Drinking Water Quality in Delta and Non-Delta Counties along the Mississippi River
Abstract
1. Introduction
2. Methods
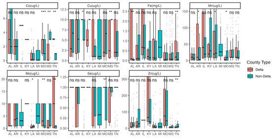
3. Results
4. Discussion
5. Conclusions
Supplementary Materials
Author Contributions
Funding
Data Availability Statement
Conflicts of Interest
References
- Service Area Map. Delta Regional Authority. Available online: https://dra.gov/map-room/ (accessed on 12 September 2024).
- Cosby, A.G.; Bowser, D.M. The health of the Delta Region: A story of increasing disparities. J. Health Hum. Serv. Adm. 2008, 31, 58–71. [Google Scholar] [CrossRef] [PubMed]
- Felix, H.; Stewart, M.K. Health status in the Mississippi River Delta region. South. Med. J. 2005, 98, 149–154. [Google Scholar] [CrossRef]
- Gennuso, K.P.; Jovaag, A.; Catlin, B.B.; Rodock, M.; Park, H. Assessment of Factors Contributing to Health Outcomes in the Eight States of the Mississippi Delta Region. Prev. Chronic Dis. 2016, 13, E33. [Google Scholar] [CrossRef]
- Azoulay, A.; Garzon, P.; Eisenberg, M.J. Comparison of the mineral content of tap water and bottled waters. J. Gen. Intern. Med. 2001, 16, 168–175. [Google Scholar] [CrossRef] [PubMed]
- National Research Council (US); Safe Drinking Water Committee. The Contribution of Drinking Water to Mineral Nutrition in Humans. In Drinking Water and Health; National Academies Press: Washington, DC, USA; National Research Council (US) Safe Drinking Water Committee: Washington, DC, USA, 1980. [Google Scholar]
- Whelton, P.K. Sodium, potassium, blood pressure, and cardiovascular disease in humans. Curr. Hypertens. Rep. 2014, 16, 465. [Google Scholar] [CrossRef]
- Cunha, A.R.; Umbelino, B.; Correia, M.L.; Neves, M.F. Magnesium and vascular changes in hypertension. Int. J. Hypertens. 2012, 2012, 754250. [Google Scholar] [CrossRef] [PubMed]
- Villa-Etchegoyen, C.; Lombarte, M.; Matamoros, N.; Belizan, J.M.; Cormick, G. Mechanisms Involved in the Relationship between Low Calcium Intake and High Blood Pressure. Nutrients 2019, 11, 1112. [Google Scholar] [CrossRef]
- Mohammadifard, N.; Humphries, K.H.; Gotay, C.; Mena-Sánchez, G.; Salas-Salvadó, J.; Esmaillzadeh, A.; Ignaszewski, A.; Sarrafzadegan, N. Trace minerals intake: Risks and benefits for cardiovascular health. Crit. Rev. Food Sci. Nutr. 2019, 59, 1334–1346. [Google Scholar] [CrossRef] [PubMed]
- Dubey, P.; Thakur, V.; Chattopadhyay, M. Role of Minerals and Trace Elements in Diabetes and Insulin Resistance. Nutrients 2020, 12, 1864. [Google Scholar] [CrossRef]
- Rehman, K.; Fatima, F.; Waheed, I.; Akash, M.S.H. Prevalence of exposure of heavy metals and their impact on health consequences. J. Cell Biochem. 2018, 119, 157–184. [Google Scholar] [CrossRef]
- CDC National Center for Emerging and Zoonotic Infectious Diseases. Well Testing. Available online: https://www.cdc.gov/healthywater/drinking/private/wells/testing.html (accessed on 14 May 2024).
- Qi, S.L.; Harris, A.C. Geochemical Database for the National Brackish Groundwater Assessment of the United States. Available online: https://www.usgs.gov/data/geochemical-database-national-brackish-groundwater-assessment-united-states (accessed on 1 July 2024).
- McKnight, P.E.; Najab, J. Mann-Whitney U Test. In The Corsini Encyclopedia of Psychology; John Wiley & Sons: Hoboken, NJ, USA, 2010; p. 1. [Google Scholar]
- World Health Organization. pH in Drinking-Water: Revised Background Document for Development of WHO Guidelines for Drinking-Water Quality; World Health Organization: Geneva, Switzerland, 2007. [Google Scholar]
- World Health Organization. Total Dissolved Solids in Drinking-Water: Background Document for Development of WHO Guidelines for Drinking-Water Quality; World Health Organization: Geneva, Switzerland, 2003. [Google Scholar]
- EPA. Drinking Water Infrastructure Needs Survey and Assessment: 7th Report to Congress. 2023. Available online: https://www.epa.gov/system/files/documents/2023-09/Seventh%20DWINSA_September2023_Final.pdf (accessed on 13 September 2024).
