Abstract
The river is a dynamic space where erosion, transportation, and sedimentation are constantly occurring due to running water. This study aims to reveal the change in geomorphology caused by the flow characteristics of water in rivers and the response of vegetation to that. This study was carried out by clarifying the spatially appearing successional trends in the vegetation established in the stream bars and the riparian zones, which are located on different topographic conditions based on the vegetation profile, ordination result, and species diversity. The spatial distribution of vegetation on the stream bars tended to appear in the order of annual plant-, perennial plant-, and tree-dominated stands from the upstream toward a downstream direction (a gravel bar and a sand bar in a mountain gravel-bed river and an estuary, respectively) or the reversed one (a sand bar in a lowland river). The spatial distribution of vegetation on the riparian zones tended to appear in the order of annual plant-, perennial plant-, and tree-dominated stands from the waterfront toward the bank direction. Changes in species composition also differed depending on the spatial location, showing a similar trend to the spatial distribution of vegetation. Species diversity became higher in proportion to the longevity of the dominant species of each vegetation type. In conclusion, the longitudinal distribution pattern of vegetation on the stream bars resembles the lateral distribution of riparian vegetation, and the successional trends follow the spatial distribution pattern. These results suggest that the dynamics of bed loading, an allogenic process, may be an important determinant of the spatial distribution and succession of plant communities in dynamic riverine environments.
1. Introduction
Succession as the sequential changes in species composition and vegetation structure over time after the disturbance has been addressed as a central research topic in the field of ecology for more than 100 years [1]. The study of succession that reveals how biotic communities are reconstructed after natural or artificial disturbances has been the basis of ecology, and its theoretical framework supports many fields of ecology [1,2,3,4].
Recent studies and reviews show that succession continues to play a central role even in theory and applications of modern ecology. In particular, our understanding of succession is contained in the theory of community assembly and species coexistence [5,6,7] and is directly related to studies of restoration ecology, landscape ecology, ecosystem development, and global change ecology [1,3,4,8]. In this respect, it could be seen that succession is still functioning as the basis for modern ecology.
In plant ecology, two main patterns of succession have been recognized: autogenic succession, in which plants dominate the progress of succession and allogenic succession, in which environmental change drives succession [9,10,11,12]. But studies on succession have focused predominantly on the internal mechanistic (autogenic processes) that bring about ecosystem development [13,14,15,16]. In autogenic succession, although species composition changes according to changes in the environment, it is recognized that plants change environmental conditions and lead to succession. However, like today’s climate change, external factors have an important influence on the dynamics of the ecosystem [17]. Succession caused by external factors, which is not affected by organisms, is called allogenic succession [12].
Rivers are dynamic places where the topography itself changes due to annually or seasonally fluctuating water flow. The characteristic of the river environment is that such running water exists. Rivers are constantly performing three functions: erosion, transportation, and sedimentation. In other words, rivers are a dynamic ecological space where disturbances constantly exist [14,15,18,19].
The riparian zone is featured by a natural disturbance regime, in which parts of the riparian vegetation get scoured away by flooding, and sediments are deposited annually. Such a disturbance regime forms unique environmental gradients depending on the topographic condition of the riparian zone, such as the distance from the waterway and elevation above the water level. Furthermore, these processes lead to a spatial zonation of the vegetation, with vegetation belts forming mainly based on the frequency and intensity of flooding [20,21,22,23].
The hydrological gradient is a primary factor governing riparian vegetation [24,25]. In riparian zones, flooding is the most important disturbance factor controlling the establishment and development of vegetation [26,27]. Flood pulses vary depending on seasonal timing, frequency, duration, and magnitude. Elevation above the water level and distance from the waterfront creates the temporal and spatial gradients of the hydrological regime by reflecting such characteristics of flooding. Species composition and spatial distribution of riparian vegetation reflect the hydrological regime [24,28,29].
The stream bars are also a dynamic product of these rivers, which are formed and developed by erosion and sedimentation of flowing water, and on the contrary, it is an element of the river environment that is sometimes extinguished. The materials that form the stream bars are supplied from the surrounding river bed, and particles of various sizes are deposited according to the flow intensity of the running water [13,15,16]. Compared to other sedimentary topography, the stream bars are flooded whenever a river floods, thus experiencing periodic disturbances which destroy habitats or rearrange the environment and create another one [30].
The structure of a river ecosystem is determined by the action of running water, which is influenced by river shape and riparian vegetation. In particular, small stream bars are temporarily formed and disappeared by floods, but vegetation settles, stabilizes, and grows in size, maintaining them for a relatively long time and acting as habitat or landscape elements for river organisms [13,15,16].
Ecohydrology is an interdisciplinary scientific field studying the interactions between water and ecological systems. It is considered a discipline of hydrology with an ecological focus [31]. Research fields of ecohydrology are various, but this study focuses on interpreting the fluid dynamics through analysis of the successional pattern of vegetation established on the stream bars and the riparian zones different in topographic conditions.
The successional trend on the stream bars is the result of vegetation response to the fluid dynamics in the river. Therefore, the successional trends of vegetation appearing in the stream bars could be a diagnostic tool for the water flow pattern in the river. There were many theoretical considerations for fluid dynamics [32,33,34,35,36,37], but studies that analyzed the formation and development process of stream bars through the spatial distribution and dynamics of vegetation settled on stream bars were very rare [13,15,16,38]. There were also theoretical considerations for estuary circulation [39,40,41,42], but it is difficult to find a study that proved the formation process of stream bars through the spatial distribution and successional pattern of vegetation settled there.
We hypothesized that the longitudinal effect of flood disturbance along the stream flow and the lateral effect across the river in the riverine landscape consisting of the stream ecosystem and the riparian ecosystem were similar to each other. This study aims to reveal the change in geomorphology caused by the flow characteristics of water in rivers and the response of vegetation to it. In order to achieve this purpose, this study analyzed the spatial distribution of vegetation established in stream bars and riparian zones in three river reaches with different topographical locations in a viewpoint of succession and interpreted the water flow characteristics there based on the data.
2. Materials and Methods
2.1. Study Area
This study was conducted in a mountain gravel-bed river reach with a gravel bar, and a lowland river reach and an estuary reach with sand bars. These days, rivers with natural flood regimes and gravel bars and sand bars remain little due to regulations and other types of human interference. This study was carried out in a mountain gravel-bed river reach of the Hoo stream and a lowland river reach, and an estuary reach of the Jasan stream, which is located in central-eastern Korea (Figure 1). These streams, which are located near the Demilitarized Zone (DMZ), are escaped from excessive artificial interference and have a feature close to a natural river. In addition, the latter stream has been designated as an area where the endangered species of Cicuta virosa L. grows and is legally protected. Therefore, riparian vegetation, including vegetation on stream bars, is well developed differently from rivers in other areas of Korea. Their spatial distribution is arranged in the order of annual plant, perennial plant, and tree-dominated vegetation types reflecting the flood regime and maintaining a good conservation state (Figure 2).
Figure 1.
A map showing the study areas. A1: gravel bar of mountain gravel bed river, A2: riparian zone of mountain gravel bed river, B1: sand bar of lowland river, B2: riparian zone of lowland river, C1: sand bar of estuary, C2: riparian zone of estuary.
Figure 2.
The spatial distribution of vegetation established on the stream bars (left) and riparian vegetation (right), which are arranged in the order of annual plant-, perennial herbaceous plant-, and tree-dominated vegetation types reflecting frequency and intensity of flood in mountain gravel-bed river (upper), lowland river (middle), and estuary (lower). The arrows indicate the direction of water flow.
In the surveyed river reaches, the widths of the Jasan stream and Hoo stream were about 120 m and 200 m, respectively. The mean slope of both rivers calculated as an elevation change for the length of the river was 0.01 and 0.02 for the Jasan stream and the Hoo stream, respectively. Sinuosity was high at 2.64 and 3.64 in the Jasan stream and the Hoo stream, respectively. Water flow velocity was 5–8 m/s at flooding. Stream power ranged from 7 to 171 W/m2 [43].
The vegetation established on the stream bars is distributed in the order of tree-, perennial plant-, and annual plant-dominated vegetation types or in the reversed order from upstream toward downstream and reflects the successional trend in each location (Figure 2).
2.2. Methods
A field survey was conducted from April to October 2022. Stand profiles were prepared by carefully depicting the micro-topography and major plant species in a belt transect installed in 10 m widths between levees on both sides of the rivers.
Two hundred thirty-four plots were placed randomly for vegetation sampling. Study plots 54, 35, 27, 31, 49 and 38 were placed in stream bars and riparian zones of mountain gravel bed river, lowland river, and estuary reaches, respectively. Plot sizes were 1 × 1 m, 2 × 2 m, and 10 × 10 m in herbaceous plant-, shrub-, and tree-dominated vegetation, respectively. We recorded the occurrence and dominance of all plant species in the study plots [44,45], following the nomenclature of Lee [46] and the Korean Plant Names Index [47]. Dominance was estimated using the ordinal class scale (from 1 for <1% to 5 for >75%) of Braun Blanquet [44]. We then converted the dominance estimate to the median value for the percentage of coverage for each class and subjected the converted estimates to Detrended Correspondence Analysis (DCA) for ordination [48]. We constructed rank-abundance curves following Magurran [49] and Kent and Cocker [50] and calculated species diversity (H’) following Shannon [51]. Species richness was determined simply as the number of species occurring in each site.
