Characteristics of Very Large-Scale Motions in Rough-Bed Open-Channel Flows
Abstract
1. Introduction
2. Experiments
2.1. Experimental Setup
2.2. Methods
3. Results and Discussion
3.1. Turbulence Statistics
3.2. VLSM Scaling in Rough-Bed OCFs
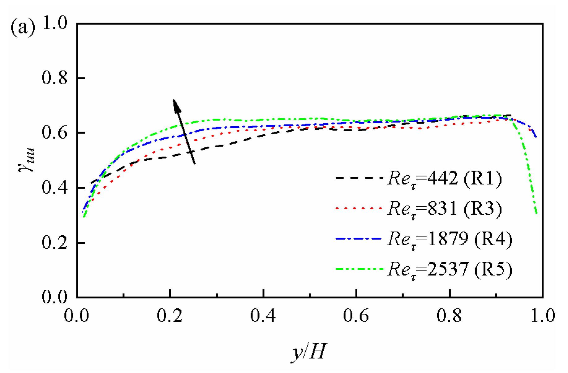
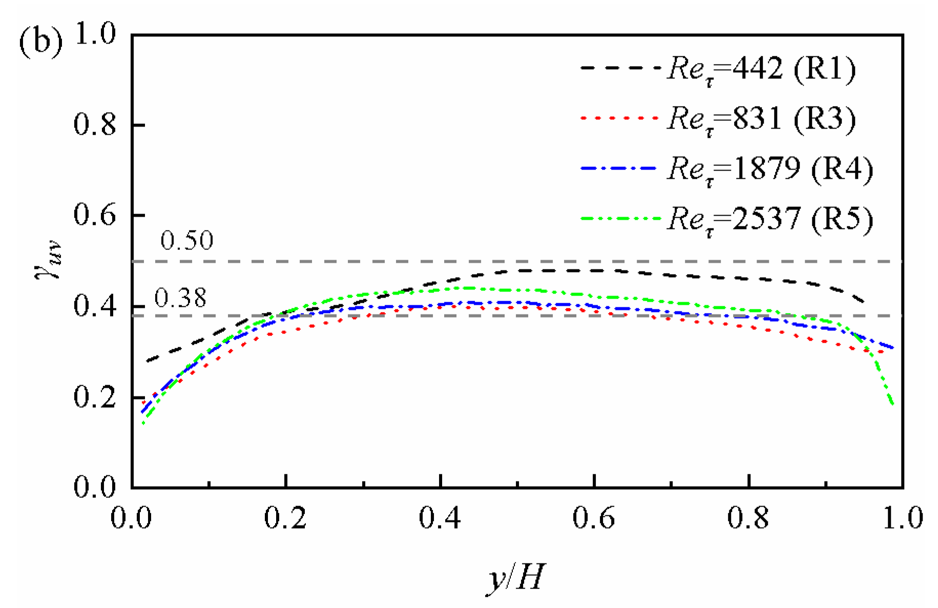
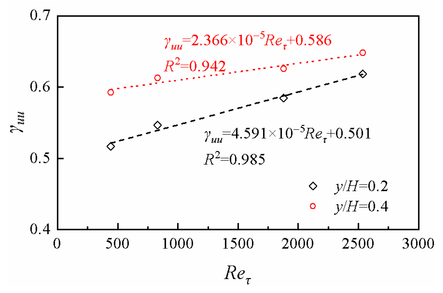
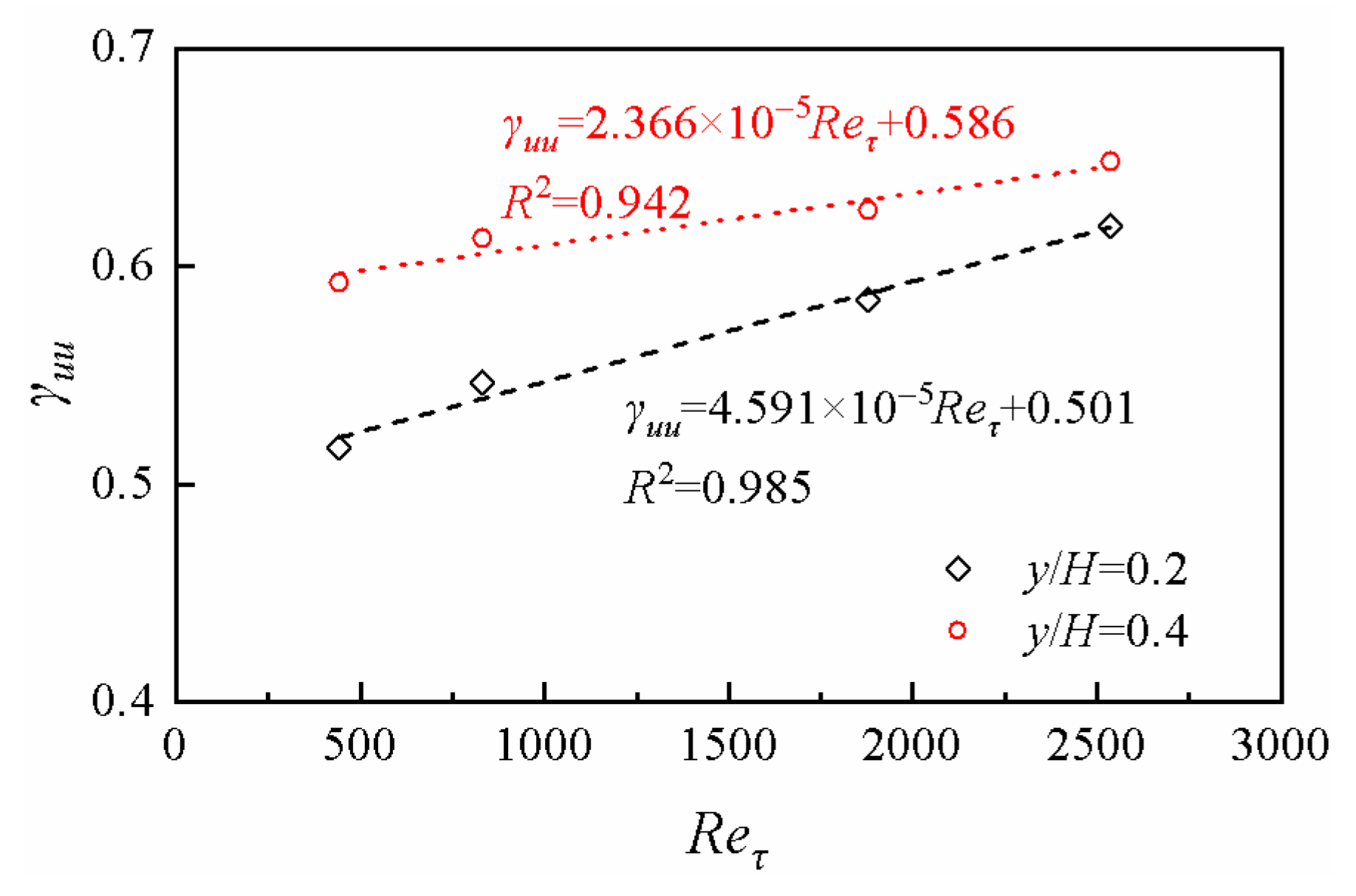
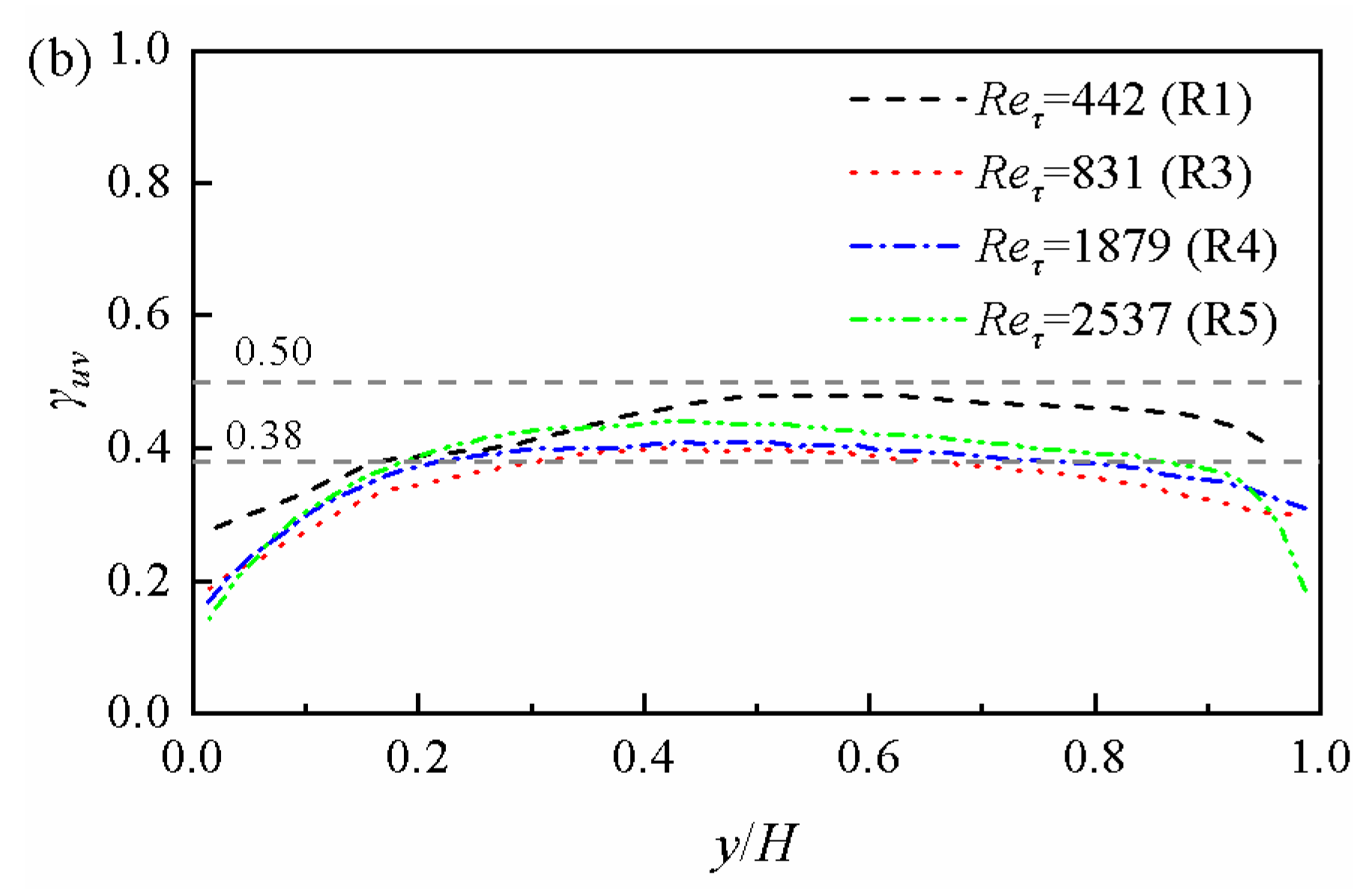
3.3. VLSM Contributions to TKE and Reynolds Stress
4. Conclusions
Author Contributions
Funding
Data Availability Statement
Conflicts of Interest
Notation
| B | flume width |
| D | particle diameter |
| d | zero-plane displacement from the roughness tops |
| Fs | sampling frequency of the velocity fields |
| Fui(f) | FT of ui (u1 = u, u2 = v) |
| f | frequency of FT |
| H | water depth |
| J | bed slope |
| k | bed roughness height |
| kx | streamwise wavenumber |
| Suiuj(f) | power spectral density of uiuj (u1 = u, u2 = v) |
| T | total image acquisition time |
| U | time-averaged velocity in the streamwise direction |
| Um | depth-averaged velocity |
| u/v | fluctuating velocity in the streamwise or wall-normal direction |
| u′/v′ | streamwise or wall-normal turbulence intensities |
| u* | friction velocity |
| Fr | Um/(gH)0.5 = Froude number |
| Re | UmH/ν = Reynolds number |
| Reτ | u*H/ν = friction Reynolds number |
| ReΔ | u*Δ/ν = roughness Reynolds number |
| x/y | streamwise or wall-normal direction |
| ν | kinematic viscosity |
| Δ | equivalent roughness |
| Δx/Δy | vector spacing in the streamwise or wall-normal direction |
| ΔT | 1/Fs = time interval between successive velocity fields |
| ΔU+ | roughness function |
| γuiuj(f) | VLSM contributions to the TKE and Reynolds stress (u1 = u, u2 = v) |
