Increasing Trends in Discharge Maxima of a Mediterranean River during Early Autumn
Abstract
1. Introduction
2. Materials and Methods
2.1. Study Area
2.2. European Hydrological Predictions for the Environment (E-HYPE) Model Data
2.3. Model Evaluation Methodology
2.4. Analysis of Non-Linear Trends Using Generalized Additive Models
2.5. Methods for Discharge Maxima Analysis
3. Results
3.1. Evaluation of E-HYPE Data Using Measurements
3.2. Interannual Distribution of Average Annual and Seasonal Discharge
3.3. Generalized Additive Model Results
3.4. Interannual Increasing Trends of Discharge Maxima
4. Discussion
4.1. Climate Change Effects on Discharge Maxima in Early Autumn
4.2. Necessity for Untangling Climate Effects and Direct Anthropogenic Pressures
5. Conclusions
- The analysis of data revealed noteworthy findings for the upstream Pinios river. The average annual discharge in the three sub-basins decreased in the 1980s, reaching a minimum in the early 1990s when extensive droughts influenced not only Pinios river but also several areas of the Mediterranean region. Afterward, the average annual discharge gradually increased from the middle 1990s to 2017, reaching approximately the discharge levels of the early 1980s.
- The interannual and interdecadal discharge variabilities presented in this study were characterized by high amplitudes. These variabilities were induced by large-scale climatic forcings that largely determined the water resources of the Pinios river basin.
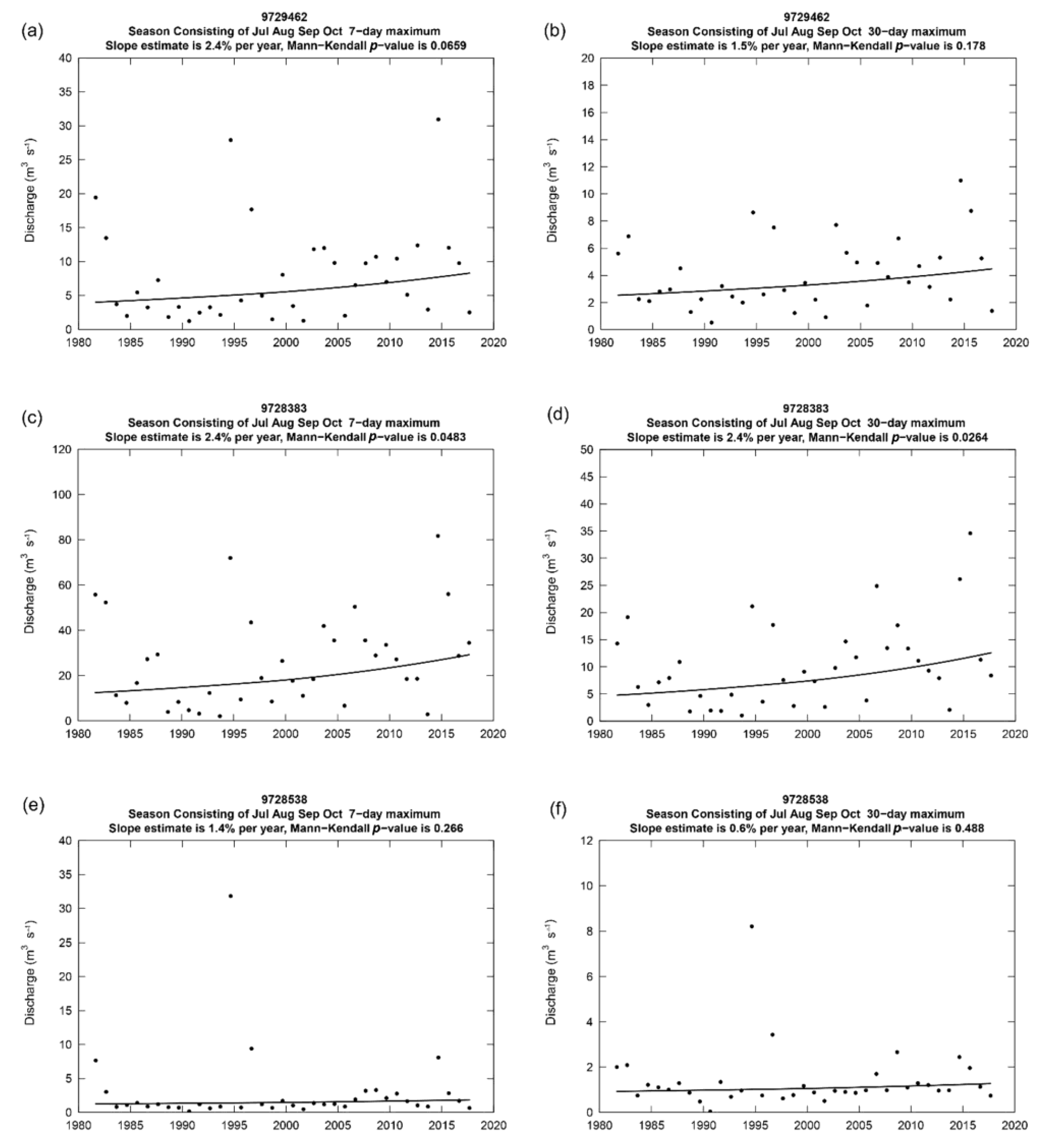
- The most striking finding of this study is that significantly increasing interannual trends in discharge maxima were identified for September, which is one of the driest months in the Pinios river basin. The performed discharge history analyses indicated the presence of large positive (10% and approximately 4.5% per year for TITAR and PINUP sub-basins, respectively) statistically significant (p-value < 0.05) interannual trends in maximum 1-day and 7-day average discharges for September.