3. Results
3.1. Stand Profiles of Vegetation Established on Stream Bars and Riparian Vegetation
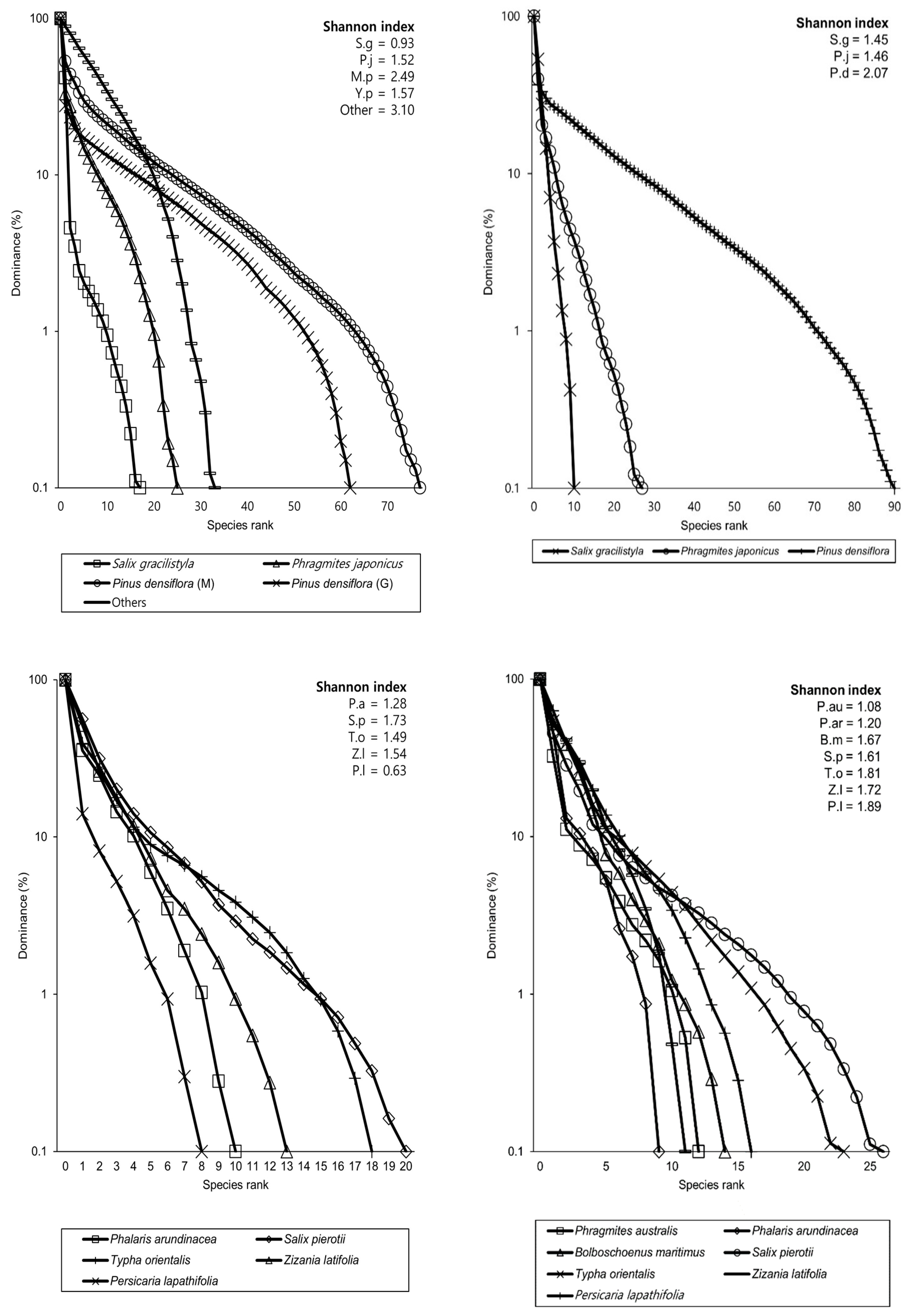
At the tip of the gravel bar, typical riparian plants such as Salix gracilistyla, Phragmites japonica, and Persicaria lapathifolia form sloppy communities in the form of small patches, and Erigeron canadensis, Artemisia indica, and Pueraria lobata also form communities, although they do not have high coverage. As the vegetation coverage increased, Cornus controversa and Juglans mandshurica also formed communities, and P. densiflora of the sub-tree level also formed a community, although the coverage was not high. The pine community consisting of mature pine trees was established on the gravel bar, which has higher coverage and is in a stable state (Figure 3).
Figure 3.
Stand profiles showing the horizontal distribution of riparian vegetation from the waterway to the bank (upper) and longitudinal distribution of vegetation established on the sand bar from upstream to downstream (lower) in the Jasan Stream, Goseong-gun, Gangwon-do, central eastern Korea. Ai: Artemisia indica, Bm: Bolboschoenus maritimus, Cc: Cornus controversa, Eca: Erigeron canadensis, Ecr: Echinochloa crus-galli var. echinatum, Jm: Juglans mandshurica, Ms: Miscanthus sacchariflorus, Par: Phalaris arundinacea, Pau: Phragmites australis Pd (M): Pinus densiflora (mature), Pd (Y): Pinus densiflora (young), Pj: Phragmites japonica, Pl: Persicaria lapathifolia, Plo: Pueraria lobata, Sg: Salix gracilistyla, Sp: Salix pierotii, To: Typha orientalis, Zl: Zizania latifolia.
A willow community was established at the tip of the sand bars, which was formed in the lowland river reaches, and the Phalaris arundinacea community, T. orientalis community, Zizania latifolia community followed, and a P. lapathifolia community appeared at the end. At the tip of the sand bar, which was formed at the estuary, there is a P. lapathifolia community, and as it moves in the downstream direction from there, E. crus-galli var. echinatum community, P. australis community, M. sacchariflorus community, and S. pierotii community appear (Figure 3).
In the stand profile of vegetation established in the riparian zone of the mountain gravel-bed river reach, the P. japonica community was established on the waterfront, and as it moved away from there, the S. gracilistyla community, the young Pinus densiflora community, and the mature P. densiflora community appeared in the order mentioned (Figure 3).
In the stand profile of vegetation established in the riparian zone of the lowland river reaches, the P. lapathifolia community was established on the waterfront, and as it moved away from there, the Zizania latifolia community and T. orientalis community, B. maritimus community, and the S. pierotii community appeared in the order mentioned (Figure 3).
In the stand profile of vegetation established in the riparian zone of the estuary, the P. lapathifolia community was established on the waterfront, and as it moved away from there, the E. crus-galli var. echinatum community, T. orientalis community, Zizania latifolia community, and the S. pierotii community appeared in the order mentioned (Figure 3).
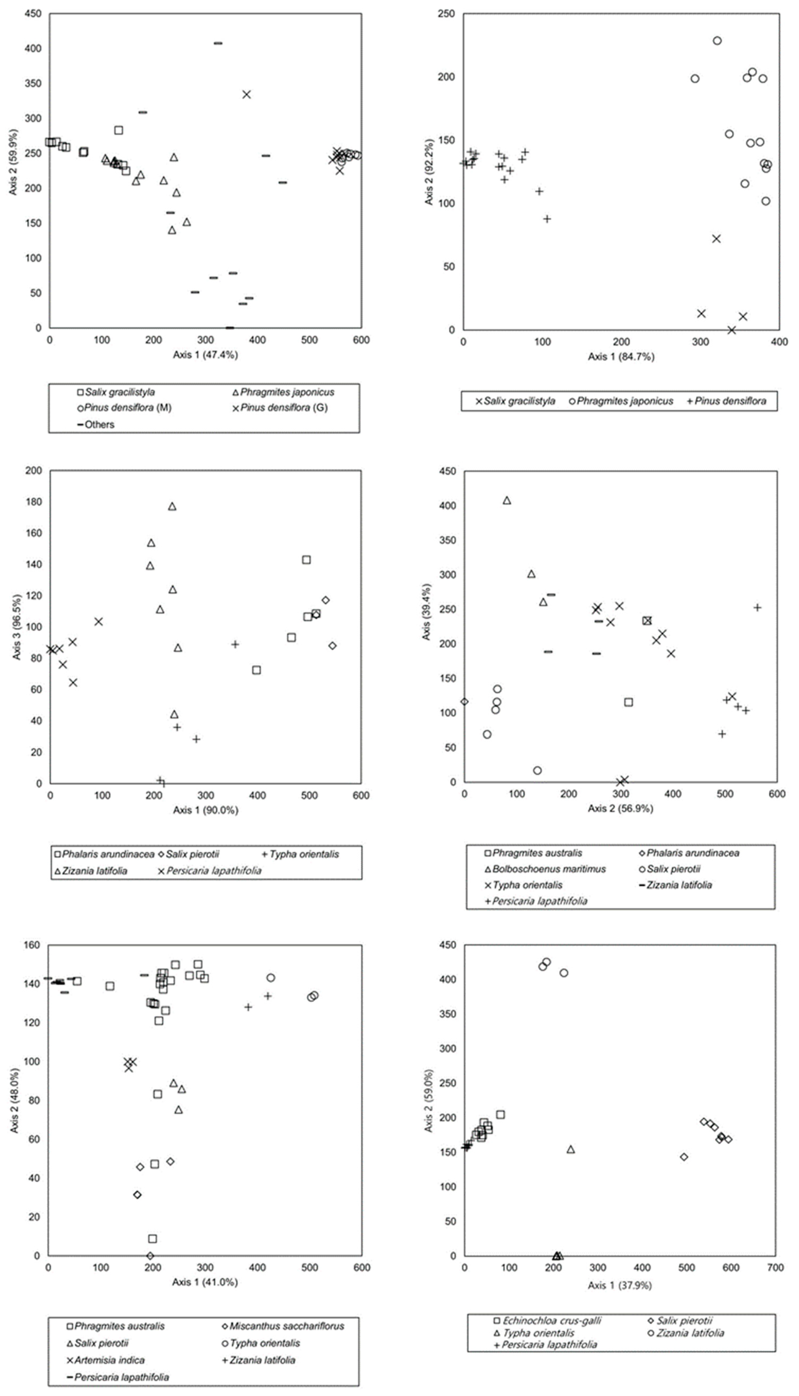
3.2. Stand Ordination Based on Vegetation Established on Stream Bars and Riparian Vegetation
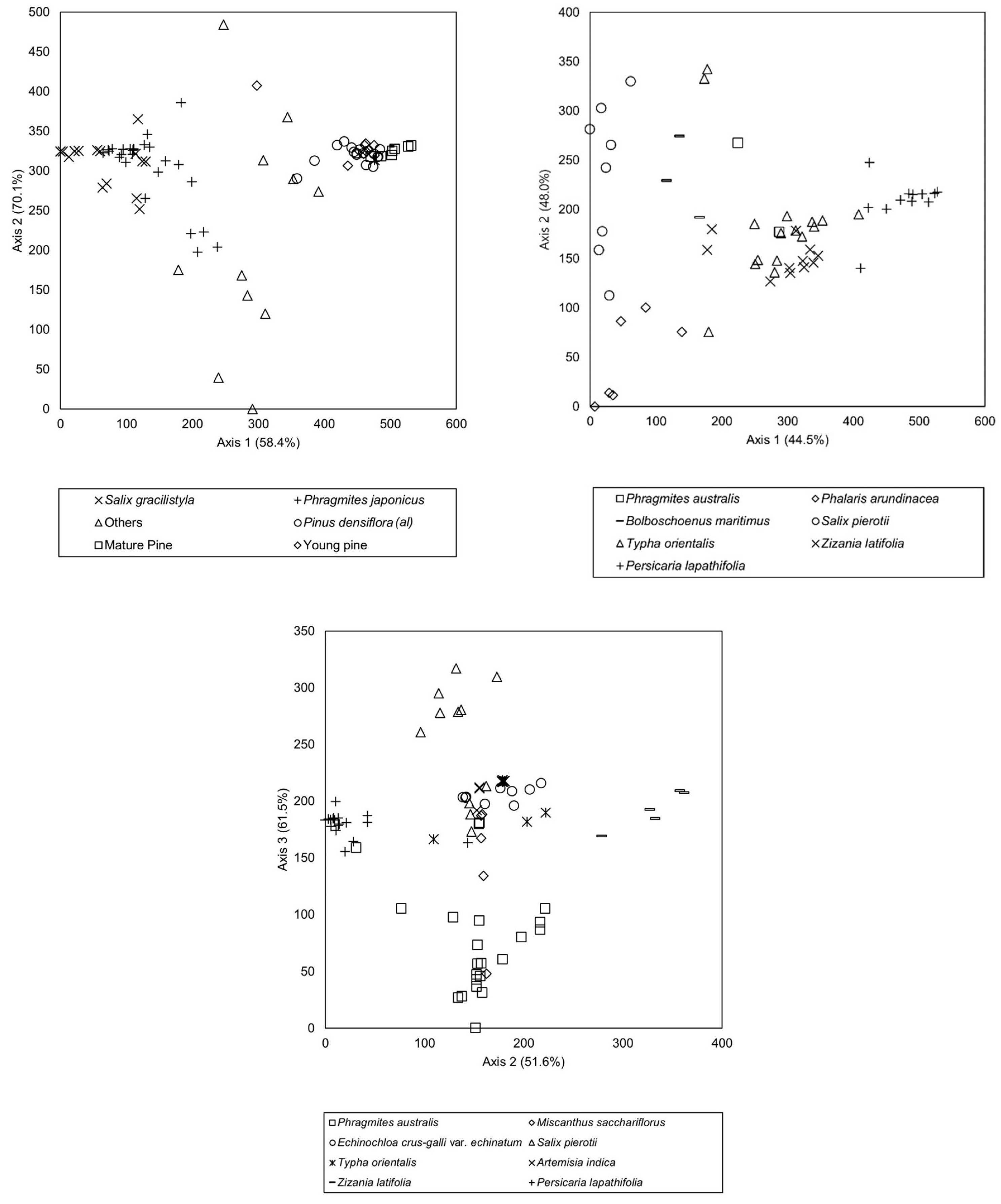
As a result of stand ordination based on vegetation data established on a gravel bar of the mountain gravel-bed river reach, stands tended to be arranged in the order of S. gracilistyla community, P. japonica community, young P. densiflora community, and mature P. densiflora community from right to left parts on AXIS I (Figure 4). The result of stand ordination based on vegetation data established on a sand bar of the lowland river reach showed that stands tended to be arranged in the order of P. lapathifolia community, Z. latifolia community-T. orientalis community, Phalaris arundinacea community, and S. pierotii community from left to right parts on AXIS I. As the result of stand ordination based on vegetation data established on a sand bar of the estuary, stands tended to be arranged in the order of P. lapathifolia community, Artemisia indica community, Miscanthus sacchariflorus community, P. australis community, P. thunbergii community, Z. latifolia community, and T. orientalis community from left to right parts on AXIS I.
Figure 4.
DCA ordination of stands based on vegetation data obtained from vegetation established on stream bars (left) and riparian zones (right) of a mountain gravel-bed river (upper), lowland river (middle), and estuary (lower) reaches.
In the result of stand ordination based on vegetation data established on the riparian zone of the mountain gravel-bed river reach, stands tended to be arranged in the order of S. gracilistyla community, P. japonica community, and P. densiflora community from right to left parts on AXIS I (Figure 4). In the result of stand ordination based on data collected from the riparian zone of the lowland river reach, stands tended to be arranged in the order of P. arundinacea community-S. pierotii community, Bolboschoenus maritimus community, Zizania latifolia community, T. orientalis community-P. australis community, and P. lapathifolia from left to right parts on AXIS I. In the result of stand ordination based on data collected from the riparian zone of the estuary, stands tended to be arranged in the order of P. lapathifolia community, E. crus-galli var. echinatum community, Z. latifolia community, T. orientalis community, and S. pierotii community from left to right parts on AXIS I.
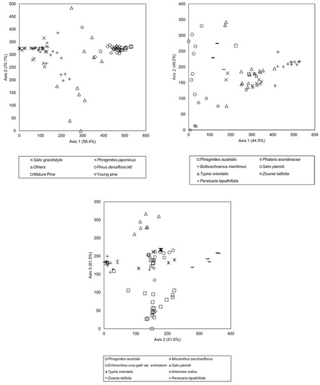