| λ | wavelength |
References
- Lee, J.; Ahn, J.; Sung, H.J. Comparison of Large- and Very-Large-Scale Motions in Turbulent Pipe and Channel Flows. Phys. Fluids 2015, 2, 25101. [Google Scholar] [CrossRef]
- Lee, J.H.; Sung, H.J. Comparison of Very-Large-Scale Motions of Turbulent Pipe and Boundary Layer Simulations. Phys. Fluids 2013, 4, 45103. [Google Scholar] [CrossRef]
- Hellström, L.H.O.; Sinha, A.; Smits, A.J. Visualizing the Very-Large-Scale Motions in Turbulent Pipe Flow. Phys. Fluids 2011, 1, 11703. [Google Scholar] [CrossRef]
- Balakumar, B.J.; Adrian, R.J. Large- and Very-Large-Scale Motions in Channel and Boundary-Layer Flows. Philos. Trans. R. Soc. A Math. Phys. Eng. Sci. 2007, 1852, 665–681. [Google Scholar] [CrossRef] [PubMed]
- Guala, M.; Hommema, S.E.; Adrian, R.J. Large-Scale and Very-Large-Scale Motions in Turbulent Pipe Flow. J. Fluid. Mech. 2006, 554, 521–542. [Google Scholar] [CrossRef]
- Lee, J.H.; Sung, H.J. Very-Large-Scale Motions in a Turbulent Boundary Layer. J. Fluid. Mech. 2011, 673, 80–120. [Google Scholar] [CrossRef]
- Yan, Z.; Duan, Y.; Zhu, D.; Li, D. Characteristics of Very-Large-Scale Motions in Gradually Varied Open-Channel Flows Upstream of a Run-of-River Dam. Phys. Fluids 2022, 9, 095123. [Google Scholar] [CrossRef]
- Duan, Y.; Chen, Q.; Li, D.; Zhong, Q. Contributions of Very Large-Scale Motions to Turbulence Statistics in Open Channel Flows. J. Fluid. Mech. 2020, 892, A3. [Google Scholar] [CrossRef]
- Peruzzi, C.; Poggi, D.; Ridolfi, L.; Manes, C. On the Scaling of Large-Scale Structures in Smooth-Bed Turbulent Open-Channel Flows. J. Fluid. Mech. 2020, 889, A1–A25. [Google Scholar] [CrossRef]
