Topic Editors

Faculty of Geosciences and Engineering, Southwest Jiaotong University, Chengdu 611756, China
Prof. Dr. Jianping Wang
Qinghai Insititute of Salt Lakes, Chinese Academy of Sciences, Xining 810008, China
Prof. Dr. Jinlong Zhou
College of Hydraulic and Civil Engineering, Xinjiang Agriculture University, Urumqi 830052, China

Hydrosphere under the Driving of Human Activity and Climate Change: Status, Evolution and Strategies

Abstract submission deadline
closed (31 October 2024)
Manuscript submission deadline
closed (31 December 2024)
Viewed by
62922
Topic Hydrosphere under the Driving of Human Activity and Climate Change: Status, Evolution and Strategies book cover image

A printed edition is available here.

Topic Information

Dear Colleagues,

Our planet is experiencing unprecedented, rapid, and drastic changes induced by human beings and the climatic system. These changes have been propagating significant influences on various aspects of the earth system, further threatening the survival of human beings. Among all the spheres of the earth system, the hydrosphere is the most fundamental one to the existence of nearly all life on earth, the maintenance of the eco-environment on which life depends, as well as the development of human society. It can be said that the history of human development is a journey of water exploration, water management, and water utilization. Meanwhile, the hydrosphere is also the most sensitive sphere of the earth system to external changes. The rapid development of human society has greatly damaged the availability of water resources in both quantity and quality aspects in the past hundreds of years. Apart from the anthropogenic factors, the warming climate has been recognized as the widest and most profound factor influencing the state of the hydrosphere and water resource availability globally. It is no exaggeration to say that the hydrosphere on earth is suffering from the great pressures from human society and global warming and undergoing unprecedented drastic changes. Water crises and water-related geohazards will become more and more frequent during this process. The present topic aims to gather the latest innovative insights into the status of the hydrosphere, its evolution driven by anthropogenic activity and climate warming, and corresponding strategies, policies, and technologies. Specifically, this topic intends to offer a broad overview of the latest achievements focusing on water circulation, surface water and groundwater interaction, water resources, water quality, geothermal water, water (including surface water and groundwater) behaviors and related geohazards, water resource management, and water resource policy and knowledge dissemination. All types of manuscripts (original research, reviews, short communications) are welcome.

Dr. Yong Xiao
Prof. Dr. Jianping Wang
Prof. Dr. Jinlong Zhou
Topic Editors

Keywords

  • hydrosphere
  • water resource
  • groundwater
  • surface water
  • water quality
  • geothermal water
  • human activity
  • climate change
  • geohazards
  • groundwater flow system
  • ecological environment

Participating Journals

Journal Name Impact Factor CiteScore Launched Year First Decision (median) APC
Hydrology
hydrology
3.2 5.9 2014 17.9 Days CHF 1800
Land
land
3.2 5.9 2012 17.5 Days CHF 2600
Sustainability
sustainability
3.3 7.7 2009 17.9 Days CHF 2400
Water
water
3.0 6.0 2009 18.9 Days CHF 2600

Preprints.org is a multidisciplinary platform offering a preprint service designed to facilitate the early sharing of your research. It supports and empowers your research journey from the very beginning.

MDPI Topics is collaborating with Preprints.org and has established a direct connection between MDPI journals and the platform. Authors are encouraged to take advantage of this opportunity by posting their preprints at Preprints.org prior to publication:

  1. Share your research immediately: disseminate your ideas prior to publication and establish priority for your work.
  2. Safeguard your intellectual contribution: Protect your ideas with a time-stamped preprint that serves as proof of your research timeline.
  3. Boost visibility and impact: Increase the reach and influence of your research by making it accessible to a global audience.
  4. Gain early feedback: Receive valuable input and insights from peers before submitting to a journal.
  5. Ensure broad indexing: Web of Science (Preprint Citation Index), Google Scholar, Crossref, SHARE, PrePubMed, Scilit and Europe PMC.

Published Papers (18 papers)

