Integrated Effects of Water Stress and Plastic Film Mulch on Yield and Water Use Efficiency of Grain Maize Crop under Conventional and Alternate Furrow Irrigation Method
Abstract
1. Introduction
2. Materials and Methods
2.1. Study Area
2.2. Treatment and Experimental Setup
2.3. Land Preparation, Crop Variety, Planting Method, Fertilizers Doses
2.4. Irrigation Water Depth and Quality
2.5. Sampling, Measurements, and Analysis
2.6. Statistical Analysis
2.7. Economic Benefits
3. Results
3.1. Plant Growth Parameters
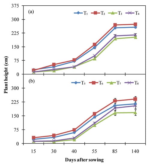
3.1.1. Plant Height
3.1.2. Numbers of Leaves per Plant
3.1.3. Leaf Area per Plant
3.1.4. Stem Girth
3.1.5. Cob Length
3.2. Yield Components of Grain Maize
3.2.1. 1000-Grains Weight
3.2.2. Grain Yield
3.2.3. Biomass
3.3. Crop Harvest Index and Irrigation Water Productivity
3.3.1. Crop Harvest Index (CHI)
3.3.2. Irrigation Water Productivity
3.4. Correlation Analysis between Different Parameters of Grain Maize
3.5. Economic Benefits
4. Discussion
5. Conclusions
Author Contributions
Funding
Data Availability Statement
Conflicts of Interest
References
- Tariq, J.A.; Usman, K. Regulated Deficit Irrigation Scheduling of Maize Crop. Sarhad J. Agric. 2009, 25, 441–450. [Google Scholar]
- Berihun, B. Effect of Mulching and Amount of Water on the Yield of Tomato under Drip Irrigation. J. Hortic. For. 2011, 3, 200–206. [Google Scholar]
- Soothar, R.K.; Zhang, W.; Liu, B.; Tankari, M.; Wang, C.; Li, L.; Xing, H.; Gong, D.; Wang, Y. Sustaining Yield of Winter Wheat under Alternate Irrigation Using Saline Water at Different Growth Stages: A Case Study in the North China Plain. Sustainability 2019, 11, 4564. [Google Scholar] [CrossRef]
- Soothar, R.K.; Zhang, W.; Zhang, Y.; Tankari, M.; Mirjat, U.; Wang, Y. Evaluating the Performance of SALTMED Model under Alternate Irrigation Using Saline and Fresh Water Strategies to Winter Wheat in the North China Plain. Environ. Sci. Pollut. Res. 2019, 26, 34499–34509. [Google Scholar] [CrossRef] [PubMed]
- Arif, M.; Jan, M.T.; Khan, M.J.; Saeed, M.; Munir, I.; Din, Z.; Khan, M.Z. Effect of Cropping System and Residue Management on Maize. Pak. J. Botony 2011, 43, 915–920. [Google Scholar]
- Kori, S.; Soothar, C.; Qureshi, A.; Ashrafani, S. Effect of Different Irrigation Methods on Water Use Efficiency and Yield of Maize Crop. Pak. J. Agric. Agric. Eng. Vet. Sci. 2017, 33, 54–65. [Google Scholar]
- Agricultural Statistics of Pakistan. GOP Economic Survey of Pakistan 2014–2015; Ministry of Food Agriculture and Livestock Division: Islamabad, Pakistan, 2016. [Google Scholar]
- Nasri, M.; Khalatbari, M.; Farahani, H.A. The Effect of Alternate Furrow Irrigation under Different Nutritional Element Supplies on Some Agronomic Traits and Seed Qualitative Parameters in Corn (Zea Mays L.). J. Cereals Oilseeds 2010, 1, 17–23. [Google Scholar]
