Impact of Artificial Islands and Reefs on Water Quality in Jinmeng Bay, China
Abstract
1. Introduction
2. Materials and Methods
2.1. Study Area
2.2. Numerical Model
2.3. Model Set-Up
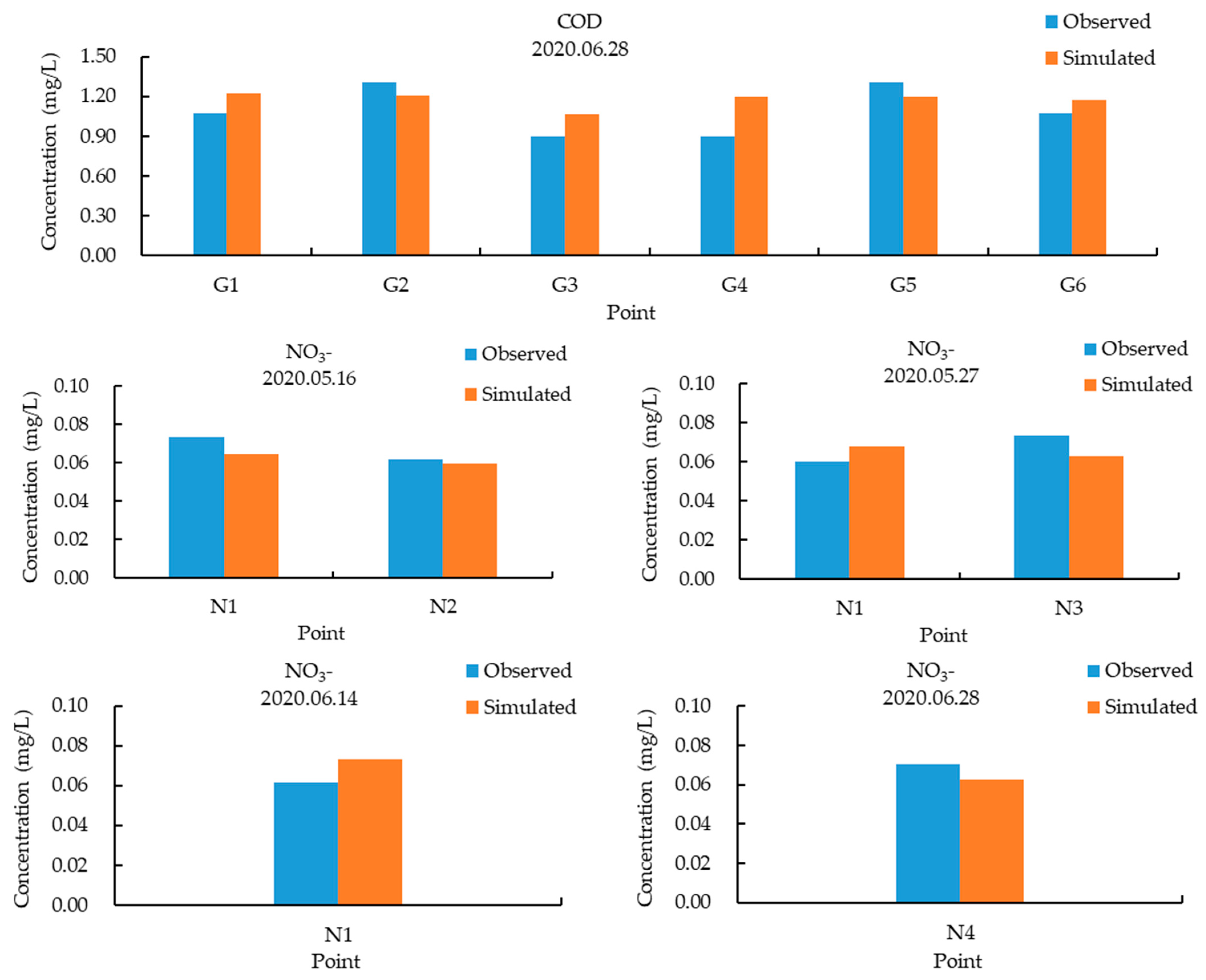
2.4. Validation
3. Results
3.1. Hydrodynamic Characteristics
3.2. Water Quality
4. Discussion
4.1. Impacts of Construction Conditions on Flow Field
4.2. Impacts of Construction Conditions on Water Quality
4.3. Quantitative Analysis of the Impacts on Water Quality of Different Construction Conditions
5. Conclusions
- The artificial islands and reefs in Jinmeng Bay hinder the tidal currents. In addition, the connection road between Conch Island and the mainland not only blocks the littoral currents, but also extends the estuary in length and weakens the local tidal actions.