- Zhang, P.; Duan, Y.; Li, D.; Hu, J.; Li, W.; Yang, S. Turbulence Statistics and Very-Large-Scale Motions in Decelerating Open-Channel Flow. Phys. Fluids 2019, 12, 125106. [Google Scholar]
- Cameron, S.; Nikora, V.; Stewart, M. Very-Large-Scale Motions in Rough-Bed Open-Channel Flow. J. Fluid. Mech. 2017, 814, 416–429. [Google Scholar] [CrossRef]
- Scherer, M.; Uhlmann, M.; Kidanemariam, A.; Krayer, M. On the Role of Turbulent Large-Scale Streaks in Generating Sediment Ridges. J. Fluid. Mech. 2022, 930, A11. [Google Scholar] [CrossRef]
- Schobesberger, J.; Worf, D.; Lichtneger, P.; Yücesan, S.; Hauer, C.; Habersack, H.; Sindelar, C. Role of Low-Order Proper Orthogonal Decomposition Modes and Large-Scale Coherent Structures On Sediment Particle Entrainment. J. Hydraul. Res. 2021, 60, 1–17. [Google Scholar] [CrossRef]
- Cameron, S.; Nikora, V.; Witz, M. Entrainment of Sediment Particles by Very Large-Scale Motions. J. Fluid. Mech. 2020, 888, A7. [Google Scholar] [CrossRef]
- Stewart, M.T. Turbulence Structure of Rough-Bed Open-Channel Flow. Doctoral Dissertation, University of Aberdeen, Aberdeen, UK, 2014. [Google Scholar]
- Grass, A.J. Structural Features of Turbulent Flow Over Smooth and Rough Boundaries. J. Fluid. Mech. 1971, 2, 233–255. [Google Scholar] [CrossRef]
- Dwivedi, A.; Melville, B.W.; Shamseldin, A.Y.; Guha, T.K. Analysis of Hydrodynamic Lift On a Bed Sediment Particle. J. Geophys. Res.-Earth 2011, 116, F2. [Google Scholar] [CrossRef]
- Thielicke, W.; Sonntag, R. Particle Image Velocimetry for Matlab: Accuracy and Enhanced Algorithms in Pivlab. J. Open Res. Softw. 2021, 1, 1–14. [Google Scholar] [CrossRef]
- Adrian, R.J.; Marusic, I. Coherent Structures in Flow Over Hydraulic Engineering Surfaces. J. Hydraul. Res. 2012, 5, 451–464. [Google Scholar] [CrossRef]