- Lauer, J. What Happens within the Corn Plant When Drought Occurs. Corn Agron. 2003, 10, 153–155. [Google Scholar]
- Yaseen, R.; Shafi, J.; Ahmad, W.; Shoaib, M.; Qaisrani, S.A. Effect of Deficit Irrigation and Mulch on Soil Physical Properties, Growth and Yield of Maize. Environ. Ecol. Res. 2014, 2, 122. [Google Scholar] [CrossRef]
- Tankari, M.; Wang, C.; Ma, H.; Li, X.; Li, L.; Soothar, R.K.; Cui, N.; Zaman-Allah, M.; Hao, W.; Liu, F.; et al. Drought Priming Improved Water Status, Photosynthesis and Water Productivity of Cowpea during Post-Anthesis Drought Stress. Agric. Water Manag. 2021, 245, 106565. [Google Scholar] [CrossRef]
- Chakraborty, D.; Nagarajan, S.; Aggarwal, P.; Gupta, V.K.; Tomar, R.K.; Garg, R.N.; Sahoo, R.N.; Sarkar, A.; Chopra, U.K.; Sarma, K.S. Effect of Mulching on Soil and Plant Water Status, and the Growth and Yield of Wheat (Triticum Aestivum L.) in a Semi-Arid Environment. Agric. Water Manag. 2008, 95, 1323–1334. [Google Scholar] [CrossRef]
- Memon, M.S.; Siyal, A.A.; Ji, C.; Tagar, A.A.; Shamim, A.; Soomro, S.A.; Khadimullah; Fahim, U.; Noreena, M. Effect of Irrigation Methods and Plastic Mulch on Yield and Crop Water Productivity of Okra. J. Basic Appl. Sci. 2017, 13, 616–621. [Google Scholar] [CrossRef]
- Thidar, M.; Gong, D.; Mei, X.; Gao, L.; Li, H.; Hao, W.; Gu, F. Mulching Improved Soil Water, Root Distribution and Yield of Maize in the Loess Plateau of Northwest China. Agric. Water Manag. 2020, 241, 106340. [Google Scholar] [CrossRef]
- Zhou, Q.; Shen, H.H.; Helenbrook, B.T.; Zhang, H. Scale Dependence of Direct Shear Tests. Chin. Sci. Bull. 2009, 54, 4337–4348. [Google Scholar] [CrossRef]
- Patil, S.S.; Kelkar, T.S.; Bhalerao, S.A. Mulching: A Soil and Water Conservation Practice. Res. J. Agric. For. Sci. 2013, 1, 26–29. [Google Scholar]
- Shaikh, S.A.; Yaoming, L.; Chandio, F.A.; Tunio, M.H.; Ahmad, F.; Mari, I.A.; Solangi, K.A. Effect of Wheat Residue Incorporation with Tillage Management on Physico-Chemical Properties of Soil and Sustainability of Maize Production. Fresenius Environ. Bull. 2020, 29, 10. [Google Scholar]
- Li, F.; Liang, J.; Kang, S.; Zhang, J. Benefits of Alternate Partial Root-Zone Irrigation on Growth, Water and Nitrogen Use Efficiencies Modified by Fertilization and Soil Water Status in Maize. Plant Soil 2007, 295, 279–291. [Google Scholar] [CrossRef]
- Javed, A.; Iqbal, M.; Farooq, M.; Lal, R.; Shehzadi, R. Plastic Film and Straw Mulch Effects on Maize Yield and Water Use Efficiency under Different Irrigation Levels in Punjab, Pakistan. Int. J. Agric. Biol. 2019, 21, 767–774. [Google Scholar]
- El-Halim, A. Impact of Alternate Furrow Irrigation with Different Irrigation Intervals on Yield, Water Use Efficiency, and Economic Return of Corn. Chil. J. Ofagricultural Res. 2013, 73, 175–180. [Google Scholar] [CrossRef]
