Improvement of Removal Rates for Iron and Manganese in Groundwater Using Dual-Media Filters Filled with Manganese-Oxide-Coated Sand and Ceramic in Nepal
Abstract
1. Introduction
2. Materials and Methods
2.1. Study Area
2.2. Water Supply Projects in the Study Area
2.3. Iron and Manganese Removal Processes in the Study Area
2.3.1. Aeration Unit
2.3.2. Filtration Unit
2.4. Field Survey
- 23 February–13 March 2023 (dry season);
- 8 August–26 September 2023 (rainy season);
- 27 February–15 March 2024 (dry season).
2.5. Iron and Manganese Oxidation through the Re-Aeration and Stirring of Treated Water
2.6. Filtration Experiment
2.7. Water Quality Analysis
2.8. Data Analysis
3. Results
3.1. Physiochemical Water Quality of Raw and Treated Water
3.2. Iron and Manganese Oxidation through Stirring and Re-Aeration
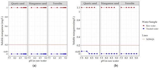
3.3. Bench-Top Filtration Experiments on Raw Water
4. Discussion
4.1. Variations in Iron and Manganese in the Groundwater in the Study Area
4.2. Iron and Manganese Removal through Aeration–RSF in the WSPs
4.3. Improvement of Manganese Removal Using Dual-Media Filters Filled with Different Filter Media
5. Conclusions
Author Contributions
Funding
Data Availability Statement
Acknowledgments
Conflicts of Interest
Abbreviations
| DBPs | Disinfection by-products |
| PACl | Poly aluminum chloride |
| MnO2 | Manganese oxide |
| WTP | Water treatment plant |
| Redox | Reduction–oxidation |
| RSF | Rapid sand filter |
| MOCA | Manganese-oxide-coated anthracite |
| NDWQS | National Drinking Water Quality Standards, Nepal |
| WUSA | Water Users and Sanitation Association |
| RW | Raw water |
| TW | Treated water |
| GW | Groundwater |
| TP | Treatment plant |
| TDSs | Total dissolved solids |
| DO | Dissolved oxygen |
| ORP | Oxidation reduction potential |
| SHE | Standard hydrogen electrode |
| BDL | Below detection limit |
| NaClO | Sodium hypochlorite |
Appendix A
| Name of Urban Municipality | No. of WSPs | No. of WSPs with DTB as Main Source | No. of WSPs with GWTP | Selected WSPs (No. of DTBs) | Name of Selected WSPs | Remarks |
|---|---|---|---|---|---|---|
| Dharan | 81 | 0 | 0 | 0 | WSP based on surface water | |
| Duhabi | 1 | 1 | 1 | 1 (5) | Duhabi | One WSP from each of five urban municipalities is selected |
| Inaruwa | 1 | 1 | 1 | 1 (4) | Inaruwa | |
| Ramdhuni | 8 | 7 | 3 | 1 (2) | Jhumka | |
| Baraha | 23 | 9 | 5 | 1 (3) | Mahendranagar | |
| Itahari | 5 | 4 | 2 | 1 (2) | Pakali | |
| Total | 119 | 22 | 12 | 5 (16) |
| Water Supply Project | Water Source | Temperature (°C) | pH | Turbidity (NTU) | TDS (mg/L) | Eh (V) | Ferrous Iron (mg/L) | Total Iron (mg/L) | Soluble Manganese (mg/L) |
|---|---|---|---|---|---|---|---|---|---|
| Duhabi | GW 1 | 29.0 | 7.32 | 0.14 | 230 | 0.27 | 0.03 | 0.05 | 1.0 |
| GW 2 | 29.0 | 7.44 | 0.33 | 215 | 0.18 | 0.04 | 0.39 | 0.8 | |
| GW 3 | 28.0 | 7.34 | 0.32 | 244 | 0.15 | 0.27 | 0.44 | 1.3 | |
| GW 4 | 28.0 | 7.85 | 0.27 | 238 | 0.27 | BDL | 0.09 | 1.0 | |