The results of stand ordination based on vegetation data obtained from combining vegetation information established on both stream bars and riparian zones of mountain gravel bed river, lowland river, and estuary reaches showed trends similar to the results performed individually based on vegetation data in the stream bars and riparian zones (Figure 4 and Figure 5). That is, stands tended to be arranged in the order of annual plant-, perennial herb or shrub-, and tree-dominate stands or in the reversed one in the results of ordination (Figure 5).
Figure 5.
DCA ordination of stands based on vegetation data obtained from combining vegetation established on both stream bars and riparian zone of mountain gravel-bed river (upper left), lowland river (upper right), and estuary (lower) reaches.
The result of stand ordination based on data collected from vegetation established on the sand bar arranged stands in the order of P. lapathifolia community, Zizania latifolia community-T. orientalis community, Phalaris arundinacea community, and S. pierotii community from left to right parts on AXIS I.
As a result of stand ordination based on data collected from both riparian zone and sand bar, stands tended to be arranged in the order of P. lapathifolia community, Muradannia keisak community, Zizania latifolia community-T. orientalis community-Bidens frondosa community, P. australis community-B. maritimus community, and Phalaris arundinacea community-S. pierotii community
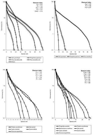
3.3. Species Diversity
In the gravel bar located on the mountain gravel-bed river reach, species richness was highest in the mature pine community, followed by young pine, the other community, P. japonica community, and S. gracilistyla community, and the slope of the rank-abundance curve was also gentler in mature and young pine communities than the other plant communities on the gravel bar (Figure 5). Shannon-Wiener’s index (H’) tended to be proportional to the species richness except for other plant communities (Figure 6).

Figure 6.
Rank-abundance curves and H’ of vegetation types established on stream bars (left) and riparian zones (right) of mountain gravel-bed river (upper), lowland river (middle), and estuary (lower) reaches.
In the sand bar located on the lowland river reach, species richness was highest in the S. pierotii community, followed by T. orientalis, Z. latifolia, P. arundinacea, and P. lapathifolia communities. The slope of rank-abundance curves and Shannon-Wiener’s index (H’) tended to be proportional to the species richness (Figure 6).
In the sand bar located on the estuary, species richness was highest in the S. pierotii community, followed by P. australis, P. lapathifolia, Zizania latifolia, Miscanthus sacchariflorus, Artemisia indica, and T. orientalis communities. However, except for the former two communities, there was no significant difference in the species richness among the communities. The slope of rank-abundance curves tended to be proportional to the species richness but Shannon–Wiener’s index (H’) showed a little different trend from that of the species richness (Figure 6).
In the riparian vegetation of the mountain gravel-bed river reach, species richness was highest in the P. densiflora community, followed by the P. japonica community, and S. gracilistyla community, and the slope of rank-abundance curves and Shannon-Wiener’s index (H’) tended to be proportional to the species richness (Figure 6).
In the riparian vegetation of the lowland river reach, species richness was highest in the S. pierotii community, followed by T. orientalis, P. lapathifolia, Bolboschoenus maritimus, P. australis, Z. latifolia, and P. arundinacea communities. The slope of rank-abundance curves tended to be proportional to the species richness, but Shannon-Wiener’s index (H’) showed a little different trend from that of the species richness (Figure 6).
In the riparian vegetation of the estuary, the species richness of the S. pierotii community was superior to that of other plant communities, the number of species appearing in other communities was lower than 10, and the difference among communities was not significant (Figure 6).
4. Discussion
4.1. Spatial Distribution of Vegetation and Disturbance Regime
In the gravel bar, the spatial distribution of vegetation appeared in the order of herbaceous plant or shrub-dominated vegetation, young pine forest, and mature pine forest in the direction from the upstream to the downstream of the river. The result suggests that the gravel bar advances upstream. In the sandbar located on the lowland river, the spatial distribution of vegetation appeared in the order of tree-dominated vegetation, perennial herbaceous plant-dominated vegetation, and annual plant-dominated vegetation from the upstream to the downstream (Figure 3). This result indicates that the sand bar is enlarging in the downstream direction. However, the order of the spatial distribution of vegetation was vice versa in the sandbar located on the estuary (Figure 3). The spatial distribution of vegetation in the riparian zones showed the same trend depending on the distance from the waterfront. That is, the longitudinal distribution of vegetation on the stream bars resembles the lateral distribution of riparian vegetation (Figure 3). The results of stand ordination based on vegetation data also reflected the same trends (Figure 4).
Ecological disturbances are recognized as a crucial factor influencing the attributes of ecological communities [52,53]. Disturbance could often change the process of dynamic interaction, having a selective effect on some members of the community more than others [11]. Depending on the specific adaptation or life cycle, plant species show different responses to disturbances of different magnitudes [54,55]. In an environment where the frequency of disturbance is high, and the intensity is also strong, such as a river, disturbance can determine the ecological niche [55,56,57].
