The Deformation and Instability Characteristics of Fractured Landslides during Typhoon-Triggered Rainstorms: Observations from an In Situ Field Experiment
Abstract
1. Introduction
2. Overview of the Study Area and the Landslide
3. Setting and Process for the In Situ Landslide Field Experiment
3.1. General Layout of the Experimental Site
3.2. Field Monitoring Instruments and the Data Collection System
3.3. Rainfall Simulation Conditions
4. Results
4.1. Time-Varying Response Characteristics of Volumetric Water Content
4.2. Time-Varying Response Characteristics of Pore Water Pressure
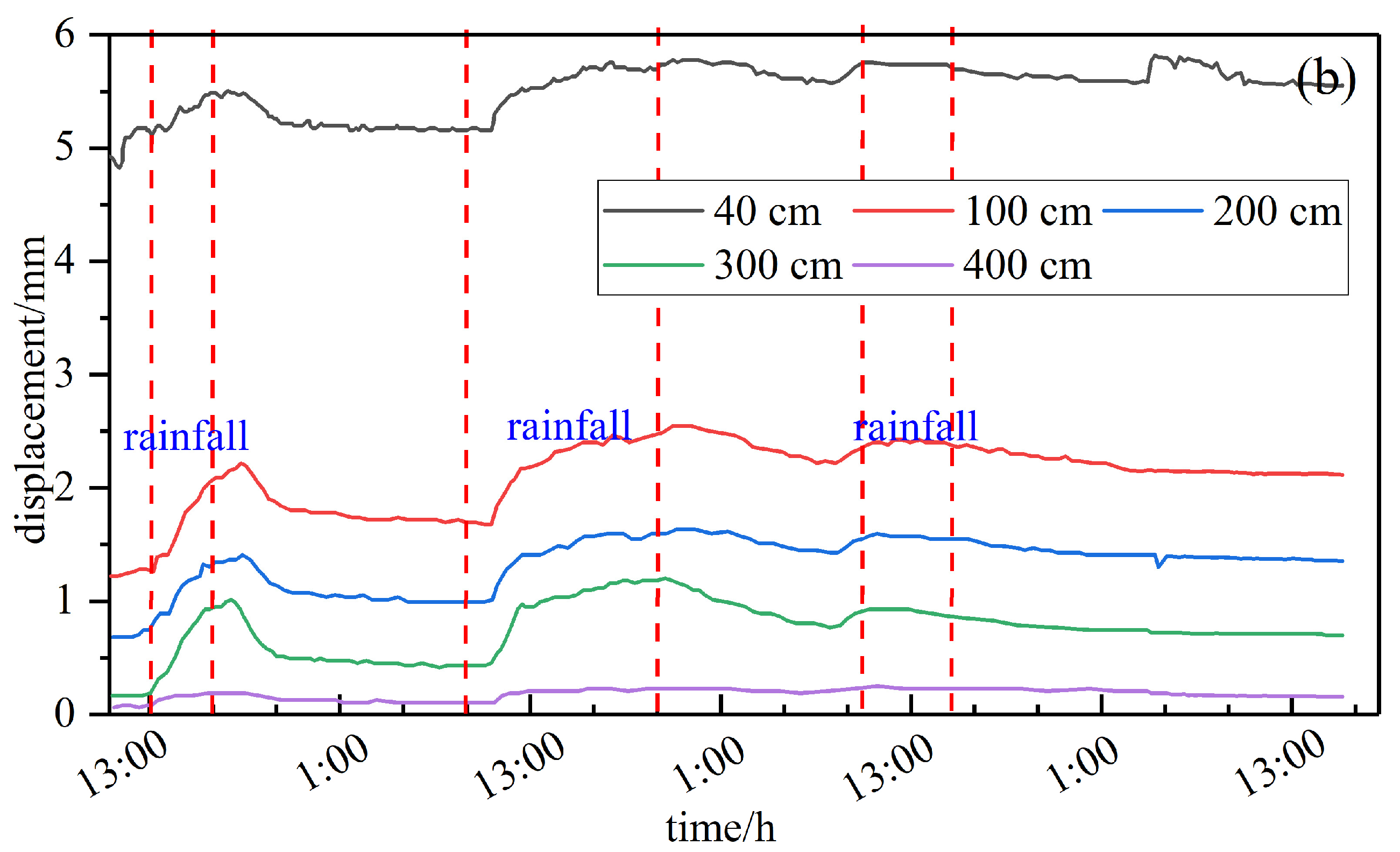
4.3. Time-Varying Response Characteristics of Displacement
- (1)
- The displacement at different depths increased significantly during each rainfall but stagnated or decreased after the rainfall. This result indicated that the displacement was sensitive to rainfall. In addition, the displacement was roughly inversely proportional to the depth, i.e., it gradually decreased from the shallow parts to the deep parts in the vertical direction. For instance, the maximum displacement at different depths in the No. 1 borehole equipped with inclinometers was 0.71 mm (40 cm), 0.55 mm (100 cm), 0.30 mm (200 cm), 0.17 mm (300 cm), 0.03 mm (400 cm), and 0.02 mm (500 cm) during the second rainfall. In addition, the positions at depths of 300–500 cm in both boreholes equipped with inclinometers had small cumulative displacement, indicating that the effective influence range of the first condition was roughly the zone with a depth of less than 300 cm.