| GW 5 | 28.0 | 7.44 | 0.34 | 238 | 0.24 | 0.05 | 0.21 | 1.1 | |
| Inaruwa | GW 1 | 26.0 | 7.16 | 1.36 | 124 | 0.17 | 2.08 | 3.90 | 1.2 |
| GW 2 | 27.0 | 6.66 | 0.31 | 136 | 0.20 | 4.32 | 4.68 | 1.4 | |
| TW1 | 26.0 | 6.68 | 0.56 | 128 | 0.41 | BDL | 0.52 | 1.0 | |
| GW 3 | 27.4 | 7.02 | 0.76 | 111 | 0.16 | 3.00 | 4.02 | 0.8 | |
| GW 4 | 27.0 | 7.01 | 2.54 | 137 | 0.14 | 3.24 | 4.84 | 0.9 | |
| TW2 | 28.0 | 6.72 | 0.16 | 107 | 0.37 | BDL | 0.50 | 0.7 | |
| Jhumka | GW 1 | 26.8 | 6.85 | 3.07 | 228 | 0.18 | 4.22 | 4.54 | 1.1 |
| TW1 | 26.1 | 6.99 | 0.32 | 191 | 0.43 | 0.87 | 0.99 | 0.6 | |
| GW 2 | 28.0 | 7.10 | 2.60 | 207 | 0.26 | 0.26 | 0.31 | 0.9 | |
| TW2 | 26.0 | 7.11 | 0.10 | 200 | 0.41 | BDL | 0.04 | 0.4 | |
| Mahendranagar | GW 1 | 24.0 | 6.70 | 3.94 | 182 | 0.26 | 0.79 | 1.17 | 0.8 |
| GW 3 | 26.0 | 6.69 | 0.23 | 173 | 0.29 | 0.70 | 0.70 | 1.5 | |
| TW1 | 25.0 | 7.03 | 0.37 | 185 | 0.41 | 0.03 | 0.16 | 1.1 | |
| GW 2 | 25.0 | 6.80 | 0.33 | 212 | 0.21 | 2.56 | 2.72 | 1.0 | |
| Pakali | GW 1 | 24.0 | 6.95 | 0.72 | 183 | 0.23 | 0.17 | 0.24 | 0.9 |
| TW1 | 25.0 | 7.69 | 0.34 | 185 | 0.30 | BDL | 0.06 | 0.5 | |
| GW 2 | 26.0 | 7.03 | 11.70 | 216 | 0.18 | 1.02 | 1.30 | 1.4 | |
| TW2 | 26.0 | 7.37 | 0.71 | 203 | 0.25 | BDL | 0.07 | 0.6 |







References
- Zhang, X.; Hu, B.; Wang, P.; Chen, J.; Yang, L.; Xiao, K.; Zhang, X. Hydrogeochemical Evolution and Heavy Metal Contamination in Groundwater of a Reclaimed Land on Zhoushan Island. Water 2018, 10, 316. [Google Scholar] [CrossRef]
- Sharma, G.K.; Jena, R.K.; Ray, P.; Yadav, K.K.; Moharana, P.C.; Cabral-Pinto, M.M.S.; Bordoloi, G. Evaluating the Geochemistry of Groundwater Contamination with Iron and Manganese and Probabilistic Human Health Risk Assessment in Endemic Areas of the World’s Largest River Island, India. Environ. Toxicol. Pharmacol. 2021, 87, 103690. [Google Scholar] [CrossRef]
- Islam, M.Z.; Mostafa, M.G. Iron, Manganese, and Lead Contamination in Groundwater of Bangladesh: A Review. Water Pract. Technol. 2024, 19, 745–760. [Google Scholar] [CrossRef]
- WHO. Fourth Edition Incorporating the First and Second Addenda Guidelines for Drinking-Water Quality; World Health Organization: Geneva, Switzerland, 2022. [Google Scholar]
- Krishnakumari, B.; Mohit Abhishek, V.; Puneeth, T.E.; Vignesh, S.; Mohamed, M.K. Irfan Removal of Iron and Manganese From Ground Water. Int. J. Eng. Res. 2018, V6, 02. [Google Scholar] [CrossRef]
- Amin, S.; Kazama, S.; Sawangjang, B.; Takizawa, S. Causes and Effects of Scale Deposition in Water Supply Pipelines in Surakarta City, Indonesia. Water 2024, 16, 2275. [Google Scholar] [CrossRef]
- Wang, M.; Wang, M.; Yang, L.; Yang, T.; Li, J.; Chen, Y. Distribution Characteristics and Genesis of Iron and Manganese Ions in Groundwater of Eastern Sanjiang Plain, China. Water 2023, 15, 2068. [Google Scholar] [CrossRef]
- Rahman, M.F.; Ali, M.A.; Chowdhury, A.I.A.; Ravenscroft, P. Manganese in Groundwater in South Asia Needs Attention. ACS ES&T Water 2023, 3, 1425–1428. [Google Scholar] [CrossRef]
