Study of Urban Flooding Response under Superstandard Conditions
Abstract
1. Introduction
2. Materials and Methods
2.1. Overview of the Study Area
2.2. Basic Data
2.2.1. Basic Geographic Data
2.2.2. Lower Bedding Surface Information
2.2.3. Drainage Network
2.2.4. River Information
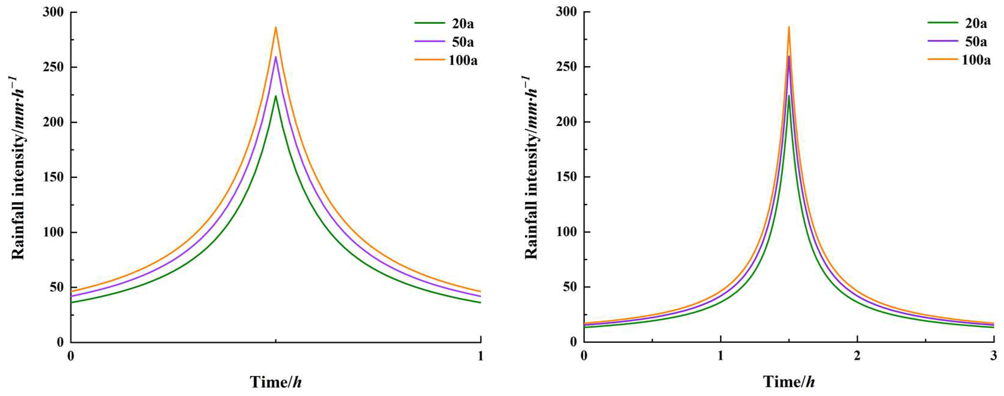
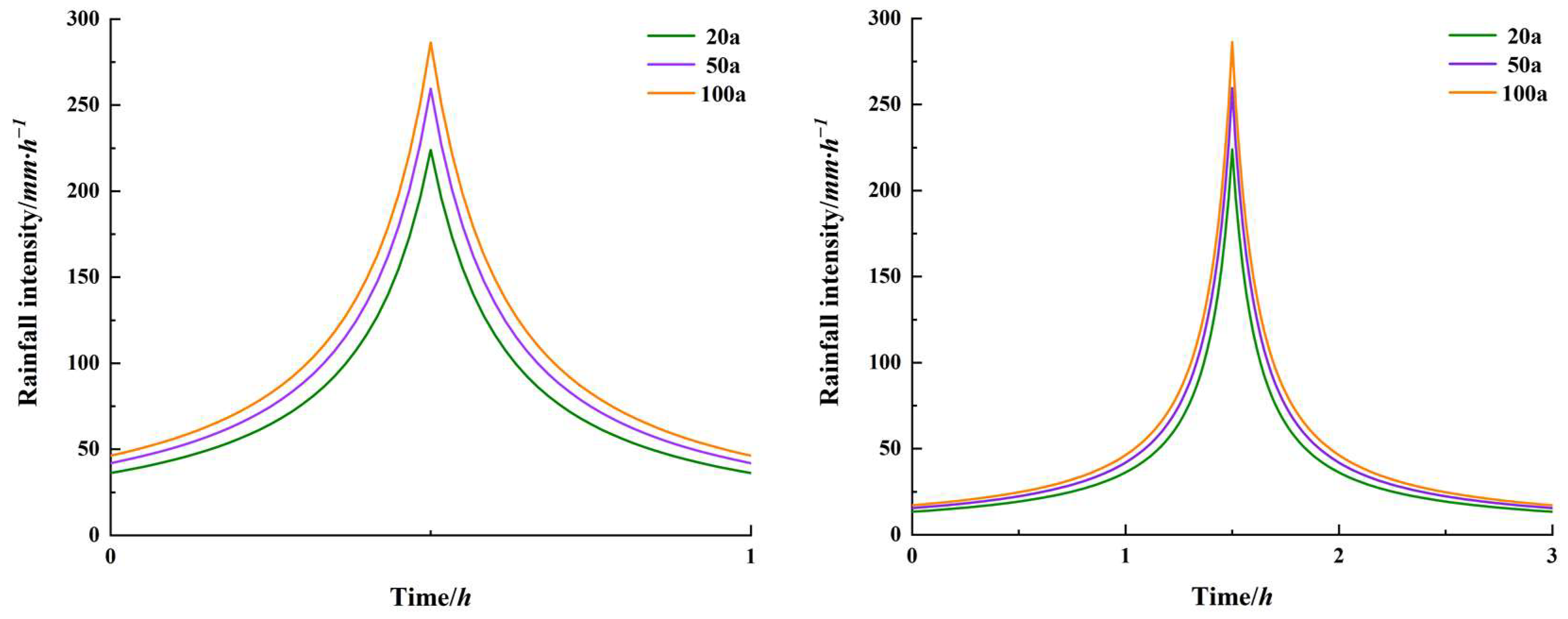
2.3. Design Storm Calculations
2.3.1. Storm Intensity Formula
2.3.2. Design Storm Extrapolation
2.4. River Flooding
2.5. Urban Flooding Model
- (1)
- Constructing a one-dimensional river hydrodynamic model of the Sha Ying River, Jialu River and inner rivers in the urban area.