- The increases in high flows were also much more substantial than those near the median flows for September, as evidenced by Quantile-Kendall plots. Significant increasing trends up to 2.4 per year for the TITAR sub-basin were also resulted by analyzing maximum 7-day and 30-day average discharges considering the period from July to October.
Author Contributions
Funding
Institutional Review Board Statement
Informed Consent Statement
Data Availability Statement
Acknowledgments
Conflicts of Interest
Appendix A



References
- Gudmundsson, L.; Boulange, J.; Do, H.X.; Gosling, S.N.; Grillakis, M.G.; Koutroulis, A.G.; Leonard, M.; Liu, J.; Schmied, H.M.; Papadimitriou, L.; et al. Globally Observed Trends in Mean and Extreme River Flow Attributed to Climate Change. Science 2021, 371, 1159–1162. [Google Scholar] [CrossRef]
- Arnell, N.W.; Gosling, S.N. The Impacts of Climate Change on River Flood Risk at the Global Scale. Clim. Chang. 2016, 134, 387–401. [Google Scholar] [CrossRef]
- Giorgi, F. Climate Change Hot-Spots. Geophys. Res. Lett. 2006, 33, 8707. [Google Scholar] [CrossRef]
- Varlas, G.; Stefanidis, K.; Papaioannou, G.; Panagopoulos, Y.; Pytharoulis, I.; Katsafados, P.; Papadopoulos, A.; Dimitriou, E. Unravelling Precipitation Trends in Greece since 1950s Using ERA5 Climate Reanalysis Data. Climate 2022, 10, 12. [Google Scholar] [CrossRef]
- Mentzafou, A.; Varlas, G.; Dimitriou, E.; Papadopoulos, A.; Pytharoulis, I.; Katsafados, P. Modeling the Effects of Anthropogenic Land Cover Changes to the Main Hydrometeorological Factors in a Regional Watershed, Central Greece. Climate 2019, 7, 129. [Google Scholar] [CrossRef]
- Mentzafou, A.; Vamvakaki, C.; Zacharias, I.; Gianni, A.; Dimitriou, E. Climate Change Impacts on a Mediterranean River and the Associated Interactions with the Adjacent Coastal Area. Environ. Earth Sci. 2017, 76, 259. [Google Scholar] [CrossRef]
- Masson-Delmotte, V.; Zhai, P.; Chen, Y.; Goldfarb, L.; Gomis, M.I.; Matthews, J.B.R.; Berger, S.; Huang, M.; Yelekçi, O.; Yu, R.; et al. Contribution to the Sixth Assessment Report of the Intergovernmental Panel on Climate Change; Cambridge University Press: Cambridge, UK; New York, NY, USA, 2021. [Google Scholar]
- Masseroni, D.; Camici, S.; Cislaghi, A.; Vacchiano, G.; Massari, C.; Brocca, L. The 63-Year Changes in Annual Streamflow Volumes across Europe with a Focus on the Mediterranean Basin. Hydrol. Earth Syst. Sci. 2021, 25, 5589–5601. [Google Scholar] [CrossRef]
- Blöschl, G.; Hall, J.; Viglione, A.; Perdigão, R.A.P.; Parajka, J.; Merz, B.; Lun, D.; Arheimer, B.; Aronica, G.T.; Bilibashi, A.; et al. Changing Climate Both Increases and Decreases European River Floods. Nature 2019, 573, 108–111. [Google Scholar] [CrossRef]
- Montaldo, N.; Oren, R. Changing Seasonal Rainfall Distribution With Climate Directs Contrasting Impacts at Evapotranspiration and Water Yield in the Western Mediterranean Region. Earth’s Future 2018, 6, 841–856. [Google Scholar] [CrossRef]
- Brogli, R.; Sørland, S.L.; Kröner, N.; Schär, C. Causes of Future Mediterranean Precipitation Decline Depend on the Season. Environ. Res. Lett. 2019, 14, 114017. [Google Scholar] [CrossRef]
- Giannakopoulos, C.; Kostopoulou, E.; Varotsos, K.V.; Tziotziou, K.; Plitharas, A. An Integrated Assessment of Climate Change Impacts for Greece in the near Future. Reg. Environ. Chang. 2011, 11, 829–843. [Google Scholar] [CrossRef]