- The weakened tidal actions at the estuary lead to the accretion of COD and NO3−. The neap tides generate a littoral zone with a high concentration of COD and NO3− along Jinmeng Beach, while the spring tides maintain the high concentration zone in the estuary.
- The impacts of the coastal engineering structures on COD concentration are less than those on NO3−. Even though the flow velocity north of Conch Island decreased by 90% after the construction of the connection road, the COD concentration declined by 8% only. With the demolition of the connection road, the COD concentrations rose to their initial values.
- NO3− is more sensitive to the variation of hydrodynamic conditions. Under the first-stage construction conditions, the decrease in NO3− concentration was up to 30%. With the demolition of the connection road, the NO3− concentrations increased by 17~40% above the initial values.
- Under the current construction conditions, the predicted and measured increase in the concentrations of COD and NO3− implies the potential risks of green tides in Jinmeng Bay. Thus, the continuous monitoring of water quality is essential for the long-term management.
Author Contributions
Funding
Data Availability Statement
Acknowledgments
Conflicts of Interest
References
- Song, M.; Yan, T.; Kong, F.; Wang, Y.; Zhou, M. Increased diversity and environmental threat of harmful algal blooms in the Southern Yellow Sea, China. J. Oceanol. Limnol. 2022, 40, 2107–2119. [Google Scholar] [CrossRef]
- Lv, X.; Xu, H.; Zhao, S.; Kong, F.; Yan, T.; Jiang, P. The green tide in Yingkou, China in summer 2021 was caused by a subtropical alga-Ulva meridionalis (Ulvophyceae, Chlorophyta). J. Oceanol. Limnol. 2022, 40, 2354–2363. [Google Scholar]
- Zhao, J.; Kong, F.; Liu, Q.; Li, F.; Wei, X.; Yan, T.; Jiang, P. Tempo-spatial distribution of Ulva spp. micro-propagules in the Yellow Sea during and after green tide in 2019. J. Oceanol. Limnol. 2022, 40, 2462–2472. [Google Scholar] [CrossRef]
- Jiang, X.; Zhou, X.; Lin, J.; Kang, Z.; Liu, Q. Research progress in the ecological consequences of Ulva prolifera green tides in the Yellow Sea. Mar. Environ. Sci. 2021, 40, 647–652. [Google Scholar]
- Qu, T.; Hou, C.; Yu, Z.; Wang, Y.; Tang, X. Ecological effects of Ulva prolifera green tide on zoobenthos in Qingdao intertidal area. Period. Ocean Univ. China 2020, 50, 59–69. [Google Scholar]
- Zhang, Y.; He, P.; Li, H.; Li, G.; Liu, J.; Jiao, F.; Zhang, J.; Huo, Y.; Shi, X.; Su, R.; et al. Ulva prolifera green-tide outbreaks and their environmental impact in the Yellow Sea, China. Natl. Sci. Rev. 2019, 6, 825–838. [Google Scholar] [CrossRef]
- Feng, L.; Zhang, H.; Sun, Y.; Li, X.; Su, R.; Shi, X. On nutrient releases from the decomposition of Ulva prolifera green tide and their impacts on nearshore seawaters in the southern Yellow Sea. Haiyang Xuebao 2020, 42, 59–68. [Google Scholar]
- Kim, J.; Zhao, Z.; Kim, Y. Variation in germling growth in the green tide-forming alga Ulva intestinalis (Chlorophyta) in response to gradients in salinity, temperature, light, and nutrients. J. Appl. Phycol. 2021, 33, 3951–3962. [Google Scholar] [CrossRef]