A disturbance regime refers to the temporal and spatial characteristics of a disturbance agent and the impact of that agent on the landscape. In other words, a disturbance regime is the cumulative effects of multiple disturbance events over space and time [58]. A disturbance regime can be characterized by its frequency, spatial distribution, return interval, rotation period, disturbance size, intensity, and severity [59]. Patterns and processes of disturbance and recovery shape the dynamics of many ecosystems [60,61].
Rivers are a very dynamic space dominated by frequent and intense disturbances [21,62]. Floods are the most important natural disturbing agent in the riverine ecosystem [63]. Floods create new habitats, such as gravel bars or sand bars, and seem to promote habitat mosaics by controlling the water level of the river [64,65,66].
Fluvial disturbances, especially floods, are the main drivers of the successional patterns of riparian vegetation. Those disturbances control the riparian landscape dynamics through the direct interaction between flow and vegetation [67]. Riparian ecosystems are dynamic systems found in flood-prone areas along rivers. They represent the transition between the aquatic and terrestrial ecosystems [68] and play a decisive role in riverine integrity [69]. Riparian ecosystems rely greatly on the characteristics of the flow regime [70] and are notably susceptible to flow regime changes [71].
Riparian vegetation establishes along rivers and is, therefore, strongly influenced by flooding [21,72,73,74]. Natural disturbances driven by floods shape species composition and richness as well as spatial structure in riparian ecosystems [75,76,77]. However, flooding intensity, frequency, and duration differ in space and time. In riparian landscapes, water flows and flood disturbance vary according to the topography of the river [78,79,80,81,82]. As a result, the patterns of flood disturbance vary mainly according to the distance from the water course as well as the elevation above the water level [83].
The frequency of flooding increases near the waterway and decreases as it moves away from there. The intensity of flooding shows the same trend as the frequency. In the riparian zone, topographic factors, including elevation above the water level and distance from the waterfront, are major factors affecting hydrological characteristics. As elevation and distance increase away from the waterfront, the frequency, duration, and magnitude of flooding decrease. Such a hydrological regime is a major determinant of species composition and distribution patterns of vegetation in the riparian zone [27,84,85,86,87]. In other words, variations in elevation and distance create spatial differences in the hydrological regime, and the hydrological gradients control the establishment and development of vegetation in the riparian zone [26,27,88]. Elevation from the water level and distance from the waterfront were the primary factors determining species composition and distribution patterns. The vegetation established on the stream bars and the riparian zones not only exhibited a zonation pattern according to distance from the river channel but also resulted in the spatial variation of vegetation along the elevation. Those vegetation zonation and spatial variation are determined by the hydrological regime due to the topographic conditions in the stream bars and the riparian zones [24,28,89,90]. The longitudinal distribution of vegetation on the stream bars, therefore, resembles the lateral distribution of riparian vegetation due to the effect of this disturbance system (Figure 3, Figure 4 and Figure 5).
4.2. Formation Process of Stream Bars and Vegetation Succession
In gravel bars, the height of the bar is low in the upstream part. The riparian pioneer species S. gracilystila, which is resistant to water flow, is established in this part. These established plants induce the accumulation of gravel and soil formation, and the height of the gravel bar increases as it goes downstream. In response to this, the subtree plants such as J. madshurica and C. controversa are established, and pine trees, which are terrestrial plants, form a community in the downstream part of the highest elevation, which is the deepest soil (Figure 3). This result suggests that the gravel bar advances upstream.
On the contrary, in sand bars of the lowland reach, the highest part of the sand bar is located in the upstream part and is colonized by mature willows capturing sediments, while the downstream part of the lower height is covered by aquatic helophytes. This indicates that the bar is enlarging downstream (Figure 3). On the estuary, sand bars are similar in composition and structure to the other reaches of the river but arranged inversely, indicating the force of the tides (Figure 3).
The spatial distribution of vegetation (Figure 3) and ordination of stands based on species composition composing of the vegetation (Figure 4 and Figure 5) are arranged in the order of annual plant- (usually dominated by P. lapathifolia or P. japonica), perennial herb- (dominated by Phragmites, Phalaris, Typha, Zizania, etc.), and woody plant-dominated stands (usually dominated by S. but by Pinus in a mountain gravel-bed river reach) or in the reversed order. Considering that the successional stage is usually dominated by the longevity of the dominant species, those sequences could be recognized as successional trends [9].
Riparian pioneer plants such as S. gracilistyla established on the river bed plays an important role in the formation of stream bar. Such a plant fixes stream bar by its root system and the roughness produced by its stem and branches favors the deposit of fine particles and therefore creates soil. Where vegetation is settled, riffles are formed due to a bed load, and particulate organic matter (POM) deposition is promoted by the riffle behavior [91,92]. Riparian vegetation not only determines the morphology of the channel but also affects the establishment of plants on the gravel bars and sandbars and plays an important role in vegetation development [93,94,95]. Micro-deposits deposited around established vegetation contains significant amounts of seeds and thus can play this role [96,97,98]. Furthermore, plants that settled early in these sand bars or gravel bars promote the accumulation of micro-deposits and maintain higher biodiversity as their establishment history lengthens [99].
Sand collected by the vegetation on the sandbars in a river is suspended by the flowing water during a flood and deposited in the downstream direction, increasing the size of the sandbar in the direction [15,35,100]. Meanwhile, gravel heavier than sand is usually moved by rolling rather than floating in the water. Therefore, in the gravel bar, the gravel is deposited in the upstream direction and increases in size in that direction [15,16,34,100]. In estuaries, the other flow types dominate bed load dynamics. In other words, river water flows seaward near the surface, whereas seawater flows landward near the river bed, causing so-called estuary circulation [101,102]. These bed load dynamics were reflected in the successional trend of vegetation, and the sequence of vegetation was arranged in the order of annual plant-dominated vegetation, perennial herb-dominated vegetation, and woody plant-dominated vegetation from upstream to downstream (Figure 2 and Figure 3).
Local sedimentation and formation of gravel bars and sandbars are facilitated by woody vegetation, and the development of gravel bars and sandbars and vegetation succession are closely related [13,15,16,103,104]. Succession on the sand bars or gravel bars is governed by the flood cycle, the interaction between the establishment and sedimentation of woody plant-dominated vegetation, and the stabilization of sand bars and gravel bars coming from the settlement of more vegetation [13,15,105,106,107].
Succession is a gradual process of ecosystem development that proceeds toward relatively stable conditions following some kinds of disturbances [60]. The driving force behind vegetation succession varies from case to case. Replacement of one community by the next results from changes in the physical environment that have been produced by the existing organisms based on the facilitation model [9]. Changes in the environment made by existing species promote the establishment of other species, leading to changes so that other species dominate. In this type of succession, autogenic succession, multi-species interactions, especially resource competition, dominates the vegetation dynamics [108,109]. In contrast, allogenic succession is driven by disturbances that cause environmental changes, such as floods, storms, and climate change [17,110]. This successional stage on stream bars consists of an early stage in which the herbaceous plants dominate and a settlement stage in which shrubs or shade-intolerant trees dominate. Succession does not reach the late successional stage, such as mature deciduous broad-leaved forests, in the sand bars or gravel bars located in the center of the dynamic river [14,111,112,113]. In Korea, which belongs to the monsoon climate zone in Asia, more than 70% of rainfall is concentrated from July to August during the rainy season and September during the typhoon season. Moreover, as a mountainous country, the water level fluctuates so much that the coefficient of flow fluctuation reaches 300–700, as Korea has a steep river slope. In other words, it means that rivers experience such strong flood disturbances [114].
The vegetation sequence established in a few topographic conditions of the stream bars, including both gravel bars and sandbars, reflects the lifeform of the plant species that dominate each vegetation type (Figure 2 and Figure 3). Therefore, it could be seen that the sequence is a toposequence and reflects the successional stage at the same time [23]. In fact, rivers are dynamic spaces where disturbances exist constantly. Disturbance and vegetation interact as flood disturbance dominates the settlement of vegetation, and settled vegetation regulates the flow of [15,16,34,35,67,115].
Sand bars or gravel bars as land habitats within the aquatic habitats of streams and rivers are influenced and defined by the flooding disturbance regime. The velocity of flood waters affects the vegetation directly and forcefully. The high impact of water flow makes sand bars and gravel bars some of the most unstable of all natural habitats. The substrates do not develop well-defined soil profiles because flooding keeps depositing new mud, silt, sand, gravel, boulders, logs, leaves, and so on, constantly shifting the substrates [116]. The development of vegetation in the gravel bars and sandbars is, therefore, driven usually by an allogenic process rather than an autogenic process [14,15,16,117]. However, in dynamic sandbars or gravel bars, it is difficult to distinguish between the two mechanisms, especially if the succession is controlled by the interaction between the two mechanisms [15,16].
4.3. Relationship between the Developmental Stage of Vegetation and Species Diversity
Species richness was the highest in woody plant-dominated stands, followed by perennial herb- and annual plant-dominated (Figure 5). The slope of the species rank-dominance curve was steep in plant communities with low species richness while gentle in plant communities with high species richness. These results reflect that the species richness of each plant community is generally consistent with the evenness of the plant community [49]. This result reflects a classical example that species diversity generally increases with succession [118]. However, Shannon-Wiener’s index (H’) showed a little different aspect from these trends (Figure 5).
Since the development of vegetation in the stream bars is not limited by the dispersion of plants, succession proceeds rapidly [13]. Plants that require high moisture and nutrient content dominate the initial stage of succession on the stream bars. However, plant species that can tolerate nutrient deficiency and desiccation also occur over time [13,15,16]. Consequently, species diversity increases in proportion to the history of vegetation establishment (Figure 5). The process of ecological succession has long been acknowledged as a primary driver of biodiversity [119]. A classic example of forest succession shows that higher species diversity appears in the previous stage rather than in the final successional stage of the stable state [118,120]. This trend has also been revealed in recent studies [121,122,123]. Different successional stages may harbor very different sets of species. Periodic resets of unidirectional succession through naturally occurring disturbance events in different parts of the landscape may contribute to the maintenance of a mosaic of successional stages [52]. Periodic massive flooding corresponds to such disturbances [124]. Based on the concept, a method of periodically resetting various successional stages with appropriate disturbance, the so-called Cyclic Rejuvenation through Management (CRM), was proposed as a strategy for increasing species diversity [125].