- Sellami, H.; Benabdallah, S.; La Jeunesse, I.; Vanclooster, M. Quantifying Hydrological Responses of Small Mediterranean Catchments under Climate Change Projections. Sci. Total Environ. 2016, 543, 924–936. [Google Scholar] [CrossRef] [PubMed]
- Stefanidis, K.; Panagopoulos, Y.; Mimikou, M. Response of a Multi-Stressed Mediterranean River to Future Climate and Socio-Economic Scenarios. Sci. Total Environ. 2018, 627, 756–769. [Google Scholar] [CrossRef]
- Papadaki, C.; Soulis, K.; Muñoz-Mas, R.; Martinez-Capel, F.; Zogaris, S.; Ntoanidis, L.; Dimitriou, E. Potential Impacts of Climate Change on Flow Regime and Fish Habitat in Mountain Rivers of the South-Western Balkans. Sci. Total Environ. 2016, 540, 418–428. [Google Scholar] [CrossRef]
- Panagopoulos, A.; Arampatzis, G.; Tziritis, E.; Pisinaras, V.; Herrmann, F.; Kunkel, R.; Wendland, F. Assessment of Climate Change Impact in the Hydrological Regime of River Pinios Basin, Central Greece. Desalination Water Treat. 2016, 57, 2256–2267. [Google Scholar] [CrossRef]
- Feidas, H.; Noulopoulou, C.; Makrogiannis, T.; Bora-Senta, E. Trend Analysis of Precipitation Time Series in Greece and Their Relationship with Circulation Using Surface and Satellite Data: 1955–2001. Theor. Appl. Climatol. 2007, 87, 155–177. [Google Scholar] [CrossRef]
- Hatzianastassiou, N.; Katsoulis, B.; Pnevmatikos, J.; Antakis, V. Spatial and Temporal Variation of Precipitation in Greece and Surrounding Regions Based on Global Precipitation Climatology Project Data. J. Clim. 2008, 21, 1349–1370. [Google Scholar] [CrossRef]
- Nastos, P.T.; Zerefos, C.S. Spatial and Temporal Variability of Consecutive Dry and Wet Days in Greece. Atmos. Res. 2009, 94, 616–628. [Google Scholar] [CrossRef]
- Hurrell, J.W. Decadal Trends in the North Atlantic Oscillation: Regional Temperatures and Precipitation. Science 1995, 269, 676–679. [Google Scholar] [CrossRef]
- Xoplaki, E.; González-Rouco, J.F.; Luterbacher, J.; Wanner, H. Wet Season Mediterranean Precipitation Variability: Influence of Large-Scale Dynamics and Trends. Clim. Dyn. 2004, 23, 63–78. [Google Scholar] [CrossRef]
- Philandras, C.M.; Nastos, P.T.; Kapsomenakis, J.; Douvis, K.C.; Tselioudis, G.; Zerefos, C.S. Long Term Precipitation Trends and Variability within the Mediterranean Region. Nat. Hazards Earth Syst. Sci. 2011, 11, 3235–3250. [Google Scholar] [CrossRef]
- Vasiliades, L.; Loukas, A. Hydrological Response to Meteorological Drought Using the Palmer Drought Indices in Thessaly, Greece. Desalination 2009, 237, 3–21. [Google Scholar] [CrossRef]
- Loukas, A.; Vasiliades, L. Probabilistic Analysis of Drought Spatiotemporal Characteristics InThessaly Region, Greece. Nat. Hazards Earth Syst. Sci. 2004, 4, 719–731. [Google Scholar] [CrossRef]
- Mentzafou, A.; Dimitriou, E.; Papadopoulos, A. Long-Term Hydrologic Trends in the Main Greek Rivers: A Statistical Approach. In Handbook of Environmental Chemistry; Springer: Berlin, Heidelberg, 2015; Volume 59, pp. 129–165. [Google Scholar]
- Loukas, A. Surface Water Quantity and Quality Assessment in Pinios River, Thessaly, Greece. Desalination 2010, 250, 266–273. [Google Scholar] [CrossRef]
- Zittis, G.; Bruggeman, A.; Lelieveld, J. Revisiting Future Extreme Precipitation Trends in the Mediterranean. Weather Clim. Extrem. 2021, 34, 100380. [Google Scholar] [CrossRef] [PubMed]