- Ji, L.; Ge, Q.; Li, Y.; Gao, Y.; Xie, S. A comparative study of the growth and nutrient removal effects of five green microalgae in simulated domestic sewage. Water 2021, 13, 3613. [Google Scholar] [CrossRef]
- Zhang, H.; Wang, G.; Zhang, C.; Su, R.; Shi, X.; Wang, X. Characterization of the development stages and roles of nutrients and other environmental factors in green tides in the Southern Yellow Sea, China. Harmful Algae 2020, 98, 101893. [Google Scholar] [CrossRef] [PubMed]
- Zhang, H.; Su, R.; Shi, X.; Zhang, C.; Yin, H.; Zhou, Y.; Wang, G. Role of nutrients in the development of floating green tides in the Southern Yellow Sea, China, in 2017. Mar. Pollut. Bull. 2020, 156, 111197. [Google Scholar] [CrossRef]
- Wang, C.; Jiao, X.; Zhang, Y.; Zhang, L.; Xu, H. A light-limited growth model considering the nutrient effect for improved understanding and prevention of macroalgae bloom. Environ. Sci. Pollut. Res. 2020, 27, 12405–12413. [Google Scholar] [CrossRef] [PubMed]
- Han, H.; Song, W.; Wang, Z.; Ding, D.; Yuan, C.; Zhang, X.; Li, Y. Distribution of green algae micro-propagules and their function in the formation of the green tides in the coast of Qinhuangdao, the Bohai Sea, China. Acta Oceanol. Sin. 2019, 38, 72–77. [Google Scholar] [CrossRef]
- Han, H.; Fan, S.; Song, W.; Li, Y.; Xiao, J.; Wang, Z.; Zhang, X.; Ding, D. The contribution of attached Ulva prolifera on Pyropia aquaculture rafts to green tides in the Yellow Sea. Acta Oceanol. Sin. 2020, 39, 101–106. [Google Scholar] [CrossRef]
- Han, H.; Li, Y.; Ma, X.; Song, W.; Wang, Z.; Fu, M.; Zhang, X. Population differentiation in the dominant species (Ulva prolifera) of green tide in coastal waters of China. Acta Oceanol. Sin. 2022, 41, 108–114. [Google Scholar] [CrossRef]
- Song, D. Temporal-Spatial Distribution and Countermeasures Study of Algae Disaster in the Bohai and Yellow Sea Based on Multi-Source Data. Ph.D. Thesis, Yantai Institute of Coastal Zone Research, Chinese Academy of Sciences, Yantai, China, 2019. [Google Scholar]
- Sun, X.; Wu, M.; He, F.; Zhang, A.; Zhao, D.; Li, B. Temporal and spatial distribution of Ulva. prolifera in the Yellow Sea and influence of typhoon “CHAN-HOM” in 2015. Remote Sens. Technol. Appl. 2017, 32, 921–930. [Google Scholar]
- Li, Y.; Pan, L.; Xiao, W.; Hu, S.; Yang, H. Effect of wind on the drifting of green macroalgae in the Yellow Sea. Mar. Environ. Sci. 2014, 33, 772–776. [Google Scholar]
- Geng, H. Attachment Characteristics and Deposition Region of Bloom-Forming Ulva prolifera in the Yellow Sea. Ph.D. Thesis, Institute of Oceanology, Chinese Academy of Sciences, Qingdao, China, 2017. [Google Scholar]
- Bermejo, R.; Golden, N.; Schrofner, E.; Knöller, K.; Fenton, O.; Serrão, E.; Morrison, L. Biomass and nutrient dynamics of major green tides in Ireland: Implications for biomonitoring. Mar. Pollut. Bull. 2022, 175, 113318. [Google Scholar] [CrossRef]
- Mukherjee, P.; Gorain, P.C.; Paul, I.; Bose, R.; Bhadoria, P.B.S.; Pal, R. Investigation on the effects of nitrate and salinity stress on the antioxidant properties of green algae with special reference to the use of processed biomass as potent fish feed ingredient. Aquacult. Int. J. Eur. Aquacult. Soc. 2020, 28, 211–234. [Google Scholar] [CrossRef]