The intermediate disturbance hypothesis (IDH) that the peak of species diversity occurs at intermediate-scale disturbances could be considered in the same context, but this hypothesis has recently received a lot of criticism. IDH is less supported in newer papers and particularly in those in the field of aquatic ecology [126].
4.4. Ecological Importance of Stream Bars and Riparian Zones
Gravel bars and sandbars play an important role in inducing habitat diversity and ultimately contribute to the retention of a variety of animals and plants, including rare animals and plants, thereby contributing to the maintenance of high biodiversity [13,127,128].
Stream bars contribute to improving the physiological, ecological, and thermal diversity in rivers. Having a river with diverse stream bars is important for fish, which require different types of habitat during various life stages. Stream bars are also believed to function as ‘natural filters’ for particulate organic matter, nutrients, and plankton. Retaining this organic matter helps purify the river and provides primary energy resources to the river ecosystem [129,130,131].
Stream bars (SBs) are common raised in-stream structures, which function as hotspots of biogeochemical activities such as carbon sequestration [132] and denitrification [133]. Stream bars (SBs) are common raised in-stream structures, which promote stream water flow into the streambed and mixing with groundwater. Such mixing zones function as hotspots of biogeochemical activity. Organic matter is both transformed and removed from the SB, as a result of microbial activity and/or attachment of organic matter to SB sediment surfaces. A slower flow of water through the SB results in higher rates of organic matter change and removal. Fresh organic matter is produced, and simultaneously source organic matter is removed within the SB [132].
Variations in regional and local geomorphology, and the consequent impacts of flow and sedimentation regimes, cause high heterogeneity in riparian zones through changing the recruitment of and dynamics within the riparian zone [134]. This heterogeneity is the basis for a species-rich plant community that contributes to local and regional diversity [20,135] and provides many other organisms with resources [136,137]. Additionally, riparian zones and their vegetation fulfill a disproportionately large role in the functioning of fluvial landscapes, for example, by physical and chemical buffering and cycling [115].
These days, however, there are few rivers around the world with intact natural disturbances due to various regulations and other types of human interference. In countries where rice as an aquatic plant is the staple food, including Korea, it is difficult to find a riparian zone that retains its original feature as the riparian zone of the river has been transformed into rice paddies. Therefore, although river restoration is now one of the most active areas of restoration ecology, most restored river sections are still far from being fully natural [13,23,138,139,140]. It is not true that river restoration introduces buffer zones along the river or removes some embankments and dams to enhance the naturalness of some areas adjacent to the main waterway. Rather, we need to reestablish something much closer to the structure and dynamics of natural rivers [13,23,139,140]. In order to realize proper river restoration, the data on the relationship between the disturbance regime and vegetation dynamics obtained in this study could be used as important reference information.
5. Conclusions
The mountain gravel-bed river has a steep riverbed slope, and thus, the flow velocity is fast, and the stream power is strong. The slope of the riverbed becomes gentle as it moves downstream, and the flow velocity and stream power are also reduced. Under the influence of such flow velocity and stream power, the particle size of the riverbed material becomes larger in the upstream direction and decreases in the downstream one. The movement of the riverbed material is influenced by the particle size, and materials of big particles roll or slide, while small particles are transported in a suspended state. In this context, the gravel bars located on the mountain gravel-bed river grow toward the upstream, while the sand bars located on the lowland river reach and/or grow toward the downstream. Meanwhile, sandbars around the estuary grow back in the upstream direction due to the estuary circulation coming from the influence of waves coming from the sea. The spatial distribution and dynamics of riparian vegetation on the stream bars correctly reflect the development process of stream bars due to the movement pattern of riverbed materials. The spatial distribution of vegetation on the gravel bar was distributed in the order of herbaceous plant-dominated vegetation, shrub-dominated vegetation, young pine forest, and mature pine forest from the tip to the tail. The spatial distribution of vegetation on the sand bars was distributed in the order of willow forest, perennial herbaceous plant-dominated vegetation and annual plant-dominated vegetation from the tip to the tail in the lowland river reaches, but the order was vice versa around the estuary. In riparian zones, flooding is the most important disturbance controlling the establishment and development of vegetation. Flood pulses vary in frequency, duration, and intensity spatially. The distance from the waterfront reflects such characteristics of flooding, thereby creating a spatial gradient of a hydrological regime. The spatial distribution of vegetation on the riparian zones reflected the hydrological regime and was distributed in the order of herbaceous plant-dominated vegetation, shrub-dominated vegetation, and tree-dominated vegetation, depending on the distance from the waterfront. The longitudinal distribution pattern of vegetation on the stream bars, therefore, resembles the lateral distribution of riparian vegetation. Furthermore, the successional trends of vegetation established there follow the spatial distribution pattern of vegetation. In conclusion, the spatial distribution and the successional trends of vegetation established on the stream bars and the riparian zones reflect the dynamics of bed loading due to running water in the river.
Author Contributions
Conceptualization, C.S.L.; methodology, J.E.S.; validation, J.E.S. and B.S.L.; formal analysis, J.E.S.; investigation, C.S.L., B.S.L. and J.E.S.; data curation, J.S.M. and G.S.K.; writing—original draft preparation, C.S.L.; writing—review and editing, C.S.L., J.E.S. and B.S.L.; visualization, J.E.S. and B.S.L.; supervision, C.S.L.; project administration, C.S.L.; funding acquisition, C.S.L. All authors have read and agreed to the published version of the manuscript.
Funding
This work was supported by Korea Environment Industry & Technology Institute (KEITI) through the Wetland Ecosystem Value Evaluation and Carbon Absorption Value Promotion Technology Development Project, funded by the Korea Ministry of Environment (2022003630002).
Institutional Review Board Statement
Not applicable.
Informed Consent Statement
Not applicable.
Conflicts of Interest
The authors declare no conflict of interest.
References
- Prach, K.; Walker, L.R. Four opportunities for studies of ecological succession. Trends Ecol. Evol. 2011, 26, 119–123. [Google Scholar] [CrossRef] [PubMed]
- Egerton, F.N. History of ecological sciences, part 54: Succession, community, and continuum. Bull. Ecol. Soc. Am. 2015, 96, 426–474. [Google Scholar] [CrossRef]
- Meiners, S.J.; Cadotte, M.W.; Fridley, J.D.; Pickett, S.T.; Walker, L.R. Is successional research nearing its climax? New approaches for understanding dynamic communities. Funct. Ecol. 2015, 29, 154–164. [Google Scholar] [CrossRef]
- Walker, L.R.; Wardle, D.A. Plant succession as an integrator of contrasting ecological time scales. Trends Ecol. Evol. 2014, 29, 504–510. [Google Scholar] [CrossRef] [PubMed]
- Chang, C.; HilleRisLambers, J. Integrating succession and community assembly perspectives. F1000Research 2016, 5, F1000. [Google Scholar] [CrossRef]
- HilleRisLambers, J.; Adler, P.B.; Harpole, W.S.; Levine, J.M.; Mayfield, M.M. Rethinking community assembly through the lens of coexistence theory. Annu. Rev. Ecol. Evol. Syst. 2012, 43, 227–248. [Google Scholar] [CrossRef]
- Pulsford, S.A.; Lindenmayer, D.B.; Driscoll, D.A. A succession of theories: Purging redundancy from disturbance theory. Biol. Rev. 2016, 91, 148–167. [Google Scholar] [CrossRef]
- Walker, L.R.; Walker, J.; Hobbs, R.J. Linking Restoration and Ecological Succession; Springer: Berlin/Heidelberg, Germany, 2007. [Google Scholar]
- Connell, J.H.; Slatyer, R.O. Mechanisms of succession in natural communities and their role in community stability and organization. Am. Nat. 1977, 111, 1119–1144. [Google Scholar] [CrossRef]
- van Andel, J.; Bakker, J.; Grootjans, A. Mechanisms of vegetation succession: A review of concepts and perspectives. Acta Bot. Neerl. 1993, 42, 413–433. [Google Scholar] [CrossRef]