- Jabran, K.; Ullah, E.; Hussain, M.; Farooq, M.; Zaman, U.; Yaseen, M.; Chauhan, B.S. Mulching Improves Water Productivity, Yield and Quality of Fine Rice under Water-Saving Rice Production Systems. J. Agron. Crop Sci. 2015, 201, 389–400. [Google Scholar] [CrossRef]
- Eldoma, I.M.; Li, M.; Zhang, F.; Li, F.-M. Alternate or Equal Ridge–Furrow Pattern: Which Is Better for Maize Production in the Rain-Fed Semi-Arid Loess Plateau of China? Field Crops Res. 2016, 191, 131–138. [Google Scholar] [CrossRef]
- Tadese Eba, A. The Impact of Alternate Furrow Irrigation on Water Productivity and Yield of Potato at Small Scale Irrigation, Ejere Wereda, West Shoa, Ethiopia. Ph.D. Thesis, Haramaya University, Haramaya, Ethiopia, 2017. [Google Scholar]
- Jemal, K.; Berhanu, S. Effect of Water Application Methods in Furrow Irrigation Along with Different Types of Mulches on Yield and Water Productivity of Maize (Zea Mays L.) at Hawassa, Ethiopia. Ph.D. Thesis, Haramaya University, Haramaya, Ethiopia, 2018. [Google Scholar]
- Mebrahtu, Y.; Mehamed, A. Effect of Different Type of Mulching and Furrow Irrigation Methods on Maize (Zea Mays L.) Yield and Water Productivity at Raya Valley, Northern Ethiopia. J. Biol. Agric. Healthc. 2019, 9, 6–13. [Google Scholar]
- Siyal, A.A.; Mashori, A.S.; Bristow, K.L.; Genuchten, M.V. Alternate Furrow Irrigation Can Radically Improve Water Productivity of Okra. Agric. Water Manag. 2016, 173, 55–60. [Google Scholar] [CrossRef]
- Abdel-Maksoud, H.; Othman, S.A.; El-Tawil, A. Improving Water and N-Use Utilization For Field Crops Via Lternate-Furrow Irrigation Echnique. Maize Crop. J. Soil Sci. Agric. Eng. 2002, 27, 8761–8769. [Google Scholar] [CrossRef]
- Soothar, R.K.; Wang, C.; Li, L.; Cui, N.; Wang, Y. Soil Salt Accumulation, Physiological Responses, and Yield Simulation of Winter Wheat to Alternate Saline and Fresh Water Irrigation in the North China Plain. J. Soil Sci. Plant Nutr. 2021, 21, 2072–2082. [Google Scholar] [CrossRef]
- Tagar, A.; Soomro, A.; Bhatti, S.; Memon, S.; Soothar, R. Comparative Study of Scientific and Traditional Water Application Practices for Wheat Crop. Pak. J. Agric. Agric. Eng. Vet. Sci. 2016, 32, 202–211. [Google Scholar]
- Karimi, S.; Tavallali, V.; Rahemi, M.; Rostami, A.A.; Vaezpour, M. Estimation of Leaf Growth on the Basis of Measurements of Leaf Lengths and Widths, Choosing Pistachio Seedlings as Model. Aust. J. Basic Appl. Sci. 2009, 3, 1070–1075. [Google Scholar]
- Bréda, N.J. Ground-Based Measurements of Leaf Area Index: A Review of Methods, Instruments and Current Controversies. J. Exp. Bot. 2003, 54, 2403–2417. [Google Scholar] [CrossRef] [PubMed]
- Meskelu, E.; Tesfaye, H.; Debebe, A.; Mohammed, M. Integrated Effect of Mulching and Furrow Methods on Maize Yield and Water Productivity at Koka, Ethiopia. Irrig. Drain. Syst. Eng. 2018, 7, 2. [Google Scholar]