- Camera, C.; Bruggeman, A.; Zittis, G.; Sofokleous, I.; Arnault, J. Simulation of Extreme Rainfall and Streamflow Events in Small Mediterranean Watersheds with a One-Way-Coupled Atmospheric-Hydrologic Modelling System. Nat. Hazards Earth Syst. Sci. 2020, 20, 2791–2810. [Google Scholar] [CrossRef]
- Spyrou, C.; Varlas, G.; Pappa, A.; Mentzafou, A.; Katsafados, P.; Papadopoulos, A.; Anagnostou, M.N.; Kalogiros, J. Implementation of a Nowcasting Hydrometeorological System for Studying Flash Flood Events: The Case of Mandra, Greece. Remote Sens. 2020, 12, 2784. [Google Scholar] [CrossRef]
- Varlas, G.; Anagnostou, M.N.; Spyrou, C.; Papadopoulos, A.; Kalogiros, J.; Mentzafou, A.; Michaelides, S.; Baltas, E.; Karymbalis, E.; Katsafados, P. A Multi-Platform Hydrometeorological Analysis of the Flash Flood Event of 15 November 2017 in Attica, Greece. Remote Sens. 2019, 11, 45. [Google Scholar] [CrossRef]
- Giannaros, C.; Dafis, S.; Stefanidis, S.; Giannaros, T.M.; Koletsis, I.; Oikonomou, C. Hydrometeorological Analysis of a Flash Flood Event in an Ungauged Mediterranean Watershed under an Operational Forecasting and Monitoring Context. Meteorol. Appl. 2022, 29, e2079. [Google Scholar] [CrossRef]
- Papaioannou, G.; Varlas, G.; Papadopoulos, A.; Loukas, A.; Katsafados, P.; Dimitriou, E. Investigating Sea-state Effects on Flash Flood Hydrograph and Inundation Forecasting. Hydrol. Process. 2021, 35, e14151. [Google Scholar] [CrossRef]
- Fowler, H.J.; Lenderink, G.; Prein, A.F.; Westra, S.; Allan, R.P.; Ban, N.; Barbero, R.; Berg, P.; Blenkinsop, S.; Do, H.X.; et al. Anthropogenic Intensification of Short-Duration Rainfall Extremes. Nat. Rev. Earth Environ. 2021, 2, 107–122. [Google Scholar] [CrossRef]
- Papaioannou, G.; Varlas, G.; Terti, G.; Papadopoulos, A.; Loukas, A.; Panagopoulos, Y.; Dimitriou, E. Flood Inundation Mapping at Ungauged Basins Using Coupled Hydrometeorological-Hydraulic Modelling: The Catastrophic Case of the 2006 Flash Flood in Volos City, Greece. Water 2019, 11, 2328. [Google Scholar] [CrossRef]
- Lagouvardos, K.; Karagiannidis, A.; Dafis, S.; Kalimeris, A.; Kotroni, V. Ianos—A Hurricane in the Mediterranean. Bull. Am. Meteorol. Soc. 2022, 103, E1621–E1636. [Google Scholar] [CrossRef]
- Bathrellos, G.D.; Skilodimou, H.D.; Soukis, K.; Koskeridou, E. Temporal and Spatial Analysis of Flood Occurrences in the Drainage Basin of Pinios River (Thessaly, Central Greece). Land 2018, 7, 106. [Google Scholar] [CrossRef]
- Romero, R.; Emanuel, K. Medicane Risk in a Changing Climate. J. Geophys. Res. Atmos. 2013, 118, 5992–6001. [Google Scholar] [CrossRef]
- Varlas, G.; Vervatis, V.; Spyrou, C.; Papadopoulou, E.; Papadopoulos, A.; Katsafados, P. Investigating the Impact of Atmosphere–Wave–Ocean Interactions on a Mediterranean Tropical-like Cyclone. Ocean Model. 2020, 153, 101675. [Google Scholar] [CrossRef]
- European Environment Agency Copernicus Land Monitoring Service 2018. CORINE Land Cover CLC2018 Version 2020_20u1. Available online: https://land.copernicus.eu/pan-european/corine-land-cover/clc2018 (accessed on 5 March 2023).
- Hellenic Statistical Authority of Greece Statistics-Gross Value Added by Industry. Available online: https://www.statistics.gr/en/statistics/-/publication/SEL45/2019 (accessed on 10 October 2022).