- (2)
- Compared to the No. 1 borehole equipped with inclinometers, both the No. 2 borehole equipped with inclinometers near the rear of the landslide and the position at the same depth in the No. 2 borehole equipped with inclinometers showed larger cumulative displacement. This indicated that the landslide in Fu’ao Village was more prone to failure in which displacement first occurred near the rear of the landslide and then gradually to the front of the landslide during typhoon-triggered rainstorms.
- (3)
- According to the comparison of different rainfall periods, the No. 1 borehole equipped with inclinometers responded to different rainfall events, with the displacement increasing to different degrees; the No. 2 borehole equipped with inclinometers responded only to the former two rainfall events but showed small changes in the amplitude of the displacement during the last rainfall.
- (1)
- The cumulative displacement increased significantly. The maximum cumulative displacement of the No. 1 borehole equipped with inclinometers at different depths was 3.03 mm (40 cm), 2.79 mm (100 cm), 2.56 mm (200 cm), 2.49 mm (300 cm), 1.78 mm (400 cm), and 2.56 mm (500 cm), and that of the No. 2 borehole equipped with inclinometers was 5.82 mm (40 cm), 2.15 mm (100 cm), 1.40 mm (200 cm), 1.20 mm (300 cm), and 0.25 mm (400 cm). They were all significantly larger than those of the first condition. Moreover, the second condition also presented a larger increased amplitude of cumulative displacement. These results indicated that the second condition was more likely to cause deep deformation of the landslide.
- (2)
- For the positions at a depth of 400 cm and above, the cumulative displacement under the second condition was greater than that under the first condition. This result indicated that the presence of fractures would cause the affected parts within the landslide to shift downward in a wide range and possibly cause deep parts to slide. This occurred also because the fracture provided dominant seepage pathways. As a result, rainfall could reach the interior of the landslide more quickly than the surface infiltration of rainfall.
- (3)
- It was interesting that the displacement values decreased after the rainfall ended in both conditions. The reason might come from two aspects: One is that the inclinometer in the borehole measured the deformation along the sliding direction of the slope. There was potentially a movement in another direction, reducing the displacement. In this condition, the slope was indeed moving but the direction was not the same as the initial one. Similar results were also observed in some other studies [34], which could lead us to conclude that even in the same profile or the same single point, the trend of displacement probably changes. Another reason is that the pore water pressure might dissipate rapidly due to shear-induced dilation behavior, which subsequently led to the soil regaining strength [38]. Regardless of the reason, movement in the opposite direction of the predisposed landslide movement after the rainfall stops is questionable. Hence, it is important to mention and critically assess this phenomenon rather than avoiding it.