- Defina, A. Transverse Spacing of Low-Speed Streaks in a Channel Flow Over a Rough Bed. In Coherent Flow Structures in Open Channels; Ashworth, P.J., Bennett, S.J., Best, J.L., Mclellandm, S.J., Eds.; John Wiley & Sons Ltd.: London, UK, 1996; pp. 87–99. [Google Scholar]
- Nikora, V.; Goring, D.; Mcewan, I.; Griffiths, G. Spatially Averaged Open-Channel Flow Over Rough Bed. J. Hydraul. Eng. 2001, 2, 123–133. [Google Scholar] [CrossRef]
- Adrian, R.J. Particle-Imaging Techniques for Experimental Fluid Mechanics. Annu. Rev. Fluid. Mech. 1991, 23, 261–304. [Google Scholar] [CrossRef]
- Duan, Y.; Zhang, P.; Zhong, Q.; Zhu, D.; Li, D. Characteristics of Wall-Attached Motions in Open Channel Flows. Phys. Fluids 2020, 5, 55110. [Google Scholar]
- Monty, J.P.; Hutchins, N.; Ng, H.C.H.; Marusic, I.; Chong, M.S. A Comparison of Turbulent Pipe, Channel and Boundary Layer Flows. J. Fluid. Mech. 2009, 431–442. [Google Scholar] [CrossRef]
- Hutchins, N.; Marusic, I. Large-Scale Influences in Near-Wall Turbulence. Philos. Trans. R. Soc. A Math. Phys. Eng. Sci. 2007, 1852, 647. [Google Scholar] [CrossRef] [PubMed]
- Adrian, R.J. Hairpin Vortex Organization in Wall Turbulence. Phys. Fluids 2007, 4, 41301. [Google Scholar] [CrossRef]
- Kim, K.C.; Adrian, R.J. Very Large-Scale Motion in the Outer Layer. Phys. Fluids 1999, 2, 417–422. [Google Scholar] [CrossRef]
- Taylor, G.I. The Spectrum of Turbulence. Proc. R. Soc. Lond. Ser. A Math. Phys. Sci. 1938, 919, 476–490. [Google Scholar] [CrossRef]
- Wickersham, A.J.; Li, X.; Ma, L. Comparison of Fourier, Principal Component and Wavelet Analyses for High Speed Flame Measurements. Comput. Phys. Commun. 2014, 4, 1237–1245. [Google Scholar] [CrossRef]