- Migiros, G.; Bathrellos, G.D.; Skilodimou, H.D.; Karamousalis, T. Pinios (Peneus) River (Central Greece): Hydrological—Geomorphological Elements and Changes during the Quaternary. Cent. Eur. J. Geosci. 2011, 3, 215–228. [Google Scholar] [CrossRef]
- Caputo, R.; Helly, B.; Rapti, D.; Valkaniotis, S. Late Quaternary Hydrographic Evolution in Thessaly (Central Greece): The Crucial Role of the Piniada Valley. Quat. Int. 2022, 635, 3–19. [Google Scholar] [CrossRef]
- Kottek, M.; Grieser, J.; Beck, C.; Rudolf, B.; Rubel, F. World Map of the Köppen-Geiger Climate Classification Updated. Meteorol. Z. 2006, 15, 259–263. [Google Scholar] [CrossRef]
- Mylopoulos, N.; Kolokytha, E.; Loukas, A.; Mylopoulos, Y. Agricultural and Water Resources Development in Thessaly, Greece in the Framework of New European Union Policies. Int. J. River Basin Manag. 2009, 7, 73–89. [Google Scholar] [CrossRef]
- Mentzafou, A.; Varlas, G.; Papadopoulos, A.; Poulis, G.; Dimitriou, E. Assessment of Automatically Monitored Water Levels and Water Quality Indicators in Rivers with Different Hydromorphological Conditions and Pollution Levels in Greece. Hydrology 2021, 8, 86. [Google Scholar] [CrossRef]
- U.S. Geological Survey. Shuttle Radar Topography Mission 1 Arc-Second Global; U.S. Geological Survey: Reston, VA, USA, 2017.
- Lindström, G.; Pers, C.; Rosberg, J.; Strömqvist, J.; Arheimer, B. Development and Testing of the HYPE (Hydrological Predictions for the Environment) Water Quality Model for Different Spatial Scales. Hydrol. Res. 2010, 41, 295–319. [Google Scholar] [CrossRef]
- Hundecha, Y.; Arheimer, B.; Donnelly, C.; Pechlivanidis, I. A Regional Parameter Estimation Scheme for a Pan-European Multi-Basin Model. J. Hydrol. Reg. Stud. 2016, 6, 90–111. [Google Scholar] [CrossRef]
- Donnelly, C.; Andersson, J.C.M.; Arheimer, B. Using Flow Signatures and Catchment Similarities to Evaluate the E-HYPE Multi-Basin Model across Europe. Hydrol. Sci. J. 2016, 61, 255–273. [Google Scholar] [CrossRef]
- Krysanova, V.; Vetter, T.; Eisner, S.; Huang, S.; Pechlivanidis, I.; Strauch, M.; Gelfan, A.; Kumar, R.; Aich, V.; Arheimer, B.; et al. Intercomparison of Regional-Scale Hydrological Models and Climate Change Impacts Projected for 12 Large River Basins Worldwide—A Synthesis. Environ. Res. Lett. 2017, 12, 105002. [Google Scholar] [CrossRef]
- Vetter, T.; Reinhardt, J.; Flörke, M.; van Griensven, A.; Hattermann, F.; Huang, S.; Koch, H.; Pechlivanidis, I.G.; Plötner, S.; Seidou, O.; et al. Evaluation of Sources of Uncertainty in Projected Hydrological Changes under Climate Change in 12 Large-Scale River Basins. Clim. Chang. 2017, 141, 419–433. [Google Scholar] [CrossRef]
- Pechlivanidis, I.G.; Arheimer, B.; Donnelly, C.; Hundecha, Y.; Huang, S.; Aich, V.; Samaniego, L.; Eisner, S.; Shi, P. Analysis of Hydrological Extremes at Different Hydro-Climatic Regimes under Present and Future Conditions. Clim. Chang. 2017, 141, 467–481. [Google Scholar] [CrossRef]
- Samaniego, L.; Kumar, R.; Breuer, L.; Chamorro, A.; Flörke, M.; Pechlivanidis, I.G.; Schäfer, D.; Shah, H.; Vetter, T.; Wortmann, M.; et al. Propagation of Forcing and Model Uncertainties on to Hydrological Drought Characteristics in a Multi-Model Century-Long Experiment in Large River Basins. Clim. Chang. 2017, 141, 435–449. [Google Scholar] [CrossRef]
- Berg, P.; Donnelly, C.; Gustafsson, D. Near-Real-Time Adjusted Reanalysis Forcing Data for Hydrology. Hydrol. Earth Syst. Sci. 2018, 22, 989–1000. [Google Scholar] [CrossRef]
- Wriedt, G.; van der Velde, M.; Aloe, A.; Bouraoui, F. A European Irrigation Map for Spatially Distributed Agricultural Modelling. Agric. Water Manag. 2009, 96, 771–789. [Google Scholar] [CrossRef]
- Siebert, S.; Döll, P.; Hoogeveen, J.; Faures, J.M.; Frenken, K.; Feick, S. Development and Validation of the Global Map of Irrigation Areas. Hydrol. Earth Syst. Sci. 2005, 9, 535–547. [Google Scholar] [CrossRef]
- Portmann, F.T.; Siebert, S.; Döll, P. MIRCA2000-Global Monthly Irrigated and Rainfed Crop Areas around the Year 2000: A New High-Resolution Data Set for Agricultural and Hydrological Modeling. Glob. Biogeochem. Cycles 2010, 24, 1–24. [Google Scholar] [CrossRef]
- European Environment Agency Corine Land Cover 2000 Coastline. Available online: http://www.eea.europa.eu/data-and-maps/data/corine-land-cover-2000-coastline/#tab-gis-data (accessed on 5 March 2023).