- Islam, M.S.; Mostafa, M.G. Occurrence, Source, and Mobilization of Iron, Manganese, and Arsenic Pollution in Shallow Aquifer. Geofluids 2023, 2023, 6628095. [Google Scholar] [CrossRef]
- Piispanen, J.K.; Sallanko, J.T. Mn(II) Removal from Groundwater with Manganese Oxide-Coated Filter Media. J. Environ. Sci. Health Tox. Hazard. Subst. Environ. Eng. 2010, 45, 1732–1740. [Google Scholar] [CrossRef]
- Rusydi, A.F.; Onodera, S.I.; Saito, M.; Ioka, S.; Maria, R.; Ridwansyah, I.; Delinom, R.M. Vulnerability of Groundwater to Iron and Manganese Contamination in the Coastal Alluvial Plain of a Developing Indonesian City. SN Appl. Sci. 2021, 3, 399. [Google Scholar] [CrossRef]
- Palmucci, W.; Rusi, S.; Di Curzio, D. Mobilisation Processes Responsible for Iron and Manganese Contamination of Groundwater in Central Adriatic Italy. Environ. Sci. Pollut. Res. 2016, 23, 11790–11805. [Google Scholar] [CrossRef] [PubMed]
- Moyosore, J.O.; Coker, A.O.; Sridhar, M.K.C.; Mumuni, A. Iron and Manganese Levels of Groundwater in Selected Areas in Ibadan and Feasible Engineering Solutions. Eur. Sci. J. 2014, 10, 11. [Google Scholar]
- Frisbie, S.H.; Mitchell, E.J.; Sarkar, B. Urgent Need to Reevaluate the Latest World Health Organization Guidelines for Toxic Inorganic Substances in Drinking Water. Environ. Health 2015, 14, 63. [Google Scholar] [CrossRef]
- Kim, J. Manganese Treatment to Reduce Black Water Occurrence in the Water Supply. Environ. Eng. Res. 2015, 20, 230–236. [Google Scholar] [CrossRef]
- Tang, X.; Zhu, X.; Huang, K.; Wang, J.; Guo, Y.; Xie, B.; Li, G.; Liang, H. Can Ultrafiltration Singly Treat the Iron- and Manganese-Containing Groundwater? J. Hazard. Mater. 2021, 409, 124983. [Google Scholar] [CrossRef] [PubMed]
- McBeath, S.T.; Hajimalayeri, A.; Jasim, S.Y.; Mohseni, M. Coupled Electrocoagulation and Oxidative Media Filtration for the Removal of Manganese and Arsenic from a Raw Ground Water Supply. J. Water Process. Eng. 2021, 40, 101983. [Google Scholar] [CrossRef]
- Xu, L.; Cao, G.; Xu, X.; Liu, S.; Duan, Z.; He, C.; Wang, Y.; Huang, Q. Simultaneous Removal of Cadmium, Zinc and Manganese Using Electrocoagulation: Influence of Operating Parameters and Electrolyte Nature. J. Environ. Manag. 2017, 204, 394–403. [Google Scholar] [CrossRef]
- Kononova, O.N.; Bryuzgina, G.L.; Apchitaeva, O.V.; Kononov, Y.S. Ion Exchange Recovery of Chromium (VI) and Manganese (II) from Aqueous Solutions. Arab. J. Chem. 2019, 12, 2713–2720. [Google Scholar] [CrossRef]
- Wang, L.K.; Wang, M.-H.S. Evolutionary Progress in Science, Technology, Engineering, Arts and Mathematics (Steam). In Series Innovative Process System Consisting of Dissolved Air Flotation, Recarbonation and Filtration, Using Lime and Sodium Aluminate for Removal of Hardness, Iron and Manganese from Groundwater; Lenox Institute of Water Technology: Lenox, MA, USA, 2022; Volume 4. [Google Scholar] [CrossRef]
