Study on Optimal Allocation of Water Resources Based on Uncertain Multi-Objective Fuzzy Model: A Case of Pingliang City, China
Abstract
1. Introduction
2. Study Area
3. Materials and Methods
3.1. Data
3.2. Method
3.2.1. Gray Prediction Model
- (1)
- Original column
- (2)
- Accumulation of data
- (3)
- Accumulated data reduction
3.2.2. Fairness Constraint
3.2.3. Membership Functions
3.2.4. Interval Fuzzy Linear Programming
3.3. Uncertain Multi-Objective Fuzzy Programming Model
3.3.1. Objective Function
- (1)
- Social objective (104 m3): measured indirectly in terms of minimizing water shortages in the region as a whole.
- (2)
- Economic goal (million CNY): after the optimal allocation, the goal is to maximize the economic benefits of the region directly reflected.
- (3)
- Ecological objective (tons): indirectly expressed as a minimum value (COD) that represents the pollution component of the area.
3.3.2. Constraint Condition
- (1)
- Constraints on the available water supply
- (2)
- User water requirement constraint
- (3)
- Pollutant discharge restraint
- (4)
- Fairness constraint
- (5)
- Variables are not negatively constrained
3.3.3. Determination of Model Parameters
- (1)
- Water use efficiency coefficient
- (2)
- Water supply cost coefficient
- (3)
- Water use equity coefficient and water supply order coefficient
- (4)
- Water weight coefficient
3.3.4. Solving Procedure
4. Results
4.1. Supply and Demand Balance Analysis
4.1.1. Water Demand Forecasting
4.1.2. Water Supply Forecasting
4.1.3. Supply and Demand Balance Analysis
4.2. Optimal Allocation of Water Resources
4.2.1. Water Resource Optimal Distribution Program
4.2.2. Water Distribution Benefit Analysis
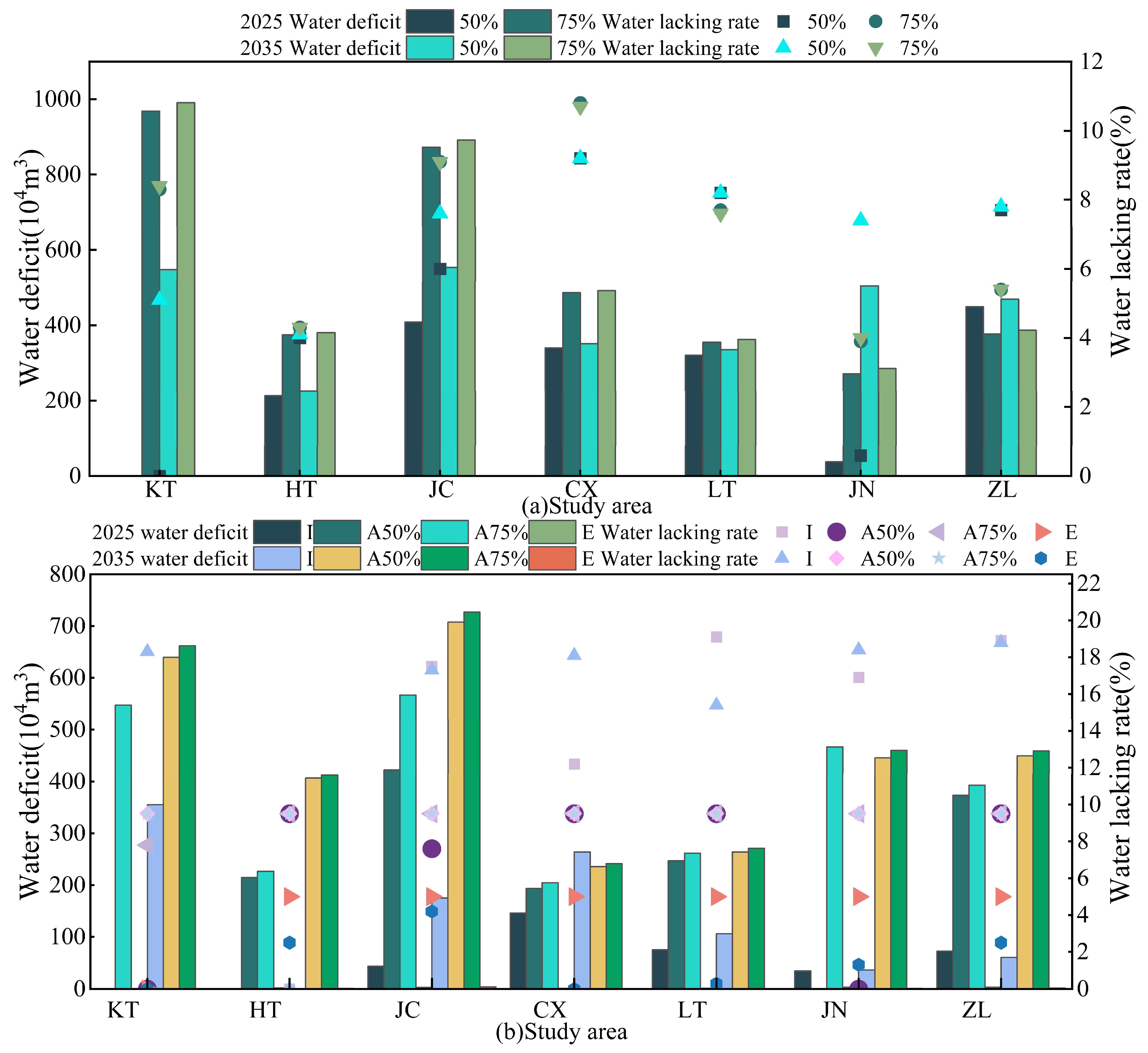
4.2.3. Water Shortage Rate
4.2.4. Water Allocation from Different Water Sources
5. Discussion
5.1. Optimal Allocation Model
5.2. Water Shortage Solutions
6. Conclusions
Author Contributions
Funding
Data Availability Statement
Acknowledgments
Conflicts of Interest
References
- Makanda, K.; Nzama, S.; Kanyerere, T. Assessing the Role of Water Resources Protection Practice for Sustainable Water Resources Management: A Review. Water 2022, 14, 3153. [Google Scholar] [CrossRef]
- Tian, J.; Guo, S.L.; Deng, L.L.; Yin, J.B.; Pan, Z.K.; He, S.K.; Li, Q.X. Adaptive optimal allocation of water resources response to future water availability and water demand in the Han River basin, China. Sci. Rep. 2021, 11, 7879. [Google Scholar] [CrossRef]
- Dai, L.Y.; Wang, X.R. Research and Application of Optimal Allocation Model of Water and Soil Resources from the Perspective of Ecological Economics. J. Sens. 2022, 2022, 4579694. [Google Scholar] [CrossRef]
- Cheng, B.; Li, H.E.; Yue, S.Y.; Huang, K. A conceptual decision-making for the ecological base flow of Rivers considering the economic value of ecosystem services of Rivers in water shortage area of Northwest China. J. Hydrol. 2019, 578, 124126. [Google Scholar] [CrossRef]
- Dai, Z.Y.; Li, Y.P. A multistage irrigation water allocation model for agricultural land-use planning under uncertainty. Agric. Water Manag. 2013, 129, 69–79. [Google Scholar] [CrossRef]
- Huang, Y.; Li, Y.P.; Chen, X.; Ma, Y.G. Optimization of the irrigation water resources for agricultural sustainability in Tarim River Basin, China. Agric. Water Manag. 2012, 107, 74–85. [Google Scholar] [CrossRef]
- Gorgoglione, A.; Crisci, M.; Kayser, R.H.; Chreties, C.; Collischonn, W. A new scenario-based framework for conflict resolution in water allocation in transboundary watersheds. Water 2019, 11, 1174. [Google Scholar] [CrossRef]
- Zhang, S.J.; Liu, J.; Li, C.Z.; Yu, F.L.; Jing, L.; Chen, W.F. Evaluation of Water Resources Utilization Efficiency Based on DEA and AHP under Climate Change. Water 2023, 15, 718. [Google Scholar] [CrossRef]