- McCook, L. Understanding ecological community succession: Causal models and theories, a review. Vegetatio 1994, 110, 115–147. [Google Scholar] [CrossRef]
- Barbour, M.T. Rapid Bioassessment Protocols for Use in Wadeable Streams and Rivers: Periphyton, Benthic Macroinvertebrates and Fish; US Environmental Protection Agency, Office of Water: Washington, DC, USA, 1999. [Google Scholar]
- Kollmann, J.; Vieli, M.; Edwards, P.; Tockner, K.; Ward, J. Interactions between vegetation development and island formation in the Alpine river Tagliamento. Appl. Veg. Sci. 1999, 2, 25–36. [Google Scholar] [CrossRef]
- Chun, Y.J.; Collyer, M.L.; Moloney, K.A.; Nason, J.D. Phenotypic plasticity of native vs. invasive purple loosestrife: A two-state multivariate approach. Ecology 2007, 88, 1499–1512. [Google Scholar] [CrossRef] [PubMed]
- Lee, C.-S.; Cho, Y.-C.; Shin, H.-C.; Park, S. Differences between sand and gravel bars of streams in patterns of vegetation succession. J. Ecol. Environ. 2009, 32, 55–60. [Google Scholar] [CrossRef]
- Pi, J. The Evaluation of Impact of Dam Construction and Different Levels of Restoration on the Naturalness of Riparian Vegetation and Adaptive Management Plans for Improving the Naturalness of the Influenced Rivers of Restoration; Seoul Women’s University: Seoul, Republic of Korea, 2014. [Google Scholar]
- Lee, C.S.; Chun, Y.M.; Lee, H.; Pi, J.H.; Lim, C.H. Establishment, Regeneration, and Succession of Korean Red Pine (Pinus Densiflora S. et Z.) Forest in Korea; IntechOpen: London, UK, 2018. [Google Scholar]
- Gregory, S.V.; Swanson, F.J.; McKee, W.A.; Cummins, K.W. An ecosystem perspective of riparian zones. BioScience 1991, 41, 540–551. [Google Scholar] [CrossRef]
- Lee, C.; Ahn, J.; Pee, J.; Lee, S.; Lee, J. Futuristic direction of river restoration in Korea under changing climate change. J. Restor. Ecol. 2011, 2, 137–143. [Google Scholar]
- Nilsson, C.; Svedmark, M. Basic principles and ecological consequences of changing water regimes: Riparian plant communities. Environ. Manag. 2002, 30, 468–480. [Google Scholar] [CrossRef]
- Naiman, R.J.; Bechtold, J.S.; Drake, D.C.; Latterell, J.J.; O’Keefe, T.C.; Balian, E.V. Origins, patterns, and importance of heterogeneity in riparian systems. In Ecosystem Function in Heterogeneous Landscapes; Springer: New York, NY, USA, 2005; pp. 279–309. [Google Scholar]
- Yarnell, K.; Hall, C.; Royle, C.; Walker, S.L. Domesticated horses differ in their behavioural and physiological responses to isolated and group housing. Physiol. Behav. 2015, 143, 51–57. [Google Scholar] [CrossRef] [PubMed]
- Lim, B.S.; Seol, J.; Kim, A.R.; An, J.H.; Lim, C.H.; Lee, C.S. Succession of the abandoned rice fields restores the riparian forest. Int. J. Environ. Res. Public Health 2022, 19, 10416. [Google Scholar] [CrossRef]
- Auble, G.T.; Scott, M.L.; Friedman, J.M. Use of individualistic streamflow-vegetation relations along the Fremont River, Utah, USA to assess impacts of flow alteration on wetland and riparian areas. Wetlands 2005, 25, 143–154. [Google Scholar] [CrossRef]
- Chen, Y.; Li, W.; Xu, C.; Ye, Z.; Chen, Y. Desert riparian vegetation and groundwater in the lower reaches of the Tarim River basin. Environ. Earth Sci. 2015, 73, 547–558. [Google Scholar] [CrossRef]
- Ferreira, L.V.; Stohlgren, T.J. Effects of river level fluctuation on plant species richness, diversity, and distribution in a floodplain forest in Central Amazonia. Oecologia 1999, 120, 582–587. [Google Scholar] [CrossRef] [PubMed]
- Casanova, M.T.; Brock, M.A. How do depth, duration and frequency of flooding influence the establishment of wetland plant communities? Plant Ecol. 2000, 147, 237–250. [Google Scholar] [CrossRef]
- Shafroth, P.B.; Stromberg, J.C.; Patten, D.T. Riparian vegetation response to altered disturbance and stress regimes. Ecol. Appl. 2002, 12, 107–123. [Google Scholar] [CrossRef]
- Capon, S. Flood variability and spatial variation in plant community composition and structure on a large arid floodplain. J. Arid Environ. 2005, 60, 283–302. [Google Scholar] [CrossRef]
- Arscott, D.B.; Tockner, K.; van der Nat, D.; Ward, J. Aquatic habitat dynamics along a braided alpine river ecosystem (Tagliamento River, Northeast Italy). Ecosystems 2002, 5, 802–814. [Google Scholar] [CrossRef]
- Li, X.; Yang, D.; Zheng, C.; Li, X.; Zhao, W.; Huang, M.; Chen, Y.; Yu, P. Ecohydrology. In The Geographical Sciences During 1986–2015; Springer: Berlin/Heidelberg, Germany, 2017; pp. 407–417. [Google Scholar]
- Blondeaux, P.; Seminara, G. A unified bar–bend theory of river meanders. J. Fluid Mech. 1985, 157, 449–470. [Google Scholar] [CrossRef]
- Fujita, Y.; Muramoto, Y. Studies on the process of development of alternate bars. Bull. Disaster Prev. Res. Inst. 1985, 35, 55–86. [Google Scholar]
- Tsujimoto, T. Development of sand island with vegetation in fluvial fan river under degradation. In Proceedings of the Water Resources Engineering′98, Memphis, TN, USA, 3–7 August 1998; pp. 574–579. [Google Scholar]
- Tsujimoto, T. Fluvial processes in streams with vegetation. J. Hydraul. Res. 1999, 37, 789–803. [Google Scholar] [CrossRef]
- Crosato, A.; Desta, F.B.; Cornelisse, J.; Schuurman, F.; Uijttewaal, W.S. Experimental and numerical findings on the long-term evolution of migrating alternate bars in alluvial channels. Water Resour. Res. 2012, 48, W06524. [Google Scholar] [CrossRef]
- Rodrigues, S.; Mosselman, E.; Claude, N.; Wintenberger, C.L.; Juge, P. Alternate bars in a sandy gravel bed river: Generation, migration and interactions with superimposed dunes. Earth Surf. Process. Landf. 2015, 40, 610–628. [Google Scholar] [CrossRef]
- Prach, K. Vegetation succession on river gravel bars across the Northwestern Himalayas, India. Arct. Alp. Res. 1994, 26, 349–353. [Google Scholar] [CrossRef]
- Prandle, D. Generalised theory of estuarine dynamics. Phys. Shallow Estuaries Bays 1986, 16, 41–57. [Google Scholar]
- Verri, G.; Pinardi, N.; Bryan, F.; Tseng, Y.-H.; Coppini, G.; Clementi, E. A box model to represent estuarine dynamics in mesoscale resolution ocean models. Ocean Model. 2020, 148, 101587. [Google Scholar] [CrossRef]
- Jeong, J.-S.; Woo, S.-B.; Lee, H.S.; Gu, B.-H.; Kim, J.W.; Song, J.I. Baroclinic Effect on Inner-Port Circulation in a Macro-Tidal Estuary: A Case Study of Incheon North Port, Korea. J. Mar. Sci. Eng. 2022, 10, 392. [Google Scholar] [CrossRef]
- Zhang, R.; Hong, B.; Zhu, L.; Gong, W.; Zhang, H. Responses of estuarine circulation to the morphological evolution in a convergent, microtidal estuary. Ocean Sci. 2022, 18, 213–231. [Google Scholar] [CrossRef]
- Shin, S.-S.; Park, S.-D.; Lee, S.-K.; Ji, M.-G. Estimating critical stream power by the distribution of gravel-bed materials in the meandering river. J. Korea Water Resour. Assoc. 2012, 45, 151–163. [Google Scholar] [CrossRef]
- Braun-Blanquet, J. Pflanzensoziologie: Grundzüge der Vegetationskunde; Springer: Berlin/Heidelberg, Germany, 2013. [Google Scholar]
- Ellenberg, D.; Mueller-Dombois, D. Aims and Methods of Vegetation Ecology; Wiley: New York, NY, USA, 1974. [Google Scholar]
- Lee, T. Illustrated Flora of Korea; Hyang Moon Sa: Seoul, Republic of Korea, 1985. [Google Scholar]
- Korean Plant Names Index. Available online: http://www.nature.go.kr/kbi/plant/pilbk/selectPlantPilbkGnrlList.do (accessed on 15 February 2023).
- Hill, M. A FORTRAN program for detrended correspondence analysis and reciprocal averaging. In Ecology and Systematics; Cornell University: Ithaca, NY, USA, 1979; 52p. [Google Scholar]
- Magurran, A.E.; Henderson, P.A. Explaining the excess of rare species in natural species abundance distributions. Nature 2003, 422, 714–716. [Google Scholar] [CrossRef]
- Kent, M. Vegetation Description and Data Analysis: A Practical Approach; John and Wiley and Sons: Hoboken, NJ, USA, 2011. [Google Scholar]
- Shannon, C.E. A mathematical theory of communication. Bell Syst. Technol. J. 1948, 27, 379–423. [Google Scholar] [CrossRef]
- Sousa, W.P. The role of disturbance in natural communities. Annu. Rev. Ecol. Syst. 1984, 15, 353–391. [Google Scholar] [CrossRef]
- Turner, M.G. Disturbance and landscape dynamics in a changing world. Ecology 2010, 91, 2833–2849. [Google Scholar] [CrossRef]
- Herben, T.; Chytrý, M.; Klimešová, J. A quest for species-level indicator values for disturbance. J. Veg. Sci. 2016, 27, 628–636. [Google Scholar] [CrossRef]
- Pielech, R.; Czortek, P. Disentangling effects of disturbance severity and frequency: Does bioindication really work? Ecol. Evol. 2021, 11, 252–262. [Google Scholar] [CrossRef]
- Haghkerdar, J.M.; McLachlan, J.R.; Ireland, A.; Greig, H.S. Repeat disturbances have cumulative impacts on stream communities. Ecol. Evol. 2019, 9, 2898–2906. [Google Scholar] [CrossRef]
- Danehy, R.J.; Bilby, R.E.; Justice, T.E.; Lester, G.T.; Jones, J.E.; Haddadi, S.S.; Merritt, G.D. Aquatic Biological Diversity Responses to Flood Disturbance and Forest Management in Small, Forested Watersheds. Water 2021, 13, 2793. [Google Scholar] [CrossRef]
- Keane, R. Disturbance Regimes and the Historical Range and Variation in Terrestrial Ecosystems; Elsevier: Amsterdam, The Netherlands, 2017. [Google Scholar]
