Identification of Hydrochemical Characteristics, Spatial Evolution, and Driving Forces of River Water in Jinjiang Watershed, China
Abstract
:1. Introduction
2. Study Area
3. Data and Methods
3.1. Sample Collecting and Analytic Testing
3.2. Component Data Analysis Methods
3.2.1. Log-Ratio Transformation and Biplot
3.2.2. Mahalanobis Distance
4. Results and Discussion
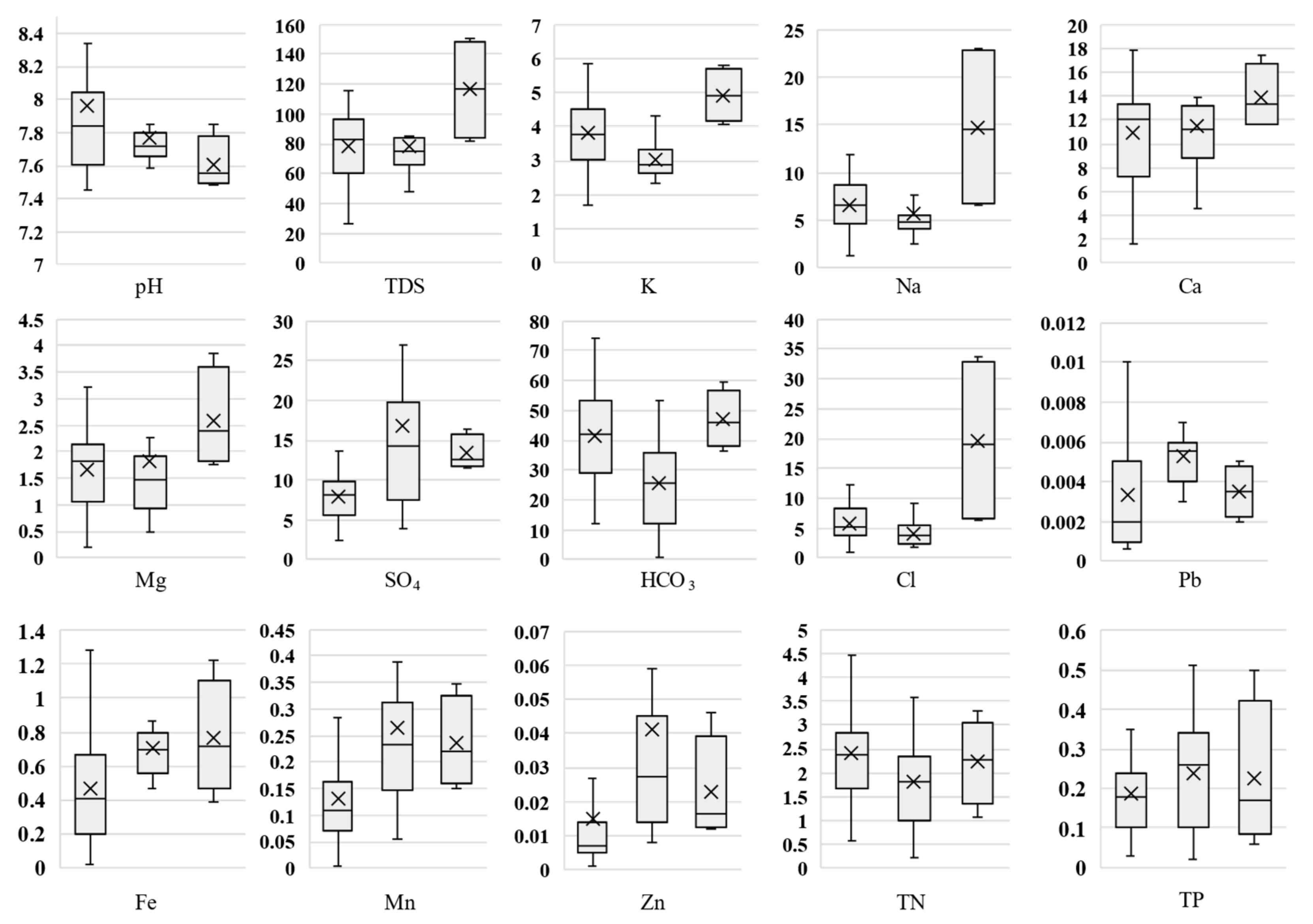
4.1. Physicochemical Characteristics of River Water
4.2. Evolution of Water Chemical Component Characteristics and Controlling Factors
4.3. Identification of the Water Chemical Composition Change
5. Conclusions
Supplementary Materials
Author Contributions
Funding
Data Availability Statement
Conflicts of Interest
References
- Yang, H.J.; Xiao, Y.; Hao, Q.C.; Wang, L.W.; Zhang, Y.Q.; Liu, K.; Zhu, Y.C.; Liu, G.X.; Yin, S.Y.; Xie, Z. Geochemical characteristics, mechanisms and suitability for sustainable municipal and agricultural water supply of confined groundwater in central North China Plain. Urban Clim. 2023, 49, 101459. [Google Scholar] [CrossRef]
- Shi, W.; Xia, J.; Gippel, C.J.; Chen, J.X.; Hong, S. Influence of disaster risk, exposure and water quality on vulnerability of surface water resources under a changing climate in the Haihe River basin. Water Int. 2017, 42, 462–485. [Google Scholar] [CrossRef]
- Yuan, Z.; Yan, D.H.; Yang, Z.Y.; Yin, J.; Zhang, C.; Yuan, Y. Projection of surface water resources in the context of climate change in typical regions of China. Hydrol. Sci. J. 2017, 62, 283–293. [Google Scholar] [CrossRef]
- Xiao, Y.; Hao, Q.C.; Zhang, Y.H.; Zhu, Y.C.; Yin, S.Y.; Qin, L.M.; Li, X.H. Investigating sources, driving forces and potential health risks of nitrate and fluoride in groundwater of a typical alluvial fan plain. Sci. Total Environ. 2022, 802, 149909. [Google Scholar] [CrossRef]
- Ewuzie, U.; Nnorom, I.C.; Ugbogu, O.C.; Onwuka, C.V. Hydrogeochemical, microbial and compositional analysis of data from surface and groundwater sources in Southeastern Nigeria. J. Geochem. Explor. 2021, 224, 106737. [Google Scholar] [CrossRef]
- Wang, H.; Sun, L.; Du, P. Surface Water Quality Assessment in Main Stream of Liaohe River. Adv. Mater. Res. 2013, 788, 354–358. [Google Scholar] [CrossRef]
- Gao, F.; Feng, G.; Han, M.; Dash, P.; Jenkins, J.; Liu, C. Assessment of Surface Water Resources in the Big Sunflower River Watershed Using Coupled SWAT–MODFLOW Model. Water 2019, 11, 528. [Google Scholar] [CrossRef]
- Xiao, Y.; Liu, K.; Hao, Q.C.; Li, Y.S.; Xiao, D.; Zhang, Y.J. Occurrence, Controlling Factors and Health Hazards of Fluoride-Enriched Groundwater in the Lower Flood Plain of Yellow River, Northern China. Expo. Health 2022, 14, 345–358. [Google Scholar] [CrossRef]