- Lavajoo, F.; Thaherizade, M.; Dehghani, M. The absorption of nitrate and phosphate from urban sewage by blue-green algae (Spirolina Platensis) (an alternative medium) as application for removing the pollution. J. Appl. Sci. Environ. Manag. 2015, 19, 353–356. [Google Scholar] [CrossRef]
- Zhang, H.; Liu, K.; Su, R.; Shi, X.; Pei, S.; Wang, X.; Wang, G.; Wang, S. Study on the coupling relationship between the development of Ulva prolifera green tide and nutrients in the southern Yellow Sea in 2018. Haiyang Xuebao 2020, 42, 30–39. [Google Scholar]
- Zhang, H.; Wang, S.; Yin, H.; Sha, Z.; Shi, X.; Su, R.; Pei, S.; Wang, G.; Ma, Y. The development of Ulva prolifera green tide and the roles of nitrogen nutrients in it in the southern Yellow Sea in 2018. Haiyang Xuebao 2020, 42, 40–49. [Google Scholar]
- Xiao, Z.; Qi, H.; Cai, F.; Liu, G.; Zhao, S.; Zhu, J.; Lei, G.; Yin, H. The impact of artificial island construction on sedimentary characteristics and sediment transport in the Haikou Bay. Haiyang Xuebao 2022, 44, 137–146. [Google Scholar]
- Zhang, D.; Shi, L.; Gong, Z.; Guo, J. Evolution characteristics of beach erosion and accretion at the Riyue Bay under the combined impacts of winter waves and artificial island. J. Trop. Oceanogr. 2022, 41, 71–81. [Google Scholar]
- Li, H.; Zhang, H.; Wang, X.; Yu, H.; Xu, Y.; Liu, X.; Zhang, Y. Influence on the sandy coast evolution of the ocean engineering: A case study of artificial Riyue island, Wanning city, Hainan Island. Mar. Environ. Sci. 2019, 38, 575–581. [Google Scholar]
- Tang, Y.; Yang, W.; Sun, L.; Zhao, F.; Long, X.; Wang, G. Studies on factors influencing hydrodynamic characteristics of plates used in artificial reefs. J. Ocean Univ. China 2019, 18, 193–202. [Google Scholar] [CrossRef]
- Tang, Y.; Wei, S.; Yang, M.; Wang, X.; Zhao, F. Experimental investigation of local scour around artificial reefs in steady currents. J. Ocean Univ. China 2022, 21, 445–456. [Google Scholar] [CrossRef]
- Ma, Y.; Kuang, C.; Han, X.; Niu, H.; Zheng, Y.; Shen, C. Experimental study on the influence of an artificial reef on cross-shore morphodynamic processes of a wave-dominated beach. Water 2020, 12, 2947. [Google Scholar] [CrossRef]
- Kuang, C.; Ma, Y.; Han, X.; Pan, S.; Zhu, L. Experimental observation on beach evolution process with presence of artificial submerged sand bar and reef. J. Mar. Sci. Eng. 2020, 8, 1019. [Google Scholar] [CrossRef]
- Kuang, C.; Mao, X.; Gu, J.; Niu, H.; Ma, Y.; Yang, Y.; Qiu, R.; Zhang, J. Morphological processes of two artificial submerged shore-parallel sandbars for beach nourishment in a nearshore zone. Ocean Coastal Manag. 2019, 179, 104870. [Google Scholar] [CrossRef]
- Chen, Q.; Chen, P. Changes in the heavy metals and petroleum hydrocarbon contents in seawater and surface sediment in the year following artificial reef construction in the Pearl River Estuary, China. Environ. Sci. Pollut. Res. 2020, 27, 6009–6021. [Google Scholar] [CrossRef] [PubMed]
- Yu, H.; Yang, W.; Liu, C.; Tang, Y.; Song, X.; Fang, G. Relationships between community structure and environmental factors in Xixiakou artificial reef area. J. Ocean Univ. China 2020, 19, 883–894. [Google Scholar] [CrossRef]