- Furgassa, Z.S. The Effect of Deficit Irrigation on Maize Crop Under Conventional Furrow Irrigation in Adami Tulu Central Rift Valley of Ethiopia. Appl. Eng. 2017, 1, 1–12. [Google Scholar]
- Narayanan, K.; Seid, M.M. Effect of Deficit Irrigation on Maize under Conventional, Fixed and Alternate Furrow Irrigation Systems at Melkassa, Ethiopia. Int. J. Eng. Res. Technol. (IJERT) 2015, 4, 119–126. [Google Scholar] [CrossRef]
- Makino, A. Photosynthesis, Grain Yield, and Nitrogen Utilization in Rice and Wheat. Plant Physiol. 2011, 155, 125–129. [Google Scholar] [CrossRef]
- Shamsi, K.; Petrosyan, M.; Noormohammadi, G.; Haghparast, R. The Role of Water Deficit Stress and Water Use Efficiency on Bread Wheat Cultivars. J. Appl. Biosci. 2010, 35, 2325–2331. [Google Scholar]
- Peng, S.; Liu, W.; Wang, W.; Shao, Q.; Jiao, X.; Yu, Z.; Xing, W.; Xu, J.; Zhang, Z.; Luo, Y. Estimating the Effects of Climatic Variability and Human Activities on Streamflow in the Hutuo River Basin, China. J. Hydrol. Eng. 2013, 18, 422–430. [Google Scholar] [CrossRef]
- Mo, F.; Wang, J.-Y.; Li, F.-M.; Nguluu, S.N.; Ren, H.-X.; Zhou, H.; Zhang, J.; Kariuki, C.W.; Gicheru, P.; Kavagi, L.; et al. Yield-Phenology Relations and Water Use Efficiency of Maize (Zea Mays L.) in Ridge-Furrow Mulching System in Semi-arid East African Plateau. Sci. Rep. 2017, 7, 3260. [Google Scholar] [CrossRef] [PubMed]
- Xu, J.; Li, C.; Liu, H.; Zhou, P.; Tao, Z.; Wang, P.; Meng, Q.; Zhao, M. The Effects of Plastic Film Mulching on Maize Growth and Water Use in Dry and Rainy Years in Northeast China. PLoS ONE 2015, 10, e0125781. [Google Scholar] [CrossRef]
- Zhou, L.; Li, F.; Jin, S.; Song, Y. How Two Ridges and the Furrow Mulched with Plastic Film Affect Soil Water, Soil Temperature and Yield of Maize on the Semi-arid Loess Plateau of China. Field Crops Res. 2009, 113, 41–47. [Google Scholar] [CrossRef]
- Zribi, W.; Araguees, R.; Medina, E.; Faci, J.M. Efficiency of Inorganic and Organic Mulching Materials for Soil Evaporation Control. Soil Tillage Res. 2015, 148, 40–45. [Google Scholar] [CrossRef]
- Kang, S.; Liang, Z.; Pan, Y.; Shi, P.; Zhang, J. Alternate Furrow Irrigation for Maize Production in an Arid Area. Agric. Water Manag. 2000, 45, 267–274. [Google Scholar] [CrossRef]
- Panigrahi, P. Evaluating Partial Root-Zone Irrigation and Mulching in Okra (Abelmoschus Esculentus L.) under a Sub-Humid Tropical Climate. J. Agric. Rural Dev. Trop. 2011, 112, 2011. [Google Scholar]
- Montazar, A.; Kosari, H. Water Productivity Analysis of Some Irrigated Crops in Iran. In Proceedings of the international conference Water Saving in Mediterranean Agriculture and Future Research Needs, Valenzano, Italy, 14–17 February 2007. [Google Scholar]