- Vorvolakos, T.; Arseniou, S.; Samakouri, M. There is no safe threshold for lead exposure: A literature review. Psychiatriki 2016, 27, 204–214. [Google Scholar] [CrossRef] [PubMed]
- Tajudin, M.H.M.Z.; Hamirudin, A.H. Effects of alkaline water intake on health: A systematic literature review. Int. J. Allied Health Sci. 2020, 4, 1284–1298. [Google Scholar] [CrossRef]
- Manoj, S.; Kartheeshwari, M.R.; Keerthan, L.; Elango, L. Effects of low mineral content in bottled drinking water on human health and evaluation of optimal requirements. J. Food Compos. Anal. 2024, 128, 106052. [Google Scholar] [CrossRef]
- Mozaffarian, D.; Fahimi, S.; Singh, G.M.; Micha, R.; Khatibzadeh, S.; Engell, R.E.; Lim, S.; Danaei, G.; Ezzati, M.; Powles, J. Global sodium consumption and death from cardiovascular causes. N. Engl. J. Med. 2014, 371, 624–634. [Google Scholar] [CrossRef]
- Blanch, N.; Clifton, P.M.; Petersen, K.S.; Willoughby, S.R.; Keogh, J.B. Effect of high potassium diet on endothelial function. Nutr. Metab. Cardiovasc. Dis. 2014, 24, 983–989. [Google Scholar] [CrossRef]
- Behringer, E.J. Calcium and electrical signaling in arterial endothelial tubes: New insights into cellular physiology and cardiovascular function. Microcirculation 2017, 24, e12328. [Google Scholar] [CrossRef] [PubMed]
- Schutten, J.C.; Joosten, M.M.; de Borst, M.H.; Bakker, S.J.L. Magnesium and Blood Pressure: A Physiology-Based Approach. Adv. Chronic Kidney Dis. 2018, 25, 244–250. [Google Scholar] [CrossRef]
- Drake, V.J. Micronutrient Inadequacies in the US Population: An Overview. Available online: https://lpi.oregonstate.edu/mic/micronutrient-inadequacies/overview (accessed on 1 August 2024).
- Grillo, A.; Salvi, L.; Coruzzi, P.; Salvi, P.; Parati, G. Sodium Intake and Hypertension. Nutrients 2019, 11, 1970. [Google Scholar] [CrossRef]
- Hu, J.R.; Sahni, S.; Mukamal, K.J.; Millar, C.L.; Wu, Y.; Appel, L.J.; Juraschek, S.P. Dietary Sodium Intake and Sodium Density in the United States: Estimates From NHANES 2005–2006 and 2015–2016. Am. J. Hypertens. 2020, 33, 825–830. [Google Scholar] [CrossRef]
- Talukder, M.R.R.; Rutherford, S.; Chu, C.; Hieu Nguyen, T.; Phung, D. Association between salinity and hospital admission for hypertension: An ecological case-control study in the Mekong Delta Region in Vietnam. J. Public Health 2018, 40, 75–81. [Google Scholar] [CrossRef]
- Vineis, P.; Chan, Q.; Khan, A. Climate change impacts on water salinity and health. J. Epidemiol. Glob. Health 2011, 1, 5–10. [Google Scholar] [CrossRef] [PubMed]
- Nolan, D. Saltwater Threat to Louisiana Drinking Water to Grow across US, Experts Warn. Available online: https://www.theguardian.com/us-news/2023/oct/10/louisiana-drinking-water-saltwater-mississippi-river (accessed on 31 July 2024).
- An Overview of the Mississippi River’s Saltwater Wedge. Available online: https://www.mvn.usace.army.mil/Missions/Engineering/Stage-and-Hydrologic-Data/SaltwaterWedge/SaltwaterWedgeOverview/#:~:text=When%20freshwater%20flows%20increase%20or,and%20artificially%20arrest%20the%20wedge (accessed on 12 September 2024).