- Hoyland, V.W.; Knocke, W.R.; Falkinham, J.O.; Pruden, A.; Singh, G. Effect of Drinking Water Treatment Process Parameters on Biological Removal of Manganese from Surface Water. Water Res. 2014, 66, 31–39. [Google Scholar] [CrossRef]
- Khadse, G.K.; Patni, P.M.; Labhasetwar, P.K. Removal of Iron and Manganese from Drinking Water Supply. Sustain. Water Resour. Manag. 2015, 1, 157–165. [Google Scholar] [CrossRef]
- Jasim, S.Y.; Mohseni, M. Ozone Application for Arsenic and Manganese Treatment at the City of White Rock, BC, Canada. Ozone Sci. Eng. 2019, 41, 322–331. [Google Scholar] [CrossRef]
- Hua, M.; Zhang, S.; Pan, B.; Zhang, W.; Lv, L.; Zhang, Q. Heavy Metal Removal from Water/Wastewater by Nanosized Metal Oxides: A Review. J. Hazard. Mater. 2012, 211–212, 317–331. [Google Scholar] [CrossRef]
- Jerroumi, S.; Amarine, M.; Gourich, B. Technological Trends in Manganese Removal from Groundwater: A Review. J. Water Process. Eng. 2023, 56, 104365. [Google Scholar] [CrossRef]
- Patil, D.S.; Chavan, S.M.; Oubagaranadin, J.U.K. A Review of Technologies for Manganese Removal from Wastewaters. J. Environ. Chem. Eng. 2016, 4, 468–487. [Google Scholar] [CrossRef]
- Kouzbour, S.; El Azher, N.; Gourich, B.; Gros, F.; Vial, C.; Stiriba, Y. Removal of Manganese (II) from Drinking Water by Aeration Process Using an Airlift Reactor. J. Water Process. Eng. 2017, 16, 233–239. [Google Scholar] [CrossRef]
- El-Sheikh, M.A.; Guirguis, H.S.; Fathy, A. A Comparative Study of Methods Used for Fe and Mn Oxidation and Removal from Groundwater Assessing the Impact of Climate Change on the Eastern Nile View Project Iron and Manganese Removal from Groundwater View Project. J. Eng. Appl. Sci. 2016, 63, 277–292. [Google Scholar]
- Tobiason, J.E.; Bazilio, A.; Goodwill, J.; Mai, X.; Nguyen, C. Manganese Removal from Drinking Water Sources. Curr. Pollut. Rep. 2016, 2, 168–177. [Google Scholar] [CrossRef]
- Kan, C.C.; Aganon, M.C.; Futalan, C.M.; Dalida, M.L.P. Adsorption of Mn2+ from Aqueous Solution Using Fe and Mn Oxide-Coated Sand. J. Environ. Sci. 2013, 25, 1483–1491. [Google Scholar] [CrossRef] [PubMed]
- Mabate, T.P.; Maqunga, N.P.; Ntshibongo, S.; Maumela, M.; Bingwa, N. Metal Oxides and Their Roles in Heterogeneous Catalysis: Special Emphasis on Synthesis Protocols, Intrinsic Properties, and Their Influence in Transfer Hydrogenation Reactions. SN Appl. Sci. 2023, 5, 196. [Google Scholar] [CrossRef]
- Michel, M.M.; Reczek, L.; Papciak, D.; Wlodarczyk-Makula, M.; Siwiec, T.; Trach, Y. Mineral Materials Coated with and Consisting of MnOx—Characteristics and Application of Filter Media for Groundwater Treatment: A Review. Materials 2020, 13, 2232. [Google Scholar] [CrossRef]
- Jez-Walkowiak, J.; Dymaczewski, Z.; Szuster-Janiaczyk, A.; Nowicka, A.B.; Szybowicz, M. Efficiency of Mn Removal of Different Filtration Materials for Groundwater Treatment Linking Chemical and Physical Properties. Water 2017, 9, 498. [Google Scholar] [CrossRef]