Order results
Result details
Journals
Select all
Export citation of selected articles as:
7 pages, 171 KB  
Editorial
Hydrosphere Under the Driving of Human Activity and Climate Change: Status, Evolution, and Strategies
by Yong Xiao, Jianping Wang and Jinlong Zhou
Sustainability 2025, 17(7), 3257; https://doi.org/10.3390/su17073257 - 6 Apr 2025
Cited by 3 | Viewed by 3327
Abstract
The hydrosphere is a foundational component of the Earth’s systems, sustaining biological processes, regulating environmental stability, and enabling socioeconomic development [...] Full article
17 pages, 1887 KB  
Article
Study on Natural Attenuation of Groundwater Organic Pollutants by Integrating Microbial Community Dynamics and Isotope Analysis
by Jian Shi, Yiyin Zhang, Yuyang Lai, Ruilu Yang, Meng Cai, Susu Fan and Xiaomin Gu
Water 2025, 17(4), 555; https://doi.org/10.3390/w17040555 - 14 Feb 2025
Cited by 3 | Viewed by 2007
Abstract
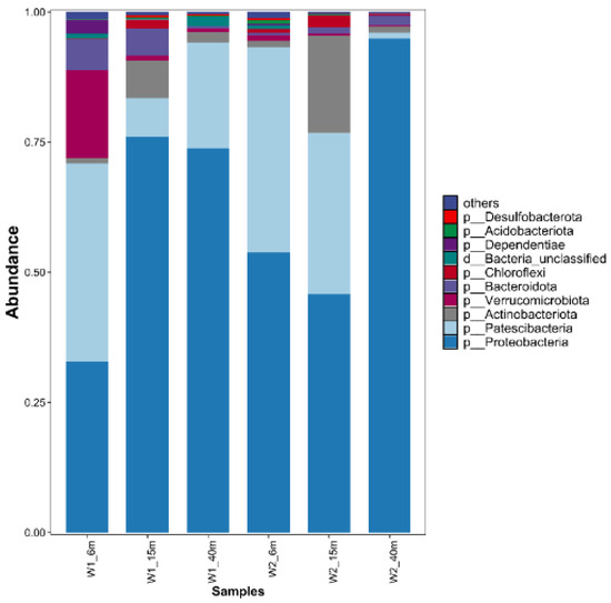
This study focuses on a typical chemically contaminated site in the southeastern coastal region of China, investigating the natural attenuation mechanisms of benzene and o-toluidine in groundwater through high-throughput sequencing, physicochemical analyses, and stable isotope techniques. The results demonstrate significant heterogeneity in the [...] Read more.
This study focuses on a typical chemically contaminated site in the southeastern coastal region of China, investigating the natural attenuation mechanisms of benzene and o-toluidine in groundwater through high-throughput sequencing, physicochemical analyses, and stable isotope techniques. The results demonstrate significant heterogeneity in the spatial distribution and degradation processes of pollutants within the contaminated zones (W27, W28, W31). Environmental factors such as HCO3, SO42−, and ORP predominantly influence the microbial community structure and functional distribution. Stable isotope data reveal that δD and δ13C enrichment effects are most pronounced in the deep layer (W28_40m), indicating active pollutant degradation, while degradation in the deeper layers of W27 and W31 is constrained by anaerobic conditions and reduced microbial activity. The combined analysis of hydrogen and carbon isotopes elucidates the degradation pathways and dynamic processes of pollutants within the contaminated zones, providing quantitative evidence for natural attenuation mechanisms and scientific support for optimizing site remediation strategies. Full article
Show Figures

Figure 1

19 pages, 18448 KB  
Article
Evolution of Land Use and Its Hydrological Effects in the Fenhe River Basin Under the Production–Living–Ecological Space Perspective
by Junzhe Zhang, Azhar Ali Laghari, Qingxia Guo, Jiyao Liang, Akash Kumar, Zhenghao Liu, Yongheng Shen and Yuehan Wei
Sustainability 2024, 16(24), 11170; https://doi.org/10.3390/su162411170 - 20 Dec 2024
Cited by 2 | Viewed by 1700
Abstract
Analysing the patterns and impacts of land-use changes in the production–living–ecological space (PLES) of the Fenhe River Basin (FRB 39,721 km2), China, is necessary to support sustainable development. Based on remote sensing images from 1990 to 2020, we aimed to analyse [...] Read more.
Analysing the patterns and impacts of land-use changes in the production–living–ecological space (PLES) of the Fenhe River Basin (FRB 39,721 km2), China, is necessary to support sustainable development. Based on remote sensing images from 1990 to 2020, we aimed to analyse the PLES land-use changes. Industrial production and living spaces continuously encroached on the agricultural production and ecological spaces between 1990 and 2022 owing to industrialisation and urbanisation, and the ecological land area decreased by 699.21 km2, while the industrial production land area increased by 521.32 km2. We used the soil and water assessment tool (SWAT) model to quantitatively analyse the impact of PLES changes on runoff in the FRB. With the continuous expansion of production and living spaces, the extensive use of concrete in cities has led to ground hardening, making it difficult for precipitation to infiltrate, with surface runoff increasing by 0.3 mm annually. The reduction in ecological space has led to a reduction in forests and grasslands, weakening the water-holding capacity of the watershed and affecting groundwater storage. This study provides a scientific basis for watershed management and the integrated development of PLES. Full article
Show Figures

Figure 1

21 pages, 14626 KB  
Article
Hydrogeochemical Insights into the Sustainable Prospects of Groundwater Resources in an Alpine Irrigation Area on Tibetan Plateau
by Shaokang Yang, Zhen Zhao, Shengbin Wang, Shanhu Xiao, Yong Xiao, Jie Wang, Jianhui Wang, Youjin Yuan, Ruishou Ba, Ning Wang, Yuqing Zhang, Liwei Wang and Hongjie Yang
Sustainability 2024, 16(21), 9229; https://doi.org/10.3390/su16219229 - 24 Oct 2024
Cited by 5 | Viewed by 1679
Abstract
The Tibetan Plateau is the “Asia Water Tower” and is pivotal for Asia and the whole world. Groundwater is essential for sustainable development in its alpine regions, yet its chemical quality increasingly limits its usability. The present research examines the hydrochemical characteristics and [...] Read more.
The Tibetan Plateau is the “Asia Water Tower” and is pivotal for Asia and the whole world. Groundwater is essential for sustainable development in its alpine regions, yet its chemical quality increasingly limits its usability. The present research examines the hydrochemical characteristics and origins of phreatic groundwater in alpine irrigation areas. The study probes the chemical signatures, quality, and regulatory mechanisms of phreatic groundwater in a representative alpine irrigation area of the Tibetan Plateau. The findings indicate that the phreatic groundwater maintains a slightly alkaline and fresh status, with pH values ranging from 7.07 to 8.06 and Total Dissolved Solids (TDS) between 300.25 and 638.38 mg/L. The hydrochemical composition of phreatic groundwater is mainly HCO3-Ca type, with a minority of HCO3-Na·Ca types, closely mirroring the profile of river water. Nitrogen contaminants, including NO3, NO2, and NH4+, exhibit considerable concentration fluctuations within the phreatic aquifer. Approximately 9.09% of the sampled groundwaters exceed the NO2 threshold of 0.02 mg/L, and 28.57% surpass the NH4+ limit of 0.2 mg/L for potable water standards. All sampled groundwaters are below the permissible limit of NO3 (50 mg/L). Phreatic groundwater exhibits relatively good potability, as assessed by the entropy-weighted water quality index (EWQI), with 95.24% of groundwaters having an EWQI value below 100. However, the potential health risks associated with elevated NO3 levels, rather than NO2 and NH4+, merit attention when such water is consumed by minors at certain sporadic sampling locations. Phreatic groundwater does not present sodium hazards or soil permeability damage, yet salinity hazards require attention. The hydrochemical makeup of phreatic groundwater is primarily dictated by rock–water interactions, such as silicate weathering and cation exchange reactions, with occasional influences from the dissolution of evaporites and carbonates, as well as reverse cation-exchange processes. While agricultural activities have not caused a notable rise in salinity, they are the main contributors to nitrogen pollution in the study area’s phreatic groundwater. Agricultural-derived nitrogen pollutants require vigilant monitoring to avert extensive deterioration of groundwater quality and to ensure the sustainable management of groundwater resources in alpine areas. Full article
Show Figures