- Naser, A.M.; Rahman, M.; Unicomb, L.; Doza, S.; Gazi, M.S.; Alam, G.R.; Karim, M.R.; Uddin, M.N.; Khan, G.K.; Ahmed, K.M.; et al. Drinking Water Salinity, Urinary Macro-Mineral Excretions, and Blood Pressure in the Southwest Coastal Population of Bangladesh. J. Am. Heart Assoc. 2019, 8, e012007. [Google Scholar] [CrossRef] [PubMed]
- Naser, A.M.; Doza, S.; Rahman, M.; Unicomb, L.; Ahmed, K.M.; Anand, S.; Selim, S.; Shamsudduha, M.; Narayan, K.V.; Chang, H.; et al. Consequences of access to water from managed aquifer recharge systems for blood pressure and proteinuria in south-west coastal Bangladesh: A stepped-wedge cluster-randomized trial. Int. J. Epidemiol. 2021, 50, 916–928. [Google Scholar] [CrossRef]
- Shlezinger, M.; Amitai, Y.; Goldenberg, I.; Shechter, M. Desalinated seawater supply and all-cause mortality in hospitalized acute myocardial infarction patients from the Acute Coronary Syndrome Israeli Survey 2002–2013. Int. J. Cardiol. 2016, 220, 544–550. [Google Scholar] [CrossRef]
- Naser, A.M.; Rahman, M.; Unicomb, L.; Parvez, S.M.; Islam, S.; Doza, S.; Khan, G.K.; Ahmed, K.M.; Anand, S.; Luby, S.P.; et al. Associations of drinking rainwater with macro-mineral intake and cardiometabolic health: A pooled cohort analysis in Bangladesh, 2016–2019. NPJ Clean Water 2020, 3, 20. [Google Scholar] [CrossRef]
- Bykowska-Derda, A.; Spychala, M.; Czlapka-Matyasik, M.; Sojka, M.; Bykowski, J.; Ptak, M. The Relationship between Mortality from Cardiovascular Diseases and Total Drinking Water Hardness: Systematic Review with Meta-Analysis. Foods 2023, 12, 3255. [Google Scholar] [CrossRef]
- Miller, J.L. Iron deficiency anemia: A common and curable disease. Cold Spring Harb. Perspect. Med. 2013, 3, a011866. [Google Scholar] [CrossRef] [PubMed]
- Saper, R.B.; Rash, R. Zinc: An essential micronutrient. Am. Fam. Physician 2009, 79, 768–772. [Google Scholar]
- Tchounwou, P.B.; Ayensu, W.K.; Ninashvili, N.; Sutton, D. Environmental exposure to mercury and its toxicopathologic implications for public health. Environ. Toxicol. 2003, 18, 149–175. [Google Scholar] [CrossRef]
- Urrutia-Pereira, M.; Chatkin, J.M.; Chong-Neto, H.J.; Solé, D. Radon exposure: A major cause of lung cancer in nonsmokers. J. Bras. Pneumol. 2023, 49, e20230210. [Google Scholar] [CrossRef]




Disclaimer/Publisher’s Note: The statements, opinions and data contained in all publications are solely those of the individual author(s) and contributor(s) and not of MDPI and/or the editor(s). MDPI and/or the editor(s) disclaim responsibility for any injury to people or property resulting from any ideas, methods, instructions or products referred to in the content. |
© 2024 by the authors. Licensee MDPI, Basel, Switzerland. This article is an open access article distributed under the terms and conditions of the Creative Commons Attribution (CC BY) license (https://creativecommons.org/licenses/by/4.0/).
Share and Cite
Pickering, E.V.; Jia, C.; Naser, A.M. Drinking Water Quality in Delta and Non-Delta Counties along the Mississippi River. Water 2024, 16, 2622. https://doi.org/10.3390/w16182622
Pickering EV, Jia C, Naser AM. Drinking Water Quality in Delta and Non-Delta Counties along the Mississippi River. Water. 2024; 16(18):2622. https://doi.org/10.3390/w16182622
Chicago/Turabian StylePickering, Emily V., Chunrong Jia, and Abu Mohd Naser. 2024. "Drinking Water Quality in Delta and Non-Delta Counties along the Mississippi River" Water 16, no. 18: 2622. https://doi.org/10.3390/w16182622
APA StylePickering, E. V., Jia, C., & Naser, A. M. (2024). Drinking Water Quality in Delta and Non-Delta Counties along the Mississippi River. Water, 16(18), 2622. https://doi.org/10.3390/w16182622