- Rudi, N.N.; Muhamad, M.S.; Te Chuan, L.; Alipal, J.; Omar, S.; Hamidon, N.; Abdul Hamid, N.H.; Mohamed Sunar, N.; Ali, R.; Harun, H. Evolution of Adsorption Process for Manganese Removal in Water via Agricultural Waste Adsorbents. Heliyon 2020, 6, e05049. [Google Scholar] [CrossRef]
- Kalvani, N.; Mesdaghinia, A.; Yaghmaeian, K.; Abolli, S.; Saadi, S.; Rashidi Mehrabadi, A.; Alimohammadi, M. Evaluation of Iron and Manganese Removal Effectiveness by Treatment Plant Modules Based on Water Pollution Index: A Comprehensive Approach. J. Environ. Health Sci. Eng. 2021, 19, 1005–1013. [Google Scholar] [CrossRef]
- Bruins, J.H.; Petrusevski, B.; Slokar, Y.M.; Huysman, K.; Joris, K.; Kruithof, J.C.; Kennedy, M.D. Reduction of Ripening Time of Full-Scale Manganese Removal Filters with Manganese Oxide-Coated Media. J. Water Supply Res. Technol. AQUA 2015, 64, 434–441. [Google Scholar] [CrossRef]
- Haukelidsaeter, S.; Boersma, A.S.; Piso, L.; Lenstra, W.K.; van Helmond, N.A.G.M.; Schoonenberg, F.; van der Pol, E.; Hurtarte, L.C.C.; van der Wielen, P.W.J.J.; Behrends, T.; et al. Efficient Chemical and Microbial Removal of Iron and Manganese in a Rapid Sand Filter and Impact of Regular Backwash. Appl. Geochem. 2024, 162, 105904. [Google Scholar] [CrossRef]
- Bruins, J.H.; Vries, D.; Petrusevski, B.; Slokar, Y.M.; Kennedy, M.D. Assessment of Manganese Removal from over 100 Groundwater Treatment Plants. J. Water Supply: Res. Technol. AQUA 2014, 63, 268–280. [Google Scholar] [CrossRef]
- Haukelidsaeter, S.; Boersma, A.S.; Kirwan, L.; Corbetta, A.; Gorres, I.D.; Lenstra, W.K.; Schoonenberg, F.K.; Borger, K.; Vos, L.; van der Wielen, P.W.J.J.; et al. Influence of Filter Age on Fe, Mn and NH4+ Removal in Dual Media Rapid Sand Filters Used for Drinking Water Production. Water Res. 2023, 242, 120184. [Google Scholar] [CrossRef]
- Pathak, D. Water Availability and Hydrogeological Condition in the Siwalik Foothill of East Nepal. Nepal J. Sci. Technol. 2016, 17, 31–38. [Google Scholar] [CrossRef]
- Pathak, D. Status of Groundwater Exploitation and Investigation in Terai and Inner Terai Region of Nepal. Bull. Nepal Hydrogeol. Assoc. 2018, 3, 77–83. [Google Scholar]
- Shrestha, S.R.; Tripathi, G.N.; Laudari, D. Groundwater Resources of Nepal: An Overview. In Groundwater of South Asia; Springer: Berlin/Heidelberg, Germany, 2018; pp. 169–193. [Google Scholar] [CrossRef]
- Mahato, S.; Mahato, A.; Karna, P.K.; Balmiki, N. Investigating Aquifer Contamination and Groundwater Quality in Eastern Terai Region of Nepal. BMC Res. Notes 2018, 11, 321. [Google Scholar] [CrossRef]
- Liu, J.; Chen, Q.; Yang, Y.; Wei, H.; Laipan, M.; Zhu, R.; He, H.; Hochella, M.F. Coupled Redox Cycling of Fe and Mn in the Environment: The Complex Interplay of Solution Species with Fe- and Mn-(Oxyhydr)Oxide Crystallization and Transformation. Earth Sci. Rev. 2022, 232, 104105. [Google Scholar] [CrossRef]
- National Statistics Office. National Population and Housing Census Provincial Report (Koshi Province). 2021. Available online: https://censusnepal.cbs.gov.np/results/files/result-folder/National Report_English.pdf (accessed on 24 August 2024).