Figure 1

25 pages, 6907 KB  
Article
Geoenvironmental Effects of the Hydric Relationship Between the Del Sauce Wetland and the Laguna Verde Detritic Coastal Aquifer, Central Chile
by Blanca Gana, José Miguel Andreu Rodes, Paula Díaz, Agustín Balboa, Sebastián Frías, Andrea Ávila, Cecilia Rivera, Claudio A. Sáez and Céline Lavergne
Hydrology 2024, 11(10), 174; https://doi.org/10.3390/hydrology11100174 - 16 Oct 2024
Cited by 3 | Viewed by 4009
Abstract
In the central region of Chile, the Mega-Drought together with the demographic increase near the coast threatens groundwater availability and the hydrogeological functioning of coastal wetlands. To understand the hydric relationship between an aquifer and a wetland in a semi-arid coastal region of [...] Read more.
In the central region of Chile, the Mega-Drought together with the demographic increase near the coast threatens groundwater availability and the hydrogeological functioning of coastal wetlands. To understand the hydric relationship between an aquifer and a wetland in a semi-arid coastal region of Central Chile (Valparaíso, Chile), as well as its geoenvironmental effects, four data collection campaigns were conducted in the wetland–estuary hydric system and surroundings, between 2021 and 2022, including physical, hydrochemical, and isotopic analyses in groundwater (n = 16 sites) and surface water (n = 8 sites). The results generated a conceptual model that indicates a hydraulic connection between the wetland and the aquifer, where the water use in one affects the availability in the other. With an average precipitation of 400 mm per year, the main recharge for both systems is rainwater. Three specific sources of pollution were identified from anthropic discharges that affect the water quality of the wetland and the estuary (flow from sanitary landfill, agricultural and livestock industry, and septic tank discharges in populated areas), exacerbated by the infiltration of seawater laterally and superficially through sandy sediments and the estuary, increasing salinity and electrical conductivity in the coastal zone (i.e., 3694 µS/cm). The Del Sauce subbasin faces strong hydric stress triggered by the poor conservation state of the riparian–coastal wetland and groundwater in the same area. This study provides a detailed understanding of hydrological interactions and serves as a model for understanding the possible effects on similar ecosystems, highlighting the need for integrated and appropriate environmental management. Full article
Show Figures

Figure 1

14 pages, 4407 KB  
Article
Geochemical Characteristics and Genesis of Brine Chemical Composition in Cambrian Carbonate-Dominated Succession in the Northeastern Region of Chongqing, Southwestern China
by Zhi-lin Zheng, Bin Xie, Chun-mei Wu, Lei Zhou, Ke Zhang, Bin-chen Zhang and Ping-heng Yang
Water 2024, 16(19), 2859; https://doi.org/10.3390/w16192859 - 9 Oct 2024
Cited by 5 | Viewed by 2609
Abstract
Deeply situated brine is abundant in rare metal minerals, possessing significant economic worth. To the authors’ knowledge, brine present within the Cambrian carbonate-dominated succession in the northeastern region of Chongqing, Southwestern China, has not been previously reported. In this investigation, brine samples were [...] Read more.
Deeply situated brine is abundant in rare metal minerals, possessing significant economic worth. To the authors’ knowledge, brine present within the Cambrian carbonate-dominated succession in the northeastern region of Chongqing, Southwestern China, has not been previously reported. In this investigation, brine samples were collected from an abandoned brine well, designated as Tianyi Well, for the purpose of analyzing the hydrochemical characteristics and geochemical evolution of the brine. Halide concentrations, associated ions, and their ionic ratios within the sampled brine were analyzed. The brine originating from the deep Cambrian aquifer was characterized by high salinity levels, with an average TDS value of 242 ± 11 g/L, and was dominated by a Na-Cl facies. The studied brine underwent a moderate degree of seawater evaporation, occurring between the saturation levels of gypsum and halite, accompanied by some halite dissolution. Compared to modern seawater evaporation, the depletion of Mg2+, HCO3, and SO42− concentrations, along with the enrichment of Ca2+, Li+, K+, and Sr2+, is likely primarily attributed to water–rock interactions. These interactions include dolomitization, combination of halite dissolution, upwelling of lithium- and potassium-bearing groundwater, calcium sulfate precipitation, biological sulfate reduction (BSR), and the common ion effect within the brine system. This research offers valuable insights into the genesis of the brine within the Cambrian carbonate succession and provides theoretical backing for the development of brine resources in the future. Full article
Show Figures