- Xiao, Y.; Liu, K.; Hao, Q.C.; Xiao, D.; Zhu, Y.C.; Yin, S.Y.; Zhang, Y.H. Hydrogeochemical insights into the signatures, genesis and sustainable perspective of nitrate enriched groundwater in the piedmont of Hutuo watershed, China. CATENA 2022, 212, 106020. [Google Scholar] [CrossRef]
- Buccianti, A. The FOREGS repository: Modelling variability in stream water on a continental scale revising classical diagrams from CoDA (compositional data analysis) perspective. J. Geochem. Explor. 2015, 154, 94–104. [Google Scholar] [CrossRef]
- Guggenmos, M.R.; Daughney, C.J.; Jackson, B.M.; Morgenstern, U. Regional-scale identification of groundwater-surface water interaction using hydrochemistry and multivariate statistical methods, Wairarapa Valley, New Zealand. Hydrol. Earth Syst. 2011, 15, 3383–3398. [Google Scholar] [CrossRef]
- Zhang, B.; Song, X.F.; Zhang, Y.H.; Ma, Y.; Tang, C.Y.; Yang, L.H.; Wang, Z.L. The interaction between surface water and groundwater and its effect on water quality in the Second Songhua River basin, northeast China. J. Earth Syst. Sci. 2016, 125, 1495–1507. [Google Scholar] [CrossRef]
- Zhao, W.; Lin, Y.Z.; Zhou, P.P.; Wang, G.C.; Dang, X.Y.; Gu, X.F. Characteristics of groundwater in Northeast Qinghai-Tibet Plateau and its response to climate change and human activities: A case study of Delingha, Qaidam Basin. China Geol. 2021, 4, 377–388. [Google Scholar] [CrossRef]
- Dall’Agnol, R.; Sahoo, P.K.; Salomão, G.N.; de Araújo, A.D.M.; da Silva, M.S.; Powell, M.A.; Junior, J.F.; Ramos, S.J.; Martins, G.C.; da Costa, M.F.; et al. Soil-sediment linkage and trace element contamination in forested/deforested areas of the Itacaiúnas River Watershed, Brazil: To what extent land-use change plays a role? Sci. Total Environ. 2022, 828, 154327. [Google Scholar] [CrossRef] [PubMed]
- Ma, H.Y.; Zhu, G.F.; Zhang, Y.; Pan, H.X.; Guo, H.W.; Jia, W.X.; Zhou, J.J.; Yong, L.L.; Wan, Q.Z. The effects of runoff on Hydrochemistry in the Qilian Mountains: A case study of Xiying River Basin. Environ. Earth Sci. 2019, 78, 385. [Google Scholar] [CrossRef]
- Goonetilleke, A.; Vithanage, M. Water Resources Management: Innovation and Challenges in a Changing World. Water 2017, 9, 281. [Google Scholar] [CrossRef]
- Zhai, R.; Tao, F.L.; Chen, Y.; Dai, H.C.; Liu, Z.W.; Fu, B.J. Future water security in the major basins of China under the 1.5 °C and 2.0 °C global warming scenarios. Sci. Total Environ. 2022, 849, 157928. [Google Scholar] [CrossRef]
- Yang, L.; Zhao, G.J.; Tian, P.; Mu, X.M.; Tian, X.J.; Feng, J.H.; Bai, Y.P. Runoff changes in the major river basins of China and their responses to potential driving forces. J. Hydrol. 2022, 607, 127536. [Google Scholar] [CrossRef]
- Hao, Q.C.; Li, Y.S.; Xiao, Y.; Yang, H.J.; Zhang, Y.Q.; Wang, L.W.; Liu, K.; Liu, G.X.; Wang, J.; Hu, W.X.; et al. Hydrogeochemical fingerprint, driving forces and spatial availability of groundwater in a coastal plain, Southeast China. Urban Clim. 2023, 51, 101611. [Google Scholar] [CrossRef]