- Fan, Y.R.; Huang, G.H.; Huang, K.; Baetz, B.W. Planning water resources allocation under multiple un-certainties through a generalized fuzzy two-stage stochastic programming method. IEEE Trans. Fuzzy Syst. 2015, 23, 1488–1504. [Google Scholar] [CrossRef]
- Ma, J.; Liu, H.L.; Wu, W.F.; Zhang, Y.Q.; Dong, S. Research on optimal allocation of water resources in Handan city based on the refined water resource allocation model. Water 2022, 15, 154. [Google Scholar] [CrossRef]
- Shuai, Y.H.; He, X.P.; Yao, L.M. Robust optimization with equity and efficiency framework for basin-wide water resources planning. J. Environ. Manag. 2022, 321, 115834. [Google Scholar] [CrossRef]
- Xie, Y.L.; Huang, G.H.; Li, W.; Li, J.B.; Li, Y.F. An inexact two-stage stochastic programming model for water resources management in Nansihu lake basin, China. J. Environ. Manag. 2013, 127, 188–205. [Google Scholar] [CrossRef]
- Jin, L.; Fu, H.; Kim, Y.; Long, J.; Huang, G. A Bi-Objective Pseudo-Interval T2 Linear Programming Approach and Its Application to Water Resources Management Under Uncertainty. Water 2018, 10, 1545. [Google Scholar] [CrossRef]
- Wang, Y.Z.; Li, Z.; Guo, S.S.; Zhang, F.; Guo, P. A risk-based fuzzy boundary interval two-stage stochastic water resources management programming approach under uncertainty. J. Hydrol. 2020, 582, 124553. [Google Scholar] [CrossRef]
- Ji, L.; Huang, G.; Ma, Q. Total consumption-controlled water allocation management for multiple sources and users with inexact fuzzy chance-constrained programming: A case study of Tianjin, China. Stoch. Environ. Res. Risk Assess. 2018, 32, 3299–3315. [Google Scholar] [CrossRef]
- Mirzaie, N.; Banihabib, M.E.; Shahdany, S.M.H.; Randhir, T.O. Fuzzy particle swarm optimization for conjunctive use of groundwater and reclaimed wastewater under uncertainty. Agric. Water Manag. 2021, 256, 107116. [Google Scholar] [CrossRef]
- He, Y.R.; Yan, T.; Liu, J.; Shi, H.W.; Lev, B. Quartet trade-off for regional water resources allocation optimization with multiple water sources: A decentralized bi-level multi-objective model under hybrid uncertainty. J. Hydrol. 2023, 619, 129341. [Google Scholar] [CrossRef]
- Xiao, J.; Cai, Y.P.; He, Y.H.; Xie, Y.L.; Yang, Z.F. A dual-randomness bi-level interval multi-objective programming model for regional water resources management. J. Contam. Hydrol. 2021, 241, 103816. [Google Scholar] [CrossRef]
- Rodríguez Pérez, Á.M.; Rodríguez, C.A.; Olmo Rodríguez, L.; Caparros Mancera, J.J. Revitalizing the Canal de Castilla: A Community Approach to Sustainable Hydropower Assessed through Fuzzy Logic. Appl. Sci. 2024, 14, 1828. [Google Scholar] [CrossRef]
- Rodríguez-Pérez, Á.M.; Rodríguez, C.A.; Márquez-Rodríguez, A.; Mancera, J.J.C. Viability Analysis of Tidal Turbine Installation Using Fuzzy Logic: Case Study and Design Considerations. Axioms 2023, 12, 778. [Google Scholar] [CrossRef]
- Zhang, L.; Li, C.Y. An inexact two-stage water resources allocation model for sustainable development and management under uncertainty. Water Resour. Manag. 2014, 28, 3161–3178. [Google Scholar] [CrossRef]
- Ahmad, I.; Zhang, F.; Liu, J.; Anjum, M.N.; Zaman, M.; Tayyab, M.; Waseem, M.; Farid, H.U. A linear bi-level multi-objective program for optimal allocation of water resources. PLoS ONE 2018, 13, e0192294. [Google Scholar] [CrossRef]
- Holden, E.; Linnerud, K.; Banister, D. Sustainable development: Our common future revisited. Glob. Environ. Chang. 2014, 26, 130–139. [Google Scholar] [CrossRef]
- Renard, F.; Devleesschauwer, B.; Speybroeck, N.; Deboosere, P. Monitoring health inequalities when the socio-economic composition changes: Are the slope and relative indices of inequality appropriate? results of a simulation study. BMC Public Health 2019, 19, 662. [Google Scholar] [CrossRef]
- Keshavarzzadeh, A.H. Optimized water allocation in persistent severe climatic conditions: A novel metaheuristic approach. Water Res. 2022, 224, 0043–1354. [Google Scholar] [CrossRef]