- Li, Z.; Li, C. Non-Gaussian Non-Stationary Wind Pressure Forecasting Based On the Improved Empirical Wavelet Transform. J. Wind Eng. Ind. Aerod. 2018, 179, 541–557. [Google Scholar] [CrossRef]
- Mariotti, A. Axisymmetric Bodies with Fixed and Free Separation: Base-Pressure and Near-Wake Fluctuations. J. Wind Eng. Ind. Aerod. 2018, 176, 21–31. [Google Scholar] [CrossRef]
- Perna, R.; Abela, M.; Mameli, M.; Mariotti, A.; Pietrasanta, L.; Marengo, M.; Filippeschi, S. Flow Characterization of a Pulsating Heat Pipe through the Wavelet Analysis of Pressure Signals. Appl. Therm. Eng. 2020, 171, 115128. [Google Scholar] [CrossRef]
- Nezu, I.; Nakagawa, H. Turbulence in Open-Channel Flows; CRC Press: Rotterdam, The Netherlands, 1993. [Google Scholar]
- Singh, K.M.; Sandham, N.D.; Williams, J.J.R. Numerical Simulation of Flow Over a Rough Bed. J. Hydraul. Eng. 2007, 4, 386–398. [Google Scholar] [CrossRef]
- Ligrani, P.M.; Moffat, R.J. Structure of Transitionally Rough and Fully Rough Turbulent Boundary Layers. J. Fluid. Mech. 1986, 162, 69–98. [Google Scholar] [CrossRef]
- Nezu, I. Turbulent Intensities in Open-Channel Flows. Proc. Jpn. Soc. Civ. Eng. 1977, 261, 67–76. [Google Scholar] [CrossRef][Green Version]
- Kironoto, B.A.; Graf, W.H. Turbulence Characteristics in Rough Uniform Open-Channel Flow. Proc. Inst. Civ. Eng.-Water Marit. Energy 1994, 4, 333–344. [Google Scholar] [CrossRef]
- Zampiron, A.; Cameron, S.; Nikora, V. Secondary Currents and Very-Large-Scale Motions in Open-Channel Flow Over Streamwise Ridges. J. Fluid. Mech. 2020, 887, A17. [Google Scholar] [CrossRef]
- Auel, C.; Albayrak, I.; Sumi, T.; Boes, R.M. Sediment Transport in High-Speed Flows Over a Fixed Bed: 1. Particle Dynamics. Earth Surf. Proc. Land 2017, 9, 1365–1383. [Google Scholar] [CrossRef]