- Vareda, J.; Valente, A.; Durães, L. Assessment of heavy metal pollution from anthropogenic activities and remediation strategies: A review. J. Environ. Manag. 2019, 246, 101–118. [Google Scholar] [CrossRef]
- Yang, Z.; Zhou, Y.X.; Wenninger, J.; Uhlenbrook, S.; Wang, X.S.; Wan, L. Groundwater and surface-water interactions and impacts of human activities in the Hailiutu catchment, northwest China. Hydrogeol. J. 2017, 25, 1341–1355. [Google Scholar] [CrossRef]
- Kumar, V.; Parihar, R.; Sharma, A.; Bakshi, P.; Sidhu, G.P.S.; Bali, A.; Karaouzas, I.; Bhardwaj, R.; Thukral, A.; Gyasi-Agyei, Y.; et al. Global evaluation of heavy metal content in surface water bodies: A meta-analysis using heavy metal pollution indices and multivariate statistical analyses. Chemosphere 2019, 236, 124364. [Google Scholar] [CrossRef] [PubMed]
- Gad, M.; Elsayed, S.; Moghanm, F.S.; Almarshadi, M.H.; Alshammari, A.S.; Khedher, K.M.; Eid, E.M.; Hussein, H. Combining Water Quality Indices and Multivariate Modeling to Assess Surface Water Quality in the Northern Nile Delta, Egypt. Water 2020, 12, 2142. [Google Scholar] [CrossRef]
- Zheng, L.L.; Jiang, C.L.; Chen, X.; Li, Y.H.; Li, C.; Zheng, L.G. Combining hydrochemistry and hydrogen and oxygen stable isotopes to reveal the influence of human activities on surface water quality in Chaohu Lake Basin. J. Environ. Manag. 2022, 312, 114933. [Google Scholar] [CrossRef] [PubMed]
- Benadela, L.; Bekkoussa, B.; Gaidi, L. Multivariate analysis and geochemical investigations of groundwater in a semi-arid region, case of superficial aquifer in Ghriss Basin, Northwest Algeria. J. Groundw. Sci. Eng. 2022, 10, 233–249. [Google Scholar]
- Ismail, A.H.; Shareef, M.A.; Mahmood, W. Hydrochemical characterization of groundwater in Balad district, Salah Al-Din Governorate, Iraq. J. Groundw. Sci. Eng. 2018, 6, 306–322. [Google Scholar] [CrossRef]
- Blake, S.; Henry, T.; Murray, J.; Flood, R.H.; Muller, M.R.; Jones, A.G.; Rath, V.J.A.G. Compositional multivariate statistical analysis of thermal groundwater provenance: A hydrogeochemical case study from Ireland. Appl. Geochem. 2016, 75, 171–188. [Google Scholar] [CrossRef]
- Bahrami, M.; Khaksar, E.; Khaksar, E. Spatial variation assessment of groundwater quality using multivariate statistical analysis(Case Study: Fasa Plain, Iran). J. Groundw. Sci. Eng. 2020, 8, 230–243. [Google Scholar] [CrossRef]
- Flem, B.E.; Reimann, C.; Fabian, K.; Birke, M.; Filzmoser, P.; Banks, D. Graphical statistics to explore the natural and anthropogenic processes influencing the inorganic quality of drinking water, ground water and surface water. Appl. Geochem. 2017, 88, 133–148. [Google Scholar] [CrossRef]