- Yuan, M.K.; Chen, X.D.; Li, Y.; Zhang, Z.X.; Wang, L. Collaborative optimal allocation of water resources and sewage discharge rights in watershed cities: Considering equity among water sectors. Environ. Sci. Pollut. Res. 2023, 30, 88949–88967. [Google Scholar] [CrossRef]
- Hu, Z.N.; Chen, Y.Z.; Yao, L.M.; Wei, C.T.; Li, C.Z. Optimal allocation of regional water resources: From a perspective of equity–efficiency tradeoff. Resour. Conserv. Recycl. 2016, 109, 102–113. [Google Scholar] [CrossRef]
- Liao, X.R.; Meng, C.; Ren, Z.X.; Zhao, W.J. Optimization of Ecological Water Supplement Scheme for Improved Suitable Habitat Area for Rare Migratory Birds in Nature Reserves Using Interval-Parameter Fuzzy Two-Stage Stochastic Programming Model. Int. J. Environ. Res. Public Health 2020, 17, 7562. [Google Scholar] [CrossRef]
- Li, M.; Guo, P.; Fang, S.Q.; Zhang, L.D. An inexact fuzzy parameter two-stage stochastic programming model for irrigation water allocation under uncertainty. Stoch. Environ. Res. Risk Assess. 2013, 27, 1441–1452. [Google Scholar] [CrossRef]
- Ren, C.F.; Zhang, H.B. A Fuzzy Max–Min Decision Bi-Level Fuzzy Programming Model for Water Resources Optimization Allocation under Uncertainty. Water 2018, 10, 488. [Google Scholar] [CrossRef]
- Bravo, M.; Gonzalez, I. Applying stochastic goal programming: A case study on water use planning. Eur. J. Oper Res. 2009, 196, 1123–1129. [Google Scholar] [CrossRef]
- Fan, Y.R.; Huang, G.H.; Li, Y.P. Robust interval linear programming for environmental decision making under uncertainty. Eng. Optim. 2012, 44, 1321–1336. [Google Scholar] [CrossRef]
- Singh, S.K.; Yadav, S.P. Modeling and optimization of multi objective non-linear programming problem in intuitionistic fuzzy environment. Appl. Math. Model. 2015, 39, 4617–4629. [Google Scholar] [CrossRef]
- Wang, X.Q.; Huang, G.H. Violation analysis on two-step method for interval linear programming. Inf. Sci. 2014, 281, 85–96. [Google Scholar] [CrossRef]
- Khosrojerdi, T.; Moosavirad, S.H.; Ariafar, S.; Ghaeini, H.M. Optimal allocation of water resources using a two-stage stochastic programming method with interval and fuzzy parameters. Nat. Resour. Res. 2019, 28, 1107–1124. [Google Scholar] [CrossRef]
- Suo, M.; Xia, F.; Fan, Y.R. A fuzzy-interval dynamic optimization model for regional water resources allocation under uncertainty. Sustainability 2022, 14, 1096. [Google Scholar] [CrossRef]
- Dadmand, F.; Naji-Azimi, Z.; Farimani, N.M.; Davary, K. Sustainable allocation of water resources in water-scarcity conditions using robust fuzzy stochastic programming. J. Clean. Prod. 2020, 276, 0959–6526. [Google Scholar] [CrossRef]
- Li, Y.H.; Huang, S.J.; Qu, X.X. Water Pollution Prediction in the Three Gorges Reservoir Area and Countermeasures for Sustainable Development of the Water Environment. Int. J. Environ. Res. Public Health 2017, 14, 1307. [Google Scholar] [CrossRef]
- Santos, M.M.; Ferreira, A.V.; Lanzinha, J.C.G. The Possibilities of Capturing Rainwater and Reducing the Impact of Floods: A Proposal for the City of Beira, Mozambique. Sustainability 2023, 15, 2276. [Google Scholar] [CrossRef]
- Wang, F.; He, Q.; Zhao, Q.; Sha, X.Y.; Zhang, H.; Han, F. Changes of soil moisture in soil and water conservation forest land during vegetation restoration in loess hilly and gully region-a case study of Hulu River Basin in Pingliang City. Soil Water Conserv. China 2023, 8, 17–21+77. (In Chinese) [Google Scholar] [CrossRef]
- Li, R.; Luo, Y. Temporal and spatial distribution of precipitation and characteristics of short duration rainfall intensity in Jinghe and Weihe River Basins of Pingliang City. Zhejiang Water Conserv. Sci. Technol. 2022, 50, 36–40. (In Chinese) [Google Scholar] [CrossRef]
