Sprinkler Irrigation on Sloping Land: Distribution Characteristics of Droplet Impact Angle and Shear Stress
Abstract
1. Introduction
2. Materials and Methods
2.1. Experimental Setup
2.2. Experimental Design
2.3. Calculation Method
2.4. Data Analysis
3. Results and Analysis
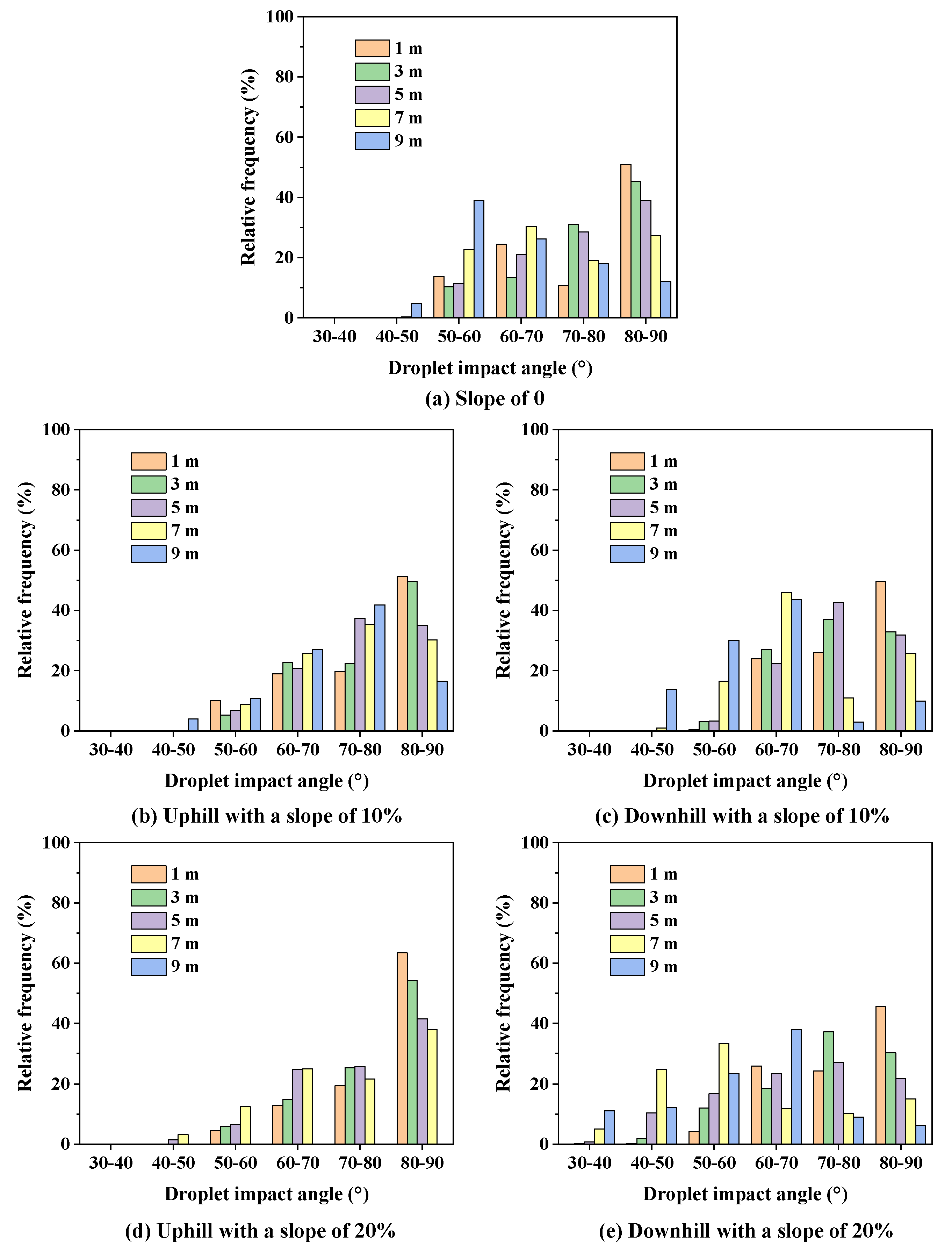
3.1. Radial Droplet Impact Angle Distribution on Sloping Land
3.2. Relationship between Droplet Impact Angle and Distance from Sprinkler on Sloping Land
3.3. Relationship between Droplet Impact Angle and Shear Stress on Sloping Land
3.4. Relationship between Droplet Shear Stress and Distance from Sprinkler on Sloping Land
3.5. Radial Distribution Model of Droplet Shear Stresses on Sloping Land
4. Conclusions
Author Contributions
Funding
Data Availability Statement
Conflicts of Interest
References
- Wang, Y.; Yang, C.; Zhang, Y.; Xue, Y. Mountainous areas: Alleviating the shortage of cultivated land caused by Changing dietary structure in China. Land 2023, 12, 1464. [Google Scholar] [CrossRef]
- Li, H.; Wu, Y.; Huang, X.; Sloan, M.; Skitmore, M. Spatial-temporal evolution and classification of marginalization of cultivated land in the process of urbanization. Habitat Int. 2017, 61, 1–8. [Google Scholar] [CrossRef]
- Sun, X.; Li, F. Spatiotemporal assessment and trade-offs of multiple ecosystem services based on land use changes in Zengcheng, China. Sci. Total Environ. 2017, 609, 1569–1581. [Google Scholar] [CrossRef] [PubMed]
- Wolka, K.; Mulder, J.; Biazin, B. Effects of soil and water conservation techniques on crop yield, runoff and soil loss in Sub-Saharan Africa: A review. Agric. Water Manag. 2018, 207, 67–79. [Google Scholar] [CrossRef]
- Zhang, L.; Hui, X.; Chen, J. Effects of terrain slope on water distribution and application uniformity for sprinkler irrigation. Int. J. Agr. Biol. Eng. 2018, 11, 120–125. [Google Scholar] [CrossRef]
- Hui, X.; Yan, H.; Zhang, L.; Chen, J. A simplified method to improve water distribution and application uniformity for sprinkler irrigation on sloping land: Adjustment of riser orientation. Water Supply 2021, 21, 2786–2798. [Google Scholar] [CrossRef]
- Zhang, L.; Fu, B.; Ren, N.; Huang, Y. Effect of pulsating pressure on water distribution and application uniformity for sprinkler irrigation on sloping land. Water 2019, 11, 913. [Google Scholar] [CrossRef]
- Yan, H.; Hui, X.; Li, M.; Xu, Y. Development in sprinkler irrigation technology in China. Irrig. Drain. 2020, 69, 75–87. [Google Scholar] [CrossRef]
- Silva, L.L. The effect of spray head sprinklers with different deflector plates on irrigation uniformity, runoff and sediment yield in a Mediterranean soil. Agric. Water Manag. 2006, 85, 243–252. [Google Scholar] [CrossRef]
- Chen, R.; Li, H.; Wang, J.; Song, Z. Critical factors influencing soil runoff and erosion in sprinkler irrigation: Water application rate and droplet kinetic energy. Agric. Water Manag. 2023, 283, 108299. [Google Scholar] [CrossRef]