Figure 1

24 pages, 22709 KB  
Article
Construction of Ecological Security Patterns Incorporating Multiple Types of Ecological Service Functions for Developed Coastal Regions: A Case Study in Jinjiang Watershed, China
by Yuchen Zhu, Yaci Liu, Yong Xiao, Jiahuan Liu, Zihui Zhao, Yasong Li, Qichen Hao, Chunlei Liu and Jianfeng Li
Land 2024, 13(8), 1227; https://doi.org/10.3390/land13081227 - 7 Aug 2024
Cited by 8 | Viewed by 1866
Abstract
An ecological security pattern is an essential natural solution for promoting the coordinated and sustainable development of urban growth and the ecological environment within a given region. This study aims to develop a comprehensive ecological security pattern (ESP) for the Jinjiang watershed by [...] Read more.
An ecological security pattern is an essential natural solution for promoting the coordinated and sustainable development of urban growth and the ecological environment within a given region. This study aims to develop a comprehensive ecological security pattern (ESP) for the Jinjiang watershed by integrating multiple ecological service functions: ecological regulation, eco-product provisions, and human settlement services. Using a well-established methodology of “source identification—resistance surface construction—ecological corridor extraction”, we identified 322 ecological source areas and delineated 321 ecological corridors spanning 1941.67 km, with key corridors connecting ecological regulation sources and ordinary corridors primarily linking eco-product provisions and human settlement sources. Our results show that the northern hilly regions are significant for ecological regulation, Anxi County is key for eco-product provisions, and human settlement services are scattered across urban areas and river valleys. This integration enhances regional ecological sustainability and provides a model for similar coastal regions globally. Our findings offer scientific guidance for balancing urban growth with ecological preservation, contributing to sustainable development worldwide. Full article
Show Figures

Figure 1

14 pages, 3474 KB  
Article
Investigating the Hydrological Relationship between the North Taihang Tunnel and Tianshengqiao Nine Falls
by Xinfeng Wang, Lei Gong, Yuanqing Liu, Yan Wang, Qingang Wang, Mian Song, Pan Xiao and Zheming Shi
Water 2024, 16(11), 1549; https://doi.org/10.3390/w16111549 - 28 May 2024
Cited by 1 | Viewed by 1766
Abstract
The impact of a tunnel construction on the groundwater system depends on various parameters and cannot be easily predicted. Along these lines, a deep understanding of the hydrological relationship between tunnels and surface water is considered of vital importance for ensuring safety during [...] Read more.
The impact of a tunnel construction on the groundwater system depends on various parameters and cannot be easily predicted. Along these lines, a deep understanding of the hydrological relationship between tunnels and surface water is considered of vital importance for ensuring safety during railway construction. Upon completion, the North Taihang Tunnel will be one of four extra-long railway tunnels running through the natural ecotope and level-3 protection areas of the Tianshengqiao National Geological Park in Fuping County, Hebei Province. It will be 1 km away from the Tianshengqiao Nine Falls, which is known as a breathtaking landscape feature in Northern China. Local government, societies, and railway design units have raised concerns about whether the construction and operation of the North Taihang Tunnel will affect the Tianshengqiao Nine Falls. To effectively address this issue, in this work, hydrogeological mapping and hydraulic potential-energy calculations were performed in conjunction with hydrochemical and geological structure analyses. The groundwater system units in the study area were divided and the water source of the nine-level waterfall was determined retrospectively. In addition, the recharge of groundwater to the nine-level waterfall was calculated, the hydrogeological properties of the linear structure were analyzed, and the dominant channels of underwater discharge in surface water were compared and studied. The extracted results indicated that: (1) The Tianshengqiao Nine Falls represent a seasonal fall landscape, which is mainly supplied by surface water formed by precipitation and a low proportion of groundwater supply. (2) The water bodies of the North Taihang Tunnel project and Tianshengqiao Nine Falls belong to two independent groundwater systems. (3) No linear structure that connects these two groundwater systems has yet been discovered. It is widely accepted that a minor possibility of hydraulic connection might be present between the North Taihang Tunnel and Tianshengqiao Nine Falls. This work analyzed the water quantity of Nine Falls, determined the hydraulic relationship between the tunnel project and the waterhead of the Nine Falls, and addressed all stakeholder concerns. The conclusions could provide technological support for the scheduled construction projects. Full article
Show Figures