- Ghimire, D.; Dhakal, D.R.; Bhusal, G.; Khadka, A.K.; Shrestha, S.; Regmi, R.P. Post Monsoon Season Spatial Distribution of Groundwater Depth over the Low-Lands of Sunsari District of Eastern Nepal. J. Nepal Phys. Soc. 2022, 8, 32–38. [Google Scholar] [CrossRef]
- National Statistics Office. National Population and Housing Census 2021 National Report. Available online: https://censusnepal.cbs.gov.np/results/files/result-folder/National%20Report_English.pdf (accessed on 24 August 2024).
- Khadka, D.B.; Bhattarai, M. Delineation of Ground Water Potential Zoning Using GIS and Remote Sensing by AHP of Sunsari District (Koshi Basin) Area of Nepal. J. Eng. Res. Rep. 2023, 24, 42–61. [Google Scholar] [CrossRef]
- Acharya, K.K. Local Governance Restructuring in Nepal: From Government to Governmentality. Dhaulagiri J. Sociol. Anthropol. 2018, 12, 37–49. [Google Scholar] [CrossRef]
- Neupane, S.; Gajurel, A.P.; Shakya, N.; Lupker, M.; Hada, R. Assessment on Connection between Shallow and Deep Aquifers Using Isotope Analysis of Surface Water and Groundwater in Sunsari and Morang Districts. J. Nepal Geol. Soc. 2019, 59, 73–78. [Google Scholar] [CrossRef]
- Shrestha, A.; Kazama, S.; Takizawa, S. Influence of Service Levels and COVID-19 on Water Supply Inequalities of Community-Managed Service Providers in Nepal. Water 2021, 13, 1349. [Google Scholar] [CrossRef]
- Kumar Mishra, A.; Kumar Karna, A. Assessment of Management Transfer Process of Water Supply Systems in Sunsari District of Nepal. Int. J. Res.-Granthaalayah 2019, 7, 1–24. [Google Scholar] [CrossRef]
- NWASH. Available online: https://nwash.gov.np/ (accessed on 25 November 2022).
- Bhandari, M.R.; Aryal, K.; Bhanadari, M.R. Status of Water Sources and Its Impact on Livelihood Practices in Sardhukhola Watershed of Eastern Nepal Agriculture and Forestry Journal Status of Water Sources and Its Impact on Livelihood Practices in Sardhukhola Watershed of Eastern Nepal (Sunsari). Agric. For. J. 2020, 4, 19–31. [Google Scholar] [CrossRef]
- Government of Nepal Ministry of Energy, Water Resource and Irrigation Department of Hydrology and Meteorology Climate Division. Preliminary Precipitation and Temperature Summary. 2023. Available online: https://www.dhm.gov.np/uploads/dhm/climateService/Preliminary_precipitation_and_temperature_summary_July_2023.pdf (accessed on 24 August 2024).
- The Collision Theory. Available online: https://chem.libretexts.org/Bookshelves/Physical_and_Theoretical_Chemistry_Textbook_Maps/Supplemental_Modules_(Physical_and_Theoretical_Chemistry)/Kinetics/06%3A_Modeling_Reaction_Kinetics/6.01%3A_Collision_Theory/6.1.06%3A_The_Collision_Theory (accessed on 22 May 2024).