- Lu, J.; Zheng, F.; Li, G.; Bian, F.; An, J. The effects of raindrop impact and runoff detachment on hillslope soil erosion and soil aggregate loss in the Mollisol region of Northeast China. Soil Till. Res. 2016, 161, 79–85. [Google Scholar] [CrossRef]
- Vaezi, A.R.; Ahmadi, M.; Cerdà, A. Contribution of raindrop impact to the change of soil physical properties and water erosion under semi-arid rainfalls. Sci. Total Environ. 2017, 583, 382–392. [Google Scholar] [CrossRef] [PubMed]
- Yan, H.J.; Bai, G.; He, J.Q.; Lin, G. Influence of droplet kinetic energy flux density from fixed spray-plate sprinklers on soil infiltration, runoff and sediment yield. Biosyst. Eng. 2011, 110, 213–221. [Google Scholar] [CrossRef]
- King, B.A.; Bjorneberg, D.L. Transient soil surface sealing and infiltration model for bare soil under droplet impact. Trans. ASABE 2012, 55, 937–945. [Google Scholar] [CrossRef][Green Version]
- Al-Kayssi, A.W.; Mustafa, S.H. Modeling gypsifereous soil infiltration rate under different sprinkler application rates and successive irrigation events. Agric. Water Manag. 2016, 163, 66–74. [Google Scholar] [CrossRef]
- Hui, X.; Zheng, Y.; Meng, F.; Tan, H. Comprehensively evaluating and modelling droplet diameters and kinetic energies of low-pressure sprinklers. Irrig. Drain. 2022, 71, 829–854. [Google Scholar] [CrossRef]
- Huang, C.; Bradford, J.M.; Cushman, J.H. A numerical study of raindrop impact phenomena: The rigid case. Soil Sci. Soc. Am. J. 1982, 46, 14–19. [Google Scholar] [CrossRef]
- Chang, W.J.; Hills, D.J. Sprinkler droplet effects on infiltration. II: Laboratory study. J. Irrig. Drain. Eng. 1993, 119, 157–169. [Google Scholar] [CrossRef]
- Ghadir, H.; Payne, D. The formation and characteristics of splash following raindrop impact on soil. Eur. J. Soil Sci. 2010, 39, 563–575. [Google Scholar] [CrossRef]
- Chang, W.J.; Hills, D.J. Sprinkler droplet effects on infiltration. I: Impact simulation. J. Irrig. Drain. Eng. 1993, 119, 142–156. [Google Scholar] [CrossRef]
- Hui, X.; Yan, H.; Xu, Y.; Tan, H. Sprinkler droplet impact angle affects shear stress distribution on soil surface–a case study of a ball-driven sprinkler. Water Supply 2021, 21, 2772–2785. [Google Scholar] [CrossRef]
- Liu, J.P.; Yuan, S.Q.; Li, H.; Zhu, X.Y. Comparative research on hydraulic performance of sprinkler heads in sprinkler irrigation. In Proceedings of the ASABE International Meeting, Dallas, TX, USA, July 29–August 1 2012; American Society of Agricultural and Biological Engineers: St. Joseph, MI, USA, 2012; p. 1. [Google Scholar]
- Zhang, L.; Fu, B.; Hui, X.; Ren, N. Simplified method for estimating throw radius of rotating sprinklers on sloping land. Irrig. Sci. 2018, 36, 329–337. [Google Scholar] [CrossRef]
- Kruger, A.; Krajewski, W.F. Two-dimensional video disdrometer: A description. J. Atmos. Ocean. Tech. 2002, 19, 602–617. [Google Scholar] [CrossRef]