- Sori, N.A.; Hassen, J.M.; Borena, W.T.A.F.R.; Tufa, K.N.; Hailu, E.K. Integrated Effect of Mulching Materials and Furrow Irrigation Methods on Onion (Allium Cepa l.) Yield and Water Use Effeciency at Werer, Middle Awash Valley, Ethiopia. In Proceedings of the Natural Resources Management Research—Completed Research Activities Workshop, Addis Ababa, Ethiopia, 25–26 November 2019. [Google Scholar]
- Abebe, N.; Alemayehu, Y.; Abegaz, F. Effect of Mulching Materials and Furrow Irrigation Techniques on Yield, Water Productivity and Economic Return of Maize (Zea Mays L.) at Werer, Middle Awash Valley, Ethiopia. Int. J. Agric. Biosci. 2020, 9, 156–162. [Google Scholar]
- Zhang, D.Q.; Liao, Y.C.; Jia, Z.K. Research Advances and Prospects of Film Mulching in Arid And Semi-Arid Areas. Agric. Res. Arid. Areas 2005, 23, 208–213. [Google Scholar]
- Liu, C.A.; Jin, S.L.; Zhou, L.M.; Jia, Y.; Li, F.M.; Xiong, Y.C.; Li, X.G. Effects of Plastic Film Mulch and Tillage on Maize Productivity and Soil Parameters. Eur. J. Agron. 2009, 31, 241–249. [Google Scholar] [CrossRef]
- Yi, L.; Shenjiao, Y.; Shiqing, L.; Xinping, C.; Fang, C. Growth and Development of Maize (Zea mays L.) in Response to Different Field Water Management Practices: Resource Capture and Use Efficiency. Agric. For. Meteorol. 2010, 150, 606–613. [Google Scholar] [CrossRef]
- Liu, X.J.; Wang, J.C.; Lu, S.H.; Zhang, F.S.; Zeng, X.Z.; Ai, Y.W.; Christie, P. Effects of Non-Flooded Mulching Cultivation on Crop Yield, Nutrient Uptake and Nutrient Balance in Rice–Wheat Cropping Systems. Field Crops Res. 2003, 83, 297–311. [Google Scholar] [CrossRef]
- Liakatas, A.; Clark, J.A.; Monteith, J.L. Measurements of the Heat Balance under Plastic Mulches. Part I. Radiation balance and soil heat flux. Agric. For. Meteorol. 1986, 36, 227–239. [Google Scholar] [CrossRef]
- Fan, M.; Liu, X.; Jiang, R.; Zhang, F.; Lu, S.; Zeng, X.; Christie, P. Crop Yields, Internal Nutrient Efficiency, and Changes in Soil Properties in Rice–Wheat Rotations under Non-Flooded Mulching Cultivation. Plant Soil 2005, 277, 265–276. [Google Scholar] [CrossRef][Green Version]
- Xu, G.W.; Zhang, Z.C.; Zhang, J.H.; Yang, J.C. Much Improved Water Use Efficiency of Rice Under Non-Flooded Mulching Cultivation. J. Integr. Plant Biol. 2007, 49, 1527–1534. [Google Scholar] [CrossRef]




| Soil Property | Soil Layer (cm) | Values | Soil Property | Soil Layer (cm) | Values |
|---|---|---|---|---|---|
| Soil texture | 0–20 | Silty clay loam | Soil moisture content (%) | 0–20 | 18.84 |
| 20–40 | Silty clay loam | 20–40 | 19.67 | ||
| 40–60 | Clay loam | 40–60 | 20.07 | ||
| 60–80 | Silty clay loam | 60–80 | 20.81 | ||
| 80–100 | Silty clay | 80–100 | 22.31 | ||
| 100–120 | Silty clay | 100–120 | 23.23 | ||
| 120–140 | Clay loam | 120–140 | 24.18 | ||
| 140–160 | Silty clay loam | 140–160 | 26.18 | ||