Figure 1

26 pages, 8165 KB  
Article
Hydrochemical and Isotopic Characteristics and the Spatiotemporal Differences of Surface Water and Groundwater in the Qaidam Basin, China
by Haijiao Yang, Jiahua Wei and Kaifang Shi
Water 2024, 16(1), 169; https://doi.org/10.3390/w16010169 - 31 Dec 2023
Cited by 14 | Viewed by 3380
Abstract
In the context of climate change, precipitation and runoff in the arid inland basins of northwest China have undergone significant changes. The Qaidam Basin (QB) is a typical highland arid inland area. Understanding the spatial and temporal variations in surface water and groundwater [...] Read more.
In the context of climate change, precipitation and runoff in the arid inland basins of northwest China have undergone significant changes. The Qaidam Basin (QB) is a typical highland arid inland area. Understanding the spatial and temporal variations in surface water and groundwater chemistry and isotopes, as well as their causes, is crucial for future water resource management and ecological protection. Samples of river, lake, and groundwater, as well as others, were collected and tested in five typical watersheds in the summer and winter. The hydrochemistry and isotopic spatiotemporal differences in various water bodies were studied using the significant difference method, water vapor flux models, hydrochemistry, isotopes, and other methods for cause analyses. The results indicate the following: (1) There are differences in hydrochemistry between the southern and northern basins because the southern basin is more influenced by the dissolution of salt rocks and evaporation, whereas the northern basin is mainly affected by carbonate weathering. (2) The enrichment of δD and δ18O in the northern basin gradually increases from west to east, while in the southern basin, it is the opposite. This is because the southern basin receives a larger contribution of water vapor from the mid-latitude westerlies, while the northern basin primarily relies on local evaporation as its water vapor source. (3) Significant differences are observed in the total dissolved solids (TDS) and hydrochemical types of river water and groundwater between the summer and winter due to higher rates of rock weathering and evaporation in the summer. (4) The more pronounced seasonal differences in hydrogen and oxygen stable isotopes in the southern basin are due to higher rates of internal water vapor circulation in the summer. (5) The similarity in characteristics between river water and groundwater is the result of strong exchanges between river water and groundwater from piedmonts to terminals. The spatiotemporal heterogeneity of terminal lakes is attributed to the accumulation of salts and groundwater replenishment from other sources. Full article
Show Figures

Figure 1

18 pages, 5420 KB  
Article
Identification of Hydrochemical Characteristics, Spatial Evolution, and Driving Forces of River Water in Jinjiang Watershed, China
by Yuchen Zhu, Hongjie Yang, Yong Xiao, Qichen Hao, Yasong Li, Jiahuan Liu, Liwei Wang, Yuqing Zhang, Wenxu Hu and Jie Wang
Water 2024, 16(1), 45; https://doi.org/10.3390/w16010045 - 21 Dec 2023
Cited by 4 | Viewed by 2669
Abstract
Rivers are an important source of water in humid regions, but their availability is greatly limited by water chemistry. In order to accurately identify the changes in river water chemical composition, the compositional analysis method (CoDA) is proposed from the perspective of compositional [...] Read more.
Rivers are an important source of water in humid regions, but their availability is greatly limited by water chemistry. In order to accurately identify the changes in river water chemical composition, the compositional analysis method (CoDA) is proposed from the perspective of compositional data analysis theory, which considers the geochemical riverine system as a whole and detects the compositional changes of the entire watershed. The basic data analysis is carried out by traditional analysis methods, and the results show that the hydrochemical characteristics of different sections of the basin have significant features. The water chemistry of Dongxi River is of the HCO3 Ca type. The water of the Xixi River shows a gradual evolution from the HCO3-Ca type and high SO42− content in the upper reaches to the Cl-Ca type in the lower reaches. The hydrochemistry of river water in the watershed is mainly affected by rock weathering leaching (PC1) and agricultural and domestic pollutant discharge (PC2), with a contribution rate of 48.4% and 19.7%, respectively. Rock weathering, mining, and agricultural pollution are the main factors affecting the chemical composition of river water in different regions. The spatial composition of a single sample at different scales is monitored by the Mahalanobis distance approach in an iterative manner to minimize the influence of a single anomaly on the composition center. The results show that the main reasons for the change in river water chemical composition along the Xixi River are attributed to mine pollution, domestic pollution, and tea plantation and that along the Dongxi River is caused by domestic pollution. The hydrochemical composition changes after the confluence of the Xixi River and Dongxi River are mainly affected by human activities and seawater in urban areas. This research could provide new perspectives and methods for detecting the influences of human and natural factors on the hydrochemistry of river water in humid regions worldwide. Full article
Show Figures

Graphical abstract

18 pages, 7443 KB  
Article
Analysis of Runoff Changes in the Wei River Basin, China: Confronting Climate Change and Human Activities
by Ruirui Xu, Chaojun Gu, Dexun Qiu, Changxue Wu, Xingmin Mu and Peng Gao
Water 2023, 15(11), 2081; https://doi.org/10.3390/w15112081 - 30 May 2023
Cited by 11 | Viewed by 3130
Abstract
Abrupt runoff reduction in the Wei River Basin (WRB) has attracted extensive attention owing to climate change and human activities. Nevertheless, previous studies have inadequately assessed the respective contributions of climate variability and human activities to runoff change on different spatial scales. Using [...] Read more.
Abrupt runoff reduction in the Wei River Basin (WRB) has attracted extensive attention owing to climate change and human activities. Nevertheless, previous studies have inadequately assessed the respective contributions of climate variability and human activities to runoff change on different spatial scales. Using Mann–Kendall and Pettitt’s methods, this study identified long-term (1970–2018) changes in hydro-meteorological variables. Furthermore, the Budyko-based method was used to quantify the influence of climate change and human activities on runoff change at different spatial scales of the WRB, including the whole WRB, three sub-basins, and sixteen catchments. The results show that a significant decrease trend was identified in runoff at different spatial scales within the WRB. Runoff in almost all catchments showed a significant downward trend. Temperature, potential evapotranspiration, and the parameter n showed significant increases, whereas no significant trend in precipitation was observed. The change in runoff was mainly concentrated in the mid-1990s and early 2000s. Anthropogenic activities produced a larger impact on runoff decrease in the WRB (62.8%), three sub-basins (53.9% to 65.8%), and most catchments (–47.0% to 147.3%) than climate change. Dramatic catchment characteristic changes caused by large-scale human activities were the predominant reason of runoff reduction in the WRB. Our findings provide a comprehensive understanding of the dominate factors causing runoff change and contribute to water resource management and ecosystem health conservation in the WRB. Full article
Show Figures