- Water Resources Bulletin of Pingliang City. Gansu Provincial Department of Water Resources. Available online: https://slt.gansu.gov.cn/ (accessed on 13 July 2021).
- Ning, N. Research on the spatial layout of mineral resources exploration and development in Pingliang City based on ArcGIS software. China Mining Ind. 2023, 32, 26–33. (In Chinese) [Google Scholar]
- Dong, S.H.; Wang, Z.; Li, Y.; Li, F.J.; Li, Z.H.; Chen, F.; Cheng, H. Assessment of comprehensive effects and optimization of a circular economy system of coal power and cement in Kongtong District, Pingliang City, Gansu Province, China. Sustainability 2017, 9, 787. [Google Scholar] [CrossRef]
- Chen, X.Q.; Hou, B.D.; Chen, L.H.; Wang, J.H.; Wang, L.C.; Huang, Y. Formation mechanism and future development trend of Kuznets curve for industrial water environment in Ningxia. South -North Water Transf. Water Sci. Technol. 2021, 19, 342–351. (In Chinese) [Google Scholar] [CrossRef]
- Zhao, M.Y.; Zhao, D.X.; Jiang, Z.X.; Cui, D.M.; Li, J.; Shi, X.Y. The gray prediction GM (1, 1) model in traffic forecast application. Math. Model. Eng. Probl. 2015, 2, 17–22. [Google Scholar] [CrossRef]
- Cullis, J.; Van Koppen, B. Applying the Gini coefficient to measure inequality of water use in the Olifants River water management area, South Africa. IWMI: Colombo, Sri Lanka, 2007. [Google Scholar] [CrossRef]
- Kazemi, M.; Bozorg-Haddad, O.; Fallah-Mehdipour, E.; Chu, X.F. Optimal water resources allocation in transboundary River basins according to hydropolitical consideration. Environ. Dev. Sustain. 2022, 24, 1188–1206. [Google Scholar] [CrossRef]
- Yang, G.Q.; Guo, P.; Huo, L.J.; Ren, C.F. Optimization of the irrigation water resources for Shijin irrigation district in north China. Agric. Water Manag. 2015, 158, 82–98. [Google Scholar] [CrossRef]
- Wang, Y.Z.; Liu, L.; Guo, S.S.; Yue, Q.; Guo, P. A bi-level multi-objective linear fractional programming for water consumption structure optimization based on water shortage risk. J. Clean. Prod. 2019, 237, 117829. [Google Scholar] [CrossRef]
- An, S.W.; Yang, F.X.; Yang, Y.R.; Huang, Y.; Zhang, Z.L.L.; Wei, X.M.; Yu, J.X. Water Demand Pattern and Irrigation Decision-Making Support Model for Drip-Irrigated Tomato Crop in a Solar Greenhouse. Agronomy 2022, 12, 1668. [Google Scholar] [CrossRef]
- Shu, S.X.; Qian, J.J.; Gong, W.H.; Pi, K.; Yang, Z.Q. Non-Probabilistic Reliability Analysis of Slopes Based on Fuzzy Set Theory. Appl. Sci. 2023, 13, 7024. [Google Scholar] [CrossRef]
- Huang, G.H.; Baetz, B.W.; Patry, G.G. A grey linear programming approach for municipal solid waste management planning under uncertainty. Civ. Eng. Syst. 1992, 9, 319–335. [Google Scholar] [CrossRef]
- Zhou, J. Study on Optimal Allocation of WATER resources in Baiyangdian Basin; Hebei Agricultural University: Cangzhou, China, 2010. (In Chinese) [Google Scholar]
- Zeng, F.C. Research on Supply-Requirement Analysis and Optimized Allocation of Water Resources in Xi’an City. Master’s Thesis, Chang an University, Xi’an, China, 2008. (In Chinese). [Google Scholar]
- Zhang, F.; Guo, S.; Ren, C.; Guo, P. Integrated Imo-tsp and AHP method for regional water allocation under uncertainty. J. Water Res. Plan Man. 2018, 144, 04018025.1–04018025.11. [Google Scholar] [CrossRef]
- Fu, Y.H.; Li, X.W.; Xu, B.T.; Zhang, S. Application of interval multi-objective fuzzy programming based on uncertainty in optimal allocation of water resources. South -North Water Transf. Water Sci. Technol. 2023, 21, 470–479. [Google Scholar] [CrossRef]
- Suo, M.; Wu, P.; Zhou, B. An Integrated Method for Interval Multi-Objective Planning of a Water Resource System in the Eastern Part of Handan. Water 2017, 9, 528. [Google Scholar] [CrossRef]
- Nie, S.; Huang, C.Z.; Huang, W.W.; Liu, J. A Non-Deterministic Integrated Optimization Model with Risk Measure for Identifying Water Resources Management Strategy. J. Environ. 2021, 38, 41–55. [Google Scholar] [CrossRef]