| Dry bulk density | 0–160 | 1.45 g cm−3 | Water holding capacity | 0–160 | 288 mm m−1 |
| EC1:5 | 0–20 | 0.28 | Soil pH | 0–20 | 7.7 |
| 20–40 | 0.20 | 20–40 | 7.5 | ||
| 40–60 | 0.18 | 40–60 | 7.5 | ||
| 60–80 | 0.22 | 60–80 | 7.4 | ||
| 80–100 | 0.39 | 80–100 | 7.0 | ||
| 100–120 | 0.18 | 100–120 | 7.4 | ||
| 120–140 | 0.22 | 120–140 | 7.3 | ||
| 140–160 | 0.20 | 140–160 | 7.3 |
| Irrigation Method | Water Stress | Plastic Film Practice | Treatments |
|---|---|---|---|
| Factor—A | Factor—B | Factor—C | |
| Conventional furrow irrigation | Sufficiently | No mulch | T1 |
| Plastic film mulch | T2 | ||
| Severely | No mulch | T3 | |
| Plastic film mulch | T4 | ||
| Alternate furrow irrigation | Sufficiently | No mulch | T5 |
| Plastic film mulch | T6 | ||
| Severely | No mulch | T7 | |
| Plastic film mulch | T8 |
| Factor Levels/Interactions | Irrigation Events (Number) | Net Irrigation (mm) | Gross Irrigation (mm m−1) | Water Applied.(mm) | Water Use (m3 ha−1) |
|---|---|---|---|---|---|
| Furrow irrigations | |||||
| Conventional | 18 ± 1.01 | 396 ± 20.28 | 660.00 ± 33.46 | 660.00 ± 33.46 | 6600 ± 337 |
| Alternate | 18 ± 1.01 | 198 ± 10.14 | 330.00 ± 17.24 | 330.00 ± 17.24 | 3300 ± 169 |
| Water stress | |||||
| Sufficient | 19 ± 0.00 | 312 ± 105.47 | 520.00 ± 175.45 | 520.00 ± 175.45 | 5200 ± 175 |
| Severe | 17 ± 0.00 | 282 ± 95.33 | 470.00 ± 159.23 | 470.00 ± 159.23 | 4700 ± 1589 |
| Mulching | |||||
| Non-mulching | 18 ± 1.01 | 297 ± 101.67 | 495.00 ± 1.69.44 | 495.00 ± 1.69.44 | 4950 ± 1694 |
| Plastic film mulching | 18 ± 1.01 | 297 ± 101.67 | 495.00 ± 1.69.44 | 495.00 ± 1.69.44 | 4950 ± 1694 |
| Plant Height | ||||||
|---|---|---|---|---|---|---|
| Factor | Days after Sowing | |||||
| 15 | 30 | 40 | 55 | 85 | 140 | |
| IM | * | *** | *** | * | *** | *** |
| WS | *** | *** | *** | *** | *** | *** |
| MP | ns | *** | * | *** | *** | *** |
| IM × WS | ns | ns | ns | * | * | ns |
| IM × MP | ** | ns | ns | ns | ns | ns |
| WS × MP | ns | ns | ns | ns | ns | ns |
| IM × WS × MP | ** | ns | ns | ns | ns | ns |
| Leaves per plant | ||||||
| IM | *** | *** | *** | *** | *** | *** |
| WS | *** | *** | *** | *** | *** | *** |
| MP | ns | *** | ** | *** | ** | *** |
| IM × WS | ns | * | ns | ns | ns | *** |
| IM × MP | ns | ns | ns | ns | ns | ** |
| WS × MP | ns | ns | ns | ns | ns | ns |
| IM × WS × MP | * | ** | ns | ns | ns | ns |
| Leaf area per plant | ||||||
| IM | * | ns | ns | ns | *** | ns |
| WS | ns | *** | *** | *** | *** | *** |
| MP | *** | *** | ns | *** | * | ns |
| IM × WS | ns | ns | ns | ns | ** | *** |
| IM × MP | *** | ns | ns | ns | ns | ns |
| WS × MP | ns | ns | ns | * | ns | ns |
| IM × WS × MP | ns | ns | ns | ns | ns | * |
| Factor Levels/Interactions | Stem Girth (cm) | Cob Length (cm) | 1000-Grains Weight | Grain Yield (tha−1) |