- Hach Company Oxidation Reduction Potential (ORP) Direct Measurement Method Method 10228-2000 to 2000 MV ORP Electrode. 2021. Available online: https://images.hach.com/ (accessed on 24 August 2024).
- Government of Nepal National Drinking Water Quality Standard 2023: Implementation Directive. Available online: https://dwssm.gov.np/storage/listies/March2023/khanepani-mapdanda-kitab-final.pdf (accessed on 8 May 2024).
- Fu, X.; Niu, Z.; Lin, M.; Gao, Y.; Sun, W.; Yue, T. Strengthened Oxygen Oxidation of Ferrous Ions by a Homemade Venturi Jet Microbubble Generator towards Iron Removal in Hydrometallurgy. Minerals 2021, 11, 1342. [Google Scholar] [CrossRef]
- Kent, R.; Landon, M.K. Trends in Concentrations of Nitrate and Total Dissolved Solids in Public Supply Wells of the Bunker Hill, Lytle, Rialto, and Colton Groundwater Subbasins, San Bernardino County, California: Influence of Legacy Land Use. Sci. Total Environ. 2013, 452–453, 125–136. [Google Scholar] [CrossRef]
- Siwiec, T.; Michel, M.M.; Reczek, L.; Nowak, P. The Influence of Aeration on the Change in Corrosiveness and Aggressiveness of Groundwater. Water Supply 2016, 16, 445–452. [Google Scholar] [CrossRef]
- Goncharuk, V.V.; Bagrii, V.A.; Mel’nik, L.A.; Chebotareva, R.D.; Bashtan, S.Y. The Use of Redox Potential in Water Treatment Processes. J. Water Chem. Technol. 2010, 32, 1–9. [Google Scholar] [CrossRef]
- Wątor, K.; Dobrzyński, D.; Sugimori, K.; Kmiecik, E. Redox Potential Research in the Field of Balneochemistry: Case Study on Equilibrium Approach to Bioactive Elements in Therapeutic Waters. Int. J. Biometeorol. 2020, 64, 815–826. [Google Scholar] [CrossRef]
- Vries, D.; Bertelkamp, C.; Schoonenberg Kegel, F.; Hofs, B.; Dusseldorp, J.; Bruins, J.H.; de Vet, W.; van den Akker, B. Iron and Manganese Removal: Recent Advances in Modelling Treatment Efficiency by Rapid Sand Filtration. Water Res. 2017, 109, 35–45. [Google Scholar] [CrossRef]
- Islam, M.Z.; Mostafa, M.G. Seasonal Variation of Fe, Mn, and Pb in Groundwater of Northwestern Bangladesh. J. Chem. Environ. 2024, 3, 77–97. [Google Scholar] [CrossRef]
- Kousa, A.; Komulainen, H.; Hatakka, T.; Backman, B.; Hartikainen, S. Variation in Groundwater Manganese in Finland. Environ. Geochem. Health 2021, 43, 1193–1211. [Google Scholar] [CrossRef] [PubMed]
- Liu, W.; Qin, D.; Yang, Y.; Guo, G. Enrichment of Manganese at Low Background Level Groundwater Systems: A Study of Groundwater from Quaternary Porous Aquifers in Changping Region, Beijing, China. Water 2023, 15, 1537. [Google Scholar] [CrossRef]
- Cheng, L.H.; Xiong, Z.Z.; Cai, S.; Li, D.W.; Xu, X.H. Aeration-Manganese Sand Filter-Ultrafiltration to Remove Iron and Manganese from Water: Oxidation Effect and Fouling Behavior of Manganese Sand Coated Film. J. Water Process. Eng. 2020, 38, 101621. [Google Scholar] [CrossRef]
- Basic Chemistry of Chlorination. Available online: https://www.hydroinstruments.com (accessed on 30 June 2024).
- Wei, N.; Zhang, Z.; Liu, D.; Wu, Y.; Wang, J.; Wang, Q. Coagulation Behavior of Polyaluminum Chloride: Effects of PH and Coagulant Dosage. Chin. J. Chem. Eng. 2015, 23, 1041–1046. [Google Scholar] [CrossRef]
- Takeno, N. Atlas of Eh-PH Diagrams Intercomparison of Thermodynamic Databases. 2005. Available online: https://www.nrc.gov/docs/ML1808/ML18089A638.pdf (accessed on 24 August 2024).
