5 | ZN7 | N5→ZN7 | 2556 |
| N5 | ZN10 | N5→ZN10 | 4200 |
| N5 | ZN5 | N5→ZN5 | 1378 |
| NII-1 | ZNII-1 | NII-1→ZNII-1 | 190 |
| NII-1 | ZNII-4 | NII-1→ZNII-4 | 3125 |
| NII-1 | ZN23 | NII-1→ZN23 | 436 |
| SN25-D | ZNIII;-2 | SN25-D→ZNIII;-2 | 450 |
| SN25-D | ZN20 | SN25-D→ZN20 | 5000 |
| SN25-D | ZN17-P | SN25-D→ZN17-P | 500 |
| N12-D | ZN12 | N12-D→ZN12 | 140 |
| N12-D | ZN13 | N12-D→ZN13 | 3360 |
| N12-D | ZN12-P | N12-D→ZN12-P | 1340 |
| N15 | ZNII-1 | N15→ZNII-1 | 1632 |
| N15 | ZN8 | N15→ZN8 | 896 |
| N15 | ZN9 | N15→ZN9 | 1750 |
| N15 | ZN3 | N15→ZN3 | 3840 |
| N15 | ZN14 | N15→ZN14 | 2000 |
| N15 | ZN12-P | N15→ZN12-P | 530 |
| NIII;-6T | ZN8 | NIII;-6T→ZN8 | 1280 |
| NIII;-6T | ZN3 | NIII;-6T→ZN3 | 1060 |
| N6-P | ZN6-P | N6-P→ZN6-P | 580 |
| N6-P | ZN6-W | N6-P→ZN6-W | 780 |
| N6-P | ZN19 | N6-P→ZN19 | 3136 |
| N3 | ZN6-W | N3→ZN6-W | 3206 |
| N3 | ZN9 | N3→ZN9 | 2750 |
| N3 | ZN3 | N3→ZN3 | 300 |
| N3 | ZN10 | N3→ZN10 | 2800 |
| N6-D | ZN6-W | N6-D→ZN6-W | 2340 |
| N6-D | ZN19 | N6-D→ZN19 | 575 |
| N6 | ZN6-P | N6→ZN6-P | 1720 |
| N6 | ZN6-W | N6→ZN6-W | 630 |
| N13-P | ZNII-1 | N13-P→ZNII-1 | 6890 |
| N13-P | ZNII-4 | N13-P→ZNII-4 | 6920 |
| N13-P | ZN23 | N13-P→ZN23 | 579 |
| N13-P | ZN13 | N13-P→ZN13 | 950 |
| N13-P | ZN14 | N13-P→ZN14 | 920 |
| N13-ND | ZN12 | N13-ND→ZN12 | 3565 |
| N13-ND | ZN13 | N13-ND→ZN13 | 1300 |
| N13-D | ZN23 | N13-D→ZN23 | 2205 |
| N13-D | ZN13 | N13-D→ZN13 | 380 |
| Number | Name | Water Demand (m3/d) |
|---|---|---|
| 1 | ZNII-1 | 8352 |
| 2 | ZNII-4 | 0 |
| 3 | ZNIII;-2 | 9997 |
| 4 | ZN8 | 14,795 |
| 5 | ZN22 | 9795 |
| 6 | ZN23 | 9548 |
| 7 | ZN20 | 16,415 |
| 8 | ZN9 | 7109 |
| 9 | ZN6-P | 0 |
| 10 | ZN6-W | 7908 |
| 11 | ZN7 | 14,563 |
| 12 | ZN3 | 9008 |
| 13 | ZN12 | 7068 |
| 14 | ZN19 | 5930 |
| 15 | ZN13 | 16,825 |
| 16 | ZN14 | 7628 |
| 17 | ZN11 | 9259 |
| 18 | ZN10 | 7321 |
| 19 | ZN5 | 7558 |
| 20 | ZN12-P | 11,456 |
| 21 | ZN16-P | 5276 |
| 22 | ZN17-P | 4383 |
| Number | Name | The Volume of Incoming Water for the Day (m3) | Water Output for the Day (m3) | Optimized Water Output (m3) |
|---|---|---|---|---|
| 1 | NII-1 | 10,833 | 4821 | 8352 |
| 2 | NII-2 | 11,847 | 5545.55 | 9795 |
| 3 | NII-7D | 7110 | 2249 | 5582 |
| 4 | NII-7T | 9673 | 0 | 0 |
| 5 | NIII-1D | 15,287 | 0 | 0 |
| 6 | NIII-1 | 6559 | 5488 | 6559 |
| 7 | NIII-2D | 4201 | 3807 | 3201 |
| 8 | NIII-6T | 6167 | 0 | 0 |
| 9 | NIII-7T | 16,581 | 3552.05 | 16,581 |
| 10 | N20-D | 3761 | 3226 | 2021 |
| 11 | N6-P | 9844 | 0 | 0 |
| 12 | N6 | 10,372 | 0 | 7908 |
| 13 | N6-D | 7784 | 1120 | 5930 |
| 14 | N3 | 10,927 | 9433 | 9008 |
| 15 | N12-D | 9566 | 3856 | 7068 |
| 16 | N17 | 22,768 | 12,652.4 | 20,911 |
| 17 | N13-D | 6988 | 2791 | 6988 |
| 18 | N13-P | 18,462 | 8635 | 18,462 |
| 19 | N13-ND | 7611 | 5278 | 5841 |
| 20 | N15 | 14,688 | 14,080 | 13,688 |
| 21 | N11-D | 8563 | 3881.3 | 6563 |
| 22 | N4 | 14,394 | 7532 | 14,394 |
| 23 | N5-P | 7281 | 2000 | 7281 |
| 24 | N5 | 9647 | 2000 | 277 |
| 25 | N16 | 9755 | 8242 | 2755 |
| 26 | SN25-D | 2442 | 1746 | 1442 |
| 27 | SN2801 | 7587 | 3213 | 7587 |
Disclaimer/Publisher’s Note: The statements, opinions and data contained in all publications are solely those of the individual author(s) and contributor(s) and not of MDPI and/or the editor(s). MDPI and/or the editor(s) disclaim responsibility for any injury to people or property resulting from any ideas, methods, instructions or products referred to in the content. |
© 2024 by the authors. Licensee MDPI, Basel, Switzerland. This article is an open access article distributed under the terms and conditions of the Creative Commons Attribution (CC BY) license (https://creativecommons.org/licenses/by/4.0/).
Share and Cite
Chen, S.; Zhou, S.; Li, Y.; Jiang, M.; Guan, B.; Xi, J. Optimization Method for Digital Scheduling of Oilfield Sewage System. Water 2024, 16, 2623. https://doi.org/10.3390/w16182623
Chen S, Zhou S, Li Y, Jiang M, Guan B, Xi J. Optimization Method for Digital Scheduling of Oilfield Sewage System. Water. 2024; 16(18):2623. https://doi.org/10.3390/w16182623
Chicago/Turabian StyleChen, Shuangqing, Shun Zhou, Yuchun Li, Minghu Jiang, Bing Guan, and Jiahao Xi. 2024. "Optimization Method for Digital Scheduling of Oilfield Sewage System" Water 16, no. 18: 2623. https://doi.org/10.3390/w16182623
APA StyleChen, S., Zhou, S., Li, Y., Jiang, M., Guan, B., & Xi, J. (2024). Optimization Method for Digital Scheduling of Oilfield Sewage System. Water, 16(18), 2623. https://doi.org/10.3390/w16182623