|---|---|---|---|---|
| Furrow irrigations | ||||
| Conventional | 3.46 ± 0.69 a | 19.01 ± 1.48 a | 246 ± 32 a | 19.92 ± 2.73 a |
| Alternate | 3.12 ± 0.53 b | 18.18 ± 1.21 b | 199 ± 39 b | 10.89 ± 2.98 b |
| Significance | * | * | *** | *** |
| LSD (at 5%) | 5.04 | 6.60 | 43.4 | 349.9 |
| Water stress | ||||
| Sufficient | 3.54 ± 0.53 a | 18.86 ± 1.24 | 238 ± 35 a | 16.99 ± 4.80 a |
| Severe | 3.03 ± 0.78 b | 18.33 ± 1.52 | 208 ± 42 b | 13.82 ± 5.48 b |
| Significance | ** | Ns | *** | *** |
| LSD (at 5%) | 11.09 | 2.65 | 17.35 | 43.30 |
| Mulching | ||||
| Non-mulching | 3.15 ± 0.71 | 18.40 ± 1.37 | 211 ± 39 b | 14.23 ± 5.25 b |
| Plastic film mulching | 3.42 ± 0.69 | 18.79 ± 1.44 | 235 ± 42 a | 16.58 ± 5.29 a |
| Significance | ns | ns | ** | *** |
| LSD (at 5%) | 3.27 | 1.44 | 11.50 | 23.68 |
| Interactions | ||||
| Furrow irrigation × Water stress | ns | ns | ns | * |
| Furrow irrigation × Mulch | ns | ns | ns | ns |
| Water stress × Mulching | ns | ns | * | ns |
| Furrow irrigation × Water stress × Mulching | ns | ns | ns | ns |
| Factor Levels/Interactions | Biomass (tha−1) | Crop Harvest Index | Irrigation Water Productivity |
|---|---|---|---|
| Furrow irrigations | |||
| Conventional | 6.37 ± 0.67 a | 3.12 ± 0.36 a | 3.02 ± 0.37 b |
| Alternate | 5.10 ± 0.29 b | 2.12 ± 0.52 b | 3.27 ± 0.80 a |
| Significance | ** | *** | * |
| LSD (at 5%) | 0.40 | 138.8 | 5.65 |
| Water stress | |||
| Sufficient | 6.10 ± 0.89 a | 2.75 ± 0.47 a | 3.38 ± 0.63 a |
| Severe | 5.37 ± 0.54 b | 2.49 ± 0.81 b | 2.91 ± 0.54 b |
| Significance | ** | ** | *** |
| LSD (at 5%) | 0.20 | 9.13 | 18.94 |
| Mulching | |||
| Non-mulching | 5.47 ± 0.73 b | 2.52 ± 0.68 b | 2.87 ± 0.51 b |
| Plastic film mulching | 6.00 ± 0.83 a | 2.71 ± 0.65 a | 3.42 ± 0.63 a |
| Significance | * | * | *** |
| LSD (at 5%) | 0.86 | 5.13 | 26.04 |
| Interactions | |||
| Furrow irrigation × Water stress | * | *** | *** |
| Furrow irrigation × Mulching | ns | ns | * |
| Water stress × Mulching | * | ns | ns |
| Furrow irrigation × Water stress × Mulching | ns | ns | ns |
| SG | SI | CL | GY | BM | CHI | WU | IWP | |
|---|---|---|---|---|---|---|---|---|
| SI | 0.249 * | 1 | ||||||
| CL | 0.263 * | 0.310 ** | 1 | |||||
| GY | 0.349 ** | 0.613 ** | 0.303 ** | 1 | ||||
| BM | 0.443 ** | 0.683 ** | 0.369 ** | 0.847 ** | 1 | |||
| CHI | 0.245 * | 0.509 ** | 0.227 | 0.938 ** | 0.623 ** | 1 | ||
| WU | 0.299 * | 0.596 ** | 0.322 ** | 0.878 ** | 0.850 ** | 0.750 ** | 1 | |
| IWP | 0.158 | 0.127 | 0.045 | 0.307 ** | 0.059 | 0.456 ** | −0.162 | 1 |
| Irrigation Method | Water Stress | Mulch Practice | Treatments | Labor Charge | Mulching Cost | Tractor Changes | Seed and Fertilizer Cost | Total Input Value | Total Output Value | Output/Input | Net Income | Net Income Difference from Control |
|---|---|---|---|---|---|---|---|---|---|---|---|---|