Figure 1

16 pages, 9166 KB  
Article
Investigation on the Hydrogeochemical Characteristics and Controlling Mechanisms of Groundwater in the Coastal Aquifer
by Guangnan An, Hao Kang, Rongbing Fu, Damao Xu and Jia Li
Water 2023, 15(9), 1710; https://doi.org/10.3390/w15091710 - 27 Apr 2023
Cited by 9 | Viewed by 2826
Abstract
Groundwater contamination in coastal areas has attracted widespread attention. However, studies on the hydrogeochemical characteristics and controlling mechanisms in coastal aquifers are still lacking. In this study, 71 sets of groundwater samples were collected during the dry and wet seasons in a coastal [...] Read more.
Groundwater contamination in coastal areas has attracted widespread attention. However, studies on the hydrogeochemical characteristics and controlling mechanisms in coastal aquifers are still lacking. In this study, 71 sets of groundwater samples were collected during the dry and wet seasons in a coastal city, Shandong Province. Correlation and principal component analyses were used to identify pollution sources. Meanwhile, Piper diagrams, Gibbs plots, ion ratios, and saturation indices were employed to investigate the hydrogeochemical controlling mechanisms. The results revealed that pollution components included Na+, NH4+, Cl, SO42−, NO3, NO2, Pb, As, Se, TDS, TH, F, and Mn. Pollution compositions in the study area were primarily derived from natural processes and anthropogenic activities. The contamination of nitrogen resulted primarily from agricultural activities. The exceedance of SO42− was mainly due to the leaching of waste by rainfall. High Na+, Cl, and F were related to sea intrusion. Pb and Se might have been caused by anthropogenic activities. The exceedance of As was caused by anthropogenic inputs and natural factors. The poor seepage conditions and anoxic conditions promoted the enrichment of Mn. The concentration of most components in the dry season was larger than that in the wet season. There were no significant differences in water chemistry type during the wet season and dry season. Groundwater chemical compositions were dominated by the dissolution of halite, gypsum, and anhydrite, as well as the cation exchange reaction. The influence of seawater intrusion on groundwater was not serious. Full article
Show Figures

Figure 1

14 pages, 1153 KB  
Article
Evaluation of Soil-Water Characteristic Curves for Different Textural Soils Using Fractal Analysis
by Chunliu Yang, Jianhua Wu, Peiyue Li, Yuanhang Wang and Ningning Yang
Water 2023, 15(4), 772; https://doi.org/10.3390/w15040772 - 15 Feb 2023
Cited by 34 | Viewed by 6894
Abstract
The soil-water characteristic curve (SWCC) is an essential tool to determine hydraulic and mechanical properties of unsaturated soils. As an inherent influencing factor, soil texture controls the characteristics of SWCCs. Fractal theory can quantitatively describe the physical characteristics of soil. This study used [...] Read more.
The soil-water characteristic curve (SWCC) is an essential tool to determine hydraulic and mechanical properties of unsaturated soils. As an inherent influencing factor, soil texture controls the characteristics of SWCCs. Fractal theory can quantitatively describe the physical characteristics of soil. This study used particle size distribution data and water content data contained in the UNSODA2.0 database to explore the fractal characteristics of 12 soil types with different textures under different matrix suctions. The SWCC fractal model was adopted to characterize the hydraulic properties of soil with various soil textures. The findings revealed that the mass fractal dimensions of particles from these 12 different soil types significantly differed and were closely related to the clay content. Fractal dimension increased with increasing clay content. The fractal dimension established a good relationship between soil structure and hydraulic properties. Fractal analysis can be used to determine the connection between physical properties and soil hydraulic parameters. The estimated results of the SWCC fractal model indicated that it had a good performance regarding the description of SWCCs for the 12 soil textures. The soil structure could be described through fractal dimensions, which can effectively indicate soil hydraulic characteristics. The estimated fractal dimension of this model could be obtained by particle size distribution. Furthermore, using the SWCC fractal model, we found that the SWCC of coarse textured soil changed sharply in the low suction stage and its residual water content was small, and the SWCC of fine textured soil changed gently with a large residual water content. The water retention capacity followed the order clay > silty clay > sandy clay > clay loam > silty clay loam > sandy clay loam > loam > silt loam > sandy loam > silt > loamy sand > sand. Full article
Show Figures

Figure 1

14 pages, 14471 KB  
Article
Spatial Distribution Characteristics and Genetic Mechanism of the Metasilicate-Rich Groundwater in Ji’nan Rock Mass Area, Shandong Province, China
by Meng Xu, Caiping Hu, Lixin Zhu, Guangzeng Song, Wenquan Peng, Shijiao Yang and Jinyu Song
Water 2023, 15(4), 713; https://doi.org/10.3390/w15040713 - 11 Feb 2023
Cited by 6 | Viewed by 2727
Abstract
Metasilicate-rich groundwater could meet the high demand of the international community for high-quality water. In order to comprehensively analyze the genetic mechanism of metasilicate-rich groundwater, and help human communities effectively exploit and utilize high-quality water resources, taking the Ji’nan rock mass area as [...] Read more.
Metasilicate-rich groundwater could meet the high demand of the international community for high-quality water. In order to comprehensively analyze the genetic mechanism of metasilicate-rich groundwater, and help human communities effectively exploit and utilize high-quality water resources, taking the Ji’nan rock mass area as an example, this study carried out systematic research on the spatial distribution and genetic mechanism of the metasilicate-rich groundwater Based on the regional hydrogeological conditions, the influencing factors on the spatial distribution characteristics of the metasilicate-rich groundwater in the study area were systematically sorted out by means of petrogeochemistry, hydrochemistry, and chemical weathering index analysis, and the accumulation mechanism of the metasilicate-rich groundwater was discussed from the perspective of water-rock interaction. The results show that: (1) On the northwest side and part of the northeast side of Ji’nan rock mass, the metasilicate content of the groundwater samples exceeded 25 mg/L; the metasilicate content on the south, west, and east sides were relatively low; (2) Ji’nan rock mass is mainly composed of gabbro easily weathered, with high SiO2 content and high weathering degree showing obvious characteristics of desilication. FeS2 developing along the contact zones between the rock mass and surrounding rocks was easily oxidized to form H2SO4, which enhanced the solubility of silicate minerals in the groundwater. Ji’nan rock mass was located in the low-lying position of the monocline structure, which presented better water conservation and recharges conditions. The above factors resulted in the metasilicate-rich groundwater accumulating in the area of Ji’nan rock mass and showed different spatial distribution characteristics. Full article
Show Figures