- Hundecha, Y.; Arheimer, B.; Berg, P.; Capell, R.; Musuuza, J.; Pechlivanidis, I.; Photiadou, C. Effect of Model Calibration Strategy on Climate Projections of Hydrological Indicators at a Continental Scale. Clim. Chang. 2020, 163, 1287–1306. [Google Scholar] [CrossRef]
- Kumar, R.; Livneh, B.; Samaniego, L. Toward Computationally Efficient Large-Scale Hydrologic Predictions with a Multiscale Regionalization Scheme. Water Resour. Res. 2013, 49, 5700–5714. [Google Scholar] [CrossRef]
- Pechlivanidis, I.G.; Arheimer, B. Large-Scale Hydrological Modelling by Using Modified PUB Recommendations: The India-HYPE Case. Hydrol. Earth Syst. Sci. 2015, 19, 4559–4579. [Google Scholar] [CrossRef]
- Samaniego, L.; Kumar, R.; Jackisch, C. Predictions in a Data-Sparse Region Using a Regionalized Grid-Based Hydrologic Model Driven by Remotely Sensed Data. Hydrol. Res. 2011, 42, 338–355. [Google Scholar] [CrossRef]
- Beven, K. Rainfall-Runoff Modelling: The Primer, 2nd ed.; John Wiley & Sons, Ltd.: Chichester, UK, 2012; ISBN 9780470714591. [Google Scholar]
- Pechlivanidis, I.G.; Jackson, B.M.; Mcintyre, N.R.; Wheater, H.S. Catchment Scale Hydrological Modelling: A Review of Model Types, Calibration Approaches and Uncertainty Analysis Methods in the Context of Recent Developments in Technology and Applications. Glob. NEST J. 2011, 13, 193–214. [Google Scholar]
- Moriasi, D.; Arnold, J.; van Liew, M.; Bingner, R.; Harmel, R.; Veith, T. Model Evaluation Guidelines for Systematic Quantification of Accuracy in Watershed Simulations. Trans. ASABE 2007, 50, 885–900. [Google Scholar] [CrossRef]
- Ministry for the Environment Physical Planning and Public Works. Water Management Study of Pinios River Watershed. Part A: Physical System, Acheloos Diversion and Land Reclamation Works of Thessalian Plain; Ministry for the Environment Physical Planning and Public Works: Athens, Greece, 2006. [Google Scholar]
- Koutsoyiannis, D.; Efstratiadis, A.; Mamassis, N. Appraisal of the Surface Water Potential and Its Exploitation in the Acheloos River Basin and in Thessaly, Ch. 5 of Study of Hydrosystems, Complementary Study of Environmental Impacts from the Diversion of Acheloos to Thessaly; Ministry of Environment, Planning and Public Works: Athens, Greece, 2001. [Google Scholar]
- Mylopoulos, Y. Database Development of Surface Water and Groundwater Measurements and Evaluation of Reclamation Works in Thessaly; Regional Development Fund of Thessaly: Volos, Greece, 2005.
- Pedersen, E.J.; Miller, D.L.; Simpson, G.L.; Ross, N. Hierarchical Generalized Additive Models in Ecology: An Introduction with Mgcv. PeerJ 2019, 7, e6876. [Google Scholar] [CrossRef]
- Stefanidis, K.; Varlas, G.; Papaioannou, G.; Papadopoulos, A.; Dimitriou, E. Trends of Lake Temperature, Mixing Depth and Ice Cover Thickness of European Lakes during the Last Four Decades. Sci. Total Environ. 2022, 830, 154709. [Google Scholar] [CrossRef]
- Zuur, A.F.; Ieno, E.N.; Walker, N.; Saveliev, A.A.; Smith, G.M. Mixed Effects Models and Extensions in Ecology with R; Springer: New York, NY, USA, 2009. [Google Scholar] [CrossRef]
- Hastie, T.J.; Tibshirani, R.J. Generalized Additive Models; Chapman and Hall: London, UK, 2017; ISBN 9781351445979. [Google Scholar]
- de Souza, S.A.; Reis, D.S. Trend Detection in Annual Streamflow Extremes in Brazil. Water 2022, 14, 1805. [Google Scholar] [CrossRef]
- Olden, J.D.; Poff, N.L. Redundancy and the Choice of Hydrologic Indices for Characterizing Streamflow Regimes. River Res. Appl. 2003, 19, 101–121. [Google Scholar] [CrossRef]
- Hirsch, R.M.; de Cicco, L.A. User Guide to Exploration and Graphics for RivEr Trends (EGRET) and DataRetrieval: R Packages for Hydrologic Data. In Techniques and Methods; US Geological Survey: Reston, VA, USA, 2015. [Google Scholar] [CrossRef]
- Papadaki, C.; Dimitriou, E. River Flow Alterations Caused by Intense Anthropogenic Uses and Future Climate Variability Implications in the Balkans. Hydrology 2021, 8, 7. [Google Scholar] [CrossRef]
- Yue, S.; Pilon, P.; Phinney, B.; Cavadias, G. The Influence of Autocorrelation on the Ability to Detect Trend in Hydrological Series. Hydrol. Process. 2002, 16, 1807–1829. [Google Scholar] [CrossRef]
- Grandry, M.; Gailliez, S.; Brostaux, Y.; Degré, A. Looking at Trends in High Flows at a Local Scale: The Case Study of Wallonia (Belgium). J. Hydrol. Reg. Stud. 2020, 31, 100729. [Google Scholar] [CrossRef]
- Hirsch, R.M. Daily Streamflow Trend Analysis; U.S. Geological Survey Office of Water Information Blog: Reston, VA, USA, 2018.