- Kobylin, P.; Mäenpää, L.; Roine, A.; Anttila, K. E—PH (Pourbaix) Diagrams Module. 2014. Available online: https://www.metso.com/globalassets/portfolio/hsc-chemistry/17-eh---ph---diagrams.pdf (accessed on 24 August 2024).
- Iwuozor, K.O.; Ighalo, J.O.; Chizitere Emenike, E.; Adaobi Igwegbe, C.; Adeniyi, A.G. Do Adsorbent Pore Size and Specific Surface Area Affect the Kinetics of Methyl Orange Aqueous Phase Adsorption? J. Chem. Lett 2021, 2, 188–198. [Google Scholar]
- Water Safety Portal. Available online: https://wsportal.org/ (accessed on 23 August 2024).










| WSP | Duhabi TP1/TP2 | Inaruwa | Jhumka TP1 | Mahendranagar TP1 | Pakali TP1/TP2 | |
|---|---|---|---|---|---|---|
| TP1 | TP2 | |||||
| Aeration Media | Not in operation | MnO2-coated pebbles | Pall rings | Pall rings | MnO2-coated pebbles | Pall rings |
| Filtration Media | Manganese sand + Quartz sand | Quartz sand | Quartz sand | Quartz sand | Quartz sand | Quartz sand |
| Water Quality Parameters | Jhumka | Inaruwa |
|---|---|---|
| pH | 7.60 | 7.45 |
| Temperature (°C) | 24.0 | 25.3 |
| Turbidity (NTU) | 3.57 | 30.28 |
| Electrical conductivity (μS/cm) | 414 | 246 |
| Ammonia (mg/L) | BDL (<0.02) | 0.06 |
| Ferrous iron (mg/L) | 0.03 | 0.42 |
| Total iron (mg/L) | 0.82 | 3.92 |
| Manganese (mg/L) | 1.10 | 1.10 |
Disclaimer/Publisher’s Note: The statements, opinions and data contained in all publications are solely those of the individual author(s) and contributor(s) and not of MDPI and/or the editor(s). MDPI and/or the editor(s) disclaim responsibility for any injury to people or property resulting from any ideas, methods, instructions or products referred to in the content. |
© 2024 by the authors. Licensee MDPI, Basel, Switzerland. This article is an open access article distributed under the terms and conditions of the Creative Commons Attribution (CC BY) license (https://creativecommons.org/licenses/by/4.0/).
Share and Cite
Shrestha, A.M.; Kazama, S.; Sawangjang, B.; Takizawa, S. Improvement of Removal Rates for Iron and Manganese in Groundwater Using Dual-Media Filters Filled with Manganese-Oxide-Coated Sand and Ceramic in Nepal. Water 2024, 16, 2450. https://doi.org/10.3390/w16172450
Shrestha AM, Kazama S, Sawangjang B, Takizawa S. Improvement of Removal Rates for Iron and Manganese in Groundwater Using Dual-Media Filters Filled with Manganese-Oxide-Coated Sand and Ceramic in Nepal. Water. 2024; 16(17):2450. https://doi.org/10.3390/w16172450
Chicago/Turabian StyleShrestha, Ankit Man, Shinobu Kazama, Benyapa Sawangjang, and Satoshi Takizawa. 2024. "Improvement of Removal Rates for Iron and Manganese in Groundwater Using Dual-Media Filters Filled with Manganese-Oxide-Coated Sand and Ceramic in Nepal" Water 16, no. 17: 2450. https://doi.org/10.3390/w16172450
APA StyleShrestha, A. M., Kazama, S., Sawangjang, B., & Takizawa, S. (2024). Improvement of Removal Rates for Iron and Manganese in Groundwater Using Dual-Media Filters Filled with Manganese-Oxide-Coated Sand and Ceramic in Nepal. Water, 16(17), 2450. https://doi.org/10.3390/w16172450