- (2)
- Constructing a two-dimensional hydrodynamic production and confluence model for the central urban area of Zhoukou City, analyzing the flooding process of internal and external flooding on the ground in the central urban area of Zhoukou City, andconsidering the difference in demand for different types of sites within the simulation area, while fitting the actual inundation of urban inundation.
- (3)
- Constructing a model of the drainage network in the central city of Zhoukou according to the actual construction of the drainage network in the central city of Zhoukou, focusing on the simulation and analysis of the drainage process of the underground pipe network in the city.
- (4)
- Finally, according to the requirements of each flood analysis scheme, the above models are coupled to construct a coupled flood analysis model, and the calculation results of the model are analyzed.
2.5.1. MIKE 11
2.5.2. MIKE URBAN
2.5.3. MIKE 21
2.5.4. Coupling Models
2.6. Model Calibration and Validation
3. Results and Discussion
3.1. Flood-Prone Spots
- (1)
- Inadequate drainage capacity of pipes
- (2)
- Inadequate pumping and drainage capacity of pumping stations
- (3)
- Low-lying terrain
- (4)
- Reduced pipeline self-flow capacity into the river
3.2. Analysis of Pipeline Self-Flow Capacity under Flooding in Oversized Rivers
- (1)
- Daqing Road Drainage Outlet
- (2)
- Taiqing Road Drainage Outlet
4. Conclusions
- When the rainfall exceeds the exceedance, for the same return period, the depth and area inundated by a 3 h calendar storm are greater than that of a 1 h calendar storm; for the same calendar rainfall, the greater the return period, the greater the depth and area inundated.
- When the river level exceeds the standard and the rainfall exceeds the standard, the river level is higher than the self-flowing outlet of the pipeline, the pipeline is flooded outflow, and the drainage capacity is obviously hindered compared with the drainage capacity under the free outflow of the pipeline, dropping about 0.2 m3s/–0.4 m3s, and the higher the river level, the lower the drainage capacity of the pipeline.
- When superstandard conditions of rainfall occur in a city, the causes of waterlogging may include: inadequate drainage capacity of pipes, inadequate pumping station pumping capacity, low-lying terrain and reduced self-flow capacity of pipes into rivers. Among them, river topping and the backing up of drainage outlets are important reasons for aggravating urban flooding, for which a multi-sectoral joint drainage and coordination mechanism should be improved to ensure urban drainage capacity.