- Hinkle, D.; Wiersma, W.; Jurs, S. Applied Statistics for the Behavioral Sciences, 5th ed.; Houghton Mifflin College Division: Boston, MA, USA, 2003; Volume 663. [Google Scholar]
- Markonis, Y.; Batelis, S.C.; Dimakos, Y.; Moschou, E.; Koutsoyiannis, D. Temporal and Spatial Variability of Rainfall over Greece. Theor. Appl. Climatol. 2017, 130, 217–232. [Google Scholar] [CrossRef]
- Mastrantonas, N.; Herrera-Lormendez, P.; Magnusson, L.; Pappenberger, F.; Matschullat, J. Extreme Precipitation Events in the Mediterranean: Spatiotemporal Characteristics and Connection to Large-Scale Atmospheric Flow Patterns. Int. J. Climatol. 2021, 41, 2710–2728. [Google Scholar] [CrossRef]
- Luterbacher, J.; Xoplaki, E.; Casty, C.; Wanner, H.; Pauling, A.; Küttel, M.; Rutishauser, T.; Brönnimann, S.; Fischer, E.; Fleitmann, D.; et al. Chapter 1 Mediterranean Climate Variability over the Last Centuries: A Review. Dev. Earth Environ. Sci. 2006, 4, 27–148. [Google Scholar]
- Luterbacher, J.; Xoplaki, E. 500-Year Winter Temperature and Precipitation Variability over the Mediterranean Area and Its Connection to the Large-Scale Atmospheric Circulation. In Mediterranean Climate; Springer: Berlin, Heidelberg, 2003; pp. 133–153. [Google Scholar]
- Nastos, P.T.; Kapsomenakis, J.; Philandras, K.M. Evaluation of the TRMM 3B43 Gridded Precipitation Estimates over Greece. Atmos. Res. 2016, 169, 497–514. [Google Scholar] [CrossRef]
- Koseki, S.; Mooney, P.A.; Cabos, W.; Angel Gaertner, M.; de La Vara, A.; Jesus Gonzalez-Aleman, J. Modelling a Tropical-like Cyclone in the Mediterranean Sea under Present and Warmer Climate. Nat. Hazards Earth Syst. Sci. 2021, 21, 53–71. [Google Scholar] [CrossRef]
- Varlas, G.; Katsafados, P.; Papadopoulos, A.; Korres, G. Implementation of a Two-Way Coupled Atmosphere-Ocean Wave Modeling System for Assessing Air-Sea Interaction over the Mediterranean Sea. Atmos. Res. 2018, 208, 201–217. [Google Scholar] [CrossRef]
- Manola, I.; van den Hurk, B.; de Moel, H.; Aerts, J.C.J.H. Future Extreme Precipitation Intensities Based on a Historic Event. Hydrol. Earth Syst. Sci. 2018, 22, 3777–3788. [Google Scholar] [CrossRef]
- Karl, T.R.; Trenberth, K.E. Modern Global Climate Change. Science 2003, 302, 1719–1723. [Google Scholar] [CrossRef]
- Tegos, A.; Ziogas, A.; Bellos, V.; Tzimas, A. Forensic Hydrology: A Complete Reconstruction of an Extreme Flood Event in Data-Scarce Area. Hydrology 2022, 9, 93. [Google Scholar] [CrossRef]
- de Girolamo, A.M.; Barca, E.; Leone, M.; lo Porto, A. Impact of Long-Term Climate Change on Flow Regime in a Mediterranean Basin. J. Hydrol. Reg. Stud. 2022, 41, 101061. [Google Scholar] [CrossRef]







| ID | Area (km2) | Surface Waterbody | Altitude (m) | Land Cover | |||||
|---|---|---|---|---|---|---|---|---|---|
| Minimum | Maximum | Average | Artificial Surfaces | Agricultural Areas | Forest and Seminatural Areas | Other | |||
| 9729462 (PINUP) | 1205.9 | Pinios P12 | 105 | 2167 | 775 | 1% | 27% | 71% | 1% |
| 9728383 (TITAR) | 1439.0 | Titarisios P2 | 137 | 2804 | 703 | 1% | 40% | 60% | 0% |
| 9728538 (MREMA) | 586.8 | Mega Rema 1 | 80 | 1484 | 279 | 4% | 67% | 29% | 0% |