- Liu, D.; Liu, W.T.; Fu, Q.; Zhang, Y.J.; Li, T.X.; Imran, K.M.; Abrar, F.M. Two-Stage Multi-Water Sources Allocation Model in Regional Water Resources Management under Uncertainty. Water Resour. Manag. 2017, 27, 3607–3625. [Google Scholar] [CrossRef]
- Li, P.Y.; Yang, H.; He, W.; Yang, L.Z.; Hao, N.; Sun, P.X.; Li, Y. Optimal water resources allocation in the Yinma River Basin in Jilin Province, China, using fuzzy programming. Water 2022, 14, 2119. [Google Scholar] [CrossRef]
- Banihabib, M.E.; Mohammad Rezapour Tabari, M.; Mohammad Rezapour Tabari, M. Development of a Fuzzy Multi-Objective Heuristic Model for Optimum Water Allocation. Water Resour. Manag. 2019, 33, 3673–3689. [Google Scholar] [CrossRef]
- Zeng, X.T.; Kang, S.Z.; Li, F.S.; Zhang, L.; Guo, P. Fuzzy multi-objective linear programming applying to crop area planning. Agric. Water Manag. 2010, 98, 134–142. [Google Scholar] [CrossRef]
- Cheng, Z.; Wang, N.N.; Zhao, Y.T.; Cheng, L.; Song, T. Water Policy Evaluation Based on the Multi-Source Data-Driven Text Mining: A Case Study of the Strictest Water Resource Management Policy in China. Water 2022, 14, 3694. [Google Scholar] [CrossRef]
- Cheng, Z.; Wang, N.N.; Ouyang, R.; Wang, H.M.; Song, Z. A content analysis of the strictest water resources management policy in China. Water Econ. Policy 2022, 8, 2250011. [Google Scholar] [CrossRef]
- Cheng, Z.; Zhao, Y.T.; Wang, N.N.; Song, T.; Song, Z. Assessing the Impact of the Strictest Water Resources Management Policy on Water Use Efficiency in China. Water 2022, 14, 2291. [Google Scholar] [CrossRef]
- Zhao, Y.T.; Ouyang, R.L.; Zhu, Y.X.; Wang, H.M.; Cheng, Z. Evaluating the strictest water resources management policy in China based on the S-CAD method. Water Policy 2023, 25, 715–730. [Google Scholar] [CrossRef]
- Shao, W.W.; Zhou, J.J.; Liu, J.H.; Xie, P.G.; Yang, Z.H.; Li, W.J. Characteristics and effectiveness of water management methods for ‘sponge cities’ in China. Water Manag. 2020, 173, 163–171. [Google Scholar] [CrossRef]
- Zhang, J. Research on Historical Experiences of Water Management in California North-South Water Diversion Project of America; Wuhan University: Wuhan, China, 2006. [Google Scholar]
- Aljanabi, A.A.; Mays, L.W.; Fox, P. Optimization Model for Agricultural Reclaimed Water Allocation Using Mixed-Integer Nonlinear Programming. Water 2018, 10, 1291. [Google Scholar] [CrossRef]
- Zhang, J.Y.; He, R.M.; Qi, J.; Liu, C.S.; Wang, G.Q.; Jin, J.L. A new perspective on water issues in Northern China. Water Sci. Prog. 2013, 24, 303–310. (In Chinese) [Google Scholar] [CrossRef]
- Shao, J.L.; Bai, G.Y.; Liu, C.Z.; Zhang, Q.L.; Cui, Y.L. Problems and countermeasures of groundwater management in China-Concurrent discussion on ‘double control’ management of groundwater. Hydrogeol. Eng. Geol. 2023, 50, 1–9. (In Chinese) [Google Scholar] [CrossRef]
- Su, Z.J.; Wang, Y. Discussion on the Water Conservancy Ecological Compensation Mechanism of Bailong River Diversion Project in Gansu Province. Peopleߣs Yellow River 2023, 45, 85–89+96. (In Chinese) [Google Scholar]
- He, Z.J.; Jia, Y.F.; Meng, L.W.; Li, Y.; Zhang, N. Water Environment Impacts on Intake Area of the Phase- II of Taohe River Water Diversion Project. Peopleߣs Yellow River 2015, 37, 66–69. (In Chinese) [Google Scholar]
- Zhang, J. Comparison and selection of water transmission lines in urban section of urban and rural water supply project in Jingning County, Gansu Province. Shanxi Water Conserv. 2019, 35, 20–21+39. (In Chinese) [Google Scholar]
- The second phase of the main project of Mengyuan-Yintao Water Supply Project. Gansu Water Conserv. Hydropower Technol. 2021, 57, 65. Available online: https://slt.gansu.gov.cn/slt/c106687/c106689/202109/1838434.shtml (accessed on 13 July 2021). (In Chinese).