Author Contributions
Funding
Data Availability Statement
Conflicts of Interest
References
- Song, X.; Zhang, J.; Wang, G.; He, R.; Wang, X. Development and challenges of urban hydrology in a changing environment: II: Urban stormwater modeling and management. Adv. Water Sci. 2014, 25, 752–764. [Google Scholar]
- Chun, F.; Yaozong, F.; Cunyan, X. The effect of drainage and water logging control in different lid arrangements under different heavy rain intensities in Changbei Industrial Park. Water Resour. Power 2020, 38, 69–73. [Google Scholar]
- Li, Y.; Zhao, S. Research on the loss and risk of flood disasters in China from 2001 to 2020. Clim. Chang. Res. 2022, 18, 154–165. [Google Scholar]
- Zhang, J.; Wang, Y.; He, R.; Hu, Q.; Song, X. Analysis of urban flooding in China and its causes. Adv. Water Sci. 2016, 27, 485–491. [Google Scholar]
- Wang, J. Research on the design of rainstorms and storm characteristics in China. Adv. Water Sci. 1999, 10, 328–336. [Google Scholar]
- Tian, Z.; Chu, J.; Lin, Y.; Zhou, Z. Multi-scale urban flooding risk assessment techniques in Xining. Water Resour. Prot. 2022, 1–13. [Google Scholar]
- Zhe, S. Causes of flooding in central Beijing. Geogr. Res. 2014, 33, 1668–1679. [Google Scholar]
- Ribeiro, L.; Kretschmer, N.; Nascimento, J.; Buxo, A.; Rötting, T.; Soto, G.; Señoret, M.; Oyarzún, J.; Maturana, H.; Oyarzún, R. Evaluating Piezometric Trends Using the Mann-Kendall Test on the Alluvial Aquifers of the Elqui River Basin, Chile. Hydrol. Sci. J. 2015, 60, 1840–1852. [Google Scholar] [CrossRef]
- McRoberts, D.B.; Nielsen-Gammon, J.W. Anew homogenized climate division precipitation dataset for analysis of climate variabilityand climate change. J. Appl. Meteorol. Climatol. 2011, 50, 1187–1199. [Google Scholar] [CrossRef]
- Wu, S.Y. Changing characteristics of precipitation for the contiguous United States. Clim. Chang. 2015, 132, 677–692. [Google Scholar] [CrossRef]
- Walsh, J.; Wuebbles, D.; Hayhoe, K. Our Changing Climate, Chapter 2 of the US National Climate Assessment Report; US Global Change Research Program: Washington, DC, USA, 2014.
- Gambolati, G.; Teatini, P.; Gonella, M. GIS simulations of the inundation risk in the coastal lowlands of the Northern Adriatic Sea. Math. Comput. Model. 2002, 35, 963–972. [Google Scholar] [CrossRef]
- Husnain, T.; Muhammad, B.; Surchai, L.K. Flood inundation modeling and hazard assessment in Lower Ping River Basin using mike flood. Arab. J. Geosci. 2020, 13, 934. [Google Scholar]
- Hai, P.T.; Magome, J.; Yorozuya, A.; Inomata, H.; Fukami, K.; Takeuchi, K. Large-scale flooding analysis in the suburbs of Tokyo Metropolis caused by levee breach of the Tone River using a 2D hydrodynamic model. Water Sci. Technol. 2010, 62, 1859–1864. [Google Scholar] [CrossRef] [PubMed]
- Xia, J.; Falconer, R.A.; Lin, B.; Tan, G. Modelling flash flood risk in urban areas. In Water Management; Thomas Telford Ltd.: London, UK, 2011. [Google Scholar]
- Sarkar, S.K.; Rahman, M.A.; Esraz-Ul-Zannat, M.; Islam, M.F. Simulation-based modeling of urban waterlogging in Khulna city. J. Water Clim. Chang. 2021, 12, 566–579. [Google Scholar] [CrossRef]