| Factor—A | Factor—B | Factor—C | ||||||||||
| Conventional furrow irrigation | Sufficient | NM | T1 | 40.3 | 0 | 73.92 | 299 | 413 | 4654 | 11.3 | 4240 | 749 |
| PFM | T2 | 40.3 | 448 | 73.92 | 299 | 861 | 4953 | 5.8 | 4092 | 600 | ||
| Severe | NM | T3 | 40.3 | 0 | 73.92 | 299 | 413 | 3905 | 9.4 | 3491 | 0 | |
| PFM | T4 | 40.3 | 448 | 73.92 | 299 | 861 | 4628 | 5.4 | 3767 | 275 | ||
| Alternate furrow irrigation | Sufficient | NM | T5 | 40.3 | 0 | 73.92 | 299 | 413 | 2726 | 6.6 | 2312 | −1179 |
| PFM | T6 | 40.3 | 448 | 73.92 | 299 | 861 | 3170 | 3.7 | 2308 | −1183 | ||
| Severe | NM | T7 | 40.3 | 0 | 73.92 | 299 | 413 | 1711 | 4.1 | 1298 | −2194 | |
| PFM | T8 | 40.3 | 448 | 73.92 | 299 | 861 | 2375 | 2.8 | 1514 | −1978 |
Disclaimer/Publisher’s Note: The statements, opinions and data contained in all publications are solely those of the individual author(s) and contributor(s) and not of MDPI and/or the editor(s). MDPI and/or the editor(s) disclaim responsibility for any injury to people or property resulting from any ideas, methods, instructions or products referred to in the content. |
© 2023 by the authors. Licensee MDPI, Basel, Switzerland. This article is an open access article distributed under the terms and conditions of the Creative Commons Attribution (CC BY) license (https://creativecommons.org/licenses/by/4.0/).
Share and Cite
Yang, X.; Soothar, R.K.; Rahu, A.A.; Wang, Y.; Li, B.; Mirjat, M.U.; Soomro, S.A.; Shaikh, S.A.; Chandio, F.A. Integrated Effects of Water Stress and Plastic Film Mulch on Yield and Water Use Efficiency of Grain Maize Crop under Conventional and Alternate Furrow Irrigation Method. Water 2023, 15, 924. https://doi.org/10.3390/w15050924
Yang X, Soothar RK, Rahu AA, Wang Y, Li B, Mirjat MU, Soomro SA, Shaikh SA, Chandio FA. Integrated Effects of Water Stress and Plastic Film Mulch on Yield and Water Use Efficiency of Grain Maize Crop under Conventional and Alternate Furrow Irrigation Method. Water. 2023; 15(5):924. https://doi.org/10.3390/w15050924
Chicago/Turabian StyleYang, Xiufang, Rajesh Kumar Soothar, Aftab Ahmed Rahu, Yaosheng Wang, Bin Li, Muhammad Uris Mirjat, Shoukat Ali Soomro, Sher Ali Shaikh, and Farman Ali Chandio. 2023. "Integrated Effects of Water Stress and Plastic Film Mulch on Yield and Water Use Efficiency of Grain Maize Crop under Conventional and Alternate Furrow Irrigation Method" Water 15, no. 5: 924. https://doi.org/10.3390/w15050924
APA StyleYang, X., Soothar, R. K., Rahu, A. A., Wang, Y., Li, B., Mirjat, M. U., Soomro, S. A., Shaikh, S. A., & Chandio, F. A. (2023). Integrated Effects of Water Stress and Plastic Film Mulch on Yield and Water Use Efficiency of Grain Maize Crop under Conventional and Alternate Furrow Irrigation Method. Water, 15(5), 924. https://doi.org/10.3390/w15050924