5. Discussion
6. Conclusions
Author Contributions
Funding
Data Availability Statement
Conflicts of Interest
References
- Segoni, S.; Piciullo, L.; Gariano, S.L. A review of the recent literature on rainfall thresholds for landslide occurrence. Landslides 2018, 15, 1483–1501. [Google Scholar] [CrossRef]
- Guo, Z.; Ferrer, J.V.; Hürlimann, M.; Medina, V.; Puig-Polo, C.; Yin, K.; Huang, D. Shallow landslide susceptibility assessment under future climate andland cover changes: A case study from southwest China. Geosci. Front. 2023, 14, 101542. [Google Scholar] [CrossRef]
- Cui, P.; Chen, S.Q.; Su, F.H.; Zhang, J.Q. Formation and mitigation countermeasure of geo-hazards caused by Moarc Typhoon in Taiwan. J. Mt. Sci. 2021, 28, 103–105. [Google Scholar]
- Ren, R.; Yu, D.; Wang, L.; Wang, K.; Wang, H.; He, S. Typhoon triggered operation tunnel debris flow disaster in coastal areas of SE China. Geomat. Nat. Hazards Risk 2019, 10, 562–575. [Google Scholar] [CrossRef]
- Clàudia, A.; Bennett, G.L.; Matthews, A.J.; Matera, M.A.M.; Tan, F.J. The role of geomorphology, rainfall and soil moisture in the occurrence of landslides triggered by 2018 Typhoon Mangkhut in the Philippines. Nat. Hazards Earth Syst. Sci. 2021, 21, 1531–1550. [Google Scholar]
- Guo, Z.; Tian, B.; He, J.; Xu, C.; Zeng, T.; Zhu, Y. Hazard assessment for regional typhoon-triggered landslides by using physically-based model—A case study from southeastern China. Georisk Assess. Manag. Risk Eng. Syst. Geohazards 2023. [Google Scholar] [CrossRef]
- Miyabuchi, Y.; Maeno, F.; Nakada, S. The October 16, 2013 rainfall-induced landslides and associated lahars at IzuOshima Volcano. J. Volcanol. Geotherm. Res. 2015, 302, 242–256. [Google Scholar] [CrossRef]
- Medina, V.; Hürlimann, M.; Guo, Z.; Lloret, A.; Vaunat, J. Fast physically-based model for rainfall-induced landslide susceptibility assessment at regional scale. Catena 2021, 201, 105213. [Google Scholar]
- Guo, Z.; Torra, O.; Hürlimann, M.; Medina, V.; Puig-Polo, C. FSLAM: A QGIS plugin for fast regional susceptibility assessment of rainfall-induced landslides. Environ. Model. Softw. 2022, 150, 105354. [Google Scholar]
- Guo, Z.; Chen, L.; Yin, K.; Shrestha, D.P.; Zhang, L. Quantitative risk assessment of slow-moving landslides from the viewpoint of decision-making: A case study of the Three Gorges Reservoir in China. Eng. Geol. 2020, 273, 105667. [Google Scholar] [CrossRef]
- Chigira, M.; Tsou, C.Y.; Matsushi, Y.; Hiraishi, N.; Matsuzawa, M. Topographic precursors and geological structures of deep-seated catastrophic landslides caused by Typhoon Talas. Geomorphology 2013, 201, 479–493. [Google Scholar] [CrossRef]
- Guo, Z.; Chen, L.; Gui, L.; Du, J.; Yin, K.; Do, H.M. Landslide displacement prediction based on variational mode decomposition and WA-GWO-BP model. Landslides 2020, 17, 567–583. [Google Scholar]
- Alonso, E.E.; Gens, A.; Delahaye, C.H. Influence of rainfall on the deformation and stability of a slope in overconsolidated clays: A case study. Hydrogeol. J. 2003, 11, 174–192. [Google Scholar] [CrossRef]
- Hürlimann, M.; Coviello, V.; Bel, C.; Guo, X.; Berti, M.; Graf, C.; Hübl, J.; Miyata, S.; Smith, J.B.; Yin, H.Y. Debris-flow monitoring and warning: Review and examples. Earth-Sci. Rev. 2019, 199, 102981. [Google Scholar] [CrossRef]
- Chang, K.J.; Tseng, C.W.; Tseng, C.-M.; Liao, T.C.; Yang, C.J. Application of Unmanned Aerial Vehicle (UAV)-Acquired Topography for Quantifying Typhoon-Driven Landslide Volume and Its Potential Topographic Impact on Rivers in Mountainous Catchments. Appl. Sci. 2020, 10, 6102. [Google Scholar] [CrossRef]
- Hölbling, D.; Abad, L.; Dabiri, Z.; Prasicek, G.; Tsai, T.T.; Argentin, A.L. Mapping and Analyzing the Evolution of the Butangbunasi Landslide Using Landsat Time Series with Respect to Heavy Rainfall Events during Typhoons. Appl. Sci. 2020, 10, 630. [Google Scholar] [CrossRef]
- Arattano, M.; Marchi, L. Systems and sensors for debris-flow monitoring and warning. Sensors 2008, 8, 2436–2452. [Google Scholar] [CrossRef]