- Mao, S.; Jia, Y.; Jia, D.; Zheng, X.; Fan, B.; Zhang, J. Analysis of flood evolution and impact on floodplain vegetation in the lower reaches of the Nengjiang River. Adv. Sci. Technol. Water Resour. 2021, 41, 27–33+40. [Google Scholar]
- Luan, M.; Yuan, W.; Liu, J.; Zhou, Y.; Kulejiang, D. Risk assessment of flooding in Tonglu County based on the SWMM-MIKE11 coupled model. Water Resour. Prot. 2016, 32, 57–61. [Google Scholar]
- Keiferc, J.; Chuh, H.H. Synthetic storm pattern for drainage design. J. Hydraul. Div. 1957, 83, 1332. [Google Scholar]
- Liao, D.; Zhu, H.; Zhou, J.; Wang, Y.; Sun, J. Study of the natural rainstorm moving regularity method for hyetograph design. Theor. Appl. Climatol. 2019, 138, 1311–1321. [Google Scholar] [CrossRef]












| No. | Name | Surface Type (Subsurface) Area Statistics (ha) | |||||
|---|---|---|---|---|---|---|---|
| Water Body | Greenfield | Road | Building Sites | Bare Ground | Total | ||
| 1 | Jialu River Drainage Subdivision | 68.66 | 0 | 47.1 | 293.81 | 307.75 | 717.32 |
| 2 | Wachong Ditch Drainage Subdivision | 32.28 | 57.17 | 108.21 | 705.24 | 1065.94 | 1968.84 |
| 3 | Shaying River Drainage Subdivision | 38.39 | 1.10 | 72.44 | 578.28 | 56.12 | 746.33 |
| 4 | Traffic Main Canal Drainage Subdivision | 119.13 | 15.94 | 264.55 | 1088.98 | 684.98 | 2173.58 |
| 5 | Qingshui River Drainage Subdivision | 7.88 | 1.90 | 43.60 | 178.59 | 173.23 | 405.20 |
| 6 | Yangnao Main Canal Drainage Subdivision | 2.40 | 31.58 | 51.28 | 342.71 | 147.27 | 575.24 |
| 7 | Yunliang River Drainage Subdivision | 8.72 | 0 | 52.41 | 533.98 | 268.34 | 863.45 |
| Serial Number | Location of Ponded Water | Measured Water Depth/cm | Simulated Water Depth/cm | Difference/cm |
|---|---|---|---|---|
| 1 | Bayi Road North | 60 | 65 | 5 |
| 2 | Junction of Qi Yi Road and Da Qing Road | 40 | 42 | 2 |
| 3 | Near Gongnong Road and Yuxin Street | 55 | 58 | 3 |
| 4 | Intersection of Construction Road and Yinzhu Road | 30 | 31 | 1 |
| 5 | Area around Sanlian Hang | 80 | 76 | −4 |
| 6 | West Street Community | 80 | 84 | 4 |
| 7 | Jianxi Street area | 60 | 56 | 6 |
| 8 | Area near Anju Road | 40 | 45 | 5 |
| 9 | Fumin Road South area | 40 | 43 | 3 |
| 10 | Hanyang Road South area | 40 | 41 | 1 |
| 11 | Jiancai Road area | 40 | 38 | −2 |
| 12 | Gao Zhuang Community | 40 | 42 | 2 |
| 13 | Wenchang road | 60 | 58 | −2 |
| 14 | Bayi Road and Construction | 60 | 63 | 3 |
| 15 | Zhou Shi gate | 40 | 42 | 2 |
| 16 | Civil Service District A | 60 | 63 | 3 |
| 17 | Yuxin Street East | 40 | 42 | 2 |
| 18 | Tai Hao Road, Zijingcheng District | 35 | 39 | 4 |
| 19 | Junction of Chaoyang Road | 30 | 34 | 4 |
| 20 | Tai Hao Road, Wu Yi junction | 30 | 36 | 6 |
| 21 | Yellow River Road West | 40 | 37 | −3 |
| Serial Number | Location of Ponded Water | 20a 1 h | 20a 3 h | ||
|---|---|---|---|---|---|
| Ponded Area/ha | Water Depth/cm | Ponded Area/ha | Water Depth/cm | ||
| 1 | Intersection of Construction Road and Yinzhu Road | 2.16 | 71 | 2.96 | 73 |
| 2 | Bayi Road and Construction | 0.71 | 69 | 1.52 | 76 |
| 3 | Bayi Road North | 0.88 | 63 | 1.79 | 101 |
| 4 | Wenchang road | 0.78 | 76 | 1.32 | 126 |
| 5 | Zhoukou Normal College | 0.51 | 57 | 2.25 | 63 |
| 6 | Intersection of North Binhe Road and Zhongyuan Road | 0.47 | 73 | 0.81 | 83 |