- Shea, K.; Roxburgh, S.H.; Rauschert, E.S. Moving from pattern to process: Coexistence mechanisms under intermediate disturbance regimes. Ecol. Lett. 2004, 7, 491–508. [Google Scholar] [CrossRef]
- White, P.S.; Jentsch, A. The search for generality in studies of disturbance and ecosystem dynamics. In Progress in Botany; Springer: Berlin/Heidelberg, DE, 2001; pp. 399–450. [Google Scholar]
- Burton, P.J.; Jentsch, A.; Walker, L.R. The Ecology of Disturbance Interactions. BioScience 2020, 70, 854–870. [Google Scholar] [CrossRef]
- Lee, C.-S.; You, Y.-H. Creation of an environmental forest as an ecological restoration. Korean J. Ecol. 2001, 24, 101–109. [Google Scholar]
- Bornette, G.; Amoros, C. Disturbance regimes and vegetation dynamics: Role of floods in riverine wetlands. J. Veg. Sci. 1996, 7, 615–622. [Google Scholar] [CrossRef]
- Girel, J. Old distribution procedure of both water and matter fluxes in floodplains of western Europe: Impact on present vegetation. Environ. Manag. 1994, 18, 203–221. [Google Scholar] [CrossRef]
- Ward, J.V.; Tockner, K.; Uehlinger, U.; Malard, F. Understanding natural patterns and processes in river corridors as the basis for effective river restoration. Regul. Rivers Res. Manag. Int. J. Devoted River Res. Manag. 2001, 17, 311–323. [Google Scholar] [CrossRef]
- Tockner, K.; Stanford, J.A. Riverine flood plains: Present state and future trends. Environ. Conserv. 2002, 29, 308–330. [Google Scholar] [CrossRef]
- Rivaes, R.; Pinheiro, A.N.; Egger, G.; Ferreira, T. The Role of river Morphodynamic disturbance and groundwater hydrology as driving factors of riparian landscape Patterns in Mediterranean Rivers. Front. Plant Sci. 2017, 8, 1612. [Google Scholar] [CrossRef] [PubMed]
- Naiman, R.J.; Decamps, H. The ecology of interfaces: Riparian zones. Annu. Rev. Ecol. Syst. 1997, 28, 621–658. [Google Scholar] [CrossRef]
- Van Looy, K.; Cavillon, C.; Tormos, T.; Piffady, J.; Landry, P.; Souchon, Y. A scale-sensitive connectivity analysis to identify ecological networks and conservation value in river networks. Landsc. Ecol. 2013, 28, 1239–1249. [Google Scholar] [CrossRef]
- Poff, N.L.; Allan, J.D.; Bain, M.B.; Karr, J.R.; Prestegaard, K.L.; Richter, B.D.; Sparks, R.E.; Stromberg, J.C. The natural flow regime. BioScience 1997, 47, 769–784. [Google Scholar] [CrossRef]
- Bejarano, M.D.; Gonzalez del Tanago, M.; de Jalón, D.G.; Marchamalo, M.; Sordo-Ward, Á.; Solana-Gutiérrez, J. Responses of riparian guilds to flow alterations in a Mediterranean stream. J. Veg. Sci. 2012, 23, 443–458. [Google Scholar] [CrossRef]
- Benda, L.; Poff, N.L.; Miller, D.; Dunne, T.; Reeves, G.; Pess, G.; Pollock, M. The network dynamics hypothesis: How channel networks structure riverine habitats. BioScience 2004, 54, 413–427. [Google Scholar] [CrossRef]
- Foster, A.D.; Claeson, S.M.; Bisson, P.A.; Heimburg, J. Aquatic and riparian ecosystem recovery from debris flows in two western Washington streams, USA. Ecol. Evol. 2020, 10, 2749–2777. [Google Scholar] [CrossRef]
- Johnson, S.L.; Swanson, F.J.; Grant, G.E.; Wondzell, S.M. Riparian forest disturbances by a mountain flood—The influence of floated wood. Hydrol. Process. 2000, 14, 3031–3050. [Google Scholar] [CrossRef]
- James, C.S.; Mackay, S.J.; Arthington, A.H.; Capon, S.J.; Barnes, A.; Pearson, B. Does stream flow structure woody riparian vegetation in subtropical catchments? Ecol. Evol. 2016, 6, 5950–5963. [Google Scholar] [CrossRef]
- Vervuren, P.; Blom, C.; De Kroon, H. Extreme flooding events on the Rhine and the survival and distribution of riparian plant species. J. Ecol. 2003, 91, 135–146. [Google Scholar] [CrossRef]
- You, X.; Liu, J. Modeling the spatial and temporal dynamics of riparian vegetation induced by river flow fluctuation. Ecol. Evol. 2018, 8, 3648–3659. [Google Scholar] [CrossRef] [PubMed]
- Bazzaz, F.A. Characteristics of populations in relation to disturbance in natural and man-modified ecosystems. In Proceedings of the Disturbance and Ecosystems: Components of Response; Springer: Berlin/Heidelberg, Germany, 1983; pp. 259–275. [Google Scholar]
- Schlosser, I.J. Environmental variation, life history attributes, and community structure in stream fishes: Implications for environmental management and assessment. Environ. Manag. 1990, 14, 621–628. [Google Scholar] [CrossRef]
- Gomi, T.; Sidle, R.C.; Richardson, J.S. Understanding processes and downstream linkages of headwater systems: Headwaters differ from downstream reaches by their close coupling to hillslope processes, more temporal and spatial variation, and their need for different means of protection from land use. BioScience 2002, 52, 905–916. [Google Scholar]
- Lite, S.; Bagstad, K.; Stromberg, J. Riparian plant species richness along lateral and longitudinal gradients of water stress and flood disturbance, San Pedro River, Arizona, USA. J. Arid Environ. 2005, 63, 785–813. [Google Scholar] [CrossRef]
- Ito, H.; Ito, S.; Nakao, T.; Kadomoto, K. Effects of fluvial and geomorphic disturbances on forest dynamics of a sedimentation-dominated riparian forest in warm-temperate mountainous region in southern Japan. Jpn. J. For. Environ. Jpn. 2008, 50, 17–24. [Google Scholar]
- Lepori, F.; Hjerdt, N. Disturbance and aquatic biodiversity: Reconciling contrasting views. BioScience 2006, 56, 809–818. [Google Scholar] [CrossRef]
- Bendix, J.; Hupp, C.R. Hydrological and geomorphological impacts on riparian plant communities. Hydrol. Process. 2000, 14, 2977–2990. [Google Scholar] [CrossRef]
- Merritt, D.M.; Scott, M.L.; LeRoy Poff, N.; Auble, G.T.; Lytle, D.A. Theory, methods and tools for determining environmental flows for riparian vegetation: Riparian vegetation-flow response guilds. Freshw. Biol. 2010, 55, 206–225. [Google Scholar] [CrossRef]
- Džubáková, K.; Molnar, P.; Schindler, K.; Trizna, M. Monitoring of riparian vegetation response to flood disturbances using terrestrial photography. Hydrol. Earth Syst. Sci. 2015, 19, 195–208. [Google Scholar] [CrossRef]
- Park, H.; Kim, J.G. Temporal and spatial variations of vegetation in a riparian zone of South Korea. J. Ecol. Environ. 2020, 44, 9. [Google Scholar] [CrossRef]
- Bourgeois, B.; González, E.; Vanasse, A.; Aubin, I.; Poulin, M. Spatial processes structuring riparian plant communities in agroecosystems: Implications for restoration. Ecol. Appl. 2016, 26, 2103–2115. [Google Scholar] [CrossRef] [PubMed]
- Flores-Galicia, N.; Trejo, I.; Ramírez-Marcial, N. Environment-driven changes in diversity of riparian plant communities along a mountain river. Ecol. Evol. 2021, 11, 5690–5701. [Google Scholar] [CrossRef] [PubMed]
- Huang, W.; Hu, T.; Mao, J.; Montzka, C.; Bol, R.; Wan, S.; Li, J.; Yue, J.; Dai, H. Hydrological Drivers for the Spatial Distribution of Wetland Herbaceous Communities in Poyang Lake. Remote Sens. 2022, 14, 4870. [Google Scholar] [CrossRef]
- Jeon, H.-S.; Obana, M.; Tsujimoto, T. Concept of bed roughness boundary layer and its application to bed load transport in flow with non-submerged vegetation. J. Water Resour. Prot. 2014, 2014, 48190. [Google Scholar] [CrossRef]
- Jeon, H.S.; Obana, M.; Kim, K.H.; Tsujimoto, T. Flow and Sediment Transport with Non-Submerged Riparian Vegetation in 1D Scheme. J. Coast. Res. 2017, 79, 329–333. [Google Scholar] [CrossRef]
- Malanson, G.P.; Butler, D.R. Woody debris, sediment, and riparian vegetation of a subalpine river, Montana, USA. Arct. Alp. Res. 1990, 22, 183–194. [Google Scholar] [CrossRef]
- Fetherston, K.L.; Naiman, R.J.; Bilby, R.E. Large woody debris, physical process, and riparian forest development in montane river networks of the Pacific Northwest. Geomorphology 1995, 13, 133–144. [Google Scholar] [CrossRef]
- Nakamura, F.; Fuke, N.; Kubo, M. Contributions of large wood to the initial establishment and diversity of riparian vegetation in a bar-braided temperate river. Plant Ecol. 2012, 213, 735–747. [Google Scholar] [CrossRef]
- Schwabe, A. A method for the analysis of temporal changes in vegetation pattern at the landscape level. Vegetatio 1991, 95, 1–19. [Google Scholar] [CrossRef]
- Langlade, L.-R.; Decamps, O. Silt accumulation and plant colonization along a gravel bar. Comptes Rendus de l’Academie des Sciences Serie 3 Sciences de la Vie 1995, 318, 1073–1082. [Google Scholar]
- Hughes, F. The flooded forest: Guidance for policy makers and river managers in Europe on the restoration of floodplain forests. FLOBAR2 2003, 2003, 10021977743. [Google Scholar]
- Cendejas-Zarelli, S.J. The Effect of Large Woody Debris, Direct Seeding, and Distance from the Forest Edge on Species Composition on Novel Terraces following Dam Removal on the Elwha River, WA. Master’s Thesis, Western Washington University, Bellingham, WA, USA, 2021. [Google Scholar]
- Li, Z.; Wang, Z.; Pan, B.; Zhu, H.; Li, W. The development mechanism of gravel bars in rivers. Quat. Int. 2014, 336, 73–79. [Google Scholar] [CrossRef]
- Nguyen, N.-T.; Nakajo, S.; Mukunoki, T.; Tsujimoto, G. Estuarine circulation patterns in a complex geometry estuary: Dinh an estuary, Mekong River. Environ. Process. 2018, 5, 503–517. [Google Scholar] [CrossRef]