- Tsai, T.T.; Tsai, Y.J.; Shieh, C.L.; Wang, J.H.C. Triggering Rainfall of Large-Scale Landslides in Taiwan: Statistical Analysis of Satellite Imagery for Early Warning Systems. Water 2022, 14, 3358. [Google Scholar] [CrossRef]
- Ku, C.Y.; Liu, C.Y.; Su, Y.; Xiao, J.E.; Huang, C.C. Transient modeling of regional rainfall-triggered shallow landslides. Environ. Earth Sci. 2017, 76, 570. [Google Scholar] [CrossRef]
- Lin, C.H.; Lin, M.L. Evolution of the large landslide induced by Typhoon Morakot: A case study in the Butangbunasi River, southern Taiwan using the discrete element method. Eng. Geol. 2015, 197, 172–187. [Google Scholar] [CrossRef]
- Hürlimann, M.; Guo, Z.; Puig-Polo, C.; Medina, V. Impacts of future climate and land cover changes on landslide susceptibility: Regional scale modelling in the Val d’ Aran region(Pyrenees, Spain). Landslides 2022, 19, 99–118. [Google Scholar] [CrossRef]
- Cui, Y.; Jin, J.; Huang, Q.; Yuan, K.; Xu, C. A data-driven model for spatial shallow landslide probability of occurrence due to a typhoon in Ningguo City, Anhui Province, China. Forests 2022, 13, 732. [Google Scholar] [CrossRef]
- Tsou, C.Y.; Feng, Z.Y.; Chigira, M. Catastrophic landslide induced by Typhoon Morakot, Shiaolin, Taiwan. Geomorphology 2011, 127, 166–178. [Google Scholar] [CrossRef]
- Guo, Z.H.; Jian, W.B.; Liu, Q.L.; Nie, W. Rainfall infiltration analysis and infiltration model of slope based on in-situ tests. Rock Soil Mech. 2021, 42, 1635–1647. [Google Scholar]
- Liu, G.; Zhu, X.; Guan, J.; Tong, F. Field experiment of rainfall infiltration on a soil slope and simulations based on a water-air two-phase flow model. J. Mt. Sci. 2021, 18, 2159–2167. [Google Scholar] [CrossRef]
- Hsu, Y.; Yen, H.; Tseng, W.; Jan, C. Numerical simulation on a tremendous debris flow caused by Typhoon Morakot in the Jiaopu Stream, Taiwan. J. Mt. Sci. 2014, 11, 1–18. [Google Scholar] [CrossRef]
- Chen, Y.; Irfan, M.; Uchimura, T.; Zhang, K. Feasibility of using elastic wave velocity monitoring for early warning of rainfall-induced slope failure. Sensors 2018, 18, 997. [Google Scholar] [CrossRef]
- Kim, M.S.; Onda, Y.; Uchida, T.; Kim, J.K.; Song, Y.S. Effect of seepage on shallow landslides in consideration of changes in topography: Case study including an experimental sandy slope with artificial rainfall. Catena 2018, 161, 50–62. [Google Scholar] [CrossRef]
- Wang, H.; Jiang, Z.; Xu, W.; Wang, R.; Xie, W. Physical model test on deformation and failure mechanism of deposit landslide under gradient rainfall. Bull. Eng. Geol. Environ. 2022, 81, 66. [Google Scholar] [CrossRef]
- Wu, S.; Chui, T.F.M.; Chen, L. Modeling slope rainfall-infiltration-runoff process with shallow water table during complex rainfall patterns. J. Hydrol. 2021, 599, 126458. [Google Scholar] [CrossRef]
- Cui, G.; Zhu, J. Infiltration model in sloping layered soils and guidelines for model parameter estimation. Hydrol. Sci. J. 2017, 62, 2222–2237. [Google Scholar] [CrossRef]
- Gvirtzman, H.; Shalev, E.; Dahan, O.; Hatzor, Y.H. Large-scale infiltration experiments into unsaturated stratified loess sediments: Monitoring and modeling. J. Hydrol. 2008, 349, 214–229. [Google Scholar] [CrossRef]
- Tu, X.B.; Kwong, A.K.L.; Dai, F.C.; Tham, L.G.; Min, H. Field monitoring of rainfall infiltration in a loess slope and analysis of failure mechanism of rainfall-induced landslides. Eng. Geol. 2009, 105, 134–150. [Google Scholar] [CrossRef]
- Chen, G.; Meng, X.; Qiao, L.; Zhang, Y.; Wang, S. Response of a loess landslide to rainfall: Observations from a field artificial rainfall experiment in Bailong River Basin, China. Landslides 2018, 15, 895–911. [Google Scholar]
- Zhou, Z.; Wang, H.; Fu, H.; Liu, B. Influences of rainfall infiltration on stability of accumulation slope by in-situ monitoring test. J. Cent. South Univ. Technol. 2009, 16, 297–302. [Google Scholar] [CrossRef]