- Gozzi, C.; Filzmoser, P.; Buccianti, A.; Vaselli, O.; Nisi, B. Statistical methods for the geochemical characterisation of surface waters: The case study of the Tiber River basin (Central Italy). Comput. Geosci. 2019, 131, 80–88. [Google Scholar] [CrossRef]
- Ahmed, M.T.; Monir, M.U.; Hasan, M.Y.; Rahman, M.M.; Rifat, M.S.I.; Islam, M.N.; Khan, A.S.; Rahman, M.M.; Islam, M.S. Hydro-geochemical evaluation of groundwater with studies on water quality index and suitability for drinking in Sagardari, Jashore. J. Groundw. Sci. Eng. 2020, 8, 259–273. [Google Scholar]
- Wu, H.F.; Chen, Y.; Chen, X.W.; Liu, M.B.; Gao, L.; Deng, H.J. A new approach for optimizing rain gauge networks: A case study in the Jinjiang Basin. Water 2020, 12, 2252. [Google Scholar] [CrossRef]
- Meng, H.B.; Zhang, J.; Zheng, Z. Retrieving Inland Reservoir Water Quality Parameters Using Landsat 8-9 OLI and Sentinel-2 MSI Sensors with Empirical Multivariate Regression. Int. J. Environ. Res. Public Health 2022, 19, 7725. [Google Scholar] [CrossRef] [PubMed]
- Lin, F.; Chen, X.W.; Yao, H.X.; Lin, F.Y. SWAT model-based quantification of the impact of land-use change on forest-regulated water flow. CATENA 2022, 211, 105975. [Google Scholar] [CrossRef]
- Liu, Y.C.; Wu, L.; Shi, G.W.; Cao, S.W.; Li, Y.S. Characteristics and sources of microplastic pollution in the water and sediments of the Jinjiang River Basin, Fujian Province, China. China Geol. 2022, 5, 429–438. [Google Scholar] [CrossRef]
- Liu, X.Y.; Wei, M.; Zeng, J. Simulating urban growth scenarios based on ecological security pattern: A case study in Quanzhou, China. Int. J. Environ. Res. Public Health 2020, 17, 7282. [Google Scholar] [CrossRef]
- Li, C.J.; Pan, C.Z.; Teng, Y.G. Rainfall-runoff and pollution characteristics of tea garden in Xixi watershed within Jinjiang River basin. Chin. J. Environ. Eng. 2013, 7, 2909–2914. [Google Scholar]
- Lu, Y.M.; Zhang, H.; Shao, W. Prediction of river water quality considering spatiotemporal correlation and meteorological factors. In Proceedings of the 2021 9th International Conference on Agro-Geoinformatics (Agro-Geoinformatics), Shenzhen, China, 26–29 July 2021; pp. 1–5. [Google Scholar]
- Wu, J.H.; Wang, Z.C. A hybrid model for water quality prediction based on an artificial neural network, wavelet transform, and long short-term memory. Water 2022, 14, 610. [Google Scholar] [CrossRef]
- Li, Y.S.; Liu, C.L.; Hao, Q.C. Report on Comprehensive Geological Survey of Xiamen-Zhangzhou-Quanzhou City; Chinese Academy of Geological Sciences, The Institute of Hydrogeology and Environmental Geology: Shijiazhuang, China, 2021. [Google Scholar]
- Nong, X.Z.; Shao, D.G.; Zhong, H.; Liang, J.K. Evaluation of water quality in the South-to-North Water Diversion Project of China using the water quality index (WQI) method. Water Res. 2020, 178, 115781. [Google Scholar] [CrossRef]