- Ge, M.; Wu, P.; Zhu, D.; Zhang, L. Analysis of kinetic energy distribution of big gun sprinkler applied to continuous moving hose-drawn traveler. Agric. Water Manag. 2018, 201, 118–132. [Google Scholar] [CrossRef]
- Huang, G.J.; Bringi, V.N.; Cifelli, R.; Hudak, D.; Petersen, W.A. A methodology to derive radar reflectivity–liquid equivalent snow rate relations using C-band radar and a 2D video disdrometer. J. Atmos. Ocean. Tech. 2010, 27, 637–651. [Google Scholar] [CrossRef]
- ISO 7749-2; Agricultural Irrigation Equipment-Rotating Sprinklers. 2: Uniformity of Distribution and Test Methods. ISO: Geneva, Switzerland, 2004.
- ISO 15886-3; Agricultural Irrigation Equipment-Sprinklers. 3: Characterization of Distribution and Test Methods. ISO: Geneva, Switzerland, 2012.
- Hui, X.; Lin, X.; Zhao, Y.; Xue, M.; Zhuo, Y.; Guo, H.; Xu, Y.; Yan, H. Assessing water distribution characteristics of a variable-rate irrigation system. Agric. Water Manag. 2022, 260, 107276. [Google Scholar] [CrossRef]
- Jiang, Y.; Liu, J.; Li, H.; Yong, Y. Droplet distribution characteristics of impact sprinklers with circular and noncircular nozzles: Effect of nozzle aspect ratios and equivalent diameters. Biosyst. Eng. 2021, 212, 200–214. [Google Scholar] [CrossRef]
- Ghadiri, H.; Payne, D. The risk of leaving the soil surface unprotected against falling rain. Soil Till. Res. 1986, 8, 119–130. [Google Scholar] [CrossRef]
- Hattori, S.; Kakuichi, M. Effect of impact angle on liquid droplet impingement erosion. Wear. 2013, 298, 1–7. [Google Scholar] [CrossRef]
- Hui, X.; Zheng, Y.; Muhammad, R.S.; Tan, H.; Yan, H. Non-negligible factors in low-pressure sprinkler irrigation: Droplet impact angle and shear stress. J. Arid Land. 2022, 14, 1293–1316. [Google Scholar] [CrossRef]
- DeBoer, D.W.; Monnens, M.J. Measurement of sprinkler droplet size. Appl. Eng. Agric. 2001, 17, 11–15. [Google Scholar] [CrossRef]
- Zhang, L.; Hui, X.; Chen, J. Droplet diameter and kinetic energy intensity distribution regularities for sprinkler irrigation on sloping land. Trans. CSAM 2018, 49, 263–270. (In Chinese) [Google Scholar]
- Hinkle, S.E. Water Drop Ballistic with Drag Coefficient Dependent on Droplet Size and Velocity; Paper No. 87-2596; American Society of Agricultural and Biological Engineers: St. Joseph, MI, USA, 1987. [Google Scholar]
- Wobus, H.B.; Murray, F.W.; Koenig, L.R. Calculation of the terminal velocity of water drops. J. Appl. Meteorol. 1971, 10, 751–754. [Google Scholar] [CrossRef]
- Hui, X.; Zhao, H.; Zhang, H.; Wang, W.; Wang, J.; Yan, H. Specific power or droplet shear stress: Which is the primary cause of soil erosion under low-pressure sprinklers? Agric. Water Manag. 2023, 286, 108376. [Google Scholar] [CrossRef]
- Lehrsch, G.A.; Bjorneberg, D.L.; Sojka, R.E. Erosion: Irrigation-induced. In Encyclopedia of Soils in the Environment; Hillel, D., Ed.; Elsevier Ltd.: Oxford, UK, 2005; pp. 456–463. [Google Scholar]