| 7 | Near West Street and Hibiscus Street | 0.17 | 42 | 0.26 | 47 |
| 8 | Sanlian Hang Area | 0.27 | 81 | 0.36 | 92 |
| 9 | Bayi Road South | 0.63 | 57 | 2.16 | 93 |
| 10 | Chaoyang Road | 1.32 | 57 | 1.99 | 60 |
| 11 | Zhongyuan Road South | 0.64 | 66 | 1.2 | 69 |
| 12 | Intersection of Huanghe Road and Fumin Road | 1.5 | 62 | 2.45 | 77 |
| 13 | Intersection of Huanghe Road and Hanyang Road | 1.13 | 56 | 1.89 | 74 |
| 14 | Near Jiancai Road | 1.16 | 64 | 1.67 | 91 |
| 15 | Junction of Fu Min Road and Tai Hao Road | 1.13 | 52 | 1.85 | 65 |
| 16 | Intersection of Bayi Avenue and Kaiyuan Avenue | 1.41 | 58 | 1.7 | 67 |
| Serial Number | Location of Ponded Water | 50a 1 h | 50a 3 h | ||
|---|---|---|---|---|---|
| Ponded Area/ha | Water Depth/cm | Ponded Area/ha | Water Depth/cm | ||
| 1 | Intersection of Construction Road and Yinzhu Road | 4.89 | 93 | 4.99 | 95 |
| 2 | Intersection of Zhongzhou Avenue and Construction Avenue | 1.98 | 45 | 2.73 | 84 |
| 3 | Bayi Road and Construction | 0.68 | 82 | 1.79 | 112 |
| 4 | Bayi Road North | 2.71 | 72 | 3.39 | 120 |
| 5 | Wenchang road | 1.7 | 89 | 1.76 | 147 |
| 6 | Daqing Road North | 1.7 | 57 | 2.14 | 66 |
| 7 | Zhoukou Normal College | 3.32 | 56 | 3.78 | 75 |
| 8 | Intersection of North Binhe Road and Zhongyuan Road | 0.88 | 99 | 0.97 | 105 |
| 9 | Near West Street and Hibiscus Street | 0.42 | 49 | 0.48 | 63 |
| 10 | Sanlian Hang Area | 0.59 | 99 | 0.77 | 120 |
| 11 | Intersection of Qiyi Road and Daqing Road | 0.37 | 55 | 2.9 | 74 |
| 12 | Yuxin Road and Zhongyuan Road | 0.43 | 68 | 0.51 | 78 |
| 13 | Bayi Road South | 1.79 | 61 | 2.57 | 101 |
| 14 | Chaoyang Road | 2.37 | 62 | 4.09 | 74 |
| 15 | Zhongyuan Road South | 1.69 | 66 | 1.81 | 85 |
| 16 | Intersection of Huanghe Road and Fumin Road | 3.21 | 68 | 3.34 | 93 |
| 17 | Intersection of Huanghe Road and Hanyang Road | 2.53 | 68 | 2.69 | 87 |
Disclaimer/Publisher’s Note: The statements, opinions and data contained in all publications are solely those of the individual author(s) and contributor(s) and not of MDPI and/or the editor(s). MDPI and/or the editor(s) disclaim responsibility for any injury to people or property resulting from any ideas, methods, instructions or products referred to in the content. |
© 2023 by the authors. Licensee MDPI, Basel, Switzerland. This article is an open access article distributed under the terms and conditions of the Creative Commons Attribution (CC BY) license (https://creativecommons.org/licenses/by/4.0/).
Share and Cite
Chen, J.; Tian, Y.; Zhang, S.; Li, Y.; Guo, Z. Study of Urban Flooding Response under Superstandard Conditions. Water 2023, 15, 1492. https://doi.org/10.3390/w15081492
Chen J, Tian Y, Zhang S, Li Y, Guo Z. Study of Urban Flooding Response under Superstandard Conditions. Water. 2023; 15(8):1492. https://doi.org/10.3390/w15081492
Chicago/Turabian StyleChen, Jian, Yangyang Tian, Shanju Zhang, Yaowei Li, and Zhikai Guo. 2023. "Study of Urban Flooding Response under Superstandard Conditions" Water 15, no. 8: 1492. https://doi.org/10.3390/w15081492
APA StyleChen, J., Tian, Y., Zhang, S., Li, Y., & Guo, Z. (2023). Study of Urban Flooding Response under Superstandard Conditions. Water, 15(8), 1492. https://doi.org/10.3390/w15081492