- Wu, Y.H.; Zhou, N.Q.; Wu, Z.J.; Lu, S.S.; Cai, Y. Carbon, nitrogen and phosphorus coupling relationships and their influencing factors in the critical zone of Dongting Lake wetlands, China. J. Groundw. Sci. Eng. Geol. 2022, 10, 250–266. [Google Scholar]
- Zhou, Y.H.; Li, P.Y.; Chen, M.J.; Dong, Z.H.; Lu, C.Y. Groundwater quality for potable and irrigation uses and associated health risk in southern part of Gu’an County, North China Plain. Environ. Geochem. Health 2021, 43, 813–835. [Google Scholar] [CrossRef] [PubMed]
- Rollinson, H.R.; Rollinson, H.; Pease, V. Using Geochemical Data: To Understand Geological Processes; Cambridge University Press: Cambridge, UK, 2021. [Google Scholar]
- Pawlowsky-Glahn, V.; Egozcue, J.J.; Tolosana-Delgado, R. Modeling and Analysis of Compositional Data; John Wiley & Sons: Hoboken, NJ, USA, 2015. [Google Scholar]
- Aitchison, J. The statistical analysis of compositional data. J. R. Stat. Soc. Ser. B Methodol. 1982, 44, 139–160. [Google Scholar] [CrossRef]
- Buccianti, A.; Mateu-Figueras, G.; Pawlowsky-Glahn, V. Compositional Data Analysis in the Geosciences: From Theory to Practice; Geological Society of London: London, UK, 2006. [Google Scholar]
- Gabriel, K.R. The biplot graphic display of matrices with application to principal component analysis. Biometrika 1971, 58, 453–467. [Google Scholar] [CrossRef]
- Greenacre, M.; Aitchison, J. Biplots of compositional data. Appl. Stat. 2002, 51, 375–392. [Google Scholar]
- Daunis-i-Estadella, J.; Barceló-Vidal, C.; Buccianti, A. Exploratory compositional data analysis. Geol. Soc. Lond. Spec. Publ. 2006, 264, 161–174. [Google Scholar] [CrossRef]
- De Maesschalck, R.; Jouan-Rimbaud, D.; Massart, D.L. The Mahalanobis Distance. Chemometrics and Intelligent Laboratory Systems. Am. J. Ind. Bus. Manag. 2000, 50, 1–18. [Google Scholar]
- Filzmoser, P.; Ruiz-Gazen, A.; Thomas-Agnan, C. Identification of local multivariate outliers. Stat. Pap. 2014, 55, 29–47. [Google Scholar] [CrossRef]
- Ghorbani, H. Mahalanobis distance and its application for detecting multivariate outliers. Facta Univ. Ser. Math. Inform. 2019, 583–595. [Google Scholar] [CrossRef]
- Jouan-Rimbaud, D.; Massart, D.; Saby, C.; Puel, C. Characterisation of the representativity of selected sets of samples in multivariate calibration and pattern recognition. Anal. Chim. Acta 1997, 350, 149–161. [Google Scholar] [CrossRef]
- Templ, M.; Hron, K.; Filzmoser, P. robCompositions: An R-package for robust statistical analysis of compositional data. Compos. Data Anal. Theory Appl. 2011, 341–355. [Google Scholar]
- Yang, H.J.; Xiao, Y.; Zhang, Y.Q.; Wang, L.W.; Wang, J.; Hu, W.X.; Liu, G.X.; Liu, F.; Hao, Q.C.; Wang, C. Lithology controls on the mixing behavior and discharge regime of thermal groundwater in the Bogexi geothermal field on Tibetan Plateau. J. Hydrol. 2023, 628, 130523. [Google Scholar] [CrossRef]