- Du, Y.; Cheng, Z.; You, Z. Morphological changes in a macro-tidal estuary during extreme flooding events. Front. Mar. Sci. 2023, 9, 1112494. [Google Scholar] [CrossRef]
- Abbe, T.B.; Montgomery, D.R. Large woody debris jams, channel hydraulics and habitat formation in large rivers. Regul. Rivers Res. Manag. 1996, 12, 201–221. [Google Scholar] [CrossRef]
- Picco, L.; Sitzia, T.; Mao, L.; Comiti, F.; Lenzi, M.A. Linking riparian woody communities and fluviomorphological characteristics in a regulated gravel-bed river (Piave River, Northern Italy). Ecohydrology 2016, 9, 101–112. [Google Scholar] [CrossRef]
- Corenblit, D.; Steiger, J.; Gurnell, A.M.; Tabacchi, E.; Roques, L. Control of sediment dynamics by vegetation as a key function driving biogeomorphic succession within fluvial corridors. Earth Surf. Process. Landf. J. Br. Geomorphol. Res. Group 2009, 34, 1790–1810. [Google Scholar] [CrossRef]
- Corenblit, D.; Steiger, J.; Tabacchi, E. Biogeomorphologic succession dynamics in a Mediterranean river system. Ecography 2010, 33, 1136–1148. [Google Scholar] [CrossRef]
- Corenblit, D.; Vautier, F.; González, E.; Steiger, J. Formation and dynamics of vegetated fluvial landforms follow the biogeomorphological succession model in a channelized river. Earth Surf. Process. Landf. 2020, 45, 2020–2035. [Google Scholar] [CrossRef]
- Tilman, D. Niche tradeoffs, neutrality, and community structure: A stochastic theory of resource competition, invasion, and community assembly. Proc. Natl. Acad. Sci. USA 2004, 101, 10854–10861. [Google Scholar] [CrossRef] [PubMed]
- Franklin, J.; Serra-Diaz, J.M.; Syphard, A.D.; Regan, H.M. Global change and terrestrial plant community dynamics. Proc. Natl. Acad. Sci. USA 2016, 113, 3725–3734. [Google Scholar] [CrossRef] [PubMed]
- Mitchell, S. Wind as a natural disturbance agent in forests: A synthesis. For. Int. J. For. Res. 2013, 86, 147–157. [Google Scholar] [CrossRef]
- Hupp, C.R.; Osterkamp, W. Bottomland vegetation distribution along Passage Creek, Virginia, in relation to fluvial landforms. Ecology 1985, 66, 670–681. [Google Scholar] [CrossRef]
- Ellenberg, H.H. Vegetation Ecology of Central Europe; Cambridge University Press: Cambridge, UK, 1988. [Google Scholar]
- Schnitzler, A. River dynamics as a forest process: Interaction between fluvial systems and alluvial forests in large European river plains. Bot. Rev. 1997, 63, 40–64. [Google Scholar] [CrossRef]
- Choi, I.-C.; Shin, H.-J.; Nguyen, T.T.; Tenhunen, J. Water Policy Reforms in South Korea: A Historical Review and Ongoing Challenges for Sustainable Water Governance and Management. Water 2017, 9, 717. [Google Scholar] [CrossRef]
- Del Tánago, M.G.; Martínez-Fernández, V.; Aguiar, F.C.; Bertoldi, W.; Dufour, S.; de Jalón, D.G.; Garófano-Gómez, V.; Mandzukovski, D.; Rodríguez-González, P.M. Improving river hydromorphological assessment through better integration of riparian vegetation: Scientific evidence and guidelines. J. Environ. Manag. 2021, 292, 112730. [Google Scholar] [CrossRef]
- Gurnell, A.M.; Petts, G.E. Island-dominated landscapes of large floodplain rivers, a European perspective. Freshw. Biol. 2002, 47, 581–600. [Google Scholar] [CrossRef]
- Décamps, H. The renewal of floodplain forests along rivers: A landscape perspective. Int. Ver. Theor. Angew. Limnol. Verh. 1996, 26, 35–59. [Google Scholar] [CrossRef]
- Odum, E.P. The Strategy of Ecosystem Development: An understanding of ecological succession provides a basis for resolving man’s conflict with nature. Science 1969, 164, 262–270. [Google Scholar] [CrossRef]
- Sousa, W.P. Experimental investigations of disturbance and ecological succession in a rocky intertidal algal community. Ecol. Monogr. 1979, 49, 227–254. [Google Scholar] [CrossRef]
- Whittaker, R.H. Communities Ecosystems, 2nd ed.; Macmillan: New York, USA, 1975. [Google Scholar]
- Baptist, M.J.; Penning, W.E.; Duel, H.; Smits, A.J.; Geerling, G.W.; Van der Lee, G.E.; Van Alphen, J.S. Assessment of the effects of cyclic floodplain rejuvenation on flood levels and biodiversity along the Rhine River. River Res. Appl. 2004, 20, 285–297. [Google Scholar] [CrossRef]
- Vandvik, V.; Heegaard, E.; Måren, I.E.; Aarrestad, P.A. Managing heterogeneity: The importance of grazing and environmental variation on post-fire succession in heathlands. J. Appl. Ecol. 2005, 42, 139–149. [Google Scholar] [CrossRef]
- Sun, C.; Chai, Z.; Liu, G.; Xue, S. Changes in species diversity patterns and spatial heterogeneity during the secondary succession of grassland vegetation on the Loess Plateau, China. Front. Plant Sci. 2017, 8, 1465. [Google Scholar] [CrossRef]
- Tockner, K.; Malard, F.; Ward, J. An extension of the flood pulse concept. Hydrol. Process. 2000, 14, 2861–2883. [Google Scholar] [CrossRef]
- Teurlincx, S.; Verhofstad, M.J.; Bakker, E.S.; Declerck, S.A. Managing successional stage heterogeneity to maximize landscape-wide biodiversity of aquatic vegetation in ditch networks. Front. Plant Sci. 2018, 9, 1013. [Google Scholar] [CrossRef] [PubMed]
- Moi, D.A.; García-Ríos, R.; Hong, Z.; Daquila, B.V.; Mormul, R.P. Intermediate disturbance hypothesis in ecology: A literature review. In Proceedings of the Annales Zoologici Fennici; Finnish Zoological and Botanical Publishing Board: Helsinki, Finland, 2020; pp. 67–78. [Google Scholar]
- Zeng, Q.; Shi, L.; Wen, L.; Chen, J.; Duo, H.; Lei, G. Gravel bars can be critical for biodiversity conservation: A case study on Scaly-sided Merganser in South China. PLoS ONE 2015, 10, e0127387. [Google Scholar] [CrossRef]
- Alena, H.; Jan, D.; Jana, D. Threats, biodiversity drivers and restoration in temperate floodplain forests related to spatial scales. Sci. Total Environ. 2022, 854, 158743. [Google Scholar]
- Ock, G.; Kondolf, G.M. Assessment of Ecological Roles of Gravel Bar Features Restored by Gravel Augmentation and Channel Rehabilitation Activities below Lewiston Dam in the Trinity River, California; Trinity River Restoration Program: Weaverville, CA, USA, 2012. [Google Scholar]
- Ock, G.; Gaeuman, D.; McSloy, J.; Kondolf, G.M. Ecological functions of restored gravel bars, the Trinity River, California. Ecol. Eng. 2015, 83, 49–60. [Google Scholar] [CrossRef]
- Lavelle, A.M.; Chadwick, M.A.; Chadwick, D.D.; Pritchard, E.G.; Bury, N.R. Effects of habitat restoration on fish communities in urban streams. Water 2021, 13, 2170. [Google Scholar] [CrossRef]
- Boodoo, K.S.; Fasching, C.; Battin, T.J. Sources, transformation, and fate of dissolved organic matter in the gravel bar of a prealpine stream. J. Geophys. Res. Biogeosci. 2020, 125, e2019JG005604. [Google Scholar] [CrossRef]
- Tsujimoto, T.; Obana, M. Ecosystem function of sand bar segment in sandy river with particular reference to denitrification potential. Procedia Eng. 2012, 28, 835–839. [Google Scholar] [CrossRef]
- Vesipa, R.; Camporeale, C.; Ridolfi, L. Effect of river flow fluctuations on riparian vegetation dynamics: Processes and models. Adv. Water Resour. 2017, 110, 29–50. [Google Scholar] [CrossRef]
- Sabo, J.L.; Sponseller, R.; Dixon, M.; Gade, K.; Harms, T.; Heffernan, J.; Jani, A.; Katz, G.; Soykan, C.; Watts, J. Riparian zones increase regional species richness by harboring different, not more, species. Ecology 2005, 86, 56–62. [Google Scholar] [CrossRef]
- Bennett, A.F.; Nimmo, D.G.; Radford, J.Q. Riparian vegetation has disproportionate benefits for landscape-scale conservation of woodland birds in highly modified environments. J. Appl. Ecol. 2014, 51, 514–523. [Google Scholar] [CrossRef]
- Johnson, R.K.; Almlöf, K. Adapting boreal streams to climate change: Effects of riparian vegetation on water temperature and biological assemblages. Freshw. Sci. 2016, 35, 984–997. [Google Scholar] [CrossRef]
- Piégay, H.; Cuaz, M.; Javelle, E.; Mandier, P. Bank erosion management based on geomorphological, ecological and economic criteria on the Galaure River, France. Regul. Rivers Res. Manag. Int. J. Devoted River Res. Manag. 1997, 13, 433–448. [Google Scholar] [CrossRef]
- Kalníková, V.; Chytrý, K.; Chytrý, M. Early vegetation succession on gravel bars of Czech Carpathian streams. Folia Geobot. 2018, 53, 317–332. [Google Scholar] [CrossRef]
- Lim, B.S.; Kim, D.U.; Kim, A.R.; Seol, J.W.; Lee, C.S. Analysis of Ecodiversity as the Foundation for Conserving Biodiversity and Its Restoration Strategy. Korean J. Ecol. Environ. 2020, 53, 408–426. [Google Scholar] [CrossRef]
Disclaimer/Publisher’s Note: The statements, opinions and data contained in all publications are solely those of the individual author(s) and contributor(s) and not of MDPI and/or the editor(s). MDPI and/or the editor(s) disclaim responsibility for any injury to people or property resulting from any ideas, methods, instructions or products referred to in the content. |
© 2023 by the authors. Licensee MDPI, Basel, Switzerland. This article is an open access article distributed under the terms and conditions of the Creative Commons Attribution (CC BY) license (https://creativecommons.org/licenses/by/4.0/).