- Kincaid, D.C. The WEPP model for runoff and erosion prediction under sprinkler irrigation. Trans. ASAE 2002, 45, 67. [Google Scholar] [CrossRef]
- Amiri, M.J.; Roohi, R.; Gil, A. Numerical simulation of Cd (II) removal by ostrich bone ash supported nanoscale zero-valent iron in a fixed-bed column system: Utilization of unsteady advection-dispersion-adsorption equation. J. Water Process Eng. 2018, 25, 1–14. [Google Scholar] [CrossRef]











| Slope Direction | Slope Value | Fitting Coefficient | R2 | |
|---|---|---|---|---|
| a | b | |||
| Uphill | 0 | −1.448 | 76.653 | 0.969 |
| 10% | −1.472 | 77.960 | 0.970 | |
| 20% | −1.479 | 79.583 | 0.973 | |
| Downhill | 0 | −1.448 | 76.653 | 0.969 |
| 10% | −1.812 | 76.629 | 0.975 | |
| 20% | −1.955 | 74.596 | 0.975 | |
| Slope Direction | Slope Value | Fitting Coefficient | R2 | |
|---|---|---|---|---|
| c | d | |||
| Uphill | 0 | 627,715.655 | −0.087 | 0.908 |
| 10% | 196,231.670 | −0.109 | 0.815 | |
| 20% | 142,614.300 | −0.093 | 0.695 | |
| Downhill | 0 | 627,715.655 | −0.087 | 0.908 |
| 10% | 802,688.077 | −0.094 | 0.970 | |
| 20% | 1,066,449.740 | −0.120 | 0.979 | |
| Slope Direction | Slope Value | Fitting Coefficient | R2 | |
|---|---|---|---|---|
| f | g | |||
| Uphill | 0 | 185.369 | 0.314 | 0.988 |
| 10% | 178.798 | 0.306 | 0.987 | |
| 20% | 65.371 | 0.431 | 0.996 | |
| Downhill | 0 | 185.369 | 0.314 | 0.988 |
| 10% | 219.744 | 0.298 | 0.982 | |
| 20% | 310.338 | 0.284 | 0.960 | |
Disclaimer/Publisher’s Note: The statements, opinions and data contained in all publications are solely those of the individual author(s) and contributor(s) and not of MDPI and/or the editor(s). MDPI and/or the editor(s) disclaim responsibility for any injury to people or property resulting from any ideas, methods, instructions or products referred to in the content. |
© 2023 by the authors. Licensee MDPI, Basel, Switzerland. This article is an open access article distributed under the terms and conditions of the Creative Commons Attribution (CC BY) license (https://creativecommons.org/licenses/by/4.0/).
Share and Cite
Hui, X.; Chen, Y.; Shoukat, M.R.; Yang, H.; Zheng, Y. Sprinkler Irrigation on Sloping Land: Distribution Characteristics of Droplet Impact Angle and Shear Stress. Water 2024, 16, 60. https://doi.org/10.3390/w16010060
Hui X, Chen Y, Shoukat MR, Yang H, Zheng Y. Sprinkler Irrigation on Sloping Land: Distribution Characteristics of Droplet Impact Angle and Shear Stress. Water. 2024; 16(1):60. https://doi.org/10.3390/w16010060
Chicago/Turabian StyleHui, Xin, Yifei Chen, Muhammad Rizwan Shoukat, Huimin Yang, and Yudong Zheng. 2024. "Sprinkler Irrigation on Sloping Land: Distribution Characteristics of Droplet Impact Angle and Shear Stress" Water 16, no. 1: 60. https://doi.org/10.3390/w16010060
APA StyleHui, X., Chen, Y., Shoukat, M. R., Yang, H., & Zheng, Y. (2024). Sprinkler Irrigation on Sloping Land: Distribution Characteristics of Droplet Impact Angle and Shear Stress. Water, 16(1), 60. https://doi.org/10.3390/w16010060