- Gibbs, R.J. Mechanisms Controlling World Water Chemistry. Science 1970, 170, 1088–1090. [Google Scholar] [CrossRef] [PubMed]
- Gaillardet, J.; Dupré, B.; Louvat, P.; Allegre, C. Global silicate weathering and CO2 consumption rates deduced from the chemistry of large rivers. Chem. Geol. 1999, 159, 3–30. [Google Scholar] [CrossRef]
- Yu, R.L.; Hu, G.R.; Lin, C.Q.; Yang, Q.L.; Zhang, C.C.; Wang, X.M. Contamination of heavy metals and isotopic tracing of Pb in intertidal surface sediments of Jinjiang River Estuary, SE China. Appl. Geochem. 2017, 83, 41–49. [Google Scholar] [CrossRef]
- Chen, H.Y.; Teng, Y.G.; Wang, J.S.; Song, L.T. Source apportionment of water pollution in the Jinjiang River (China) using factor analysis with nonnegative constraints and support vector machines. Environ. Forensics 2012, 13, 175–184. [Google Scholar] [CrossRef]
- Yang, D.; Qi, S.H.; Zhang, J.Q.; Wu, C.X.; Xing, X.L. Organochlorine pesticides in soil, water and sediment along the Jinjiang River mainstream to Quanzhou Bay, southeast China. Ecotoxicol. Environ. Saf. 2013, 89, 59–65. [Google Scholar] [CrossRef]
- de Azeredo Morgado, M.G.; Passos, C.J.S.; Garnier, J.; de Lima, L.A.; de Alcântara Mendes, R.; Samson-Brais, É.; Lucotte, M. Large-scale agriculture and environmental pollution of ground and surface water and sediment by pesticides in the Brazilian Amazon: The case of the Santarém region. Water Air Soil Pollut. 2023, 234, 150. [Google Scholar] [CrossRef]
- The People’s Government of Quanzhou City. The Overall Plan of Mineral Resources(2016–2020); The People’s Government of Quanzhou City: Quanzhou, China, 2017.
- Yu, N.X.; Qin, Y.; Hao, F.; Lang, Y.C.; Wang, F.S. Using seismic surveys to investigate sediment distribution and to estimate burial fluxes of OC, N, and P in a canyon reservoir. Acta Geochim. 2019, 38, 785–795. [Google Scholar] [CrossRef]









| Location | Parameter | pH | TDS | K+ | Na+ | Ca2+ | Mg2+ | SO42− | HCO3− | Cl− | Pb | Fe | Mn | Zn | TN | TP |
|---|---|---|---|---|---|---|---|---|---|---|---|---|---|---|---|---|
| Dongxi watershed | Min | 7.45 | 26.97 | 1.69 | 1.38 | 1.62 | 0.21 | 2.37 | 11.87 | 1.04 | 0.00 | 0.01 | 0.00 | 0.00 | 0.58 | 0.03 |
| Max | 9.58 | 115.80 | 5.85 | 11.88 | 17.77 | 3.23 | 13.67 | 74.20 | 12.14 | 0.01 | 1.29 | 0.45 | 0.17 | 5.87 | 0.58 | |
| Mean | 7.96 | 78.74 | 3.82 | 6.52 | 10.87 | 1.67 | 7.94 | 41.25 | 5.85 | 0.00 | 0.46 | 0.13 | 0.02 | 2.43 | 0.19 | |
| SD | 0.52 | 22.96 | 0.99 | 2.71 | 4.04 | 0.74 | 2.79 | 17.08 | 2.76 | 0.00 | 0.34 | 0.09 | 0.03 | 1.21 | 0.11 | |
| CV/% | 6.57 | 29.16 | 26.01 | 41.51 | 37.19 | 44.06 | 35.14 | 41.42 | 47.20 | 160.43 | 72.95 | 69.60 | 188.20 | 49.79 | 59.69 | |
| Xixi watershed | Min | 7.58 | 47.66 | 2.35 | 2.47 | 4.57 | 0.49 | 3.80 | 0.59 | 1.73 | 0.00 | 0.47 | 0.06 | 0.01 | 0.22 | 0.02 |
| Max | 8.65 | 122.60 | 4.30 | 19.37 | 22.17 | 6.35 | 51.47 | 53.42 | 9.01 | 0.01 | 1.44 | 1.11 | 0.21 | 3.59 | 0.51 | |