| Sub-Basins | Evaluation Stations | |||||||
|---|---|---|---|---|---|---|---|---|
| ID | Area (km2) | Surface Waterbody | Name | Latitude (o) | Longitude (o) | Upstream Area (km2) | Period | Reference |
| 9729462 (PINUP) | 1205.9 | Pinios P12 | Sarakinas | 39.6690 | 21.6330 | 1058.5 | 1981–2001 | [66] |
| 9728383 (TITAR) | 1439.0 | Titarisios P2 | Mylogoustas | 39.7544 | 22.0987 | 1416.7 | 1981–1993 | [67] |
| 9728538 (MREMA) | 586.8 | Mega Rema 1 | Marathea | 39.5136 | 22.005 | 571.9 | 1981–1990 | [68] |
| Sub-Basin | 9729462 (PINUP) | 9728383 (TITAR) | 9728538 (MREMA) | |
|---|---|---|---|---|
| Station | Sarakina | Mylogoustas | Marathea | |
| Number of measurements | N | 249 | 153 | 101 |
| Pearson’s correlation coefficient | R | 0.723 | 0.718 | 0.723 |
| Root Mean Square Error | RMSE | 12.26 | 7.78 | 3.93 |
| Nash-Sutcliffe Efficiency | NSE | 0.49 | 0.11 | 0.49 |
| Percent bias | PBIAS | 22% | −49% | 5% |
| Ratio of the root mean square error to the standard deviation | RSR | 0.04 | 0.05 | 0.04 |
| Response Variable | Sub-Basin ID | Adj. R2 | Trend Sig. p Value | Month Sig. p Value |
|---|---|---|---|---|
| Monthly discharge | 9729462 (PINUP) | 0.564 | 0.019 | ≤0.001 |
| 9728383 (TITAR) | 0.433 | 0.002 | ≤0.001 | |
| 9728538 (MREMA) | 0.441 | NS | ≤0.001 | |
| September’s discharge | 9729462 (PINUP) | 0.299 | 0.002 | NA |
| 9728383 (TITAR) | 0.384 | ≤0.001 | NA | |
| 9728538 (MREMA) | 0.099 | NS | NA |
Disclaimer/Publisher’s Note: The statements, opinions and data contained in all publications are solely those of the individual author(s) and contributor(s) and not of MDPI and/or the editor(s). MDPI and/or the editor(s) disclaim responsibility for any injury to people or property resulting from any ideas, methods, instructions or products referred to in the content. |
© 2023 by the authors. Licensee MDPI, Basel, Switzerland. This article is an open access article distributed under the terms and conditions of the Creative Commons Attribution (CC BY) license (https://creativecommons.org/licenses/by/4.0/).
Share and Cite
Varlas, G.; Papadaki, C.; Stefanidis, K.; Mentzafou, A.; Pechlivanidis, I.; Papadopoulos, A.; Dimitriou, E. Increasing Trends in Discharge Maxima of a Mediterranean River during Early Autumn. Water 2023, 15, 1022. https://doi.org/10.3390/w15061022
Varlas G, Papadaki C, Stefanidis K, Mentzafou A, Pechlivanidis I, Papadopoulos A, Dimitriou E. Increasing Trends in Discharge Maxima of a Mediterranean River during Early Autumn. Water. 2023; 15(6):1022. https://doi.org/10.3390/w15061022
Chicago/Turabian StyleVarlas, George, Christina Papadaki, Konstantinos Stefanidis, Angeliki Mentzafou, Ilias Pechlivanidis, Anastasios Papadopoulos, and Elias Dimitriou. 2023. "Increasing Trends in Discharge Maxima of a Mediterranean River during Early Autumn" Water 15, no. 6: 1022. https://doi.org/10.3390/w15061022
APA StyleVarlas, G., Papadaki, C., Stefanidis, K., Mentzafou, A., Pechlivanidis, I., Papadopoulos, A., & Dimitriou, E. (2023). Increasing Trends in Discharge Maxima of a Mediterranean River during Early Autumn. Water, 15(6), 1022. https://doi.org/10.3390/w15061022