- Jingning County ‘s’14th Five-Year’ Water Conservancy Development Plan. Jingning County Water Affairs Bureau. 2021. Available online: http://www.gsjn.gov.cn (accessed on 13 July 2021). (In Chinese)









| Data | Name | Source | Time Sequence/Year |
|---|---|---|---|
| Social and economic development | Gansu provincial statistical yearbook | Gansu Provincial Water Resources Department Lanzhou, China | 2007~2021 |
| Bulletin of National Economic and Social Development | KT, HT, JC, CX, LT, JN, ZL people’s government website Pingliang, China | 2010~2022 | |
| Water resources | Gansu water resources bulletin | Gansu Provincial Water Resources Department Lanzhou, China | 2007~2022 |
| Pingliang water resources bulletin | Pingliang City Peopleߣs Government Pingliang, China | 2021 | |
| Pingliang City 14th Five-Year Plan for water conservancy development | |||
| Planning outline | The 14th Five-Year Plan for Pingliang’s national economic and social development and the outline of the 2035 vision goals | Pingliang City Peopleߣs Government Pingliang, China | 2022 |
| 2021 | |||
| DEM (30 m) | Pingliang City range vector data | https://www.gscloud.cn/search Geospatial data cloud, China | 1 March 2023 |
| Year | Area | Domestic | Industrial | Agricultural 50% | Agricultural 75% | Ecology |
|---|---|---|---|---|---|---|
| 2025 | KT | [1896.92, 2276.31] | [1163.87, 1454.84] | [5882.39, 6501.59] | [6316.73, 6981.65] | [121.41, 127.8] |
| HT | [690, 828] | [1814.78, 2268.47] | [2040.11, 2254.85] | [2154.44, 2381.22] | [38.57, 40.6] | |
| JC | [818.88, 982.65] | [198.32, 247.9] | [5020.75, 5549.25] | [5388.09, 5955.25] | [61.37, 64.6] | |
| CX | [356.75, 428.1] | [959.34, 1199.17] | [1838.25, 2031.75] | [1944.92, 2149.64] | [23.09, 24.3] | |
| LT | [746.24, 895.49] | [315.54, 394.42] | [2346.94, 2593.98] | [2486.27, 2747.99] | [31.54, 33.2] | |
| JN | [1333.93, 1600.71] | [161.91, 202.39] | [4160.34, 4598.28] | [4435.67, 4902.59] | [68.97, 72.6] | |
| ZL | [1219.06, 1462.88] | [305.18, 381.47] | [3548.96, 3922.54] | [3734.96, 4128.12] | [68.12, 71.7] | |
| 2035 | KT | [2277.64, 2733.16] | [1552.1, 1940.12] | [6076.07, 6715.65] | [6289.66, 6951.72] | [211.68, 222.82] |
| HT | [876.91, 1052.3] | [2680.38, 3350.48] | [3863.67, 4270.37] | [3919.88, 4332.5] | [34.52, 36.34] | |
| JC | [854.39, 1025.27] | [810.43, 1013.04] | [6724.75, 7432.61] | [6905.41, 7632.29] | [95.25, 100.26] | |
| CX | [469.77, 563.73] | [1169.95, 1462.44] | [2240.49, 2476.33] | [2292.9, 2534.26] | [19.98, 21.03] | |
| LT | [953.62, 1144.34] | [551.04, 688.8] | [2508.82, 2772.9] | [2577.38, 2848.68] | [29.17, 30.7] | |
| JN | [1660.77, 1992.92] | [156.35, 195.44] | [4236.74, 4682.72] | [4372.12, 4832.34] | [64.7, 68.1] | |
| ZL | [1538.8, 1846.56] | [256.48, 320.6] | [4269.14, 4718.52] | [4360.65, 4819.67] | [71.18, 74.93] |
| Planning Year | Source of Water | Water Supply | ||||
|---|---|---|---|---|---|---|
| Domestic | Industrial | Agricultural | Ecological | |||
| 2025 | Surface water | [30,000, 33,000] | 1 | 1 | 1 | 1 |
| Underground water | [6067.00, 6673.7] | 1 | 1 | 1 | 0 | |
| Reclaimed water | [4556.06, 5011.67] | 0 | 1 | 1 | 1 | |
| 2035 | Surface water | [35,000, 385.00] | 1 | 1 | 1 | 1 |
| Underground water | [5120.67, 5632.74] | 1 | 1 | 1 | 0 | |
| Reclaimed water | [6965.01, 7661.51] | 0 | 1 | 1 | 1 | |
| Year | Area | Domestic | Industrial | Agricultural 50% | Agricultural 75% | Ecological |
|---|---|---|---|---|---|---|
| 2025 | KT | [2226.65, 2276.31] | [1454.84, 1454.84] | [6501.59, 6501.59] | [6434.08, 6434.08] | [127.8, 127.8] |