Figure 1

21 pages, 10891 KB  
Article
Spatiotemporal Oasis Land Use/Cover Changes and Impacts on Groundwater Resources in the Central Plain of the Shiyang River Basin
by Lifang Wang, Zhenlong Nie, Qinlong Yuan, Min Liu, Le Cao, Pucheng Zhu, Huixiong Lu and Bo Feng
Water 2023, 15(3), 457; https://doi.org/10.3390/w15030457 - 23 Jan 2023
Cited by 11 | Viewed by 3432
Abstract
The impacts of land use/cover changes (LUCCs) on groundwater resources are a global issue. The Shiyang River Basin of China is a typical, ecologically fragile area. Focusing on the Wuwei sub-basin of the central plain, this study analyzed typical remote sensing image data [...] Read more.
The impacts of land use/cover changes (LUCCs) on groundwater resources are a global issue. The Shiyang River Basin of China is a typical, ecologically fragile area. Focusing on the Wuwei sub-basin of the central plain, this study analyzed typical remote sensing image data for 17 specific dates since 1970. Before the Comprehensive Treatment Program in 2007, the area of natural oases decreased at a rate of 16.25 km2/year, while the area of farmland expanded at a rate of 13.85 km2/year. The farmland expansion preferentially occurred in low-vegetation-coverage oases, where the groundwater depth increased from 4 to 20 m. The consumption of groundwater increased from 7319.5 × 104 m3/year to 12,943.2 × 104 m3/year. During the period 2008–2018, the areas of both the natural oases and farmland decreased at rates of 2.57 km2/year and 8.99 km2/year, respectively. The groundwater level rose significantly in the south and west, as well as near the main river channel. Groundwater consumption has been restored to 7270.4 × 104 m3/year. Only 0.12 km2 of every 1.17 km2 of the original natural oases were restored through the natural farmland–natural oases conversion process. Groundwater depth increased significantly with the continuous expansion of farmland. Since the farmland area was effectively controlled, the trend of groundwater-level decline was significantly improved. These findings provide scientific support for the ecological restoration and reconstruction of oases, as well as an efficient and balanced development of river basin water resources. Full article
Show Figures

Figure 1

20 pages, 2453 KB  
Article
Research on Surface Water Quality Assessment and Its Driving Factors: A Case Study in Taizhou City, China
by Sihe Deng, Cheng Li, Xiaosan Jiang, Tingting Zhao and Hui Huang
Water 2023, 15(1), 26; https://doi.org/10.3390/w15010026 - 21 Dec 2022
Cited by 12 | Viewed by 8519
Abstract
It is necessary to assess and analyze the factors that influence surface water since they are crucial to human activities such as agriculture, raising livestock, and industry. Previous research has mostly focused on how land use and landscape patterns affect the quality of [...] Read more.
It is necessary to assess and analyze the factors that influence surface water since they are crucial to human activities such as agriculture, raising livestock, and industry. Previous research has mostly focused on how land use and landscape patterns affect the quality of surface waters; it has seldom addressed the industrial and agricultural production activities that are directly connected to human society. Therefore, the research area’s surface water quality was assessed by single factor index (SFI) and composite water quality index (WQI), divided into flood and non-flood periods, and water quality indicators with severe pollution and significant seasonal variations were selected; A total of 28 indicators were selected from three main factors-topography, socio-economic, and land use type-and analyzed using the Spearman correlation coefficient model. (1) SFI data reveal substantial seasonal changes in pH, DO, NH3-N, TN, and TP water quality indicators. The well-developed agricultural and aquaculture in the studied region is the primary cause of the excess TN and NH3-N concentrations; (2) The sample points’ water quality index (WQI) scores range from 50 to 80, with 62% of them having “medium” water quality; (3) The study area’s seasonal variation in water quality is primarily caused by human socio-economic activities (GDP, industrial effluent discharge, COD discharge, aquatic product quality, and the proportion of primary, secondary, and tertiary industries), as well as land use type (forest, shrubland, and cropland). Topography has little effect on the study area’s surface water quality. This study offers a fresh viewpoint on surface water quality management and driver analysis, and a new framework for managing and safeguarding aquatic ecosystems. Full article
Show Figures