- Qin, H.; He, J.; Guo, J.; Cai, L. Developmental characteristics of rainfall-induced landslides from 1999 to 2016 in Wenzhou City of China. Front. Earth Sci. 2022, 10, 1005199. [Google Scholar] [CrossRef]
- Zhang, T.L.; Zhou, A.G.; Sun, Q.; Wu, J.B.; Wang, H.S.; Liu, Z.H. Characteristics of the groundwater seepage and failure mechanisms of landslide induced by typhoon rainstorm. Earth Sci. 2017, 42, 2354–2362, (In Chinese with English Abstract). [Google Scholar]
- Iverson, R.; Reid, M.; Iverson, N.; LaHusen, R.; Logan, M.; Mann, J.; Brien, D. Acute sensitivity of landslide rates to initial soil porosity. Science 2000, 290, 513–516. [Google Scholar] [CrossRef]
- Prodan, M.V.; Peranić, J.; Pajalić, S.; Arbanas, Ž. Physical Modelling of Rainfall-Induced Sandy and Clay-Like Slope Failures. Adv. Mater. Sci. Eng. 2023, 2023, 3234542. [Google Scholar]
- Kim, S.W.; Chun, K.W.; Kim, M.; Catani, F.; Choi, B.; Seo, J.I. Effect of antecedent rainfall conditions and their variations on shallow landslide-triggering rainfall thresholds in South Korea. Landslides 2021, 18, 569–582. [Google Scholar] [CrossRef]
- Lan, H.; Wang, D.; He, S.; Fang, Y.; Chen, W.; Zhao, P.; Qi, Y. Experimental study on the effects of tree planting on slope stability. Landslides 2020, 17, 1021–1035. [Google Scholar] [CrossRef]
- Zhang, J.; Qiu, H.; Tang, B.; Yang, D.; Liu, Y.; Liu, Z.; Ye, B.; Zhou, W.; Zhu, Y. Accelerating effect of vegetation on the instability of rainfall-induced shallow landslides. Remote Sens. 2022, 14, 5743. [Google Scholar] [CrossRef]
- Gonzalez-Ollauri, A.; Mickovski, S.B. Hydrological effect of vegetation against rainfall-induced landslides. J. Hydrol. 2017, 549, 374–387. [Google Scholar] [CrossRef]













| Instrument | Source | Type | Quantity | Measurement Index | Unit | Resolution | Accuracy |
|---|---|---|---|---|---|---|---|
| Portable automated artificial rainfall simulation system | Xinhuize Co., Ltd., Xi’an, China | XBJ-JY201 | 1 | Rainfall | mm | 0.01 mm | 0.1 mm |
| Soil moisture sensor | Maihuang Co., Ltd., Hangzhou, China | MH-SFC | 7 | Volumetric water content | % | 0.1% | ±0.5% |
| Vibrating wire pressure cell for pore water | Dedu Co., Ltd., Changzhou, China | VP500 | 4 | Pore water pressure | kPa | 0.1 kPa | ±0.01% of range |
| Micromachined-silicon in-place inclinometer | Jitai Co., Ltd., Nanjing, China | MI600 | 11 | Deep displacement | mm | 0.01 mm | ±0.1% of range |
Disclaimer/Publisher’s Note: The statements, opinions and data contained in all publications are solely those of the individual author(s) and contributor(s) and not of MDPI and/or the editor(s). MDPI and/or the editor(s) disclaim responsibility for any injury to people or property resulting from any ideas, methods, instructions or products referred to in the content. |
© 2023 by the authors. Licensee MDPI, Basel, Switzerland. This article is an open access article distributed under the terms and conditions of the Creative Commons Attribution (CC BY) license (https://creativecommons.org/licenses/by/4.0/).
Share and Cite
Zhang, T.; Wu, J.; Sun, Q. The Deformation and Instability Characteristics of Fractured Landslides during Typhoon-Triggered Rainstorms: Observations from an In Situ Field Experiment. Water 2023, 15, 1499. https://doi.org/10.3390/w15081499
Zhang T, Wu J, Sun Q. The Deformation and Instability Characteristics of Fractured Landslides during Typhoon-Triggered Rainstorms: Observations from an In Situ Field Experiment. Water. 2023; 15(8):1499. https://doi.org/10.3390/w15081499
Chicago/Turabian StyleZhang, Taili, Jianbo Wu, and Qiang Sun. 2023. "The Deformation and Instability Characteristics of Fractured Landslides during Typhoon-Triggered Rainstorms: Observations from an In Situ Field Experiment" Water 15, no. 8: 1499. https://doi.org/10.3390/w15081499
APA StyleZhang, T., Wu, J., & Sun, Q. (2023). The Deformation and Instability Characteristics of Fractured Landslides during Typhoon-Triggered Rainstorms: Observations from an In Situ Field Experiment. Water, 15(8), 1499. https://doi.org/10.3390/w15081499