| HT | [690, 831.39] | [2268.47, 2268.47] | [2040.11, 2040.11] | [2154.44, 2154.44] | [38.57, 38.57] | |
| JC | [818.88, 1043.07] | [192.18, 204.52] | [5126.86, 5126.86] | [5388.09, 5388.09] | [61.37, 61.37] | |
| CX | [356.75, 428.95] | [865.623, 1053.05] | [1838.25, 1838.25] | [1944.92, 1944.92] | [23.09, 23.09] | |
| LT | [746.24, 898.89] | [310.84, 319.29] | [2346.94, 2346.94] | [2486.27, 2486.27] | [31.54, 31.54] | |
| JN | [1333.93, 1600.72] | [155.71, 168.11] | [4598.28, 4598.28] | [4435.67, 4435.67] | [68.97, 68.97] | |
| ZL | [1219.07, 1462.88] | [301.28, 309.07] | [3548.96, 3548.96] | [3734.96, 3734.96] | [68.12, 68.12] | |
| 2035 | KT | [2288.93, 2747.14] | [1519.1, 1585.05] | [6076.07, 6076.07] | [6289.66, 6289.66] | [210.1, 234.91] |
| HT | [862.25, 1066.97] | [2599.17, 3368.62] | [3863.67, 3863.67] | [3919.88, 3919.88] | [33.64, 35.42] | |
| JC | [839.91, 1039.75] | [783.08, 837.79] | [6724.75, 6724.75] | [6905.41, 6905.41] | [94.43, 96.07] | |
| CX | [457.95, 575.55] | [1141.44, 1198.47] | [2240.49, 2240.49] | [2292.9, 2292.9] | [17.54, 22.42] | |
| LT | [938.47, 1159.49] | [519.39, 582.69] | [2508.82, 2508.82] | [2577.38, 2577.38] | [27.71, 30.62] | |
| JN | [1449.36, 2204.33] | [153.25, 159.46] | [4236.74, 4236.74] | [4372.12, 4372.12] | [62.16, 67.24] | |
| ZL | [1404.39, 1980.98] | [252.77, 260.18] | [4269.14, 4269.14] | [4360.65, 4360.65] | [69.3, 73.07] |
| Year | Area | Domestic | Industrial | Agricultural 50% | Agricultural 75% | Ecological | ||||||||
|---|---|---|---|---|---|---|---|---|---|---|---|---|---|---|
| Surface | Underground | Surface | Underground | Reclaimed | Surface | Underground | Reclaimed | Surface | Underground | Reclaimed | Surface | Reclaimed | ||
| 2025 | KT | [2207.68, 2227.77] | [18.97, 48.53] | [1431.56, 1431.56] | [11.64, 11.64] | [11.64, 11.64] | [6383.94, 6383.94] | [58.82, 58.82] | [58.82, 58.82] | [6307.75, 6307.75] | [63.16, 63.16] | [63.16, 63.16] | [126.59, 126.59] | [1.21, 1.21] |
| HT | [351.00, 354.40] | [338.99, 476.99] | [2232.17, 2232.17] | [18.15, 18.15] | [18.15, 18.15] | [1026.18, 1026.18] | [487.92, 487.92] | [526.01, 526.01] | [1160.94, 1160.94] | [567.545, 567.55] | [425.95, 425.95] | [38.18, 38.18] | [0.39, 0.39] | |
| JC | [424.21, 484.62] | [394.67, 558.45] | [71.52, 77.72] | [61.41, 63.10] | [59.20, 63.70] | [3918.52, 3918.52] | [427.34, 427.34] | [781, 781] | [2830.15, 2830.15] | [625.44, 625.44] | [1932.5, 1932.5] | [60.76, 60.76] | [0.6, 0.6] | |
| CX | [179.88, 180.73] | [176.87, 248.22] | [427.95, 505.55] | [228.48, 244.59] | [209.20, 302.91] | [958.89, 958.89] | [420.64, 420.64] | [458.72, 458.72] | [1391.38, 1391.38] | [347.57, 347.57] | [205.97, 205.97] | [22.85, 22.85] | [0.23, 0.23] | |
| LT | [379.12, 382.52] | [367.12, 516.37] | [106.98, 111.68] | [103.98, 103.98] | [100.82, 104.57] | [897.69, 897.69] | [705.58, 705.58] | [743.67, 743.67] | [1163.92, 1163.92] | [731.98, 731.98] | [590.38, 590.38] | [31.22, 31.22] | [0.32, 0.32] | |
| JN | [1320.59, 1320.59] | [13.34, 280.13] | [59.38, 65.58] | [49.27, 50.97] | [47.06, 51.56] | [2286.23, 2286.23] | [1079.84, 1079.84] | [1232.20, 1232.20] | [2469.32, 2469.32] | [1266.37, 1266.37] | [699.98, 699.98] | [36.89, 41.40] | [27.57, 32.08] | |
| ZL | [633.55, 633.55] | [585.52, 829.33] | [103.53, 106.33] | [100.53, 101.63] | [97.23, 101.12] | [3098.94, 3098.94] | [414.53, 414.53] | [35.49, 35.49] | [3660.26, 3660.26] | [37.35, 37.35] | [37.35, 37.35] | [36.46, 40.97] | [27.15, 31.65] | |