Figure 1

17 pages, 4693 KB  
Article
Numerical Simulation of Carbon Tetrachloride Pollution-Traceability in Groundwater System of an Industrial City
by Benli Guo, Peng Yang, Yan Zhou, Hongjian Ai, Xiaodong Li, Rifei Kang and Youcheng Lv
Sustainability 2022, 14(23), 16113; https://doi.org/10.3390/su142316113 - 2 Dec 2022
Cited by 2 | Viewed by 2755
Abstract
Carbon Tetrachloride (CCL4) is a colorless, volatile, and toxic liquid. Once it pollutes groundwater, it will not only destroy the ecological environment but also negatively affect the functioning of the human liver. An industrial city in eastern China has been contaminated with carbon [...] Read more.
Carbon Tetrachloride (CCL4) is a colorless, volatile, and toxic liquid. Once it pollutes groundwater, it will not only destroy the ecological environment but also negatively affect the functioning of the human liver. An industrial city in eastern China has been contaminated with carbon tetrachloride (CCL4). Due to the complex hydrogeological conditions, it is difficult to determine the pollution source by a single hydrochemical analysis. In order to solve the traceability problem, in this work we established a traceability system by combining hydrochemical analysis, backward tracing, and forward transport, and analyzed the pollution distribution, pollution-source location and pollution-transport characteristic in groundwater, which provided technical support for CCL4-pollution control of groundwater in this area. (1) Groundwater samples were analyzed using the gas chromatography/mass spectrometry method. Through the pollution concentration-field, we identified the location of the pollution center and the concentration value in the northeast and southwest, screening out the monitoring wells exceeding the criteria: HF#1, DJ#19, DJ#7, SS#4, ZF#2, and DY#3. (2) Backward tracing over the past 30 years and 50 years was conducted through MODPATH. Potential polluting factories were identified by comparing the capture area with the historical distribution of factories. (3) Forward solute-transport was performed at the location of these potentially polluted factories. The distribution characteristics of pollutants in limestone layers and the Quaternary layer were analyzed using a simulated concentration-field for August 2012 and October 2016. (4) Comparing the simulated concentration with the observed concentration, the source of CCL4 pollution was inferred to be the textile mill in the 1990s, the steelworks in the 1970s, and the machine-tool plant in the 1970s and 1990s. Based on the concentration–duration curve at the pollution source, the transport characteristics and the transport speed of the pollutants in the study area were analyzed. This work not only successfully found the location of CCL4-pollution sources, but also helped the local government to analyze the year of pollutant release and recognize the transport pattern of CCL4 in aquifers. Full article
Show Figures

Figure 1

22 pages, 3285 KB  
Article
Solute Geochemistry and Water Quality Assessment of Groundwater in an Arid Endorheic Watershed on Tibetan Plateau
by Fenglin Wang, Hongjie Yang, Yuqing Zhang, Shengbin Wang, Kui Liu, Zexue Qi, Xiaoran Chai, Liwei Wang, Wanping Wang, Fatemeh Barzegari Banadkooki, Venkatramanan Senapthi and Yong Xiao
Sustainability 2022, 14(23), 15593; https://doi.org/10.3390/su142315593 - 23 Nov 2022
Cited by 11 | Viewed by 2949
Abstract
Understanding groundwater geochemistry is crucial for water supply in arid regions. The present research was conducted in the arid Mo river watershed on the Tibetan plateau to gain insights into the geochemical characteristics, governing processes and quality of groundwater in arid endorheic watersheds. [...] Read more.
Understanding groundwater geochemistry is crucial for water supply in arid regions. The present research was conducted in the arid Mo river watershed on the Tibetan plateau to gain insights into the geochemical characteristics, governing processes and quality of groundwater in arid endorheic watersheds. A total of 28 groundwater samples were collected from the phreatic and confined aquifers for hydrochemical analysis. The results showed that the groundwater was slightly alkaline in all aquifers of the watershed. The phreatic groundwater samples (PGs) and confined groundwater samples (CGs) had the TDS value in the ranges of 609.19–56,715.34 mg/L and 811.86–2509.51 mg/L, respectively. PGs were salter than CGs, especially in the lower reaches. Both the PGs and CGs were dominated by the Cl-Na type, followed by the mixed Cl-Mg·Ca type. The toxic elements of NO2 (0.00–0.20 mg/L for PGs and 0.00–0.60 mg/L for CGs), NH4+ (0.00–0.02 mg/L for PGs and 0.00–0.02 mg/L for CGs) and F (0.00–4.00 mg/L for PGs and 1.00–1.60 mg/L for CGs) exceeded the permissible limits of the Chinese guidelines at some sporadic sites. Water–rock interactions, including silicates weathering, mineral dissolution (halite and sulfates) and ion exchange, were the main contributions to the groundwater chemistry of all aquifers. The geochemistry of PGs in the lower reach was also greatly influenced by evaporation. Agricultural sulfate fertilizer input was responsible for the nitrogen pollutants and salinity of PGs. All CGs and 73.91% of PGs were within the Entropy-weighted water quality index (EWQI) of below 100 and were suitable for direct drinking purposes. Precisely 8.70 and 17.39% of PGs were within the EWQI value in the range of 100–150 (medium quality and suitable for domestic usage) and beyond 200 (extremely poor quality and not suitable for domestic usage), respectively. The electrical conductivity, sodium adsorption ratio, sodium percentage and permeability index indicated that groundwater in most parts of the watershed was suitable for irrigation, and only a small portion might cause salinity, sodium or permeability hazards. Groundwater with poor quality was mainly distributed in the lower reaches. CGs and PGs in the middle-upper reaches could be considered as the primary water resources for water supply. Agricultural pollution should be paid more attention to safeguard the quality of groundwater. Full article
Show Figures

Figure 1

Back to TopTop