- Ferraro, D.; Coscarella, F.; Gaudio, R. Scales of Turbulence in Open-Channel Flows with Low Relative Submergence. Phys. Fluids 2019, 12, 125114. [Google Scholar] [CrossRef]
- Hu, R.; Yang, X.I.A.; Zheng, X. Wall-Attached and Wall-Detached Eddies in Wall-Bounded Turbulent Flows. J. Fluid. Mech. 2020, 885, A30. [Google Scholar] [CrossRef]









| Run | J | ν (10−6m2/s) | H (cm) | Um (m/s) | u* (cm/s) | B/H | H/D | H/Δ | Fr | Re | Reτ | ReΔ |
|---|---|---|---|---|---|---|---|---|---|---|---|---|
| R1 | 0.003 | 0.88 | 1.73 | 0.25 | 2.25 | 14.5 | 4.33 | 6.49 | 0.61 | 4964 | 442 | 68 |
| R2 | 0.002 | 0.84 | 2.87 | 0.27 | 2.17 | 8.7 | 7.17 | 10.76 | 0.50 | 9156 | 742 | 69 |
| R3 | 0.001 | 0.88 | 4.88 | 0.21 | 1.50 | 5.1 | 12.19 | 18.28 | 0.30 | 11,393 | 831 | 46 |
| R4 | 0.003 | 0.85 | 4.86 | 0.45 | 3.30 | 5.1 | 12.14 | 18.21 | 0.65 | 25,601 | 1879 | 104 |
| R5 | 0.005 | 0.87 | 4.92 | 0.60 | 4.50 | 5.1 | 12.30 | 18.45 | 0.87 | 34,008 | 2537 | 138 |
| Run | Image Size (Pixels) | Resolution (Pixels/mm) | Fs (Hz) | ΔT+ | ΔTUm/H | No. of Image Pairs | TUm/H | Δx+/Δy+ |
|---|---|---|---|---|---|---|---|---|
| R1 | 128 × 640 | 30.77 | 600 | 0.96 | 0.024 | 19,268 × 3 | 1407 | 6.64 |
| R2 | 128 × 560 | 17.43 | 100 | 5.61 | 0.093 | 109,784 × 3 | 15,360 | 23.4 |
| R3 | 128 × 1600 | 30.77 | 600 | 0.43 | 0.007 | 38,513 × 20 | 5418 | 4.43 |
| R4 | 128 × 1600 | 30.77 | 1200 | 1.06 | 0.008 | 38,513 × 12 | 3566 | 10.06 |
| R5 | 128 × 1600 | 30.77 | 1400 | 1.66 | 0.009 | 38,513 × 20 | 6744 | 13.41 |
| Author | Run | B/H | H/Δ | Reτ | λVLSM/H |
|---|---|---|---|---|---|
| This study | R1 | 14.5 | 4.3 | 442 | 28.5 |
| R2 | 8.7 | 7.2 | 742 | 22.0 | |
| R3 | 5.1 | 12.2 | 831 | 19.0 | |
| R4 | 5.1 | 12.1 | 1879 | 18.0 | |
| R5 | 5.1 | 12.3 | 2566 | 20.1 | |
| Cameron et al. (2017) [11] | H030 | 39.2 | 1.9 | 1140 | 50.7 |