| Mean | 7.76 | 78.59 | 3.02 | 5.65 | 11.53 | 1.84 | 16.87 | 25.61 | 3.97 | 0.01 | 0.71 | 0.26 | 0.04 | 1.81 | 0.24 | |
| SD | 0.22 | 20.12 | 0.53 | 3.55 | 4.00 | 1.58 | 12.81 | 13.95 | 1.91 | 0.00 | 0.21 | 0.22 | 0.05 | 0.91 | 0.15 | |
| CV/% | 2.88 | 25.60 | 17.52 | 62.81 | 34.67 | 86.12 | 75.91 | 54.46 | 48.20 | 75.29 | 30.23 | 83.37 | 116.03 | 50.15 | 63.62 | |
| Lower reaches | Min | 7.48 | 81.92 | 4.07 | 6.68 | 11.57 | 1.77 | 11.56 | 36.21 | 6.24 | 0.00 | 0.39 | 0.15 | 0.01 | 1.09 | 0.06 |
| Max | 7.85 | 150.20 | 5.82 | 23.05 | 17.40 | 3.84 | 16.48 | 59.36 | 33.63 | 0.01 | 1.23 | 0.35 | 0.05 | 3.28 | 0.50 | |
| Mean | 7.61 | 116.22 | 4.93 | 14.72 | 13.88 | 2.59 | 13.35 | 46.90 | 19.50 | 0.00 | 0.77 | 0.24 | 0.03 | 2.23 | 0.23 | |
| SD | 0.17 | 36.22 | 0.81 | 9.22 | 2.72 | 0.96 | 2.24 | 9.58 | 14.40 | 0.01 | 0.35 | 0.09 | 0.02 | 0.90 | 0.19 | |
| CV/% | 2.17 | 31.16 | 16.49 | 62.64 | 19.59 | 36.91 | 16.82 | 20.44 | 73.85 | 200.00 | 45.35 | 36.93 | 69.28 | 40.46 | 84.99 |
Disclaimer/Publisher’s Note: The statements, opinions and data contained in all publications are solely those of the individual author(s) and contributor(s) and not of MDPI and/or the editor(s). MDPI and/or the editor(s) disclaim responsibility for any injury to people or property resulting from any ideas, methods, instructions or products referred to in the content. |
© 2023 by the authors. Licensee MDPI, Basel, Switzerland. This article is an open access article distributed under the terms and conditions of the Creative Commons Attribution (CC BY) license (https://creativecommons.org/licenses/by/4.0/).
Share and Cite
Zhu, Y.; Yang, H.; Xiao, Y.; Hao, Q.; Li, Y.; Liu, J.; Wang, L.; Zhang, Y.; Hu, W.; Wang, J. Identification of Hydrochemical Characteristics, Spatial Evolution, and Driving Forces of River Water in Jinjiang Watershed, China. Water 2024, 16, 45. https://doi.org/10.3390/w16010045
Zhu Y, Yang H, Xiao Y, Hao Q, Li Y, Liu J, Wang L, Zhang Y, Hu W, Wang J. Identification of Hydrochemical Characteristics, Spatial Evolution, and Driving Forces of River Water in Jinjiang Watershed, China. Water. 2024; 16(1):45. https://doi.org/10.3390/w16010045
Chicago/Turabian StyleZhu, Yuchen, Hongjie Yang, Yong Xiao, Qichen Hao, Yasong Li, Jiahuan Liu, Liwei Wang, Yuqing Zhang, Wenxu Hu, and Jie Wang. 2024. "Identification of Hydrochemical Characteristics, Spatial Evolution, and Driving Forces of River Water in Jinjiang Watershed, China" Water 16, no. 1: 45. https://doi.org/10.3390/w16010045
APA StyleZhu, Y., Yang, H., Xiao, Y., Hao, Q., Li, Y., Liu, J., Wang, L., Zhang, Y., Hu, W., & Wang, J. (2024). Identification of Hydrochemical Characteristics, Spatial Evolution, and Driving Forces of River Water in Jinjiang Watershed, China. Water, 16(1), 45. https://doi.org/10.3390/w16010045