- Liu, Y.; Paula, N. Ecosystem service value of artificial reef area in Qingdao Luhaifeng Sea ranching: A meta-analysis and benefit transfer valuation. Ecol. Econ. 2022, 18, 261–273. [Google Scholar]
- Chen, Q.; Jian, S.; Chen, P. Changes in the functional feeding groups of macrobenthos following artificial reef construction in Daya Bay, China. Global Ecol. Conserv. 2022, 33, e01978. [Google Scholar] [CrossRef]
- Layman, C.A.; Allgeier, J.E. An ecosystem ecology perspective on artificial reef production. J. Appl. Ecol. 2020, 57, 2139–2148. [Google Scholar] [CrossRef]
- Xu, T.; Yan, B.; Han, Z.; Qiao, Y. Numerical simulation research on tide and sediment in Lotus Island project in Qinhuangdao. J. Waterw. Harbor 2015, 36, 502–509. [Google Scholar]
- Zhang, Q.; Yan, B.; Li, W. Scheme comparison of Lotus Island in Qianhuangdao. Water Conservancy Sci. Technol. Econ. 2015, 21, 40–42. [Google Scholar]
- Zhang, Y. Numerical Simulation Research on the Impacts of Man-Made Island on Flood Propagation and Erosion-Deposition of Estuary. Master’s Thesis, Tianjin University, Tianjin, China, 2014. [Google Scholar]
- Sheng, T. Numerical Modelling Research on the Influence of Sea-Crossing Bridge engineering to River Course Flood Propagation. Master’s Thesis, Tianjin University, Tianjin, China, 2016. [Google Scholar]
- Wang, Z. Study on Water and Sediment Environment Changes Affected by Artificial Island (Group): Taking Conch Island and Lotus Island Project in Qinhuangdao as Examples. Master’s Thesis, Dalian University of Technology, Dalian, China, 2018. [Google Scholar]
- Xie, Y.; Liu, S.; Liu, J.; Pei, J. Ecological restoration design of Jinmeng Bay Beach in Qinhuangdao. Mar. Geol. Front. 2013, 29, 79–86. [Google Scholar]
- Yang, Y.; Zhang, J.; Liu, S. What we have learnt from the beach nourishment project in Qinhuangdao. Mar. Geol. Front. 2014, 30, 1–15. [Google Scholar]
- Chen, H.; Zou, Q. Eulerian-Lagrangian flow-vegetation interaction model using immersed boundary method and OpenFOAM. Adv. Water Resour. 2019, 126, 176–192. [Google Scholar] [CrossRef]
- Chen, H.; Liu, X.; Zou, Q. Wave-driven flow induced by suspended and submerged canopies. Adv. Water Resour. 2019, 123, 160–172. [Google Scholar] [CrossRef]
- Zeng, B.; Sun, Y.; Song, W.; Wang, Z.; Zhang, X. Recurrence of the green tide in the Bohai Sea, China: A green tide caused by coastal reclamation projects. J. Sea Res. 2023, 191, 102333. [Google Scholar] [CrossRef]
- Kuang, C.; Yu, L.; Gu, J.; Dong, Z.; Song, H.; Zhu, L. Influences of artificial island on water exchange of Jinmeng Bay. China Environ. Sci. 2019, 39, 757–767. [Google Scholar]
- Kuang, C.; Zhao, F.; Song, H.; Gu, J. Analysis of superposition influence effect of artificial island group on coastal dynamics in a weak tidal zone. J. Tongji Univ. (Nat. Sci.) 2020, 48, 296–304. [Google Scholar]
- Wang, D.; Kuang, C.; Gu, J.; Dong, Z.; Yu, L. Impacts of Artificial Islands on the Hydrodynamics and Migration of Green Algae of Jinmeng Bay in Summer; The Fourteenth ISOPE Pacific/Asia Offshore Mechanics Symposium: Dalian, China, 2020. [Google Scholar]
- Han, X.; Kuang, C.; Li, Y.; Song, W.; Qin, R.; Wang, D. Numerical modeling of a green tide migration process with multiple artificial structures in the western Bohai Sea, China. Appl. Sci. 2022, 12, 3017. [Google Scholar] [CrossRef]