| H050 | 23.5 | 3.1 | 1900 | 39.0 | |
| H070 | 16.7 | 4.4 | 2670 | 30.9 | |
| H095 | 12.4 | 5.9 | 3590 | 26.0 | |
| H120 | 9.8 | 7.5 | 4540 | 22.1 | |
| Zampiron et al. (2020) [38] | s000 | 7.9 | 13.2 | 1360 | 25.3 |
| Duan et al. (2020) [8] | C1 | 12 | 500 | 614 | 21.3 |
| C2 | 8.6 | 700 | 1030 | 23.1 | |
| C3 | 9.1 | 660 | 1508 | 29.4 | |
| C4 | 8.6 | 1300 | 1903 | 21.5 | |
| C5 | 7.2 | 1560 | 2407 | 18.8 |
Disclaimer/Publisher’s Note: The statements, opinions and data contained in all publications are solely those of the individual author(s) and contributor(s) and not of MDPI and/or the editor(s). MDPI and/or the editor(s) disclaim responsibility for any injury to people or property resulting from any ideas, methods, instructions or products referred to in the content. |
© 2023 by the authors. Licensee MDPI, Basel, Switzerland. This article is an open access article distributed under the terms and conditions of the Creative Commons Attribution (CC BY) license (https://creativecommons.org/licenses/by/4.0/).
Share and Cite
Shen, Y.; Yang, S.; Liu, J. Characteristics of Very Large-Scale Motions in Rough-Bed Open-Channel Flows. Water 2023, 15, 1433. https://doi.org/10.3390/w15071433
Shen Y, Yang S, Liu J. Characteristics of Very Large-Scale Motions in Rough-Bed Open-Channel Flows. Water. 2023; 15(7):1433. https://doi.org/10.3390/w15071433
Chicago/Turabian StyleShen, Ying, Shengfa Yang, and Jie Liu. 2023. "Characteristics of Very Large-Scale Motions in Rough-Bed Open-Channel Flows" Water 15, no. 7: 1433. https://doi.org/10.3390/w15071433
APA StyleShen, Y., Yang, S., & Liu, J. (2023). Characteristics of Very Large-Scale Motions in Rough-Bed Open-Channel Flows. Water, 15(7), 1433. https://doi.org/10.3390/w15071433