| 2035 | KT | [2063.96, 2508.2] | [224.97, 238.94] | [1189.28, 1222.24] | [155.96, 173.51] | [173.9, 189.30] | [4909.69, 4909.69] | [548.45, 548.45] | [617.93, 617.93] | [4490.51, 4490.51] | [547.90, 547.90] | [1251.25, 1251.25] | [125.10, 137.19] | [85, 97.72] |
| HT | [728.75, 918.8] | [133.50, 148.17] | [2000.47, 2091.83] | [219.38, 241.11] | [379.32, 1035.68] | [2689.81, 2689.81] | [409.58, 409.58] | [764.28, 764.28] | [2648.8, 2648.8] | [452.33, 452.33] | [818.76, 818.76] | [13.65, 14.54] | [19.99, 20.88] | |
| JC | [707.22, 892.58] | [132.69, 147.17] | [517.98, 545.34] | [129.82, 144.86] | [135.28, 147.59] | [4902.01, 4902.01] | [457.46, 457.46] | [1365.28, 1365.28] | [5065.63, 5065.63] | [413.19, 413.19] | [1426.59, 1426.59] | [43.11, 43.93] | [51.32, 52.14] | |
| CX | [328.62, 434.40] | [129.33, 141.15] | [850.70, 879.21] | [141.28, 156.76] | [149.46, 162.50] | [1778.41, 1778.41] | [206.27, 206.27] | [255.81, 255.81] | [1874.29, 1874.29] | [186.64, 186.64] | [231.97, 231.97] | [7.19, 9.63] | [10.35, 12.79] | |
| LT | [802.19, 1008.06] | [136.28, 151.43] | [282.57, 314.22] | [116.34, 133.11] | [120.48, 135.36] | [1970.73, 1970.73] | [224.19, 224.19] | [313.90, 313.90] | [2096.57, 2096.57] | [205.14, 205.14] | [275.67, 275.67] | [11.08, 12.53] | [16.63, 18.09] | |
| JN | [1281.86, 1825.42] | [167.50, 378.91] | [48.74, 51.85] | [55.25, 55.63] | [49.26, 51.98] | [2922.03, 2922.03] | [527.18, 527.08] | [787.64, 787.64] | [2894.17, 2894.17] | [673.06, 673.06] | [804.89, 804.89] | [27.51, 30.05] | [34.65, 37.19] | |
| ZL | [1389, 1831.18] | [15.39, 149.8] | [95.97, 99.67] | [79.09, 83.03] | [77.71, 77.48] | [2941.46, 2941.46] | [538.87, 538.87] | [788.81, 788.81] | [2884.58, 2884.58] | [670.87, 670.87] | [805.20, 805.20] | [30.55, 32.43] | [38.75, 40.64] | |
Disclaimer/Publisher’s Note: The statements, opinions and data contained in all publications are solely those of the individual author(s) and contributor(s) and not of MDPI and/or the editor(s). MDPI and/or the editor(s) disclaim responsibility for any injury to people or property resulting from any ideas, methods, instructions or products referred to in the content. |
© 2024 by the authors. Licensee MDPI, Basel, Switzerland. This article is an open access article distributed under the terms and conditions of the Creative Commons Attribution (CC BY) license (https://creativecommons.org/licenses/by/4.0/).
Share and Cite
Zhao, Y.; Zhang, R.; Shu, H.; Xu, Z.; Fan, S.; Wang, Q.; Li, Y.; An, Y. Study on Optimal Allocation of Water Resources Based on Uncertain Multi-Objective Fuzzy Model: A Case of Pingliang City, China. Water 2024, 16, 2099. https://doi.org/10.3390/w16152099
Zhao Y, Zhang R, Shu H, Xu Z, Fan S, Wang Q, Li Y, An Y. Study on Optimal Allocation of Water Resources Based on Uncertain Multi-Objective Fuzzy Model: A Case of Pingliang City, China. Water. 2024; 16(15):2099. https://doi.org/10.3390/w16152099
Chicago/Turabian StyleZhao, Yun, Rui Zhang, Heping Shu, Zhi Xu, Shangbin Fan, Qiang Wang, Yaxian Li, and Yapeng An. 2024. "Study on Optimal Allocation of Water Resources Based on Uncertain Multi-Objective Fuzzy Model: A Case of Pingliang City, China" Water 16, no. 15: 2099. https://doi.org/10.3390/w16152099
APA StyleZhao, Y., Zhang, R., Shu, H., Xu, Z., Fan, S., Wang, Q., Li, Y., & An, Y. (2024). Study on Optimal Allocation of Water Resources Based on Uncertain Multi-Objective Fuzzy Model: A Case of Pingliang City, China. Water, 16(15), 2099. https://doi.org/10.3390/w16152099