- Jiang, W.; Wang, S.; Yu, L.; Wang, L.; Wang, D. Relationship between the migration of Enteromorpha prolifera green tide and the changes of seawater environmental factors in the Yellow Sea area of southern Yantai in 2021. J. Ludong Univ. (Nat. Sci.) 2022, 38, 105–113. [Google Scholar]
- Zhu, D.; Chen, B.; Ya, H.; Dong, D. Study on numerical simulation of pollutant transport in Guangxi coastal waters. Guangxi Sci. 2019, 26, 669–675. [Google Scholar]
- Han, H.; Li, Y.; Ma, X.; Song, W.; Wang, Z.; Zhang, X. Factors influencing the spatial and temporal distributions of green algae micro-propagules in the coastal waters of Jinmenghaiwan, Qinhuangdao, China. Mar. Pollut. Bull. 2022, 175, 113328. [Google Scholar] [CrossRef]
- Pan, J.; Yu, F.; Wei, C.; Ren, Q.; Sun, S.; Li, J. Relationship between green tide outbreak and nitrate and hydrological environmental factors in the South Yellow Sea. Oceanol. Limnol. Sin. 2018, 49, 1031–1037. [Google Scholar]














| Model | Level | Number of Elements | Maximum Resolution |
|---|---|---|---|
| Bohai Model | first | 6403 | 1200 m |
| Qinhuangdao Model | second | 34,071 | 10 m |
| Jinmeng Bay Model | third | 25,503 | 4 m |
| Site | Component | Date | Relative Error |
|---|---|---|---|
| G1 | COD | 28 June 2020 | 14.3% |
| G2 | COD | 28 June 2020 | 8.2% |
| G3 | COD | 28 June 2020 | 18.7% |
| G4 | COD | 28 June 2020 | 33.5% |
| G5 | COD | 28 June 2020 | 8.5% |
| G6 | COD | 28 June 2020 | 9.6% |
| N1 | NO3− | 16 May 2020 | 12.1% |
| N1 | NO3− | 27 May 2020 | 12.9% |
| N1 | NO3− | 14 June 2020 | 19.7% |
| N2 | NO3− | 16 May 2020 | 3.5% |
| N3 | NO3− | 27 May 2020 | 14.5% |
| N4 | NO3− | 28 June 2020 | 11.4% |
Disclaimer/Publisher’s Note: The statements, opinions and data contained in all publications are solely those of the individual author(s) and contributor(s) and not of MDPI and/or the editor(s). MDPI and/or the editor(s) disclaim responsibility for any injury to people or property resulting from any ideas, methods, instructions or products referred to in the content. |
© 2023 by the authors. Licensee MDPI, Basel, Switzerland. This article is an open access article distributed under the terms and conditions of the Creative Commons Attribution (CC BY) license (https://creativecommons.org/licenses/by/4.0/).
Share and Cite
Fan, J.; Kuang, C.; Liu, H.; Wang, D.; Liu, J.; Wang, G.; Zou, Q. Impact of Artificial Islands and Reefs on Water Quality in Jinmeng Bay, China. Water 2023, 15, 959. https://doi.org/10.3390/w15050959
Fan J, Kuang C, Liu H, Wang D, Liu J, Wang G, Zou Q. Impact of Artificial Islands and Reefs on Water Quality in Jinmeng Bay, China. Water. 2023; 15(5):959. https://doi.org/10.3390/w15050959
Chicago/Turabian StyleFan, Jiadong, Cuiping Kuang, Huixin Liu, Dan Wang, Jiantao Liu, Gang Wang, and Qingping Zou. 2023. "Impact of Artificial Islands and Reefs on Water Quality in Jinmeng Bay, China" Water 15, no. 5: 959. https://doi.org/10.3390/w15050959
APA StyleFan, J., Kuang, C., Liu, H., Wang, D., Liu, J., Wang, G., & Zou, Q. (2023). Impact of Artificial Islands and Reefs on Water Quality in Jinmeng Bay, China. Water, 15(5), 959. https://doi.org/10.3390/w15050959

